Thermodynamic Assessment and Multi-Objective Optimization of Performance of Irreversible Dual-Miller Cycle
Abstract
1. Introduction
2. Dual-Miller Cycle through a Polytropic Stage
2.1. Ideal Air Standard Dual-Miller Cycle
2.2. Air Standard Dual-Miller Cycle (n < k)
2.3. Air Standard Dual-Miller Cycle (n > k)
3. Optimization Development: Evolutionary Algorithm
Genetic Algorithm
4. Results and Discussions
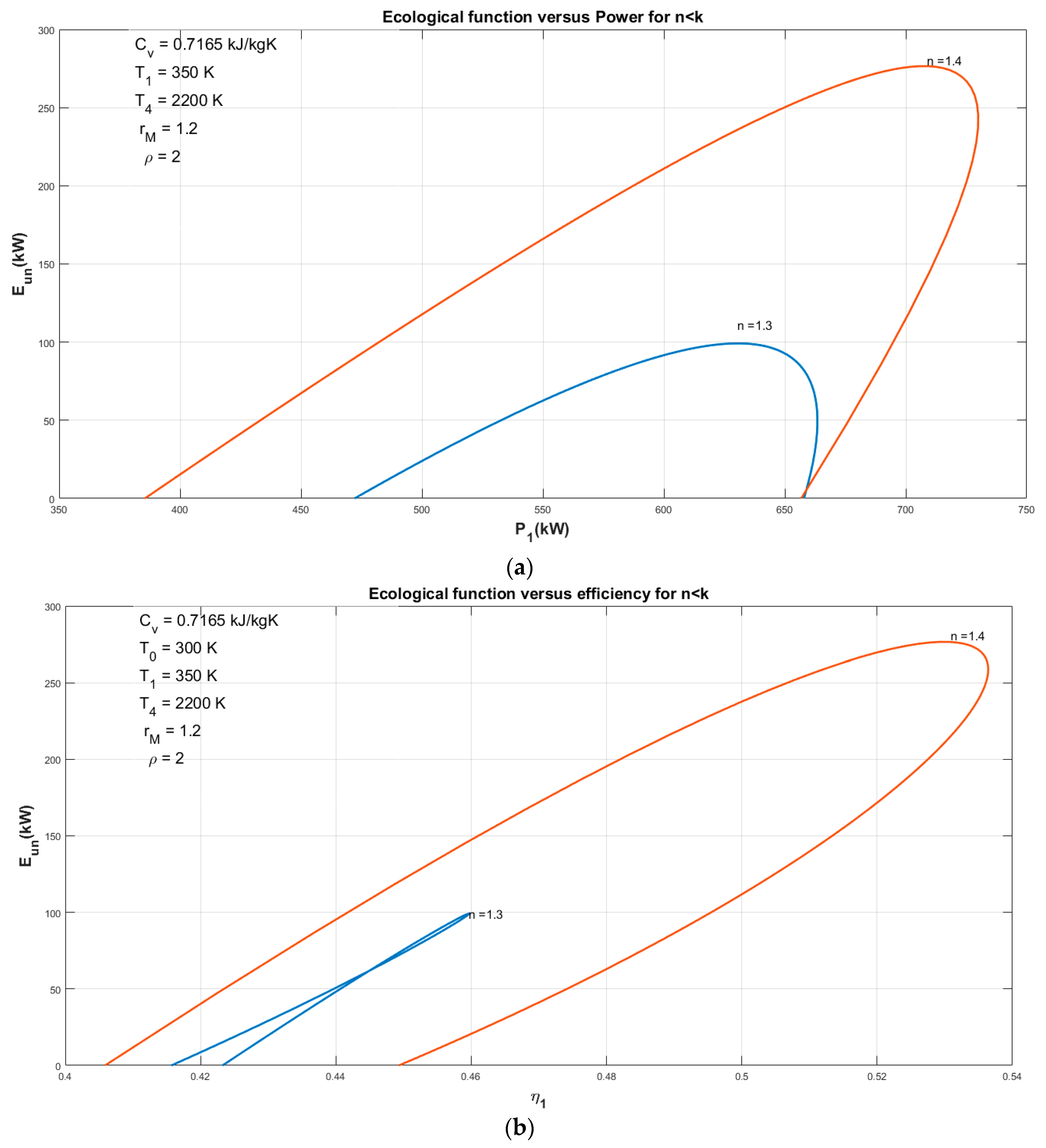
4.1. Performance Analyses for the Condition n Less than the k
4.2. Performance Evaluation at the Condition of n higher than the k
4.3. Optimization Results for n Less than the k
4.4. Optimization results for n higher than the k
5. Conclusions
Author Contributions
Funding
Conflicts of Interest
Nomenclature
| DMC | Dual-Miller cycle |
| Mass flow rate (kg/S) | |
| n | Polytropic exponent |
| k | The specific heat ratio (adiabatic exponent) |
| Power (kW) | |
| Heat (kW) | |
| T | Temperature (K) |
| ECOP | Ecological Coefficient of Performance |
| Ecological function | |
| V | volume |
| The specific heat at constant volume (kJ/kg.K) | |
| The specific heat at constant pressure (kJ/kg.K) | |
| total entropy generation (kW/K) | |
| Efficiency | |
| The Miller cycle ratio of a Dual-Miller cycle | |
| The cut-off ratio | |
| The pressure ratio | |
| The compression ratio | |
| B | Heat transfer coefficient |
| Ambient temperature |
References
- Qin, Y.; He, Y.; Hiller, J.E.; Mei, G. A new water-retaining paver block for reducing runoff and cooling pavement. J. Clean. Prod. 2018, 199, 948–956. [Google Scholar] [CrossRef]
- Qin, Y.; Zhang, M.; Hiller, J.E. Theoretical and experimental studies on the daily accumulative heat gain from cool roofs. Energy 2017, 129, 138–147. [Google Scholar] [CrossRef]
- Qin, Y. Urban canyon albedo and its implication on the use of reflective cool pavements. Energy Build. 2015, 96, 86–94. [Google Scholar] [CrossRef]
- Qin, Y.; Zhang, J.; Zheng, B.; Ma, X. Experimental study for the compressible behavior of warm and ice-rich frozen soil under the embankment of Qinghai–Tibet Railroad. Cold Reg. Sci. Technol. 2009, 57, 148–153. [Google Scholar] [CrossRef]
- Curto-Risso, P.L.; Medina, A.; Calvo Hernández, A. Optimizing the geometrical parameters of a spark ignition engine: Simulation and theoretical tools. Appl. Therm. Eng. 2011, 31, 803–810. [Google Scholar] [CrossRef]
- Curto-Risso, P.L.; Medina, A.; Hernández, A.C. Theoretical and simulated models for an irreversible Otto cycle. J. Appl. Phys. 2008, 104, 094911. [Google Scholar] [CrossRef]
- Chen, L.G.; Wu, C.; Sun, F.R. Finite time thermodynamic optimization or entropy generation minimization of energy systems. J. Non Equilib. Thermodyn. 1999, 24, 327–359. [Google Scholar] [CrossRef]
- Chen, L.G.; Sun, F.R. Advances in Finite Time Thermodynamics: Analysis and Optimization; Nova Science Publishers: New York, NY, USA, 2004. [Google Scholar]
- Chen, L.G. Finite Time Thermodynamic Analysis of Irreversible Process and Cycles; Higher Education Press: Beijing, China, 2005. [Google Scholar]
- Curto-Risso, P.L.; Medina, A.; Calvo Hernández, A. Optimizing the operation of a spark ignition engine: Simulation and theoretical tools. J. Appl. Phys. 2009, 105, 094904. [Google Scholar] [CrossRef]
- Wu, F.; Chen, L.G.; Sun, F.R.; Yu, J. Finite Time Thermodynamic Optimization of Stirling Machine; Chemical Industry Press: Beijing, China, 2008. (In Chinese) [Google Scholar]
- Andresen, B. Finite-Time Thermodynamics; Physics Laboratory II; University of Copenhagen: Copenhagen, Denmark, 1983. [Google Scholar]
