Data-Based RC Dynamic Modelling to Assessing the In-Situ Thermal Performance of Buildings. Analysis of Several Key Aspects in a Simplified Reference Case toward the Application at On-Board Monitoring Level
Abstract
1. Introduction
2. Materials and Methods
2.1. Benchmark Set Up and Data
2.1.1. The Building (Test Box)
2.1.2. Boundary Conditions
2.1.3. Conducted Experiments and Data Series
- Indoor air temperature, Ti, as the average of the two measurements of this variable Ti_down and Ti_up, shown in Figure 1b.
- Outdoor air temperature, Te, as the average of the two measurements of this variable Te_middle and Te_down, shown in Figure 1c.
- Measured heat flux through ceiling, floor and all the opaque walls: φceiling, φfloor, φback, φleft and φright.
- Measured heating power, Pheating.
- Measured global vertical solar radiation facing south, Gv.
- To identify the heat transfer coefficient, the test set-up must guarantee strong enough heat loss through the building envelope maximizing the indoor to outdoor air temperature difference, which is the driving variable for this effect.
- To identify the overall gA-value, the solar gains must be strong enough. This is achieved when the test period includes enough sunny days with high levels of solar radiation, which is the corresponding driving variable.
- To identify dynamic models, the system must be excited by dynamic input signals containing a wide range of frequencies and including the characteristic time constants of the system. The variables involved in the energy balance equations of outdoor tests have a dynamic character, but identification is facilitated by the application of certain power sequences such as the ROLBS [33] etc.
- Heating Power: heating the indoor air is necessary to maximize the indoor to outdoor air temperature difference. Free running tests usually lead to poor signal to noise ratios in the measurements of temperature difference and cause problems with identifiability. Additionally, the heating power must be strong enough because it is a relevant variable to the energy balance equation that must be used for the analysis.
- Homogeneity of the indoor air temperature: the solar radiation and the heating systems are heating sources that can produce some inhomogeneity to the indoor air temperature which contribute to the uncertainty of the parameter estimates. A mini fan has been used to improve the air temperature homogeneity. A device with very small ventilation power has been chosen to avoid perturbations in the interior convection coefficients.
- Sampling frequency: the sampling theorem must be fulfilled in the raw data as well as in any resampling applied in the pre-processing phase. The sampling frequency must be at least twice the frequency of the variable which is being measured.
- Series 16: 6 December 2013 to 17 December 2013 (12 days). This series includes one ROLBS power sequence and was mainly designed to optimize the test conditions to the application of the system identifications techniques.
- Series 17: 18 December 2013 to 26 December 2013 (9 days). Aiming to reproduce as possible a coheating test, but setting the indoor air temperature set point to 35 °C. This test sequence was designed in order to have a reference analysis according as much as possible to the traditional coheating test, and also to explore the application of steady-state approaches and also to analyze the capability to apply the system identification techniques to this type of tests. This series is also useful to analyze causality issues and different variables as the input signal. It must be observed that this test is not identical to the coheating test described in the literature [17]. It is a bit modified taking into account the given boundary conditions: in winter the indoor air temperature cannot be maintained at a constant 25 °C because the low position of the sun produces a strong global solar radiation incident on the window (Figure 2e). Consequently, the indoor air temperature shows some dynamic behavior with overheating intervals (Figure 2d) even raising the set point to 35 °C.
- Series 18: 27 December 2013 to 7 January 2014 (12 days): also aiming to reproduce as possible a Coheating test, but in this case setting the indoor air temperature set point to 21 °C, intending to emulate the comfort zone in an in-use building. These more realistic conditions are set in order to explore the possibilities to apply these identification techniques to in-use buildings using data recorded by its on-board monitoring systems. These test conditions are also interesting to analyze causality issues and different variables as output signals. In this case, the low level of the indoor to outdoor air temperature difference increases the difficulty to identify the UA value. Additionally, the contribution of the solar radiation to the space heating makes it impossible to maintain a constant indoor air temperature. This effect, clearly seen from the observation of Figure 2e,f, is stressing the need to apply dynamic techniques for the analysis.
- Series a: 6 December 2013 to 16 December 2013 (11 days). The test conditions in this series are dominated by the test conditions in series 16, with a ROLBS power sequence.
- Series b: 17 December 2013 to 27 December 2013 (11 days). The test conditions in this series are dominated by the test conditions in series 17, mainly with 35 °C set point for the indoor air temperature which is mainly constant.
- Series c: 28 December 2013 to 7 January 2014 (11 days): The test conditions in this series are dominated by the test conditions in series 18, mainly with 21 °C set point for the indoor air temperature trying to maintain a constant indoor air temperature which actually has a dynamic behavior.
- Series d: 6 December 2013 to 7 January 2014 (33 days), which is the combination of series 16, 17 and 18, therefore including a rich diversity of test conditions.
2.2. Data Analysis and Modelling Methodology
- Further analysis of the influence of the solar radiation that is transmitted through the opaque walls versus the performance of the models including this effect. The work reported in [31] concluded that including the solar radiation in the models of the opaque walls does not improve the accuracy of the U value estimates. However, a model including a y-intercept was identified as the best model among the considered candidate models. The y-intercept was interpreted as a representation of the sum of the effects that were not included explicitly in the model. This issue induced us to carry out further analysis reconsidering the effect of the solar radiation applying the RC approach described in this paper.
- Other effects such as dependencies on wind speed, surface and fabric temperatures have been disregarded taking into account the conclusions of the work reported in [31].
- Several options modelling relevant effects using unmeasured variables in order to evaluate the feasibility to reduce the cost and intrusiveness of the measurement devices required us to obtain accurate results. These options were not considered in [31]. However other works have demonstrated the usefulness of modelling several effects which are driven by unmeasured variables [34,35].
- Reduction of the test period regarding the test period required us to obtain accurate results applying the dynamic integrated method applied in [31].
- The optimum number of nodes required to represent the thermal systems.
- The assignment of inputs and outputs.
- The performance of the models using data recorded under different test conditions.
2.2.1. RC Models
2.2.2. Assessment of the Validity of the Results
- The physical coherence of the results obtained using different data series recorded under very different test conditions. The uncertainty related to the spread in each parameter was quantified through the following parameter [36] and its minimization was used as a criterion for consistency:where X represents the parameter estimate that can be U, g, UA or gA. Xmax and Xmin are, respectively, the maximum and minimum among the X estimates obtained from all the available data series; and σx is the error obtained as the squared root of the variance estimate assuming a rectangular distribution [36] for the parameter X.
- The average of the residuals: Considering the minimization of the difference between measured output variable and model output, as indicator of good model performance. The value of this indicator is considered good enough when it is in the range of the uncertainty of the measurement of the model output.
- The agreement with the theoretical target values that are reported in Section 2.1.1. These values are considered reliable references and are relevant complements to the validation criteria, taking into account the simplicity and the detailed and accurate knowledge of the construction.
- The agreement with the results obtained by the application of other methods [31].
2.2.3. Modelling of the Ceiling, Opaque Walls and Floor
- Heat losses through the wall driven by the indoor to outdoor air temperature difference. A constant U value is assumed to characterize this effect. As explained before, variations of this parameter due to other effects have been disregarded.
- Solar gains driven by the solar radiation. Different candidate models that exclude and include this effect were constructed, considering that this contribution could be a bit relevant or negligible to the net heat flux through the opaque walls, ceiling and floor. The global solar radiation measured on the corresponding exterior surface, multiplied by an unknown constant g value, was considered in those candidate models including this contribution.
- Models with n nodes and being n from 3 to 7 were considered, in order to analyze different distributions of thermal mass along the thickness of the walls. To avoid over-parameterization, symmetry was assumed. H1-2 = H(n−1)−n; C2 = Cn−1; H2−3 = H(n−2)−(n−1); C3 = Cn−2; etc.
