Development of a Variable Valve Actuation Control to Improve Diesel Oxidation Catalyst Efficiency and Emissions in a Light Duty Diesel Engine
Abstract
1. Introduction
1.1. Valve Events of a Four-Stroke Engine
1.2. Variable Valve Timing Strategies
1.2.1. Intake Valve Opening (IVO)
1.2.2. Intake Valve Closing (IVC)
1.2.3. Exhaust Valve Opening (EVO)
1.2.4. Exhaust Valve Closing (EVC)
2. Experimental Setup
3. Model Setup and Validation
3.1. Virtual Engine Model (VEMOD)
3.2. Model Validation at Transient Operating Conditions
4. Methodology
- Exhaust phasing and Intake phasing (EP + IP): the exhaust event and the intake event are shifted the same angle, respect to the baseline valve timings. The intake and exhaust valve lifts are represented by a red line with diamond markers in Figure 7. Two versions of this system have been modeled and simulated: one actuating over the cylinder valves and the other actuating only over one intake valve and one exhaust valve. The increase in the exhaust temperature is created, partially, due to the EEVO, since the exhaust blowdown of hot gases from the combustion into the exhaust ports increases the temperature downstream this point. Moreover, some amount of burnt gases are retained later during the intake stroke due to the early EVC, increasing the air-charge temperature at IVC. The late IVO avoids a hot backflow of these burnt gases into the intake manifold, and it compensates the pumping losses due to the compression of these gases with the following brief expansion between TDC and IVO. A parametric study has been done in steady-state conditions by modifying the advance/delay from 10° CA to 80° CA in 10° steps, as seen in Figure 7.
- Exhaust valve re-opening (EVrO): it consists in a second exhaust event during the intake stroke. The intake and exhaust valve lifts are represented by a blue line with triangle markers in Figure 7. The light blue dashed lines represent the minimum and maximum re-opening possibilities. In this case, the re-opening is only applied over one of the exhaust valves and the way it increases the exhaust temperature is by aspiring part of the expelled gases from the exhaust ports back to the cylinder during the intake stroke. In this way, the air-charge temperature at IVC is higher than in the baseline case. A parametric study has been carried out by modifying the re-opening lift from 1 to 5 mm, in steps of 1 mm; re-opening start from 370° CA (just after EVC) to 430° CA, in 10° CA steps; and, re-opening duration from 60° CA to 160° CA, in 20° CA steps, resulting in a three-dimensional (3D) matrix of 210 combinations.
5. Results and Discussion
6. Summary and Conclusions
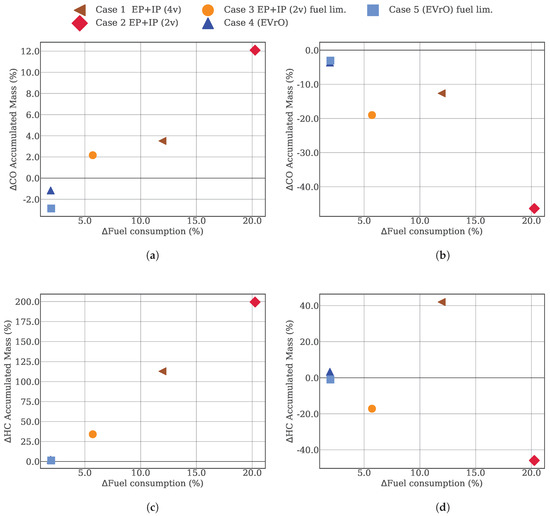
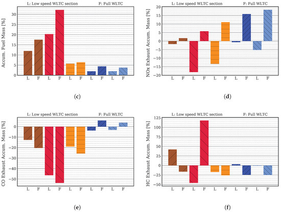
- The exhaust temperature is increased and the warm-up time reduced in all the five cases. The increase in the exhaust gas temperature allows higher CO and HC conversion efficiencies in the catalyst. “EP + IP” cases are the most profitable in this way. Case 2 achieves an average increment in exhaust temperature of 67 °C, followed by Case 1 with an average increase of 42 °C over the low speed stage. Case 2 allows the greatest increment in HC and CO accumulated conversion efficiency: 8.5% more than the baseline, for HC conversion, and 18% for the CO over the low speed stage of the WLTC.
- “EVrO” alternatives (Cases 4 and 5) do not offer a noticeable increase in the exhaust temperature over the low speed stage of the test cycle, compared to the other cases. Their average increase over this stage of the WLTC is around 8 °C.