- Medina, A.; Curto-Risso, P.L.; Hernández, A.C.; Guzmán-Vargas, L.; Angulo-Brown, F.; Sen, A.K. Quasi-Dimensional Simulation of Spark Ignition Engines. In Thermodynamic Optimization to Cyclic Variability; Springer: London, UK, 2014. [Google Scholar]
- Karami, M.; Farahani, S.D.; Kowsary, F.; Mosavi, A. Experimental Estimation of Temporal and Spatial Resolution of Coefficient of Heat Transfer in a Channel Using Inverse Heat Transfer Method. arXiv preprint 2019, arXiv:1907.12376. [Google Scholar]
- Hoffmann, K.H.; Andresen, B.; Salamon, P. Finite-time thermodynamics tools to analyze dissipative processes. In Proceedings of the 240 Conference: Science’s Great Challences, Advances in Chemical Physics; Wiley: Hoboken, NJ, USA, 2014; Volume 157, pp. 57–67. [Google Scholar]
- Ahmadi, M.H.; Ahmadi, M.A.; Sadatsakkak, S.A. Thermodynamic analysis and performance optimization of irreversible Carnot refrigerator by using multi-objective evolutionary algorithms (MOEAs). Renew. Sustain. Energy Rev. 2015, 51, 1055–1070. [Google Scholar] [CrossRef]
- Chen, L.G.; Meng, F.K.; Sun, F.R. Thermodynamic analyses and optimization for thermoelectric devices: The state of the arts. Sci. China Technol. Sci. 2016, 59, 442–455. [Google Scholar] [CrossRef]
- Chen, L.; Feng, H.; Xie, Z. Generalized thermodynamic optimization for iron and steel production processes: Theoretical exploration and application cases. Entropy 2016, 18, 353. [Google Scholar] [CrossRef]
- Sieniutycz, S. Thermodynamic Approaches in Engineering Systems; Elsevier: Oxford, UK, 2016. [Google Scholar]
- Chen, L.G.; Xia, S.J. Generalized Thermodynamics Dynamic Optimization of Irreversible Processes; Science Press: Beijing, China, 2016. (In Chinese) [Google Scholar]
- Chen, L.G.; Xia, S.J. Generalized Thermodynamics Dynamic Optimization of Irreversible Cycles; Science Press: Beijing, China, 2016. (In Chinese) [Google Scholar]
- Bi, Y.H.; Chen, L.G. Finite Time Thermodynamic Optimization of Air Heat Pump Performance; Science Press: Beijing, China, 2017. (In Chinese) [Google Scholar]
- Ahmadi, M.H.; Ahmadi, M.A.; Pourfayaz, F. Thermal models for analysis of performance of Stirling engine: A review. Renew. Sustain. Energy Rev. 2017, 68, 168–184. [Google Scholar] [CrossRef]
- Ge, Y.; Chen, L.; Sun, F. Progress in finite time thermodynamic studies for internal combustion engine cycles. Entropy 2016, 18, 139. [Google Scholar] [CrossRef]
- Chen, L.; Zhang, W.; Sun, F. Power, efficiency, entropy-generation rate and ecological optimization for a class of generalized irreversible universal heat-engine cycles. Appl. Energy 2007, 84, 512–525. [Google Scholar] [CrossRef]
- Zhou, B.; Cheng, X.T.; Liang, X.G. Power output analyses and optimizations of the Stirling cycle. Sci. China Technol. Sci. 2013, 56, 228–236. [Google Scholar] [CrossRef]
- Ge, Y.; Chen, L.; Sun, F. Optimal path of piston motion of irreversible Otto cycle for minimum entropy generation with radiative heat transfer law. J. Energy Inst. 2012, 85, 140–149. [Google Scholar] [CrossRef]
- Sun, F.; Chen, L.; Wang, C.; Xia, S. Optimal Concentration Configuration of Consecutive Chemical Reaction A ⇔ B ⇔ C for Minimum Entropy Generation. J. Non Equilib. Thermodyn. 2016, 41, 313–326. [Google Scholar]
- Wu, Y.Q. Analyses of thermodynamic performance for the endoreversible Otto cycle with the concepts of entropy generation and entransy. Sci. China Technol. Sci. 2017, 60, 692–700. [Google Scholar] [CrossRef]
- Angulo-Brown, F. An ecological optimization criterion for finite-time heat engines. J. Appl. Phys. 1991, 69, 7465–7469. [Google Scholar] [CrossRef]