- The heat flux multiplied by a parameter (An) which is fixed to 1, is linked to node n.
- The outdoor air temperature (Te) is linked to node 1.
- The indoor air temperature (Ti) is linked to node n.
- Models including and non-including the solar radiation were evaluated as discussed in previous paragraphs. For models including the solar radiation, it is multiplied by an unknown parameter (A2) and linked to node 2.
- The indoor air temperature (Ti) and the heat flux through the internal surface of the wall (φ) were considered as alternative outputs to the models. In principle the selection of the model output must be based on causality, but both options were analyzed when these variables do not evidence clearly which one should be chosen as output according to this criterion.
2.2.4. Modelling of the Whole Building
- Heat supplied to the room by the heating system, Pheating.
- Heat losses through the building envelope driven by the indoor to outdoor air temperature difference. A constant UA value is assumed. Variations of this parameter with wind speed and outdoor surface temperature have been disregarded taking into account the conclusions from a previous work [31].
- Solar gains driven by the solar radiation. Modelled as an unknown constant gA value multiplied by the measured global vertical solar radiation. This effect is modelled assuming that the main contribution of the solar radiation to the energy balance in the room is caused by the global vertical solar radiation incident on the window.
- Air leakage. All the candidate models have been constructed under the hypothesis that this effect is negligible, taking into account that the construction is known to be very tight. The results reported in [31] corroborate this assumption.
- A branch representing the opaque walls. Candidate models with 3 to 7 nodes in this branch were considered, in order to analyze the suitability of modelling different distributions of thermal mass along the thickness of these walls. To avoid over-parameterization, symmetry has been assumed. H1−2 = H(n−1)−n; C2 = Cn−1; H2−3 = H(n−2)−(n−1); C3 = Cn−2; etc.
- A parallel branch, consisting in just a thermal resistance, representing a faster heat transmission through the building envelope, mainly due to the window.
- The outdoor air temperature (Te) is linked to node 1.
- The indoor air temperature (Ti) is linked to node n.
- All the candidate models include the south vertical solar radiation (Gv) taking into account that the facing south windows provoke a relevant contribution to the energy supplied to the room. It is multiplied by an unknown parameter (An) and linked to node n.
- Node n+1 is linked to node n by a conductance that is fixed to a large value (such that (1/Hn+1−n → 0)). The heating power (Pheating) multiplied by a parameter (An+1) fixed to 1 is linked to node n+1. This makes node n+1 equivalent to node n, but it is necessary because the tool used to identify the considered models (LORD, [30,37]) allows just one link of heat flux per node.
- The indoor air temperature (Ti) and the heating power (Pheating) were considered as alternative outputs to the models. The issues that justify the consideration of these two options for the output are the analogous to those mentioned in Section 2.2.3 for the opaque walls.
2.2.5. Models Including Effects Driven by Unmeasured Variables
- Model 1: using a synthetic variable, instead of the measured Gv, calculated according the following expression trying to emulate the shape of the actual vertical global solar radiation:This strategy improves cost effectiveness as far as it can avoid the use of a pyranometer, specifically installed for this analysis, measuring the global solar radiation on the orientation where the building has relevant glassing surfaces. It can be applied in any the following cases:
- When the horizontal global solar radiation is available, that is more standardized than having it in any vertical surface.
- When no measurement of solar radiation is available, but the time of sunrise and sunset are known, which is relatively easy for a given location.
- Model 2: using a synthetic outdoor air temperature, instead of the measured Te, calculated according to the following expression:where 8.48 °C is the average outdoor air temperature according to the Typical Meteorological Year (TMY) that was available for the location as reported in [6,38]. Δt is a two-hour delay observed between the solar radiation and the outdoor air temperature.This strategy offers the possibility for a cost reduction when the Te corresponding to the TMY of the place is available.
