Decentralized Frequency Control of Battery Energy Storage Systems Distributed in Isolated Microgrid
Abstract
1. Introduction
- The proposed frequency droop control adapts the droop coefficients based on the current battery SOC. As a result, the active power sharing is proportional to the battery SOC, and low frequency nadir and fast frequency response is achieved.
- The adaptive frequency droop control is combined with the frequency restoration and virtual inertia control. This improves the frequency control and system resilience.
- The proposed control system is fully decentralized and does not require any communication infrastructure which improves the system reliability.
- Small signal modelling and eigenvalue analysis are employed to find the parameters of the proposed control system.
2. Microgrid Description
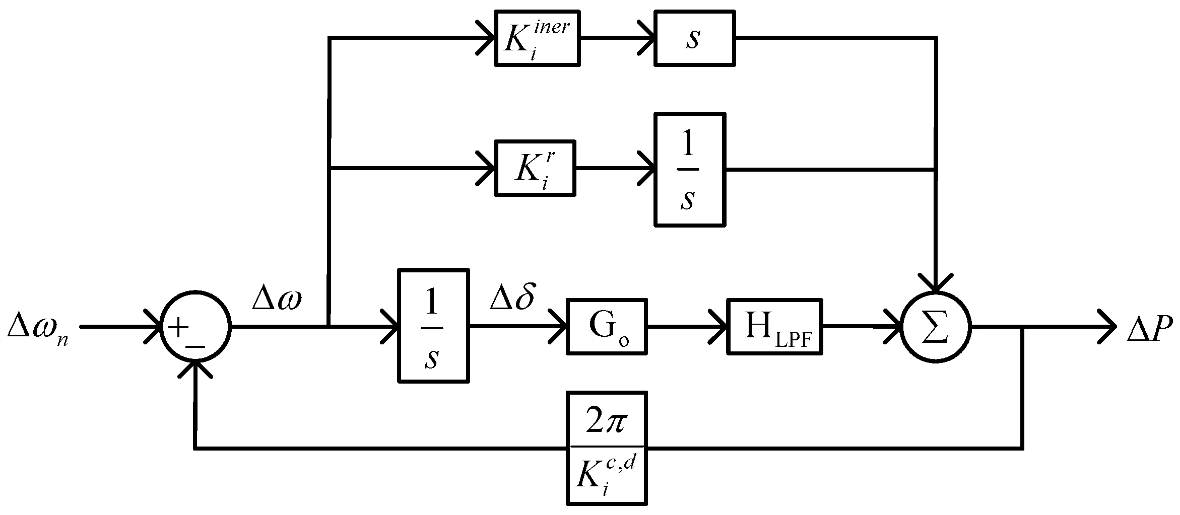
3. Proposed Control Strategy
3.1. SOC Estimation
3.2. Adaptive Frequency Droop Control
3.3. Frequency Restoration Control
3.4. Virtual Inertia Control
4. Small Signal Stability Analysis
5. Simulation Results and Discussion
5.1. Scenario 1: Adaptive Droop Control
5.2. Scenario 2: Adaptive Droop Control with Virtual Inertia and Frequency Restoration Control
5.3. Scenario 3: Complete Control System with PV Generation
6. Conclusions
Author Contributions
Funding
Acknowledgments
Conflicts of Interest
References
- Garg, V.K.; Sharma, S. Overview on Microgrid System. In Proceedings of the 2018 Fifth International Conference on Parallel, Distributed and Grid Computing (PDGC), Solan, India, 20–22 December 2018; pp. 694–699. [Google Scholar]
- Guerrero, J.M.; Vasquez, J.C.; Matas, J.; de Vicuna, L.G.; Castilla, M. Hierarchical Control of Droop-Controlled AC and DC Microgrids—A General Approach Toward Standardization. IEEE Trans. Ind. Electron. 2011, 58, 158–172. [Google Scholar] [CrossRef]
- Kerdphol, T.; Rahman, F.S.; Watanabe, M.; Mitani, Y.; Turschner, D.; Beck, H.P. Enhanced virtual inertia control based on derivative technique to emulate simultaneous inertia and damping properties for microgrid frequency regulation. IEEE Access 2019, 7, 14422–14433. [Google Scholar] [CrossRef]
- Arif, S.; Aziz, T. Study of Frequency Response with Centralized vs. Distributed Placement of Battery Energy Storage Systems in Renewable Integrated Microgrid. In Proceedings of the 2017 IEEE International WIE Conference on Electrical and Computer Engineering (WIECON-ECE), Dehradun, India, 18–19 December 2017; pp. 96–99. [Google Scholar]
- Zhang, T.; Orr, J.A.; Eigeles Emanuel, A. Adaptable Energy Storage System Control for Microgrid Stability enhancement. In Proceedings of the 2018 IEEE Power Energy Society General Meeting (PESGM), Portland, OR, USA, 5–10 August 2018; pp. 1–5. [Google Scholar]
- Tan, X.; Li, Q.; Wang, H. Advances and trends of energy storage technology in microgrid. Int. J. Electr. Power Energy Syst. 2013, 44, 179–191. [Google Scholar] [CrossRef]
- Bidram, A.; Davoudi, A. Hierarchical Structure of Microgrids Control System. IEEE Trans. Smart Grid 2012, 3, 1963–1976. [Google Scholar] [CrossRef]
- Bidram, A.; Nasirian, V.; Davoudi, A.; Lewis, F.L. Cooperative Synchronization in Distributed Microgrid Control; Springer: Berlin/Heidelberg, Germany, 2017. [Google Scholar]
- Simpson-Porco, J.W.; Shafiee, Q.; Dörfler, F.; Vasquez, J.C.; Guerrero, J.M.; Bullo, F. Secondary frequency and voltage control of islanded microgrids via distributed averaging. IEEE Trans. Ind. Electron. 2015, 62, 7025–7038. [Google Scholar] [CrossRef]