- Yan, Z.J. Comment on “ecological optimization criterion for finite time heat engines”. J. Appl. Phys. 1993, 73, 3583. [Google Scholar] [CrossRef]
- Angulo-Brown, F.; Fernández-Betanzos, J.; Diaz-Pico, C.A. Compression ratio of an optimized air standard Otto-cycle model. Eur. J. Phys. 1994, 15, 38–42. [Google Scholar] [CrossRef]
- Chen, L.G.; Sun, F.R.; Chen, W.Z. The ecological quality factor for thermodynamic cycles (in Chinese). J. Eng. Therm. Energy Power 1994, 9, 374–376. [Google Scholar]
- Long, R.; Li, B.; Liu, Z.; Liu, W. Ecological analysis of a thermally regenerative electrochemical cycle. Energy 2016, 107, 95–102. [Google Scholar] [CrossRef]
- Üst, Y.; Sahin, B.; Kodal, A. Ecological coefficient of performance (ECOP) optimization for generalized irreversible Carnot heat engines. J. Energy Inst. 2005, 78, 145–151. [Google Scholar] [CrossRef]
- Ust, Y.; Sahin, B.; Sogut, O.S. Performance analysis and optimization of an irreversible dual-cycle based on an ecological coefficient of performance criterion. Appl. Energy 2005, 82, 23–39. [Google Scholar] [CrossRef]
- Ust, Y.; Sahin, B.; Kodal, A. Performance analysis of an irreversible Brayton heat engine based on ecological coefficient of performance criterion. Int. J. Therm. Sci. 2006, 45, 94–101. [Google Scholar] [CrossRef]
- Ust, Y. Performance analysis and optimization of irreversible air refrigeration cycles based on ecological coefficient of performance criterion. Appl. Therm. Eng. 2009, 29, 47–55. [Google Scholar] [CrossRef]
- Gonca, G.; Sahin, B. Performance optimization of an air-standard irreversible dual-Atkinson cycle engine based on the ecological coefficient of performance criterion. Sci. World J. 2014, 2014, 1–10. [Google Scholar] [CrossRef]
- Ust, Y.; Sahin, B.; Cakir, M. Ecological coefficient of performance analysis and optimisation of gas turbines by using exergy analysis approach. Int. J. Exergy 2016, 21, 39–69. [Google Scholar] [CrossRef]
- Salamon, P.; Hoffmann, K.H.; Schubert, S.; Berry, R.S.; Andresen, B. What conditions make minimum entropy production equivalent to maximum power production? J. Non Equilib. Thermodyn. 2001, 26, 73–83. [Google Scholar] [CrossRef]
- Blank, D.A.; Wu, C. The effects of combustion on a power-optimized endoreversible Dual cycle. Energy Conv. Manag. 1994, 14, 98–103. [Google Scholar]
- Chen, L.; Sun, F.; Wu, C. Optimal performance of an irreversible dual cycle. Appl. Energy 2004, 79, 3–14. [Google Scholar] [CrossRef]
- Ust, Y.; Sahin, B.; Kayadelen, H.K.; Gonca, G. Heat transfer effects on the performance of an air-standard irreversible dual cycle. Int. J. Veh. Des. 2013, 63, 102. [Google Scholar] [CrossRef]
- Ghatak, A.; Chakraborty, S. Effect of external irreversibilities and variable thermal properties of working fluid on thermal performance of a Dual internal combustion engine cycle. Strojnicky Casopsis J. Mech. Energy 2007, 58, 1–12. [Google Scholar]
- Wang, W.; Chen, L.; Sun, F.; Wu, C. The effect of friction on the performance of an air standard dual cycle. Exergy Int. J. 2002, 2, 340–344. [Google Scholar] [CrossRef]
- Ge, Y.; Chen, L.; Sun, F. Finite-time thermodynamic modeling and analysis for an irreversible Dual cycle. Math. Comput. Model. 2009, 50, 101–108. [Google Scholar] [CrossRef]
- Al-Sarkhi, A.; Akash, B.; Jaber, J.; Mohsen, M.; Abu-Nada, E.; Akash, B. Efficiency of Miller engine at maximum power density. Int. Commun. Heat Mass Transf. 2002, 29, 1159–1167. [Google Scholar] [CrossRef]
- Chen, L.; Ge, Y.; Sun, F.; Wu, C. The performance of a Miller cycle with heat transfer, friction and variable specific heats of working fluid. Termotehnica 2010, 14, 24–32. [Google Scholar]