- Model 3: using a binary variable, instead of the measured Pheating. This binary variable is one when the heating is on and zero when the heating is off. The coefficient A4 was fixed to the average of the heating power when it is on. In practice this would be equivalent to having a record of the status of the heating system (on or off) along the experiment and the measurement of the heating power supplied without being necessary any devices for its continuous measurement. This option represents a moderate cost reduction as far as continuous measurement of heating power is avoided, but it requires the continuous measurement of the status of heating system which is simpler and cheaper than a continuous accurate measurement of the heating power.
- Model 4: the only difference between this model and Model 3 is that, in Model 4, the parameter A4 is an identifiable parameter instead of the fixed value used in Model 3.
- Model 5: using the set point indoors air temperature, instead of the measured Ti. This option allows us to avoid the measurement of the indoor air temperature. This strategy is useful to reduce the cost of the experiment as well as its intrusiveness.
3. Results and Discussion
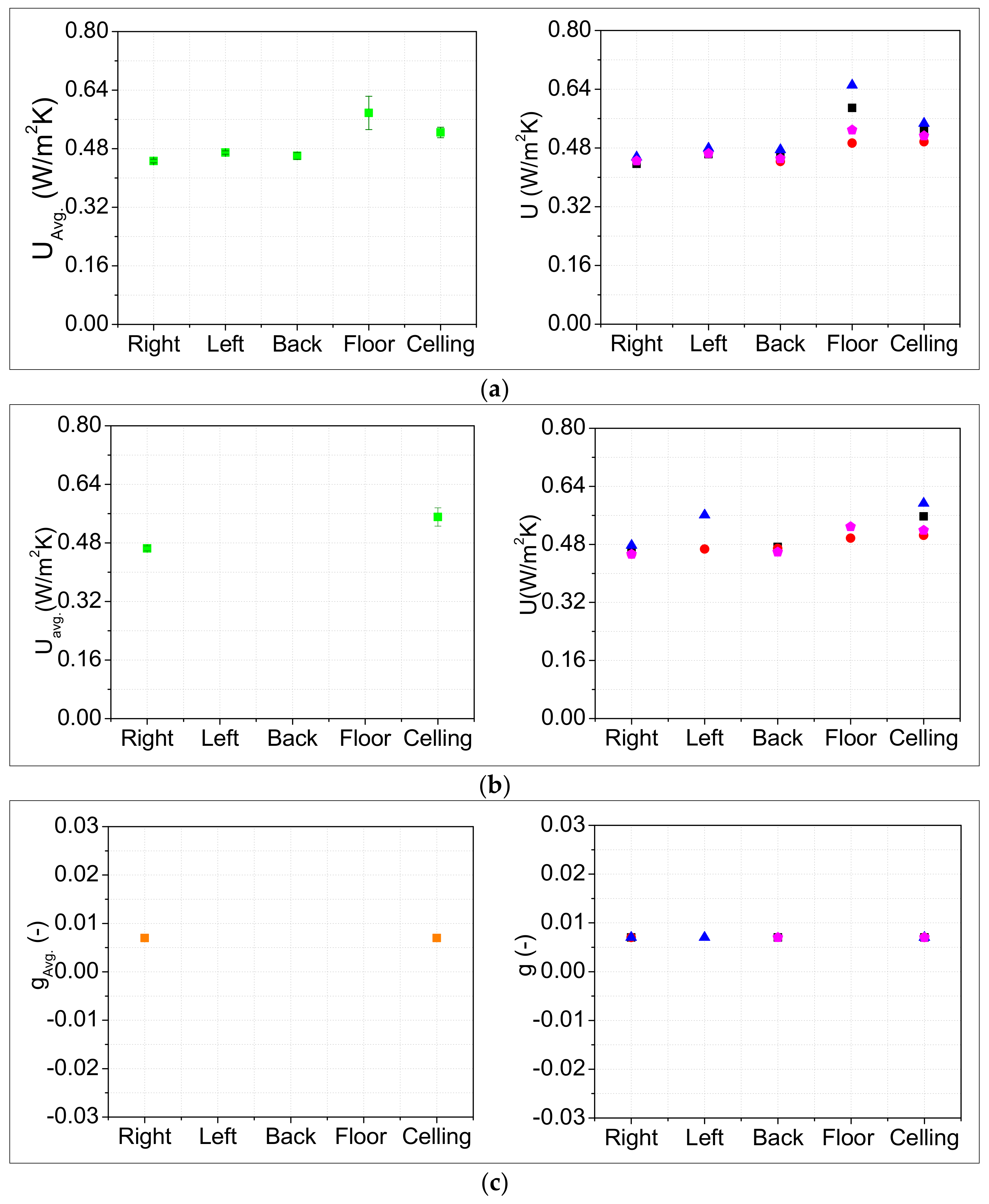
3.1. Analysis of the Opaque Walls
3.1.1. The Ceiling
3.1.2. Floor, Back, Right and Left Walls
3.1.3. Model Performance for Different Length of Test Period
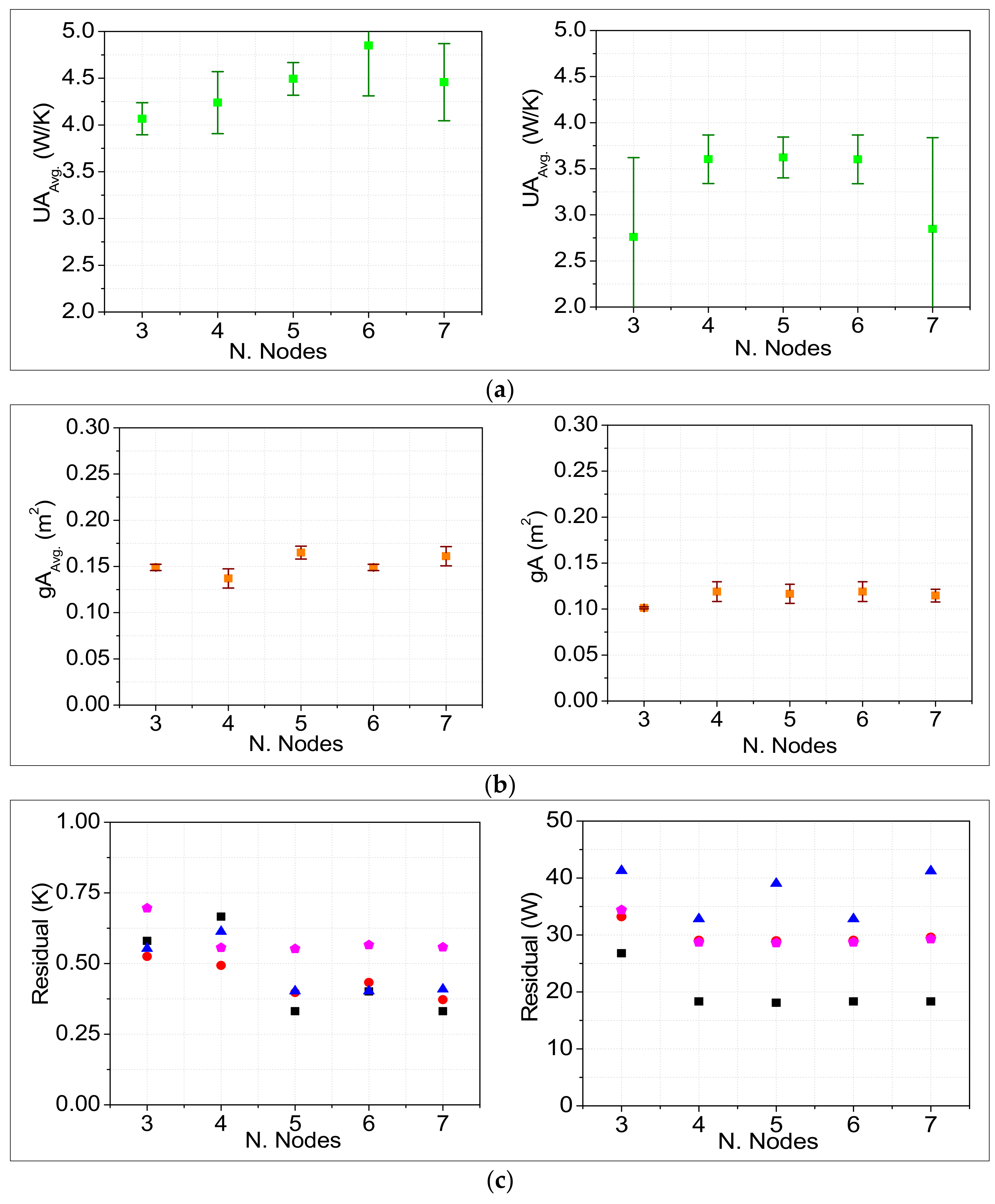
3.2. The Whole Building
3.2.1. Models Considering Different Number of Nodes for the Branch Representing the Opaque Walls
- Attending to the spread in the results obtained using the different data series, the three nodes model with Ti as output shows the best performance.
- Attending to the residual obtained using the different data series, scarce differences are observed for the different candidate models.
3.2.2. Model Performance for Different Length of the Test Period
3.2.3. Models Including Non-Measured Variables
- Model 1 using a synthetic variable, instead of the measured Gv, has given good UA estimates only if the data series is long enough (series d). This result indicates that this strategy is useful for a cost reduction of the test set up when the length of the test campaign is not critical.
- Model 2 using a synthetic outdoor air temperature, instead of the measured Te, has shown a better behavior when the indoor air temperature is higher (series a and b). In this case the errors due to the difference between the true Te and Te_synthetic have a relative lower influence than having a lower indoor to outdoor temperature difference. This result indicates that when the test conditions allow to achieve a high enough indoor to outdoor temperature difference and the TMY of the place is available, a cost reduction of the test set up by eliminating the measurement of the outdoor air temperature is possible.
- Model 3 using a binary variable, instead of the measured Pheating, has given good results for all the data series. These results support the validity of a model implementing a moderate cost reduction regarding the reference model 0 as discussed in Section 3.2.
- Model 4 which is model 3 modified by the parameter A4 set as an identifiable parameter instead of a fixed value, has given good UA estimates only if the data series is long enough (series d). This result indicates that this strategy is useful for a cost reduction of the test set up when the length of the test campaign is not critical.
- Model 5 using the set point indoors air temperature, instead of the measured Ti, has shown good results only when this set point is remarkably high (series b) which is useful for testing empty buildings allowing setting up a high enough Ti.
4. Conclusions
- The best performance among all the candidate models has been observed in the four nodes model, with Ti as output, non-including solar radiation. This model has been chosen to give the final results for the U value of the opaque walls, ceiling and floor.
- The results obtained using models assigning the heat flux as output instead of the indoor air temperature did not show significant differences regarding the results obtained using the chosen model.
- The results obtained using models including the solar radiation do not show significant differences regarding the chosen model that do not include this variable. This result can be explained in two different ways, both leading to conclude that including the solar radiation on the opaque wall models is not convenient, (1) either because its effect is in practice negligible on the heat flux measured through the internal surfaces of these walls, or (2) because its effect is in the range of the uncertainty of the measurement of heat flux. In this case, modelling the effect of the solar radiation from the recorded data is not possible.
- Taking into account the observed performance of the considered models, the best performance among all the candidate models has been observed in the three nodes model, with Ti as output, including the solar radiation. This model has been chosen to give the final results for the UA and gA values because it shows the best performance attending to the spread in the results obtained using different data series.