- Lu, L.Y.; Chu, C.C. Consensus-based secondary frequency and voltage droop control of virtual synchronous generators for isolated AC micro-grids. IEEE J. Emerg. Sel. Top. Circuits Syst. 2015, 5, 443–455. [Google Scholar] [CrossRef]
- De Brabandere, K.; Bolsens, B.; Van den Keybus, J.; Woyte, A.; Driesen, J.; Belmans, R. A voltage and frequency droop control method for parallel inverters. IEEE Trans. Power Electron. 2007, 22, 1107–1115. [Google Scholar] [CrossRef]
- Wu, Y.K.; Tang, K.T. Frequency Support by BESS–Review and Analysis. Energy Procedia 2019, 156, 187–191. [Google Scholar] [CrossRef]
- Xing, L.; Mishra, Y.; Tian, Y.; Ledwich, G.; Su, H.; Peng, C.; Fei, M. Dual-Consensus-Based Distributed Frequency Control for Multiple Energy Storage Systems. IEEE Trans. Smart Grid 2019, 10, 6396–6403. [Google Scholar] [CrossRef]
- Liu, H.; Hu, Z.; Song, Y.; Lin, J. Decentralized Vehicle-to-Grid Control for Primary Frequency Regulation Considering Charging Demands. IEEE Trans. Power Syst. 2013, 28, 3480–3489. [Google Scholar] [CrossRef]
- Ota, Y.; Taniguchi, H.; Nakajima, T.; Liyanage, K.M.; Baba, J.; Yokoyama, A. Autonomous Distributed V2G (Vehicle-to-Grid) Satisfying Scheduled Charging. IEEE Trans. Smart Grid 2012, 3, 559–564. [Google Scholar] [CrossRef]
- Dang, J.; Seuss, J.; Suneja, L.; Harley, R.G. SOC feedback control for wind and ESS hybrid power system frequency regulation. In Proceedings of the 2012 IEEE Power Electronics and Machines in Wind Applications, Denver, CO, USA, 16–18 July 2012; pp. 1–7. [Google Scholar]
- Shim, J.W.; Verbič, G.; Zhang, N.; Hur, K. Harmonious Integration of Faster-Acting Energy Storage Systems Into Frequency Control Reserves in Power Grid With High Renewable Generation. IEEE Trans. Power Syst. 2018, 33, 6193–6205. [Google Scholar] [CrossRef]
- Tan, J.; Zhang, Y. Coordinated Control Strategy of a Battery Energy Storage System to Support a Wind Power Plant Providing Multi-Timescale Frequency Ancillary Services. In Proceedings of the 2018 IEEE Power Energy Society General Meeting (PESGM), Portland, OR, USA, 5–10 August 2018; p. 1. [Google Scholar]
- Datta, U.; Kalam, A.; Shi, J. Battery Energy Storage System Control for Mitigating PV Penetration Impact on Primary Frequency Control and State-of-Charge Recovery. IEEE Trans. Sustain. Energy 2019, 11, 746–757. [Google Scholar] [CrossRef]
- Kim, Y.; Kim, E.; Moon, S. Distributed Generation Control Method for Active Power Sharing and Self-Frequency Recovery in an Islanded Microgrid. IEEE Trans. Power Syst. 2017, 32, 544–551. [Google Scholar] [CrossRef]
- Khayat, Y.; Naderi, M.; Shafiee, Q.; Batmani, Y.; Fathi, M.; Guerrero, J.M.; Bevrani, H. Decentralized Optimal Frequency Control in Autonomous Microgrids. IEEE Trans. Power Syst. 2019, 34, 2345–2353. [Google Scholar] [CrossRef]
- Joung, K.W.; Kim, T.; Park, J. Decoupled Frequency and Voltage Control for Stand-Alone Microgrid With High Renewable Penetration. IEEE Trans. Ind. Appl. 2019, 55, 122–133. [Google Scholar] [CrossRef]
- Dehghani Arani, Z.; Taher, S.A.; Ghasemi, A.; Shahidehpour, M. Application of Multi-Resonator Notch Frequency Control for Tracking the Frequency in Low Inertia Microgrids Under Distorted Grid Conditions. IEEE Trans. Smart Grid 2019, 10, 337–349. [Google Scholar] [CrossRef]
