Solidification of Graphene-Assisted Phase Change Nanocomposites inside a Sphere for Cold Storage Applications
Abstract
:1. Introduction
2. Experimentation
2.1. Material Selection
2.2. Functionalization of GnPs
2.3. Preparation of PCM Nanocomposites
2.4. Experimental Facility
2.5. Experimental Procedure
2.6. Measurement of Thermal Conductivity and Rheological Behavior
3. Results and Discussion
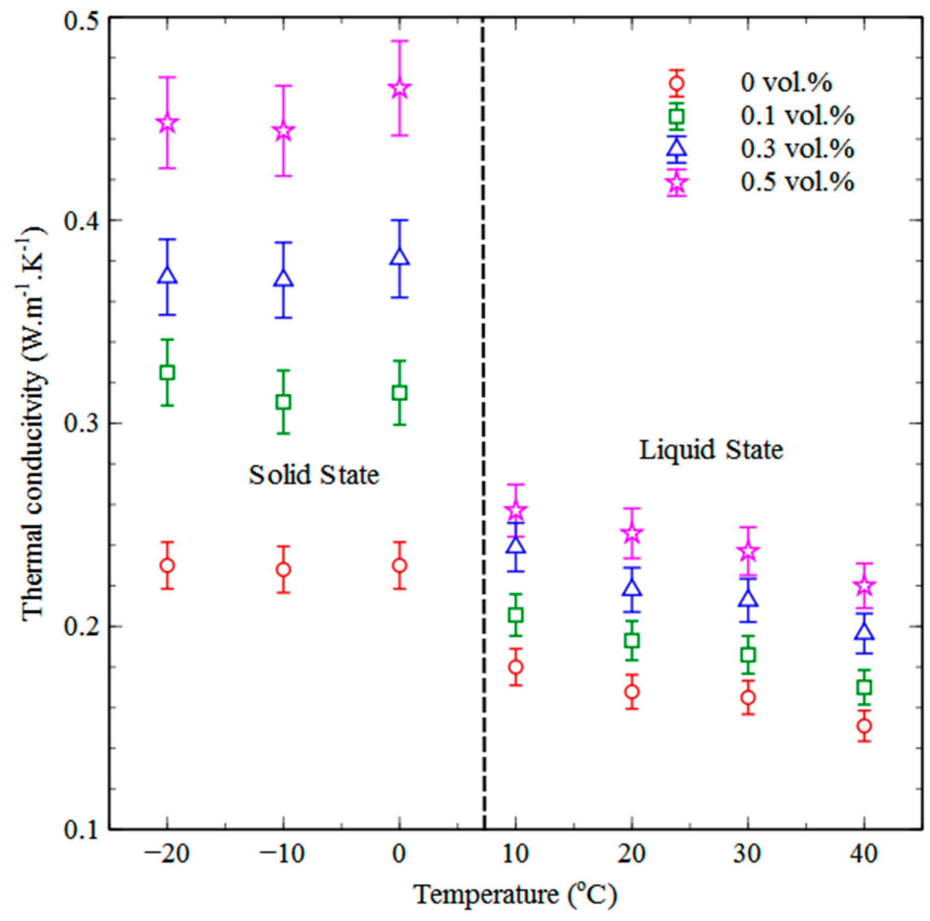
3.1. Effect of GnP Loading on the Thermal Conductivity of PCM Nanocomposites
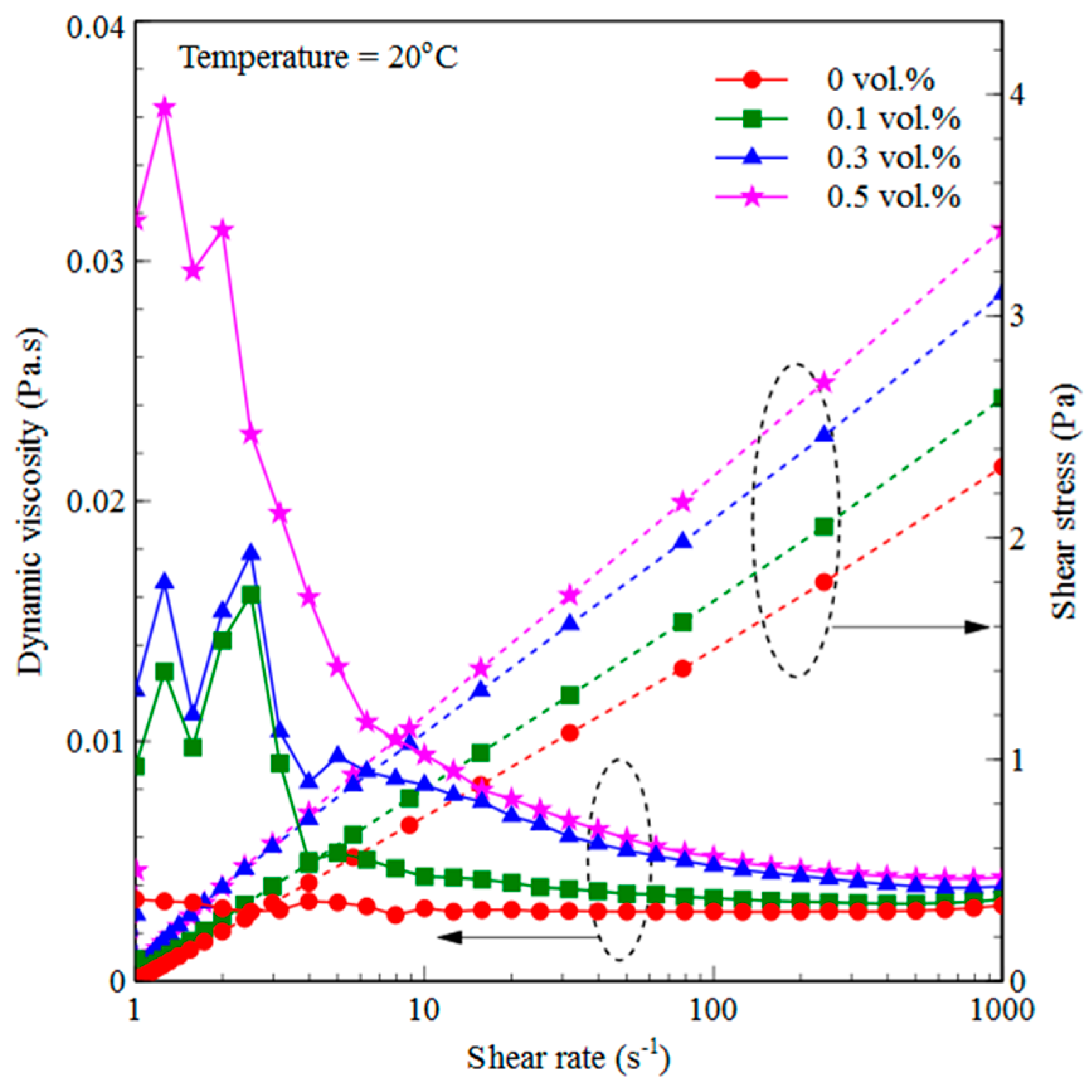
3.2. Effect of GnP Loading on Rheological Behavior of the PCM Nanocomposites
3.3. Solidification of Pure PCM in a Spherical Capsule
3.4. Effect of GnP Loading on the Solidification Behavior of the PCM Nanocomposites
4. Conclusions
Author Contributions
Funding
Conflicts of Interest
Nomenclature
| Abbreviation | |
| GnPs | Graphene nanoplatelets |
| LHTES | Latent heat thermal energy storage |
| MAC | Mobile air conditioning |
| PCM | Phase change material |
| RTD | Resistance temperature detector |
| SEM | Scanning Electron Microscopy |
| TES | Thermal energy storage |
| Symbols | |
| Cp | Specific heat capacity (kJ.kg−1. K−1) |
| h | Latent heat of fusion (kJ. kg−1) |
| k | Thermal conductivity (W.m−1. K−1) |
| R | Radius (mm) |
| T | Temperature (°C) |
| Greek symbols | |
| μ | Dynamic viscosity (Pa.s) |
| γ | Shear rate (s-1) |
| Subscripts | |
| 1,2,3,4, and 5 | Temperature measuring locations |
| bath | Bath temperature |
| initial | Initial temperature |
| l | Liquid |
| s | Solid |
References
- Streimikiene, D.; Balezentis, T.; Balezentien, L. Comparative assessment of road transport technologies. Renew. Sustain. Energy Rev. 2013, 20, 611–618. [Google Scholar] [CrossRef]
- Ji, C.; Yu, M.; Wang, S.; Zhang, B.; Cong, X.; Feng, Y.; Lin, S. The optimization of on-board H2 generator control strategy and fuel consumption of an engine under the NEDC condition with start-stop system and H2 start. Int. J. Hydrog. Energy 2016, 41, 19256–19264. [Google Scholar] [CrossRef]
- Fonseca, N.; Casanova, J.; Valdes, M. Influence of the stop/start system on CO2 emissions of a diesel vehicle in urban traffic. Transp. Res. Part D 2011, 16, 194–200. [Google Scholar] [CrossRef]
- Ibarra, D.; Ramirez-Mendoza, R.A.; Lopez, E.; Bustamante, R. Influence of the automotive Start/Stop system on noise emission. Exp. Stud. Appl. Acoust. 2015, 100, 55–62. [Google Scholar] [CrossRef]