- The data series that was optimized for the application of system identifications techniques (series a including a ROLBS power sequence), gave the most accurate results, which makes sense taking into account that a system identification tool has been applied to obtain these parameters.
- If the heating power has an on/off pattern, models can give accurate results including this contribution to the energy balance as a binary variable that is one when the heating is on and zero when the heating is off, together with a constant coefficient fixed to the average of the heating power when it is on. The same model avoiding the average of the heating power when it is on can give also acceptable results for long enough testing periods.
- Using a synthetic variable, instead of the measured Gv, can give good enough results when the tests campaign is long enough.
- Using a synthetic outdoor air temperature, instead of the measured Te, can give acceptable results when the test conditions allow to achieve a high enough indoor to outdoor temperature difference and the TMY of the place is available.
- Using the set point indoors air temperature, instead of the measured Ti, can give good results only when this set point is remarkably high, which is useful for testing empty buildings allowing setting up a high enough indoor air temperature.
Author Contributions
Funding
Acknowledgments
Conflicts of Interest
References
- Tian, W.; Heo, Y.; de Wilde, P.; Li, Z.; Yan, D.; Park, C.S.; Feng, X.; Augenbroe, G. A review of uncertainty analysis in building energy assessment. Renew. Sustain. Energy Rev. 2018, 93, 285–301. [Google Scholar] [CrossRef]
- Kampelis, N.; Gobakis, K.; Vagias, V.; Kolokotsa, D.; Standardi, L.; Isidori, D.; Cristalli, C.; Montagnino, F.M.; Paredes, F.; Muratore, P.; et al. Evaluation of the performance gap in industrial, residential & tertiary near-Zero energy buildings. Energy Build. 2017, 148, 58–73. [Google Scholar] [CrossRef]
- DYNASTEE Network. Available online: https://dynastee.info/ (accessed on 15 July 2020).
- EBC Executive Committtee; International Energy Agency. Strategic Plan 2019–2024. Energy in Buildings and Communities Technology Collaboration Programme; AECOM Ltd.: Birmingham, UK, 2019. [Google Scholar]
- Cuerda, E.; Guerra-Santin, O.; Sendra, J.J.; Neila, F.J. Understanding the performance gap in energy retrofitting: Measured input data for adjusting building simulation models. Energy Build. 2020, 209, 109688. [Google Scholar] [CrossRef]
- Sánchez, M.N.; Soutullo, S.; Olmedo, R.; Bravo, D.; Castaño, S.; Jiménez, M.J. An experimental methodology to assess the climate impact on the energy performance of buildings: A ten-year evaluation in temperate and cold desert areas. Appl. Energy 2020, 264, 114730. [Google Scholar] [CrossRef]
- Shirvani Dastgerdi, A.; Sargolini, M.; Broussard Allred, S.; Chatrchyan, A.; De Luca, G. Climate Change and Sustaining Heritage Resources: A Framework for Boosting Cultural and Natural Heritage Conservation in Central Italy. Climate 2020, 8, 26. [Google Scholar] [CrossRef]
- Escandón, R.; Suárez, R.; Sendra, J.J. On the assessment of the energy performance and environmental behaviour of social housing stock for the adjustment between simulated and measured data: The case of mild winters in the Mediterranean climate of southern Europe. Energy Build. 2017, 152, 418–433. [Google Scholar] [CrossRef]
- Porcar, B.; Soutullo, S.; Enríquez, R.; Jiménez, M.J. Quantification of the uncertainties produced in the construction process of a building through simulation tools: A case study. J. Build. Eng. 2018, 20, 377–386. [Google Scholar] [CrossRef]
- Enríquez, R.; Jiménez, M.J.; Heras, M.R. Towards non-intrusive thermal load Monitoring of buildings: BES calibration. Appl. Energy 2017, 191, 44–54. [Google Scholar] [CrossRef]
- Soutullo Castro, S.; Suárez López, M.J.; García Menéndez, D.; Blanco Marigorta, E. Decision matrix methodology for retrofitting techniques of existing buildings. J. Clean. Prod. 2019, 240, 118153. [Google Scholar] [CrossRef]
- Annex 58 of the Programme “(EBC)” of the IEA on “Reliable Building Energy Performance Characterisation Based on Full Scale Dynamic Measurements”. 2011–2016. Available online: http://www.iea-ebc.org/projects/project?AnnexID=58 (accessed on 15 July 2020).
- Annex 71 of the Programme “(EBC)” of the IEA on “EBC Annex 71. Building Energy Performance Assessment Based on In-Situ Measurements”. 2016–2021. Available online: http://www.iea-ebc.org/projects/project?AnnexID=71 (accessed on 15 July 2020).
- Marshall, A.; Fitton, R.; Swan, W.; Farmer, D.; Johnston, D.; Benjaber, M.; Ji, Y. Domestic building fabric performance: Closing the gap between the in-situ measured and modelled performance. Energy Build. 2017, 150, 307–317. [Google Scholar] [CrossRef]
- Jiménez, M.J. IEA, EBC Annex 58, Report of Subtask 3, Part 1. Thermal Performance Characterization Based on Full Scale Testing—Description of the Common Exercises and Physical Guidelines; Jiménez, M.J., Ed.; KU Leuven: Leuven, Belgium, 2016; ISBN 9789460189876. Available online: http://www.iea-ebc.org/Data/publications/EBC_Annex_58_Final_Report_ST3a.pdf (accessed on 15 July 2020).
- ISO 9869:1994. In-Situ Measurement of Thermal Resistance and Thermal Transmittance; International Standarization Organization: Geneva, Switzerland, 1994.
- Johnston, D.; Miles-Shenton, D.; Farmer, D.; Wingfield, J. Whole House Heat Loss Test Method (Coheating). 2013. Available online: http://www.leedsbeckett.ac.uk/as/cebe/projects/cebe_coheating_test_method_june2013.pdf (accessed on 15 July 2020).