- Soni, N.; Doolla, S.; Chandorkar, M.C. Analysis of Frequency Transients in Isolated Microgrids. IEEE Trans. Ind. Appl. 2017, 53, 5940–5951. [Google Scholar] [CrossRef]
- Kim, T.; Qiao, W. A hybrid battery model capable of capturing dynamic circuit characteristics and nonlinear capacity effects. In Proceedings of the 2012 IEEE Power and Energy Society General Meeting, San Diego, CA, USA, 22–26 July 2012; p. 1. [Google Scholar]
- Merabet, A.; Tawfique Ahmed, K.; Ibrahim, H.; Beguenane, R.; Ghias, A.M.Y.M. Energy Management and Control System for Laboratory Scale Microgrid Based Wind-PV-Battery. IEEE Trans. Sustain. Energy 2017, 8, 145–154. [Google Scholar] [CrossRef]
- Stoffel, T.; Andreas, A. Nrel Solar Radiation Research Laboratory (SRRL): Baseline Measurement System (BMS); Golden, Colorado (Data); Technical Report; National Renewable Energy Laboratory (NREL): Golden, CO, USA, 1981.
- Han, Y.; Li, H.; Shen, P.; Coelho, E.A.A.; Guerrero, J.M. Review of Active and Reactive Power Sharing Strategies in Hierarchical Controlled Microgrids. IEEE Trans. Power Electron. 2017, 32, 2427–2451. [Google Scholar] [CrossRef]
- Kundur, P.; Balu, N.J.; Lauby, M.G. Power System Stability and Control; McGraw-hill: New York, NY, USA, 1994; Volume 7. [Google Scholar]
- Coelho, E.A.A.; Cortizo, P.C.; Garcia, P.F.D. Small signal stability for single phase inverter connected to stiff AC system. In Proceedings of the Conference Record of the 1999 IEEE Industry Applications Conference, Phoenix, AZ, USA, 3–7 October 1999; Volume 4, pp. 2180–2187. [Google Scholar]
- Cui, X.; Li, X.; Zhang, K.; Wen, Y.; Meng, Y. An Optimized Control Model of Battery Energy Storage Systems for Primary Frequency Response. In Proceedings of the 2019 IEEE Innovative Smart Grid Technologies—Asia (ISGT Asia), Chengdu, China, 21–24 May 2019. [Google Scholar]





















| Parameter | Value |
|---|---|
| V | |
| V | |
| rad | |
| X | |
| n | 3 |
| [1000, 30,000] | |
| Parameter | Value | Parameter | Value |
|---|---|---|---|
| 415 V | kV | ||
| 68 F | 0.01 | ||
| 5 mH | 4 mH | ||
| 0.01 | 3.4 F | ||
| 700 V | |||
| k | and | 25 kWh and 20 kWh (lead acid) |
| Parameter | Value | Parameter | Value |
|---|---|---|---|
| 10 | |||
| 3000 | 10 | ||
| 5 rad/s | 314 rad/s | ||
| rad/W·s | V/VAr | ||
| 150 kW/Hz | 2 kHz | ||
| , | 1 kHz |
© 2020 by the authors. Licensee MDPI, Basel, Switzerland. This article is an open access article distributed under the terms and conditions of the Creative Commons Attribution (CC BY) license (http://creativecommons.org/licenses/by/4.0/).
Share and Cite
Pinthurat, W.; Hredzak, B. Decentralized Frequency Control of Battery Energy Storage Systems Distributed in Isolated Microgrid. Energies 2020, 13, 3026. https://doi.org/10.3390/en13113026
Pinthurat W, Hredzak B. Decentralized Frequency Control of Battery Energy Storage Systems Distributed in Isolated Microgrid. Energies. 2020; 13(11):3026. https://doi.org/10.3390/en13113026
Chicago/Turabian StylePinthurat, Watcharakorn, and Branislav Hredzak. 2020. "Decentralized Frequency Control of Battery Energy Storage Systems Distributed in Isolated Microgrid" Energies 13, no. 11: 3026. https://doi.org/10.3390/en13113026
APA StylePinthurat, W., & Hredzak, B. (2020). Decentralized Frequency Control of Battery Energy Storage Systems Distributed in Isolated Microgrid. Energies, 13(11), 3026. https://doi.org/10.3390/en13113026