- Veerakumar, C.; Sreekumar, A. Phase change material based cold thermal energy storage: Materials, techniques and applications—A review. Int. J. Refrig. 2016, 67, 271–289. [Google Scholar] [CrossRef]
- Rozanna, D.; Chuah, T.G.; Salmiah, A.; Choong, S.Y.; Saari, M. Fatty acids as phase change materials (PCMs) for thermal energy storage: A review. Int. J. Green Energy 2005, 1, 495–513. [Google Scholar] [CrossRef]
- Bista, S.; Hosseini, S.E.; Owens, E.; Phillips, G. Performance improvement and energy consumption reduction in refrigeration systems using phase change material (PCM). Appl. Therm. Eng. 2018, 142, 723–735. [Google Scholar] [CrossRef]
- Elarem, R.; Mellouli, S.; Abhilash, E.; Jemni, A. Performance analysis of a household refrigerator integrating a PCM heat exchanger. Appl. Therm. Eng. 2017, 125, 1320–1333. [Google Scholar] [CrossRef]
- Maiorino, A.; Duca, M.G.; Mota-Babiloni, A.; Greco, A.; Aprea, C. The thermal performances of a refrigerator incorporating a phase change material. Int. J. Refrig. 2019, 100, 255–264. [Google Scholar] [CrossRef]
- Bakhshipour, S.; Valipour, M.S.; Pahamli, Y. Parametric analysis of domestic refrigerators using PCM heat exchanger. Int. J. Refrig. 2017, 83, 1–13. [Google Scholar] [CrossRef]
- Yamada, A.; Nishida, S.; Yokoyama, N.; Abei, J.; Danjo, T.; Florida, L.; Brodie, B.; Nagano, Y. Cold Storage Air Conditioning System for Idle Stop Vehicle; SAE Technical Paper 2013-01-1287; SAE International: Warrendale, PA, USA, 2013. [Google Scholar]
- Wang, M.; Wolfe, E.; Craig, T.; Laclair, J.T.; Abdelaziz, O.; Gao, Z. Design and Testing of a Thermal Storage System for Electric Vehicle Cabin Heating; SAE Technical Paper 2016-01-0248; SAE International: Warrendale, PA, USA, 2013. [Google Scholar]
- Sharma, A.; Shukla, A. Thermal cycle test of binary mixtures of some fatty acids as phase change materials for building applications. Energy Build. 2015, 99, 196–203. [Google Scholar] [CrossRef]
- Choi, D.H.; Lee, J.; Hong, H.; Kang, Y.T. Thermal conductivity and heat transfer performance enhancement of phase change materials (PCM) containing carbon additives for heat storage application. Int. J. Refrig. 2014, 42, 112–120. [Google Scholar] [CrossRef]
- Harish, S.; Orejon, D.; Takata, Y.; Kohno, M. Thermal conductivity enhancement of lauric acid phase change nanocomposite in solid and liquid state with single-walled carbon nanohorn inclusions. Thermochim. Acta 2015, 600, 1–6. [Google Scholar] [CrossRef]
- Li, T.; Lee, J.H.; Wang, R.; Kang, Y.T. Enhancement of heat transfer for thermal energy storage application using stearic acid nanocomposite with multi-walled carbon nanotubes. Energy 2013, 55, 752–761. [Google Scholar] [CrossRef]