- Jack, R.; Loveday, D.; Allinson, D.; Lomas, K. First evidence for the reliability of building coheating tests. Build. Res. Inf. 2017, 46, 383–401. [Google Scholar] [CrossRef]
- Gasparella, A.; Pernigotto, G.; Baratieri, M.; Baggio, P. Thermal dynamic transfer properties of the opaque envelope: Analytical and numerical tools for the assessment of the response to summer outdoor conditions. Energy Build. 2011, 43, 2509–2517. [Google Scholar] [CrossRef]
- Ballarini, I.; Corrado, V. Analysis of the building energy balance to investigate the effect of thermal insulation in summer conditions. Energy Build. 2012, 52, 168–180. [Google Scholar] [CrossRef]
- Diao, R.D.; Sun, L.; Yang, F. Thermal performance of building wall materials in villages and towns in hot summer and cold winter zone in China. Appl. Therm. Eng. 2018, 128, 517–530. [Google Scholar] [CrossRef]
- Suleiman, B.M. Estimation of U-value of traditional North African houses. Appl. Therm. Eng. 2011, 31, 1923–1928. [Google Scholar] [CrossRef]
- Rodrigues, E.; Soares, N.; Fernandes, M.S.; Rodrigues Gaspar, A.; Gomes, A.; Costa, J.J. An integrated energy performance-driven generative design methodology to foster modular lightweight steel framed dwellings in hot climates. Energy Sustain. Dev. 2018, 44, 21–36. [Google Scholar] [CrossRef]
- Ahmad, N.; Ghiaus, C.; Thiery, T. Influence of Initial and Boundary Conditions on the Accuracy of the QUB Method to Determine the Overall Heat Loss Coefficient of a Building. Energies 2020, 13, 284. [Google Scholar] [CrossRef]
- Oliveti, G.; Arcuri, N.; Mazzeo, D.; De Simone, M. A new parameter for the dynamic analysis of building walls using the harmonic method. Int. J. Therm. Sci. 2015, 88, 96–109. [Google Scholar] [CrossRef]
- Mazzeo, D.; Oliveti, G.; Arcuri, N. Influence of internal and external boundary conditions on the decrement factor and time lag heat flux of building walls in steady periodic regime. Appl. Energy 2016, 164, 509–531. [Google Scholar] [CrossRef]
- Strachan, P.A.; Baker, P.H. Special issue on outdoor testing, analysis and modelling of building components. EDITORIAL. Build. Environ. 2008, 43, 127–128. [Google Scholar] [CrossRef]
- Jiménez, M.J.; Porcar, B.; Heras, M.R. Application of different dynamic analysis approaches to estimate the U value of building components. Build. Environ. 2009, 44, 361–367. [Google Scholar] [CrossRef]
- Díaz-Hernández, H.P.; Torres-Hernández, P.R.; Aguilar-Castro, K.M.; Macias-Melo, E.V.; Jiménez, M.J. Data—Based RC Dynamic Modelling Incorporating Physical Criteria to Obtain the HLC of In-Use Buildings: Application to a Case Study. Energies 2020, 13, 313. [Google Scholar] [CrossRef]
- Gutschker, O. Lord—Modelling and Identification Software for Thermal Systems, User Manual; BTU Cottbus: Cottbus, Germany, 2004. [Google Scholar]
- Chávez, K.; Ruiz, D.P.; Jiménez, M.J. Dynamic integrated method applied to assessing the in-situ thermal performance of walls and whole buildings. Robustness analysis supported by a benchmark set-up. Appl. Therm. Eng. 2019, 152, 287–307. [Google Scholar] [CrossRef]
- Rouchier, S.; Jiménez, M.J.; Castaño, S. Sequential Monte Carlo for on-line parameter estimation of a lumped building energy model. Energy Build. 2019, 187, 86–94. [Google Scholar] [CrossRef]
- Godfrey, R. Correlation Methods. Automatica 1980, 16, 527–534. [Google Scholar] [CrossRef]
- Jiménez, M.J.; Madsen, H.; Bloem, H.; Dammann, B. Estimation of non-linear continuous time models for the heat exchange dynamics of building integrated photovoltaic modules. Energy Build. 2008, 40, 157–167. [Google Scholar] [CrossRef]
- Castillo, L.; Enríquez, R.; Jiménez, M.J.; Heras, M.R. Dynamic integrated method based on regression and averages, applied to estimate the thermal parameters of a room in an occupied office building in Madrid. Energy Build. 2014, 81, 337–362. [Google Scholar] [CrossRef]
- International Standarization Organization. ISO Guide to the Expression of Uncertainty in Measurement; International Standarization Organization: Geneva, Switzerland, 1995; ISBN 92-67-10188-9. [Google Scholar]
- Gutschker, O. Parameter identification with the software package LORD. Build. Environ. 2008, 43, 163–169. [Google Scholar] [CrossRef]
- Soutullo, S.; Sánchez, M.N.; Enríquez, R.; Jiménez, M.J.; Heras, M.R. Empirical estimation of the climatic representativeness in two different areas: Desert and Mediterranean climates. Energy Procedia 2017, 122, 829–834. [Google Scholar] [CrossRef]








| Parameters | Theoretical Value | Maximum Deviation | Value from Dynamic Integrated Method [31] |
|---|---|---|---|
| U Ceiling (W/m2K) | 0.476 | 0.003 (0.7%) | 0.50 ± (1.0%) |
| U Back (W/m2K) | 0.476 | 0.003 (0.7%) | 0.45 ± (0.03%) |
| U Right Wall (W/m2K) | 0.476 | 0.003 (0.7%) | 0.45 ± (2.5%) |
| U Left Wall (W/m2K) | 0.476 | 0.003 (0.7%) | 0.45 ± (1.0%) |