- Chen, L.; Ge, Y.; Sun, F.; Wu, C. Finite-time thermodynamic modelling and analysis for an irreversible Miller cycle. Int. J. Ambient Energy 2011, 32, 87–94. [Google Scholar] [CrossRef]
- Lin, J.; Xu, Z.; Chang, S.; Yan, H. Finite-time thermodynamic modeling and analysis of an irreversible Miller cycle working on a four-stroke engine. Int. Commun. Heat Mass Transf. 2014, 54, 54–59. [Google Scholar] [CrossRef]
- Gonca, G.; Sahin, B.; Ust, Y.; Parlak, A.; Safa, A. Comparison of steam injected diesel engine and Miller cycled diesel engine by using two zone combustion model. J. Energy Inst. 2015, 88, 43–52. [Google Scholar] [CrossRef]
- Gonca, G.; Sahin, B.; Parlak, A.; Ust, Y.; Ayhan, V.; Cesur, I.; Boru, B. Theoretical and experimental investigation of the Miller cycle diesel engine in terms of performance and emission parameters. Appl. Energy 2015, 138, 11–20. [Google Scholar] [CrossRef]
- Ebrahimi, R. Second law analysis on an air-standard miller engine. Acta Phys. Pol. A 2016, 129, 1079–1082. [Google Scholar] [CrossRef]
- Mousapour, A.; Hajipour, A.; Rashidi, M.M.; Freidoonimehr, N. Performance evaluation of an irreversible Miller cycle comparing FTT (finite-time thermodynamics) analysis and ANN (artificial neural network) prediction. Energy 2016, 94, 100–109. [Google Scholar] [CrossRef]
- Zhao, J. Research and application of over-expansion cycle (Atkinson and Miller) engines—A review. Appl. Energ. 2017, 185, 300–319. [Google Scholar] [CrossRef]
- Gonca, G.; Sahin, B.; Ust, Y. Performance maps for an air-standard irreversible Dual-Miller cycle (DMC) with late inlet valve closing (LIVC) version. Energy 2013, 54, 285–290. [Google Scholar] [CrossRef]
- Gonca, G.; Sahin, B.; Ust, Y. Investigation of heat transfer influences on performance of air-standard irreversible Dual-Miller cycle. J. Thermophys. Heat Transf. 2015, 29, 678–683. [Google Scholar] [CrossRef]
- Gonca, G. Comparative performance analyses of irreversible OMCE (Otto Miller cycle engine)-DiMCE (Diesel miller cycle engine)-DMCE (Dual Miller cycle engine). Energy 2016, 109, 152–159. [Google Scholar] [CrossRef]
- Ust, Y.; Arslan, F.; Ozsari, I.; Cakir, M. Thermodynamic performance analysis and optimization of DMC (Dual Miller Cycle) cogeneration system by considering exergetic performance coefficient and total exergy output criteria. Energy 2015, 90, 552–559. [Google Scholar] [CrossRef]
- Gonca, G. Thermo-ecological analysis of irreversible Dual-Miller Cycle (DMC) engine based on the ecological coefficient of performance (ECOP) criterion. Iran. J. Sci. Technol. Trans. Mech. Eng. 2016, 41, 269–280. [Google Scholar] [CrossRef]
- Gonca, G.; Sahin, B. Thermo-ecological performance analyses and optimizations of irreversible gas cycle engines. Appl. Therm. Eng. 2016, 105, 566–576. [Google Scholar] [CrossRef]
- Wu, Z.X.; Chen, L.G.; Ge, Y.L.; Sun, F.R. Ecological objective function optimization of an irreversible Dual-Miller cycle with linear variable specific heat ratio of the working fluid (in Chinese). Energy Conserv. 2016, 6, 20–27. [Google Scholar]
- Wu, Z.; Chen, L.; Ge, Y.; Sun, F. Power, efficiency, ecological function and ecological coefficient of performance of an irreversible Dual-Miller cycle (DMC) with nonlinear variable specific heat ratio of working fluid. Eur. Phys. J. Plus 2017, 132, 209. [Google Scholar] [CrossRef]
- Huleihil, M.; Mazor, G. Irreversible performance characteristics of air standard Otto cycles with polytropic processes. Appl. Mech. Eng. 2012, 1, 1000111. [Google Scholar] [CrossRef]