- Yavari, F.; Fard, H.R.; Pashayi, K.; Rafiee, M.A.; Zamiri, A.; Yu, Z.Z.; Ozisik, R.; Borca-Tasciuc, T.; Koratkar, N. Enhanced thermal conductivity in a nanostructured phase change composite due to low concentration graphene additives. J. Phys. Chem. C 2011, 115, 8753–8758. [Google Scholar] [CrossRef]
- Fan, L.; Fang, X.; Wanga, X.; Zeng, Y.; Xiao, Y.; Yu, Z.; Xuc, X.; Hua, Y.; Cen, K. Effects of various carbon nanofillers on the thermal conductivity and energy storage properties of paraffin-based nanocomposite phase change materials. Appl. Energy 2013, 110, 163–172. [Google Scholar] [CrossRef]
- Kuila, T.; Bose, S.; Mishra, A.K.; Khanra, P.; Kim, N.H.; Lee, J.H. Chemical functionalization of graphene and its applications. Prog. Mater. Sci. 2012, 57, 1061–1105. [Google Scholar] [CrossRef]
- Sidney, S.; Dhasan, M.L.; Selvam, C.; Harish, S. Experimental investigation of freezing and melting characteristics of graphene-based phase change nanocomposite for cold thermal energy storage applications. Appl. Sci. 2019, 9, 1099. [Google Scholar] [CrossRef]
- Parameshwaran, R.; Deepak, K.; Saravanan, R.; Kalaiselvam, S. Preparation, thermal and rheological properties of hybrid nanocomposite phase change material for thermal energy storage. Appl. Energy 2014, 115, 320–330. [Google Scholar] [CrossRef]
- Sathishkumar, A.; Kumaresan, V.; Velraj, R. Solidification characteristics of water based graphene nanofluid PCM in a spherical capsule for cool thermal energy storage applications. Int. J. Refrig. 2016, 66, 73–83. [Google Scholar] [CrossRef]
- Kumaresan, V.; Velraj, R.; Das, S.K. The effect of carbon nanotubes in enhancing the thermal transport properties of PCM during solidification. Heat Mass Transf. 2012, 48, 1345–1355. [Google Scholar] [CrossRef]
- Kumaresan, V.; Chandrasekaran, P.; Nanda, M.; Maini, A.K.; Velraj, R. Role of PCM based nanofluids for energy efficient cool thermal storage system. Int. J. Refrig. 2013, 36, 1641–1647. [Google Scholar] [CrossRef]
- Chandrasekaran, P.; Cheralathan, M.; Kumaresan, V.; Velraj, R. Solidification behavior of water based nanofluid phase change material with a nucleating agent for cool thermal storage system. Int. J. Refrig. 2014, 41, 157–163. [Google Scholar] [CrossRef]
- Liu, Y.; Li, X.; Hu, P.; Hu, G. Study on the supercooling degree and nucleation behavior of water based graphene oxide nanofluids PCM. Int. J. Refrig. 2015, 50, 80–86. [Google Scholar] [CrossRef]