| UA Whole Box (W/K) | 4.08 | 0.03 (0.7%) | 4.08 ± (0.6%) |
| gA Whole Box (m2) | 0.162 | 0.00002 (0.01%) | 0.160 ± (1.7%) |
Series a | Series b | Series c | Series d | Series a, b, c | |||||||||||
|---|---|---|---|---|---|---|---|---|---|---|---|---|---|---|---|
| Ner Nodes | U (W/m2K) | eU (%) | R (K) | U (W/m2K) | eU (%) | R (K) | U (W/m2K) | eU (%) | R (K) | U (W/m2K) | eU (%) | R (K) | Uavg (W/m2K) | σU (W/m2K) | σU (%) |
| 3 | 1.47 | 7.2 | 5.26 | 0.93 | 0.1 | 3.11 | 1.42 | 0.8 | 3.85 | 0.59 | -- | 6.46 | 1.27 | 0.16 | 12.4 |
| 4 | 0.53 | 0.3 | 0.52 | 0.50 | 0.1 | 0.45 | 0.55 | 1.8 | 0.56 | 0.51 | -- | 0.81 | 0.52 | 0.01 | 2.8 |
| 5 | 0.53 | 0.3 | 0.53 | 0.50 | 0.1 | 0.43 | 0.55 | 0.3 | 0.39 | 0.27 | 0.3 | 2.33 | 0.52 | 0.01 | 2.8 |
| 6 | 0.23 | 0.2 | 0.62 | 0.50 | 0.005 | 0.45 | 0.55 | 0.1 | 0.56 | 0.24 | 0.1 | 1.68 | 0.42 | 0.09 | 21.6 |
| 7 | 0.34 | 0.6 | 0.62 | 0.66 | 0.3 | 0.72 | 0.61 | 100 | 1.00 | 0.24 | 0.2 | 1.59 | 0.54 | 0.09 | 17.2 |
Series a | Series b | Series c | Series d | Series a, b, c | |||||||||||
|---|---|---|---|---|---|---|---|---|---|---|---|---|---|---|---|
| Ner Nodes | U (W/m2K) | eU (%) | R (K) | U (W/m2K) | eU (%) | R (K) | U (W/m2K) | eU (%) | R (K) | U (W/m2K) | σUm (%) | R (K) | Uavg (W/m2K) | σU (W/m2K) | σU (%) |
| 3 | 1.95 | -- | 4.04 | 2.20 | 0.1 | 1.14 | 3.50 | -- | 1.64 | 0.84 | -- | 5.40 | 2.55 | 0.45 | 17.6 |
| 4 | 0.56 | 0.3 | 0.64 | 0.51 | 0.1 | 0.53 | 0.59 | 0.2 | 0.67 | 0.52 | 0.005 | 0.99 | 0.55 | 0.03 | 4.6 |
| 5 | 0.23 | 0.3 | 0.62 | 0.50 | 0.005 | 0.45 | 0.55 | 0.005 | 0.50 | 0.51 | 0.005 | 0.79 | 0.43 | 0.09 | 21.3 |
| 6 | 0.21 | 0.3 | 0.61 | 0.62 | 14.7 | 0.61 | 0.59 | 0.3 | 0.67 | 0.52 | 0.3 | 0.99 | 0.47 | 0.12 | 25.3 |
| 7 | 0.32 | 0.3 | 0.60 | 0.68 | 1.3 | 0.59 | 0.57 | 0.1 | 0.68 | 0.23 | 0.1 | 5.25 | 0.52 | 0.10 | 20.1 |
Series a | Series b | Series c | Series d | Series a, b, c | |||||||||||
|---|---|---|---|---|---|---|---|---|---|---|---|---|---|---|---|
| Ner Nodes | g (-) | eg (%) | R (K) | g (-) | eg (%) | R (K) | g (-) | eg (%) | R (K) | g (-) | eg (%) | R (K) | gavg (-) | σg (-) | σg (%) |
| 3 | 0.177 | -- | 4.04 | 0.495 | 0.1 | 1.14 | 0.325 | -- | 1.64 | 0.055 | -- | 5.40 | 0.332 | 0.091 | 27.6 |
| 4 | 0.007 | 0.005 | 0.64 | 0.007 | 0.005 | 0.53 | 0.007 | 0.005 | 0.67 | 0.007 | 0.005 | 0.99 | 0.007 | 0 | 0 |
| 5 | -- | -- | 0.62 | -- | -- | 0.45 | -- | -- | 0.50 | -- | -- | 0.79 | -- | -- | -- |
| 6 | 0.007 | 27.2 | 0.61 | 0.067 | 58.7 | 0.61 | 0.007 | 0.005 | 0.67 | 0.007 | 0.005 | 0.99 | 0.027 | 0.017 | 64.2 |
| 7 | 0.007 | 1.4 | 0.60 | 0.067 | 5.5 | 0.59 | 0.007 | 0.005 | 0.68 | 0.007 | 22.8 | 5.25 | 0.027 | 0.017 | 64.2 |
Series a | Series b | Series c | Series d | Series a, b, c | |||||||||||
|---|---|---|---|---|---|---|---|---|---|---|---|---|---|---|---|
| Ner Nodes | g (-) | eg (%) | R (W/m2) | g (-) | eg (%) | R (W/m2) | g (-) | eg (%) | R (W/m2) | g (-) | eg (%) | R (W/m2) | gavg (-) | σg (-) | σg (%) |
| 3 | 0.05 | 10.3 | 8.52 | 0.188 | 2.5 | 4.16 | 0.106 | -- | 5.71 | 0.05 | 0.1 | 7.13 | 0.114 | 0.04 | 34.7 |
| 4 | 0.006 | 8.3 | 3.59 | 0.009 | 0.6 | 3.17 | 0.01 | 2.3 | 3.33 | 0.006 | 0.1 | 3.37 | 0.008 | 0.001 | 13.9 |
| 5 | -- | -- | 3.37 | -- | -- | 2.69 | 0.004 | 8.7 | 3.31 | -- | -- | 3.60 | 0.004 | 0 | -- |
| 6 | 0.002 | 100 | 3.51 | 0.001 | 100 | 3.24 | 0.003 | 3.8 | 3.16 | 0.002 | 14.9 | 3.51 | 0.002 | 0.001 | 28.9 |
| 7 | 0.002 | 100 | 3.51 | 0.002 | 27.2 | 3.24 | 0.009 | -- | 3.32 | 0.007 | 100 | 3.51 | 0.004 | 0.002 | 46.6 |
Series a | Series b | Series c | Series d | Series a, b, c | |||||||||||
|---|---|---|---|---|---|---|---|---|---|---|---|---|---|---|---|
| Wall | U (W/m2K) | eU (%) | R (K) | U (W/m2K) | eU (%) | R (K) | U (W/m2K) | eU (%) | R (K) | U (W/m2K) | eU (%) | R (K) | Uavg (W/m2K) | σU (W/m2K) | σU (%) |
| Right | 0.44 | 0.5 | 1.53 | 0.45 | 9.5 | 0.88 | 0.46 | 2.6 | 1.36 | 0.45 | 0.1 | 1.71 | 0.45 | 0.01 | 1.2 |
| Left | 0.46 | 15 | 1.35 | 0.47 | 77.3 | 0.78 | 0.48 | 22.4 | 1.08 | 0.47 | 4.4 | 1.48 | 0.47 | 0.01 | 1.0 |
| Back | 0.46 | -- | 0.45 | 0.44 | 0.005 | 0.43 | 0.48 | 0.005 | 0.51 | 0.45 | -- | 0.68 | 0.46 | 0.01 | 2.0 |
| Floor | 0.59 | 4 | 2.10 | 0.49 | 50.9 | 0.83 | 0.65 | 64.3 | 1.31 | 0.53 | 5.8 | 3.22 | 0.58 | 0.05 | 7.9 |
| Celling | 0.53 | 0.3 | 0.52 | 0.50 | 0.1 | 0.45 | 0.55 | 1.8 | 0.56 | 0.51 | -- | 0.81 | 0.52 | 0.01 | 2.8 |
Series a | Series b | Series c | Series d | Series a, b, c | |||||||||||
|---|---|---|---|---|---|---|---|---|---|---|---|---|---|---|---|
| Wall | U (W/m2K) | eU (%) | R (K) | U (W/m2K) | eU (%) | R (K) | U (W/m2K) | eU (%) | R (K) | U (W/m2K) | eU (%) | R (K) | Uavg (W/m2K) | σU (W/m2K) | σU (%) |
| Right | 0.47 | 3.9 | 1.58 | 0.45 | 44.9 | 0.89 | 0.48 | 5.8 | 1.38 | 0.45 | 0.3 | 1.80 | 0.47 | 0.01 | 1.5 |
| Left | 5.46 | 89.8 | 4.57 | 0.47 | 40 | 0.78 | 0.56 | 41.4 | 1.03 | 2.95 | 2.4 | 7.18 | 2.16 | 1.44 | 66.6 |