- Gong, S.W.; Chen, L.G.; Sun, F.R. Performance analysis and optimization of endoreversible Lenoir cycle with polytropic process (in Chinese). Energy Conserv. 2013, 32, 22–26. [Google Scholar]
- Xiong, B.; Chen, L.G.; Ge, Y.L. Finite-time thermodynamic analysis of an endoreversible Otto cycle with polytropic process (in Chinese). Power Energy 2014, 35, 166–171. [Google Scholar]
- Najafi, B.; Faizollahzadeh Ardabili, S.; Mosavi, A.; Shamshirband, S.; Rabczuk, T. An intelligent artificial neural network-response surface methodology method for accessing the optimum biodiesel and diesel fuel blending conditions in a diesel engine from the viewpoint of exergy and energy analysis. Energies 2018, 11, 860. [Google Scholar] [CrossRef]
- Özyer, T.; Zhang, M.; Alhajj, R. Integrating multi-objective genetic algorithm based clustering and data partitioning for skyline computation. Appl. Intell. 2011, 35, 110–122. [Google Scholar] [CrossRef]
- Beatrice, O.; Brian, J.R.; Franklin, H. Multi-Objective Genetic Algorithms for Vehicle Routing Problem with Time Windows. Appl. Intell. 2006, 24, 17–30. [Google Scholar]
- Blecic, I.; Cecchini, A.; Trunfio, G. A decision support tool coupling a causal model and a multi-objective genetic algorithm. Appl. Intell. 2007, 26, 125–137. [Google Scholar] [CrossRef]
- Veldhuizen, D.A.V.; Lamont, G.B. Multi Objective Evolutionary Algorithms Analyzing the State-of-the-Art; MIT Press: Cambridge, MA, USA, 2000. [Google Scholar]
- Konak, A.; Coit, D.W.; Smith, A.E. Multi-objective optimization using genetic algorithms: A tutorial. Reliab. Eng. Syst. Saf. 2006, 91, 992–1007. [Google Scholar] [CrossRef]
- Ahmadi, M.H.; Hosseinzade, H.; Sayyaadi, H.; Mohammadi, A.H.; Kimiaghalam, F. Application of the multi-objective optimization method for designing a powered Stirling heat engine: Design with maximized power, thermal efficiency and minimized pressure loss. Renew. Energy 2013, 60, 313–322. [Google Scholar] [CrossRef]
- Ahmadi, M.H.; Sayyaadi, H.; Mohammadi, A.H.; Barranco-Jimenez, M.A. Thermo-economic multi-objective optimization of solar dish-Stirling engine by implementing evolutionary algorithm. Energy Convers. Manag. 2013, 73, 370–380. [Google Scholar] [CrossRef]
- Ahmadi, M.H.; Sayyaadi, H.; Dehghani, S.; Hosseinzade, H. Designing a solar powered Stirling heat engine based on multiple criteria: Maximized thermal efficiency and power. Energy Convers. Manag. 2013, 75, 282–291. [Google Scholar] [CrossRef]
- Ahmadi, M.H.; Dehghani, S.; Mohammadi, A.H.; Feidt, M.; Barranco-Jimenez, M.A. Optimal design of a solar driven heat engine based on thermal and thermo-economic criteria. Energy Convers. Manag. 2013, 75, 635–642. [Google Scholar] [CrossRef]
- Cui, T.; Zhao, W.; Wang, C. Design Optimization of Vehicle EHPS System Based on Multi-objective Genetic Algorithm. DEStech Trans. Environ. Energy Earth Sci. 2019, 179, 100–110. [Google Scholar]
- Lazzaretto, A.; Toffolo, A. Energy, economy and environment as objectives in multi-criterion optimization of thermal systems design. Energy 2004, 29, 1139–1157. [Google Scholar] [CrossRef]
- Ahmadi, M.H.; Mohammadi, A.H.; Pourkiaei, S.M. Optimisation of the thermodynamic performance of the Stirling engine. Int. J. Ambient. Energy 2014, 37, 1–13. [Google Scholar] [CrossRef]
- Toffolo, A. Evolutionary algorithms for multi-objective energetic and economic optimization in thermal system design. Energy 2002, 27, 549–567. [Google Scholar] [CrossRef]