- Cases 4 and 5 can reduce slightly the CO and HC formation. However, they cannot reduce the tailpipe emissions as much as Cases 1–3 (specially over the low speed stage) due to their low contribution towards increasing the exhaust gases enthalpy. At the end of the low speed stage of the WLTC, HC and CO accumulated conversion efficiencies of both “EVrO” cases are fairly similar as the baseline ones.
- Despite the high temperature increase offered by Case 2, its accumulated fuel penalty reaches a 20% at the end of the low speed stage; and it is even higher during the extra high speed. In terms of fuel consumption and emission trade-off, Case 3 arises as a good alternative to reduce HC and CO emissions and provide an increase in the tailpipe temperature, which is profitable for NOx adsorbers placed downstream the DOC.
- Regarding NOx formation, Cases 2 and 3 allow to obtain a slight reduction in absolute values during the low speed stage of the WLTC, reducing NOx emissions by 18% and 13%, respectively. On the contrary, the maximum excess in NOx is near 16%, which is reached by Case 5 over the last high speed transients of the WLTC. “EVrO” strategies (Cases 4 and 5) do not achieve the same exhaust gas retention power as the other cases for the fast accelerations during the extra high speed stage.
- Regarding “EP + IP” cases, when the phasing is applied on the four valves, rather than on two valves, the phasing range gets reduced in order to keep the torque target. Nonetheless, a high advance of the EVO, like in Cases 1 and 2, drastically increases the fuel consumption. The fuel penalty in Case 1 is about 12%, while the one of Case 2 is about 20% at the end of the low speed stage.
Author Contributions
Funding
Conflicts of Interest
Abbreviations
| 0D | Zero-dimensional |
| 1D | One-dimensional |
| BDC | Bottom Dead Centre |
| BSFC | Brake Specific Fuel Consumption |
| CA | Crank Angle |
| CI | Compression Ignited |
| CO | Carbon monoxide |
| DOC | Diesel Oxidation Catalyst |
| DPF | Diesel Particle Filter |
| ECU | Engine Control Unit |
| EEVC | Early Exhaust Valve Closing |
| EEVO | Early Exhaust Valve Opening |
| EGR | Exhaust Gas Recirculation |
| EIVC | Early Intake Valve Closing |
| EIVO | Early Intake Valve Opening |
| EP | Exhaust Phasing |
| EVC | Exhaust Valve Closing |
| EVO | Exhaust Valve Opening |
| EVrO | Exhaust Valve re-Opening |
| FS | Full Scale |
| HC | Hydrocarbons |
| HP-EGR | High Pressure EGR |
| HSDI | High Speed Direct Injection |
| IGR | Internal Gas Recirculation |
| IP | Intake Phasing |
| IVC | Intake Valve Closing |
| IVO | Intake Valve Opening |
| LEVC | Late Exhaust Valve Closing |
| LEVO | Late Exhaust Valve Opening |
| LIVC | Late Intake Valve Closing |
| LIVO | Late Intake Valve Opening |
| LP-EGR | Low Pressure EGR |
| NOx | Nitrogen oxides |
| SI | Spark Ignited |
| SOI | Start of Injection |
| TDC | Top Dead Centre |
| UHC | Unburned hydrocarbons |
| VEMOD | Virtual Engine Model |
| VGT | Variable Geometry Turbine |
| VVA | Variable Valve Actuation |
| VVT | Variable Valve Timing |
| WLTC | Worldwide Harmonized Light-Duty Vehicles Test Cycle |
References
- Arnau, F.J.; Martín, J.; Pla, B.; Auñón, Á. Diesel engine optimization and exhaust thermal management by means of variable valve train strategies. Int. J. Engine Res. 2020. [Google Scholar] [CrossRef]
- Luján, J.M.; Serrano, J.R.; Piqueras, P.; García-Afonso, Ó. Experimental assessment of a pre-turbo aftertreatment configuration in a single stage turbocharged diesel engine. Part 2: Transient operation. Energy 2015, 80, 614–627. [Google Scholar] [CrossRef]
- Lancefield, T.; Methley, I.; Räse, U.; Kuhn, T. The Application of Variable Event Valve Timing to a Modern Diesel Engine. In Proceedings of the SAE 2000 World Congress, Detroit, MI, USA, 6–9 March 2000. [Google Scholar] [CrossRef]