| Back | 0.47 | 0.8 | 0.48 | 0.47 | 0.1 | 0.40 | 2.07 | 11.6 | 1.40 | 0.46 | 0.005 | 0.76 | 1.01 | 0.46 | 46.1 |
| Floor | 8.18 | 13 | 4.58 | 0.50 | 59.4 | 0.84 | 14.38 | 7.3 | 1.99 | 0.53 | 100 | 3.26 | 7.68 | 4.01 | 52.2 |
| Celling | 0.56 | 0.3 | 0.64 | 0.51 | 0.1 | 0.53 | 0.59 | 0.2 | 0.67 | 0.52 | 0.005 | 0.99 | 0.55 | 0.03 | 4.6 |
Series a | Series b | Series c | Series d | Series a, b, c | |||||||||||
|---|---|---|---|---|---|---|---|---|---|---|---|---|---|---|---|
| Wall | g (-) | Ug (%) | R (K) | g (-) | Ug (%) | R (K) | g (-) | Ug (%) | R (K) | g (-) | Ug (%) | R (K) | gavg (-) | Ug (-) | Ug (%) |
| Right | 0.007 | 0.005 | 1.58 | 0.007 | 30.4 | 0.89 | 0.007 | 0.005 | 1.38 | -- | -- | 1.80 | 0.007 | 0.000 | 0.0 |
| Left | 0.337 | 86.3 | 4.57 | -- | -- | 0.78 | 0.007 | 1.3 | 1.03 | 0.263 | 2.7 | 7.18 | 0.172 | 0.095 | 55.4 |
| Back | 0.007 | 0.005 | 0.48 | 0.031 | 0.005 | 0.40 | 0.911 | 14.7 | 1.40 | 0.007 | 0.005 | 0.76 | 0.316 | 0.261 | 82.5 |
| Floor | 0.507 | 15.5 | 4.58 | -- | -- | 0.84 | 0.813 | 6.9 | 1.99 | -- | -- | 3.26 | 0.66 | 0.088 | 13.4 |
| Celling | 0.007 | 0.005 | 0.64 | 0.007 | 0.005 | 0.53 | 0.007 | 0.005 | 0.67 | 0.007 | 0.005 | 0.99 | 0.007 | 0.000 | 0.0 |
Series a | Series b | Series c | Series a, b, c | |||||||||
|---|---|---|---|---|---|---|---|---|---|---|---|---|
Days | U (W/m2K) | eU (%) | R (K) | U (W/m2K) | eU (%) | R (K) | U (W/m2K) | eU (%) | R (K) | Uavg (W/m2K) | σU (W/m2K) | σU (%) |
| 2 | 0.545 | 6.3 | 0.2 | 0.497 | 7.5 | 0.2 | 0.549 | 1.7 | 0.4 | 0.530 | 0.015 | 2.8 |
| 3 | 0.543 | 97.6 | 0.2 | 0.491 | 0.1 | 0.2 | 0.547 | 0.4 | 0.4 | 0.527 | 0.016 | 3.1 |
| 4 | 0.553 | 0.2 | 0.5 | 0.493 | 0.1 | 0.2 | 0.541 | 0.2 | 0.5 | 0.529 | 0.017 | 3.3 |
| 5 | 0.545 | 2.5 | 0.4 | 0.489 | 0.4 | 0.3 | 0.537 | 0.2 | 0.5 | 0.524 | 0.016 | 3.1 |
| 6 | 0.529 | 100 | 0.6 | 0.489 | 0.0 | 0.3 | 0.533 | 0.2 | 0.5 | 0.517 | 0.013 | 2.5 |
| 7 | 0.525 | 0.1 | 0.6 | 0.491 | 0.0 | 0.3 | 0.535 | 0.1 | 0.5 | 0.517 | 0.013 | 2.5 |
| 8 | 0.525 | 0.8 | 0.5 | 0.495 | 0.1 | 0.4 | 0.537 | 0.3 | 0.5 | 0.519 | 0.012 | 2.3 |
| 9 | 0.527 | -- | 0.5 | 0.495 | 0.3 | 0.4 | 0.537 | 0.2 | 0.5 | 0.520 | 0.012 | 2.3 |
| 10 | 0.529 | 0.2 | 0.5 | 0.495 | 0.0 | 0.4 | 0.541 | 0.1 | 0.5 | 0.522 | 0.013 | 2.6 |
| 11 | 0.529 | -- | 0.5 | 0.497 | 0.0 | 0.4 | 0.547 | 0.1 | 0.6 | 0.524 | 0.014 | 2.8 |
Series a | Series b | Series c | Series d | Series a, b, c | |||||||||||
|---|---|---|---|---|---|---|---|---|---|---|---|---|---|---|---|
| Ner Nodes | UA (W/K) | eUA (%) | R (K) | UA (W/K) | eUA (%) | R (K) | UA (W/K) | eUA (%) | R (K) | UA (W/K) | eUA (%) | R (K) | UAavg (W/K) | σUA (W/K) | σUA (%) |
| 3 | 4.10 | 6.4 | 0.58 | 4.35 | 3.3 | 0.53 | 3.75 | 2.1 | 0.55 | 4.14 | 1.4 | 0.70 | 4.07 | 0.17 | 4.2 |
| 4 | 3.68 | 2.6 | 0.67 | 4.20 | 4 | 0.49 | 4.83 | 7.4 | 0.61 | 4.15 | 0.8 | 0.56 | 4.24 | 0.33 | 7.8 |
| 5 | 4.22 | 1 | 0.33 | 4.82 | -- | 0.40 | 4.44 | 0.2 | 0.40 | 4.15 | 0.1 | 0.55 | 4.49 | 0.17 | 3.9 |
| 6 | 4.13 | 4.8 | 0.40 | 5.99 | 14.4 | 0.43 | 4.44 | 0.5 | 0.40 | 4.05 | 2.1 | 0.57 | 4.85 | 0.54 | 11.1 |
| 7 | 4.22 | 0.5 | 0.33 | 5.29 | 0.6 | 0.37 | 3.87 | 0.1 | 0.41 | 4.15 | 0.1 | 0.56 | 4.46 | 0.41 | 9.2 |
Series a | Series b | Series c | Series d | Series a, b, c | |||||||||||
|---|---|---|---|---|---|---|---|---|---|---|---|---|---|---|---|
| Ner Nodes | gA (m2) | egA (%) | R (K) | gA (m2) | egA (%) | R (K) | gA (m2) | egA (%) | R (K) | gA (m2) | egA (%) | R (K) | gAavg (m2) | σgA (m2) | σgA (%) |
| 3 | 0.153 | 0.1 | 0.58 | 0.153 | 10.6 | 0.53 | 0.141 | 2.7 | 0.55 | 0.153 | 1.6 | 0.70 | 0.149 | 0.003 | 2.3 |
| 4 | 0.117 | 5.3 | 0.67 | 0.153 | 2.8 | 0.49 | 0.141 | 3.1 | 0.61 | 0.165 | 5.4 | 0.56 | 0.137 | 0.01 | 7.6 |
| 5 | 0.165 | 0.005 | 0.33 | 0.177 | -- | 0.40 | 0.153 | 0.8 | 0.40 | 0.165 | 0.2 | 0.55 | 0.165 | 0.007 | 4.2 |
| 6 | 0.141 | 0.005 | 0.40 | 0.153 | 12.4 | 0.43 | 0.153 | 0.2 | 0.40 | 0.141 | 1.2 | 0.57 | 0.149 | 0.003 | 2.3 |
| 7 | 0.165 | 0.005 | 0.33 | 0.177 | 0.9 | 0.37 | 0.141 | 0.8 | 0.41 | 0.165 | 0.005 | 0.56 | 0.161 | 0.01 | 6.5 |
Series a | Series b | Series c | Series a, b, c | |||||||||
|---|---|---|---|---|---|---|---|---|---|---|---|---|
| Days | UA (W/K) | eUA (%) | R (K) | UA (W/K) | eUA (%) | R (K) | UA (W/K) | eUA (%) | R (K) | UAavg (W/K) | σUA (W/K) | σUA (%) |
| 2 | 4.35 | 14.3 | 0.4 | 5.09 | 18.4 | 0.6 | 5.75 | 10.9 | 0.3 | 5.06 | 0.41 | 8.0 |
| 3 | 7.17 | 8.7 | 0.4 | 3.95 | 2.4 | 0.4 | 5.54 | 5.3 | 0.4 | 5.55 | 0.93 | 16.8 |
| 4 | 4.00 | 11 | 0.6 | 4.24 | 0.5 | 0.4 | 4.25 | 4 | 0.5 | 4.16 | 0.07 | 1.7 |
| 5 | 4.01 | 3.7 | 0.6 | 4.25 | 1.1 | 0.4 | 3.87 | 12 | 0.5 | 4.04 | 0.11 | 2.7 |
| 6 | 4.06 | 8 | 0.6 | 4.41 | 7.4 | 0.4 | 3.80 | 2.9 | 0.6 | 4.09 | 0.18 | 4.3 |
| 7 | 4.11 | 2.8 | 0.6 | 4.17 | 0.2 | 0.4 | 4.73 | 7.2 | 0.6 | 4.18 | 0.31 | 7.5 |
| 8 | 4.13 | 7.8 | 0.6 | 4.16 | 0.4 | 0.4 | 3.87 | 4.8 | 0.6 | 4.05 | 0.08 | 2.1 |
| 9 | 4.10 | 1.6 | 0.6 | 4.18 | 2.3 | 0.4 | 4.74 | 5.8 | 0.6 | 4.34 | 0.19 | 4.3 |