- Mo, S.P.; Chen, Y.; Yang, J.; Luo, X. Experimental study on solidification behavior of carbon nanotube nanofluid. Adv. Mater. Res. 2011, 171, 333–336. [Google Scholar] [CrossRef]
- Prabakaran, R.; Kumar, J.P.N.; Lal, D.M.; Selvam, C.; Harish, S. Constrained melting of graphene-based phase change nanocomposites inside a sphere. J. Therm. Anal. Calorim. 2019, 1–12. [Google Scholar] [CrossRef]
- Prabakaran, R.; Lal, D.M.; Prabhakaran, A.; Kumar, J.K. Experimental investigations on the performance enhancement using minichannel evaporator with integrated receiver dryer condenser in an automotive air conditioning system. Heat Transf. Eng. 2019, 40, 667–678. [Google Scholar] [CrossRef]
- Moffat, R.J. Describing the uncertainties in experimental results. Exp. Therm. Fluid Sci. 1998, 1, 3–17. [Google Scholar] [CrossRef]
- Zheng, R.T.; Gao, J.W.; Wang, J.J.; Chen, G. Reversible temperature regulation of electrical and thermal conductivity using liquid-solid phase transitions. Nat. Commun. 2011, 2, 289. [Google Scholar] [CrossRef]
- Harish, S.; Orejon, D.; Takata, Y.; Kohno, M. Thermal conductivity enhancement of lauric acid phase change nanocomposite with graphene nanoplatelets. Appl. Therm. Eng. 2015, 80, 205–211. [Google Scholar] [CrossRef]
- Utomo, A.; Poth, H.; Robbins, P.T.; Pacek, A.W. Experimental and theoretical studies of thermal conductivity, viscosity and heat transfer coefficient of titania and alumina nanofluids. Int. J. Heat Mass Transf. 2012, 55, 7772–7781. [Google Scholar] [CrossRef]
- Li, W.; Wang, Y.H.; Kong, C.C. Experimental study on melting/solidification and thermal conductivity enhancement of phase change material inside a sphere. Int. Commun. Heat Mass Transf. 2015, 68, 276–282. [Google Scholar] [CrossRef]










| Authors | Phase Change Material | Nanomaterial | Observation |
|---|---|---|---|
| Sidney et al. [20] | Deionized water | Functionalized GnPs | Solidification time of GnP nanocomposite with 0.5 vol% of GNPs was decreased by 43% and 32% for bath temperatures of −6 °C and −10 °C, respectively. |
| Sathishkumar et al. [22] | Deionized water | GnPs | Solidification time decreased by 21% and 25% at bath temperatures of −9 °C and −12 °C, respectively, with 0.5 vol% of GnPs. |
| Kumaresan et al. [23] | Paraffin (RT 20) | MWCNT | With 0.6 vol% of MWCNT, the solidification time of PCM nanocomposite decreased by 33.64%. |
| Kumaresan et al. [24] | Deionized water | MWCNT | Solidification time decreased by 14% and 20% for the bath temperatures of −9 °C and −12 °C with 0.6 vol% of MWCNT inclusion. |