- Gonzalez, D.M.; Di Nunno, D. Internal Exhaust Gas Recirculation for Efficiency and Emissions in a 4-Cylinder Diesel Engine. In Proceedings of the SAE 2016 International Powertrains, Fuels and Lubricants Meeting, Baltimore, MD, USA, 24–26 October 2016. [Google Scholar] [CrossRef]
- Serrano, J.R.; Piqueras, P.; Navarro, R.; Gómez, J.; Michel, M.; Thomas, B. Modelling Analysis of Aftertreatment Inlet Temperature Dependence on Exhaust Valve and Ports Design Parameters. In Proceedings of the SAE 2016 World Congress and Exhibition, Detroit, MI, USA, 12–14 April 2016. [Google Scholar] [CrossRef]
- Siewert, R. How Individual Valve Timing Events Affect Exhaust Emissions. SAE Trans. 1971. [Google Scholar] [CrossRef]
- Tomoda, T.; Ogawa, T.; Ohki, H.; Kogo, T.; Nakatani, K.; Hashimoto, E. Improvement of Diesel Engine Performance by Variable Valve Train System. Int. J. Engine Res. 2010, 11, 331–344. [Google Scholar] [CrossRef]
- Benajes, J.; Reyes, E.; Luján, J.M. Modelling Study of the Scavenging Process in a Turbocharged Diesel Engine with Modified Valve Operation. Proc. Inst. Mech. Eng. Part C J. Mech. Eng. Sci. 1996, 210, 383–393. [Google Scholar] [CrossRef]
- Deppenkemper, K.; Özyalcin, C.; Ehrly, M.; Schoenen, M.; Bergmann, D.; Pischinger, S. 1D Engine Simulation Approach for Optimizing Engine and Exhaust Aftertreatment Thermal Management for Passenger Car Diesel Engines by Means of Variable Valve Train (VVT) Applications. In Proceedings of the WCX World Congress Experience, Detroit, MI, USA, 10–12 April 2018. [Google Scholar] [CrossRef]
- Zammit, J.; McGhee, M.; Shayler, P.; Law, T.; Pegg, I. The effects of early inlet valve closing and cylinder disablement on fuel economy and emissions of a direct injection diesel engine. Energy 2015, 79, 100–110. [Google Scholar] [CrossRef]
- Pan, X.; Zhao, Y.; Lou, D.; Fang, L. Study of the Miller Cycle on a Turbocharged DI Gasoline Engine Regarding Fuel Economy Improvement at Part Load. Energies 2020, 13, 1500. [Google Scholar] [CrossRef]
- Piano, A. Analysis of Advanced Air and Fuel Management Systems for Future Automotive Diesel Engine Generation. Ph.D. Thesis, Politecnico di Torino, Torino, Italy, 2018. [Google Scholar]
- Guan, W.; Pedrozo, V.B.; Zhao, H.; Ban, Z.; Lin, T. Variable valve actuation–based combustion control strategies for efficiency improvement and emissions control in a heavy-duty diesel engine. Int. J. Engine Res. 2019. [Google Scholar] [CrossRef]
- Guan, W.; Zhao, H.; Ban, Z.; Lin, T. Exploring alternative combustion control strategies for low-load exhaust gas temperature management of a heavy-duty diesel engine. Int. J. Engine Res. 2019, 20, 381–392. [Google Scholar] [CrossRef]
- Maniatis, P.; Wagner, U.; Koch, T. A model-based and experimental approach for the determination of suitable variable valve timings for cold start in partial load operation of a passenger car single-cylinder diesel engine. Int. J. Engine Res. 2019, 20, 141–154. [Google Scholar] [CrossRef]
- Kim, J.; Choongsik, B. An investigation on the effects of late intake valve closing and exhaust gas recirculation in a single-cylinder research diesel engine in the low-load condition. Proc. Inst. Mech. Eng. Part D J. Automob. Eng. 2016, 230, 771–787. [Google Scholar] [CrossRef]
- Zhou, X.; Liu, E.; Sun, D.; Su, W. Study on transient emission spikes reduction of a heavy-duty diesel engine equipped with a variable intake valve closing timing mechanism and a two-stage turbocharger. Int. J. Engine Res. 2019, 20, 277–291. [Google Scholar] [CrossRef]
- Gosala, D.B.; Ramesh, A.K.; Allen, C.M.; Joshi, M.C.; Taylor, A.H.; Voorhis, M.V.; Shaver, G.M.; Farrell, L.; Koeberlein, E.; James McCarthy, J.; et al. Diesel engine aftertreatment warm-up through early exhaust valve opening and internal exhaust gas recirculation during idle operation. Int. J. Engine Res. 2018, 19, 758–773. [Google Scholar] [CrossRef]