- Ahmadi, M.H.; Mohammadi, A.H.; Dehghani, S. Evaluation of the maximized power of a regenerative endoreversible Stirling cycle using the thermodynamic analysis. Energy Convers. Manag. 2013, 76, 561–570. [Google Scholar] [CrossRef]
- Ahmadi, M.H.; Ahmadi, M.A.; Feidt, M. Performance Optimization of a Solar-Driven Multi-Step Irreversible Brayton Cycle Based on a Multi-Objective Genetic Algorithm. Oil Gas Sci. Technol. Rev. IFP Energies Nouv. 2014, 71, 16. [Google Scholar] [CrossRef]
- Arora, R.; Kaushik, S.; Arora, R. Multi-objective and multi-parameter optimization of two-stage thermoelectric generator in electrically series and parallel configurations through NSGA-II. Energy 2015, 91, 242–254. [Google Scholar] [CrossRef]
- Ahmadi, M.H.; Ahmadi, M.A. Thermodynamic analysis and optimization of an irreversible Ericsson cryogenic refrigerator cycle. Energy Convers. Manag. 2015, 89, 147–155. [Google Scholar] [CrossRef]
- Ahmadi, M.H.; Ahmadi, M.A. Thermodynamic analysis and optimisation of an irreversible radiative-type heat engine by using non-dominated sorting genetic algorithm. Int. J. Ambient. Energy 2014, 37, 1–6. [Google Scholar] [CrossRef]
- Ahmadi, M.H.; Ahmadi, M.A.; Mehrpooya, M.; Sameti, M. Thermo-ecological analysis and optimization performance of an irreversible three-heat-source absorption heat pump. Energy Convers. Manag. 2015, 90, 175–183. [Google Scholar] [CrossRef]
- Mahmoudimehr, J.; Sebghati, P. A novel multi-objective Dynamic Programming optimization method: Performance management of a solar thermal power plant as a case study. Energy 2019, 168, 796–814. [Google Scholar] [CrossRef]
- Ahmadi, M.H.; Jokar, M.A.; Ming, T.; Feidt, M.; Pourfayaz, F.; Astaraei, F.R. Multi-objective performance optimization of irreversible molten carbonate fuel cell–Braysson heat engine and thermodynamic analysis with ecological objective approach. Energy 2018, 144, 707–722. [Google Scholar] [CrossRef]
- Jokar, M.A.; Ahmadi, M.H.; Sharifpur, M.; Meyer, J.P.; Pourfayaz, F.; Ming, T. Thermodynamic evaluation and multi-objective optimization of molten carbonate fuel cell-supercritical CO 2 Brayton cycle hybrid system. Energy Convers. Manag. 2017, 153, 538–556. [Google Scholar] [CrossRef]
- Li, J.-Q.; Sang, H.-Y.; Han, Y.-Y.; Wang, C.-G.; Gao, K.-Z. Efficient multi-objective optimization algorithm for hybrid flow shop scheduling problems with setup energy consumptions. J. Clean. Prod. 2018, 181, 584–598. [Google Scholar] [CrossRef]
- Ahmadi, M.H.; Ahmadi, M.-A.; Maleki, A.; Pourfayaz, F.; Bidi, M.; Açıkkalp, E. Exergetic sustainability evaluation and multi-objective optimization of performance of an irreversible nanoscale Stirling refrigeration cycle operating with Maxwell–Boltzmann gas. Renew. Sustain. Energy Rev. 2017, 78, 80–92. [Google Scholar] [CrossRef]
- Xu, F.; Liu, J.; Lin, S.; Dai, Q.; Li, C. A multi-objective optimization model of hybrid energy storage system for non-grid-connected wind power: A case study in China. Energy 2018, 163, 585–603. [Google Scholar] [CrossRef]
- Ahmadi, M.H.; Ahmadi, M.A. Multi objective optimization of performance of three-heat-source irreversible refrigerators based algorithm NSGAII. Renew. Sustain. Energy Rev. 2016, 60, 784–794. [Google Scholar] [CrossRef]
- Ahmadi, M.H.; Ahmadi, M.A.; Pourfayaz, F. Thermodynamic analysis and evolutionary algorithm based on multi-objective optimization performance of actual power generating thermal cycles. Appl. Therm. Eng. 2016, 99, 996–1005. [Google Scholar] [CrossRef]
- Niu, X.; Wang, H.; Hu, S.; Yang, C.; Wang, Y. Multi-objective online optimization of a marine diesel engine using NSGA-II coupled with enhancing trained support vector machine. Appl. Therm. Eng. 2018, 137, 218–227. [Google Scholar] [CrossRef]