| 10 | 4.10 | 2.2 | 0.6 | 4.42 | 5 | 0.4 | 4.43 | 10.3 | 0.6 | 4.31 | 0.10 | 2.2 |
| 11 | 4.10 | 6.8 | 0.6 | 4.35 | 1.7 | 0.5 | 3.75 | 2.9 | 0.6 | 4.07 | 0.17 | 4.3 |
Series a | Series b | Series c | Series a, b, c | |||||||||
|---|---|---|---|---|---|---|---|---|---|---|---|---|
| Days | gA (m2) | egA (%) | R (K) | gA (m2) | egA (%) | R (K) | gA (m2) | egA (%) | R (K) | gAavg (m2) | σgA (m2) | σgA (%) |
| 2 | 0.165 | 2.2 | 0.4 | 0.105 | 100.0 | 0.6 | 0.385 | 1.0 | 0.3 | 0.218 | 0.081 | 37.0 |
| 3 | 0.481 | 2.8 | 0.4 | 0.105 | 15.5 | 0.4 | 0.227 | 1.4 | 0.4 | 0.271 | 0.109 | 40.1 |
| 4 | 0.153 | 3.8 | 0.6 | 0.203 | 0.8 | 0.4 | 0.165 | 2.1 | 0.5 | 0.174 | 0.014 | 8.3 |
| 5 | 0.153 | 2.4 | 0.6 | 0.203 | 4.4 | 0.4 | 0.141 | 6.8 | 0.5 | 0.166 | 0.018 | 10.8 |
| 6 | 0.153 | 0.9 | 0.6 | 0.165 | 27.9 | 0.4 | 0.141 | 3.6 | 0.6 | 0.153 | 0.007 | 4.5 |
| 7 | 0.153 | 1.1 | 0.6 | 0.177 | 1.1 | 0.4 | 0.141 | 13.5 | 0.6 | 0.145 | 0.017 | 12.0 |
| 8 | 0.153 | 4.8 | 0.6 | 0.165 | 5.1 | 0.4 | 0.153 | 0.1 | 0.6 | 0.157 | 0.003 | 2.2 |
| 9 | 0.153 | 0.2 | 0.6 | 0.177 | 8.5 | 0.4 | 0.141 | 10.7 | 0.6 | 0.157 | 0.01 | 6.6 |
| 10 | 0.153 | 0.1 | 0.6 | 0.177 | 8.0 | 0.4 | 0.141 | 3.8 | 0.6 | 0.157 | 0.01 | 6.6 |
| 11 | 0.153 | 0.1 | 0.6 | 0.153 | 3.1 | 0.5 | 0.141 | 2.7 | 0.6 | 0.149 | 0.003 | 2.3 |
Series a | Series b | Series c | Series d | Series a, b, c | |||||||||||
|---|---|---|---|---|---|---|---|---|---|---|---|---|---|---|---|
| Model | UA (W/K) | eUA (%) | R (K) | UA (W/K) | eUA (%) | R (K) | UA (W/K) | eUA (%) | R (K) | UA (W/K) | eUA (%) | R (K) | UAavg (W/K) | σUA (W/K) | σUA (%) |
| 0 | 4.10 | 6.4 | 0.6 | 4.35 | 3.3 | 0.5 | 3.75 | 2.1 | 0.6 | 4.14 | 1.4 | 0.7 | 4.07 | 0.17 | 4.2 |
| 1 | 3.02 | 41.7 | 2.3 | 3.23 | 18.9 | 1.0 | 3.38 | 100 | 2.4 | 3.97 | 56 | 3.0 | 3.21 | 0.10 | 3.2 |
| 2 | 4.00 | 6.4 | 0.7 | 3.88 | 4 | 0.6 | 3.58 | 11 | 1.2 | 4.00 | 33.5 | 1.9 | 3.82 | 0.12 | 3.2 |
| 3 | 4.09 | 5.3 | 0.6 | 4.26 | 3.4 | 0.5 | 3.72 | 4.1 | 0.6 | 3.87 | 1.2 | 0.7 | 4.03 | 0.16 | 3.9 |
| 4 | 35.45 | 2.7 | 0.6 | 2.93 | 8.1 | 0.5 | 3.22 | 3.5 | 0.6 | 3.91 | 19.2 | 0.7 | 13.87 | 9.39 | 67.7 |
| 5 1 | - | - | - | 4.04 | 0.1 | 31.4 1 | 4.47 | 0.005 | 40.2 1 | 3.89 | 0.2 | 49.0 1 | - | - | - |
Series a | Series b | Series c | Series d | Series a, b, c | |||||||||||
|---|---|---|---|---|---|---|---|---|---|---|---|---|---|---|---|
| Model | gA (m2) | egA (%) | R (K) | gA (m2) | egA (%) | R (K) | gA (m2) | egA (%) | R (K) | gA (m2) | egA (%) | R (K) | UAavg (m2) | σgA (m2) | σgA (%) |
| 0 | 0.153 | 0.1 | 0.6 | 0.153 | 10.6 | 0.5 | 0.141 | 2.7 | 0.6 | 0.153 | 1.6 | 0.7 | 0.149 | 0.003 | 2.3 |
| 1 | - | - | - | - | - | - | - | - | - | - | - | - | - | - | - |
| 2 | 0.165 | 0.6 | 0.7 | 0.141 | 8.3 | 0.6 | 0.227 | 1.4 | 1.2 | 0.177 | 32.3 | 1.9 | 0.178 | 0.025 | 14.0 |
| 3 | 0.153 | 4.6 | 0.6 | 0.153 | 2.4 | 0.5 | 0.141 | 3.8 | 0.6 | 0.141 | 1.3 | 0.7 | 0.149 | 0.003 | 2.3 |
| 4 | 1.361 | 0.4 | 0.6 | 0.105 | 17.4 | 0.5 | 0.105 | 0.8 | 0.6 | 0.141 | 20.4 | 0.7 | 0.524 | 0.363 | 69.2 |
| 5 1 | - | - | - | 0.151 | 0.2 | 31.4 1 | 0.100 | 0.005 | 40.2 1 | 0.100 | 0.005 | 49.0 1 | - | - | - |
© 2020 by the authors. Licensee MDPI, Basel, Switzerland. This article is an open access article distributed under the terms and conditions of the Creative Commons Attribution (CC BY) license (http://creativecommons.org/licenses/by/4.0/).
Share and Cite
Olazo-Gómez, Y.; Herrada, H.; Castaño, S.; Arce, J.; Xamán, J.P.; Jiménez, M.J. Data-Based RC Dynamic Modelling to Assessing the In-Situ Thermal Performance of Buildings. Analysis of Several Key Aspects in a Simplified Reference Case toward the Application at On-Board Monitoring Level. Energies 2020, 13, 4800. https://doi.org/10.3390/en13184800
Olazo-Gómez Y, Herrada H, Castaño S, Arce J, Xamán JP, Jiménez MJ. Data-Based RC Dynamic Modelling to Assessing the In-Situ Thermal Performance of Buildings. Analysis of Several Key Aspects in a Simplified Reference Case toward the Application at On-Board Monitoring Level. Energies. 2020; 13(18):4800. https://doi.org/10.3390/en13184800
Chicago/Turabian StyleOlazo-Gómez, Yessenia, Héctor Herrada, Sergio Castaño, Jesús Arce, Jesús P. Xamán, and María José Jiménez. 2020. "Data-Based RC Dynamic Modelling to Assessing the In-Situ Thermal Performance of Buildings. Analysis of Several Key Aspects in a Simplified Reference Case toward the Application at On-Board Monitoring Level" Energies 13, no. 18: 4800. https://doi.org/10.3390/en13184800
APA StyleOlazo-Gómez, Y., Herrada, H., Castaño, S., Arce, J., Xamán, J. P., & Jiménez, M. J. (2020). Data-Based RC Dynamic Modelling to Assessing the In-Situ Thermal Performance of Buildings. Analysis of Several Key Aspects in a Simplified Reference Case toward the Application at On-Board Monitoring Level. Energies, 13(18), 4800. https://doi.org/10.3390/en13184800