- Parvate-Patil, G.; Hong, H.; Gordon, B. Analysis of Variable Valve Timing Events and Their Effects on Single Cylinder Diesel Engine. In Proceedings of the 2004 Powertrain and Fluid Systems Conference and Exhibition, Tampa, FL, USA, 25–28 October 2004. [Google Scholar] [CrossRef]
- Piano, A.; Millo, F. Numerical Analysis on the Potential of Different Variable Valve Actuation Strategies on a Light Duty Diesel Engine for Improving Exhaust System Warm Up. In Proceedings of the 13th International Conference on Engines and Vehicles, Capri, Italy, 10–14 September 2017. [Google Scholar] [CrossRef]
- Payri, F.; Arnau, F.; Piqueras, P.; Ruiz, M. Lumped Approach for Flow-Through and Wall-Flow Monolithic Reactors Modelling for Real-Time Automotive Applications. In Proceedings of the WCX World Congress Experience, Detroit, MI, USA, 10–12 April 2018. [Google Scholar] [CrossRef]
- Martín, J.; Arnau, F.; Piqueras, P.; Auñón, A. Development of an Integrated Virtual Engine Model to Simulate New Standard Testing Cycles. In Proceedings of the WCX World Congress Experience, Detroit, MI, USA, 10–12 April 2018. [Google Scholar] [CrossRef]
- Serrano, J.R.; Arnau, F.; García-Cuevas, L.; Dombrovsky, A.; Tartoussi, H. Development and validation of a radial turbine efficiency and mass flow model at design and off-design conditions. Energy Convers. Manag. 2016, 128, 281–293. [Google Scholar] [CrossRef]
- Galindo, J.; Tiseira, A.; Navarro, R.; Tarí, D.; Tartoussi, H.; Guilain, S. Compressor Efficiency Extrapolation for 0D-1D Engine Simulations. In Proceedings of the SAE 2016 World Congress and Exhibition, Detroit, MI, USA, 12–14 April 2016. [Google Scholar] [CrossRef]
- Serrano, J.R.; Olmeda, P.; Arnau, F.; Samala, V. A holistic methodology to correct heat transfer and bearing friction losses from hot turbocharger maps in order to obtain adiabatic efficiency of the turbomachinery. Int. J. Engine Res. 2020, 21, 1314–1335. [Google Scholar] [CrossRef]
- Serrano, J.R.; Olmeda, P.; Arnau, F.J.; Dombrovsky, A.; Smith, L. Analysis and Methodology to Characterize Heat Transfer Phenomena in Automotive Turbochargers. J. Eng. Gas Turbines Power 2014, 137. [Google Scholar] [CrossRef]
- Serrano, J.R.; Olmeda, P.; Arnau, F.J.; Dombrovsky, A.; Smith, L. Turbocharger heat transfer and mechanical losses influence in predicting engines performance by using one-dimensional simulation codes. Energy 2015, 86, 204–218. [Google Scholar] [CrossRef]
- Arrègle, J.; López, J.J.; Martín, J.; Mocholí, E.M. Development of a Mixing and Combustion Zero-Dimensional Model for Diesel Engines. In Proceedings of the SAE 2006 World Congress and Exhibition, Detroit, MI, USA, 3–6 April 2006. [Google Scholar] [CrossRef]
- Payri, F.; Arrègle, J.; López, J.J.; Mocholí, E. Diesel NOx Modeling with a Reduction Mechanism for the Initial NOx Coming from EGR or Re-entrained Burned Gases. In Proceedings of the SAE World Congress and Exhibition, Detroit, MI, USA, 14–17 April 2008. [Google Scholar] [CrossRef]
- Broatch, A.; Olmeda, P.; Martín, J.; Salvador-Iborra, J. Development and Validation of a Submodel for Thermal Exchanges in the Hydraulic Circuits of a Global Engine Model. In Proceedings of the WCX World Congress Experience, Detroit, MI, USA, 10–12 April 2018. [Google Scholar] [CrossRef]
- Guardiola, C.; Pla, B.; Bares, P.; Mora, J. An on-board method to estimate the light-off temperature of diesel oxidation catalysts. Int. J. Engine Res. 2018. [Google Scholar] [CrossRef]
- Russell, A.; Epling, W. Diesel Oxidation Catalysts. Catal. Rev. 2011, 53, 337–423. [Google Scholar] [CrossRef]