| Chandrasekaran et al. [25] | Deionized water | MWCNT | Freezing time was reduced by 25% with 0.1 wt% of MWCNT. |
| Liu et al. [26] | Deionized water | Graphene oxide | Solidification was shortened by 66% with 50 mg of GO in 100 ml water. |
| Mo et al. [27] | Deionized water | L-MWNT-1030 | Solidification time was reduced from 4 h and 30 min to 3 h and 20 min. |
| Property | Value a |
|---|---|
| Phase change temperature | 8–9 °C |
| Density (liquid phase) ρl (at 30 °C) | 1050 kg m−3 |
| Density (solid phase) ρs (at 0 °C) | 1111 kg m−3 |
| Thermal conductivity (liquid phase) kl (at 30 °C) | 0.168 W m−1 K−1 |
| Thermal conductivity (Solid phase) ks (at –5 °C) | 0.235 W m−1 K−1 |
| Latent heat h (0–9 °C) | 180 kJ kg−1 |
| Specific heat (liquid phase) cpl (30 °C) | 2.1 kJ kg−1 K−1 |
| Specific heat (solid phase) cps (0 °C) | 1.71 kJ kg−1 K−1 |
| Flash point | 110 °C |
| Volume Fraction of GnP (%) | Complete Solidification Time (minutes) | Complete Melting Time (minutes) [28] | ||
|---|---|---|---|---|
| 31 to 2 °C | 31 to −10 °C | 2 to 31 °C | −10 to 31 °C | |
| 0 | 274 | 154 | 35.5 | 44 |
| 0.1 | 247 | 129 | 34 | 41.5 |
| 0.3 | 209 | 109 | 29 | 34.5 |
| 0.5 | 180 | 84 | 25.5 | 30 |
© 2019 by the authors. Licensee MDPI, Basel, Switzerland. This article is an open access article distributed under the terms and conditions of the Creative Commons Attribution (CC BY) license (http://creativecommons.org/licenses/by/4.0/).
Share and Cite
Prabakaran, R.; Sidney, S.; Lal, D.M.; Selvam, C.; Harish, S. Solidification of Graphene-Assisted Phase Change Nanocomposites inside a Sphere for Cold Storage Applications. Energies 2019, 12, 3473. https://doi.org/10.3390/en12183473
Prabakaran R, Sidney S, Lal DM, Selvam C, Harish S. Solidification of Graphene-Assisted Phase Change Nanocomposites inside a Sphere for Cold Storage Applications. Energies. 2019; 12(18):3473. https://doi.org/10.3390/en12183473
Chicago/Turabian StylePrabakaran, Rajendran, Shaji Sidney, Dhasan Mohan Lal, C. Selvam, and Sivasankaran Harish. 2019. "Solidification of Graphene-Assisted Phase Change Nanocomposites inside a Sphere for Cold Storage Applications" Energies 12, no. 18: 3473. https://doi.org/10.3390/en12183473
APA StylePrabakaran, R., Sidney, S., Lal, D. M., Selvam, C., & Harish, S. (2019). Solidification of Graphene-Assisted Phase Change Nanocomposites inside a Sphere for Cold Storage Applications. Energies, 12(18), 3473. https://doi.org/10.3390/en12183473