- Deb, M.; Debbarma, B.; Majumder, A.; Banerjee, R. Performance –emission optimization of a diesel-hydrogen dual fuel operation: A NSGA II coupled TOPSIS MADM approach. Energy 2016, 117, 281–290. [Google Scholar] [CrossRef]
- Ahmadi, M.H.; Ahmadi, M.A.; Mellit, A.; Pourfayaz, F.; Feidt, M. Thermodynamic analysis and multi objective optimization of performance of solar dish Stirling engine by the centrality of entransy and entropy generation. Int. J. Electr. Power Energy Syst. 2016, 78, 88–95. [Google Scholar] [CrossRef]
- Wang, J.; Duan, L.; Yang, Y.; Pang, L.; Yang, L. Multi-objective optimization of solar-aided coal-fired power generation system under off-design work conditions. Energy Sci. Eng. 2019, 7, 379–398. [Google Scholar] [CrossRef]
- Wang, S.; Wang, K.; Teng, F.; Strbac, G.; Wu, L. An affine arithmetic-based multi-objective optimization method for energy storage systems operating in active distribution networks with uncertainties. Appl. Energy 2018, 223, 215–228. [Google Scholar] [CrossRef]
- Tian, W.; Jiang, C.; Ni, B.; Wu, Z.; Wang, Q.; Yang, L. Global sensitivity analysis and multi-objective optimization design of temperature field of sinter cooler based on energy value. Appl. Therm. Eng. 2018, 143, 759–766. [Google Scholar] [CrossRef]
- Jiang, Y.; Chen, L.; Wu, Z.; Sun, F. Thermodynamic performance of Dual-Miller cycle (DMC) with polytropic processes based on power output, thermal efficiency and ecological function. Sci. China Technol. Sci. 2018, 61, 453–463. [Google Scholar]
- Klein, S.A. An explanation for observed compression ratios in internal combustion engines. J. Eng. Gas Turbines Power 1991, 113, 511–513. [Google Scholar] [CrossRef]
- Mosavi, A. Application of multi-objective optimization packages in design of an evaporator coil. World Acad. Sci. Eng. Technol. 2010, 61, 25–29. [Google Scholar]
- Zhang, S.; Karimi, S.; Shamshirband, S.; Mosavi, A. Optimization Algorithm for Reduction the Size of Dixon Resultant Matrix: A Case Study on Mechanical Application. Comput. Mater. Contin. 2019, 58, 567–583. [Google Scholar] [CrossRef]
- Mosavi, A.; Rabczuk, T. Learning and Intelligent Optimization for Material Design Innovation. Learning and Intelligent Optimization. In Lecture Notes in Computer Science; Springer: Cham, Switzerland, 2017; Volume 10556, pp. 120–139. [Google Scholar]
- Mosavi, A.; Rituraj, R.; Varkonyi-Koczy, A.R. Review on the Usage of the Multiobjective Optimization Package of modeFrontier in the Energy Sector. Adv. Intell. Syst. Comput. 2018, 660, 217–224. [Google Scholar]
- Ge, Y.; Chen, L.; Sun, F. Ecological optimization of an irreversible Otto cycle. Arab. J. Sci. Eng. 2013, 38, 373–381. [Google Scholar] [CrossRef]
- Ge, Y.; Chen, L.; Sun, F.; Wu, C. Effects of heat transfer and variable specific heats of working fluid on performance of a Miller cycle. Int. J. Ambient Energy 2005, 26, 203–214. [Google Scholar] [CrossRef]
- Qin, Y.; Hiller, J.E.; Bao, T. Modeling Cold Region Ground Temperatures with a Heat Flux Upper Boundary Model. J. Cold Reg. Eng. 2013, 27, 29–43. [Google Scholar] [CrossRef]
- Qin, Y.; Hiller, J.E. Understanding pavement-surface energy balance and its implications on cool pavement development. Energy Build. 2014, 85, 389–399. [Google Scholar] [CrossRef]
- Qin, Y. A review on the development of cool pavements to mitigate urban heat island effect. Renew. Sustain. Energy Rev. 2015, 52, 445–459. [Google Scholar] [CrossRef]













| Optimization Method | Variables | Objective Functions | Deviation Index | ||||