- Guardiola, C.; Pla, B.; Piqueras, P.; Mora, J.; Lefebvre, D. Model-based passive and active diagnostics strategies for diesel oxidation catalysts. Appl. Therm. Eng. 2017, 110, 962–971. [Google Scholar] [CrossRef]
- Abdelghaffar, W.A.; Osman, M.M.; Saeed, M.N.; Abdelfatteh, A.I. Effects of Coolant Temperature on the Performance and Emissions of a Diesel Engine. In Proceedings of the ASME 2002 Internal Combustion Engine Division Spring Technical Conference, Montreal, QC, Canada, 29 September–2 October 2002; Number ICES2002-464. pp. 187–197. [Google Scholar] [CrossRef]
- Torregrosa, A.; Olmeda, P.; Martín, J.; Degraeuwe, B. Experiments on the influence of inlet charge and coolant temperature on performance and emissions of a DI Diesel engine. Exp. Therm. Fluid Sci. 2006, 30, 633–641. [Google Scholar] [CrossRef]

















| Type | EURO 5 HSDI Diesel Engine |
|---|---|
| Displacement | 1598 cm3 |
| Stroke | 79.5 mm |
| Bore | 80 mm |
| Compression ratio | 14.5:1 |
| Number of valves | 4 per cylinder (2 int., 2 exh.) |
| Number of cylinders | 4 in line |
| Air management | VGT, LP-EGR, HP-EGR |
| EAT System | Closed-coupled DOC + DPF |
| Max. power @ speed | 96 kW @ 4000 rpm |
| Max. torque @ speed | 320 Nm @ 1750 rpm |
| Variable | Instrument | Range | Accuracy |
|---|---|---|---|
| Crank angle | Encoder | 0–360° | ±0.02° |
| Torque | Dynamometer | 0–400 Nm | ±0.5 Nm |
| Gas/wall temperature | k-type thermocouple | 70–1520 K | ±2 K |
| Air mass flow | Sensyflow DN80 | 0–1700 hg/h | ±2% |
| Coolant flow | Krohne 400 Optiflux | 4.5–90 L/min | ±0.5% |
| Oil pressure | Piezoresistive transducer | 0–10 bar | ±25 mbar |
| In-cylinder pressure | AVL GH13P | 0–200 bar | Linearity 0.3% |
| Opacity | AVL439 Opacimeter | 0–100% | 0.01% |
| CO | Horiba MEXA-One | 0–5000 ppm, 0–12 vol% | 1% FS |
| CO2 | Horiba MEXA-One | 0–20 vol% | 1% FS |
| O2 | Horiba MEXA-One | 0–22 vol% | 1% FS |
| THC | Horiba MEXA-One | 0–20,000 ppmC | 1% FS |
| NO/NOx | Horiba MEXA-One | 0–10,000 ppm | 1% FS |
| Case | Technology | Objective |
|---|---|---|
| Baseline | Original valve timing | - |
| Case 1 | EP + IP in the 4 valves | Maximize DOC inlet temperature |
| Case 2 | EP + IP in only 2 valves | Maximize DOC inlet temperature |
| Case 3 | EP + IP in only 2 valves | Maximize DOC inlet temperature, limiting the fuel penalty up to 10% |
| Case 4 | EVrO in only 2 valves | Maximize DOC inlet temperature |
| Case 5 | EVrO in only 2 valves | Maximize DOC inlet temperature, limiting the fuel penalty up to 10% |
© 2020 by the authors. Licensee MDPI, Basel, Switzerland. This article is an open access article distributed under the terms and conditions of the Creative Commons Attribution (CC BY) license (http://creativecommons.org/licenses/by/4.0/).
Share and Cite
Serrano, J.R.; Arnau, F.J.; Martín, J.; Auñón, Á. Development of a Variable Valve Actuation Control to Improve Diesel Oxidation Catalyst Efficiency and Emissions in a Light Duty Diesel Engine. Energies 2020, 13, 4561. https://doi.org/10.3390/en13174561
Serrano JR, Arnau FJ, Martín J, Auñón Á. Development of a Variable Valve Actuation Control to Improve Diesel Oxidation Catalyst Efficiency and Emissions in a Light Duty Diesel Engine. Energies. 2020; 13(17):4561. https://doi.org/10.3390/en13174561
Chicago/Turabian StyleSerrano, José R., Francisco J. Arnau, Jaime Martín, and Ángel Auñón. 2020. "Development of a Variable Valve Actuation Control to Improve Diesel Oxidation Catalyst Efficiency and Emissions in a Light Duty Diesel Engine" Energies 13, no. 17: 4561. https://doi.org/10.3390/en13174561
APA StyleSerrano, J. R., Arnau, F. J., Martín, J., & Auñón, Á. (2020). Development of a Variable Valve Actuation Control to Improve Diesel Oxidation Catalyst Efficiency and Emissions in a Light Duty Diesel Engine. Energies, 13(17), 4561. https://doi.org/10.3390/en13174561