|---|---|---|---|---|---|---|---|
| ECOP | |||||||
| TOPSIS | 19.4528 | 1.6852 | 1.4000 | 0.5373 | 1.6848 | 280.7994 | 0.0412 |
| LINMAP | 19.8660 | 1.6408 | 1.3999 | 0.5388 | 1.6899 | 279.2210 | 0.1333 |
| Fuzzy | 20.0708 | 1.5424 | 1.4000 | 0.54067 | 1.6959 | 275.5724 | 0.3462 |
| [102] For maximum of | 27.8400 | 2.0000 | 1.4000 | 0.5364 | 1.3430 | 258.7400 | 0.8015 |
| [102] For maximum of ECOP | 15.7800 | 2.0000 | 1.4000 | 0.5174 | 1.6540 | 266.6000 | 0.8698 |
| [102] For maximum of | 19.8000 | 2.0000 | 1.4000 | 0.5300 | 1.6000 | 276.5300 | 0.2904 |
| Ideal Solution | - | - | - | 0.5428 | 1.6962 | 281.5052 | 0 |
| Non-Ideal Solution | - | - | - | 0.5346 | 1.6739 | 264.3691 | ∞ |
| Optimization Method | LINMAP | TOPSIS | Fuzzy | ||||||
|---|---|---|---|---|---|---|---|---|---|
| Objectives | ECOP | ECOP | ECOP | ||||||
| Max Error % | 1.3610 | 1.4930 | 1.1620 | 1.2620 | 1.3840 | 1.2710 | 1.1830 | 1.6860 | 1.9430 |
| Average Error % | 0.5550 | 0.7340 | 0.4610 | 0.6340 | 0.6550 | 0.6020 | 0.4780 | 0.9360 | 0.8530 |
| Optimization Method | Variables | Objectives Functions | Deviation Index | ||||
|---|---|---|---|---|---|---|---|
| TOPSIS | 20.2187 | 1.6870 | 1.4000 | 0.5385 | 1.6875 | 279.7315 | 0.0696 |
| LINMAP | 20.2187 | 1.6870 | 1.4000 | 0.5385 | 1.6875 | 279.7315 | 0.0696 |
| Fuzzy | 20.3829 | 1.5243 | 1.4000 | 0.5412 | 1.6959 | 273.7808 | 0.3173 |
| [102] For maximum of | 27.8400 | 2.0000 | 1.4000 | 0.5364 | 1.3430 | 258.7400 | 0.9417 |
| [102] For maximum of ECOP | 15.7800 | 2.0000 | 1.4000 | 0.5174 | 1.6540 | 266.6000 | 0.6161 |
| [102] For maximum of | 19.8000 | 2.0000 | 1.4000 | 0.5300 | 1.6000 | 276.5300 | 0.2029 |
| Ideal Solution | - | - | - | 0.5435 | 1.6959 | 281.4043 | 0 |
| Non-Ideal Solution | - | - | - | 0.5347 | 1.6745 | 257.3777 | ∞ |
| Optimization Method | LINMAP | TOPSIS | Fuzzy | ||||||
|---|---|---|---|---|---|---|---|---|---|
| Objectives | |||||||||
| Max Error % | 0.8130 | 2.0580 | 2.0640 | 0.8130 | 1.2340 | 2.2604 | 1.1273 | 1.7732 | 2.9402 |
| Average Error % | 0.5421 | 0.8870 | 0.9210 | 0.5052 | 0.6450 | 0.9731 | 0.5690 | 0.9531 | 1.3503 |
© 2019 by the authors. Licensee MDPI, Basel, Switzerland. This article is an open access article distributed under the terms and conditions of the Creative Commons Attribution (CC BY) license (http://creativecommons.org/licenses/by/4.0/).
Share and Cite
Abedinnezhad, S.; Ahmadi, M.H.; Pourkiaei, S.M.; Pourfayaz, F.; Mosavi, A.; Feidt, M.; Shamshirband, S. Thermodynamic Assessment and Multi-Objective Optimization of Performance of Irreversible Dual-Miller Cycle. Energies 2019, 12, 4000. https://doi.org/10.3390/en12204000
Abedinnezhad S, Ahmadi MH, Pourkiaei SM, Pourfayaz F, Mosavi A, Feidt M, Shamshirband S. Thermodynamic Assessment and Multi-Objective Optimization of Performance of Irreversible Dual-Miller Cycle. Energies. 2019; 12(20):4000. https://doi.org/10.3390/en12204000
Chicago/Turabian StyleAbedinnezhad, Shahriyar, Mohammad Hossein Ahmadi, Seyed Mohsen Pourkiaei, Fathollah Pourfayaz, Amir Mosavi, Michel Feidt, and Shahaboddin Shamshirband. 2019. "Thermodynamic Assessment and Multi-Objective Optimization of Performance of Irreversible Dual-Miller Cycle" Energies 12, no. 20: 4000. https://doi.org/10.3390/en12204000
APA StyleAbedinnezhad, S., Ahmadi, M. H., Pourkiaei, S. M., Pourfayaz, F., Mosavi, A., Feidt, M., & Shamshirband, S. (2019). Thermodynamic Assessment and Multi-Objective Optimization of Performance of Irreversible Dual-Miller Cycle. Energies, 12(20), 4000. https://doi.org/10.3390/en12204000

