Numerical Study of Variable Camber Continuous Trailing Edge Flap at Off-Design Conditions
Abstract
1. Introduction
Techniques for Increasing Aerodynamic Efficiency
2. Present Work
2.1. Wing of Advanced Technology Regional Aircraft (W-ATRA)
2.2. Combining VCCTEF with W-ATRA
3. Numerical Method
4. Results and Discussion
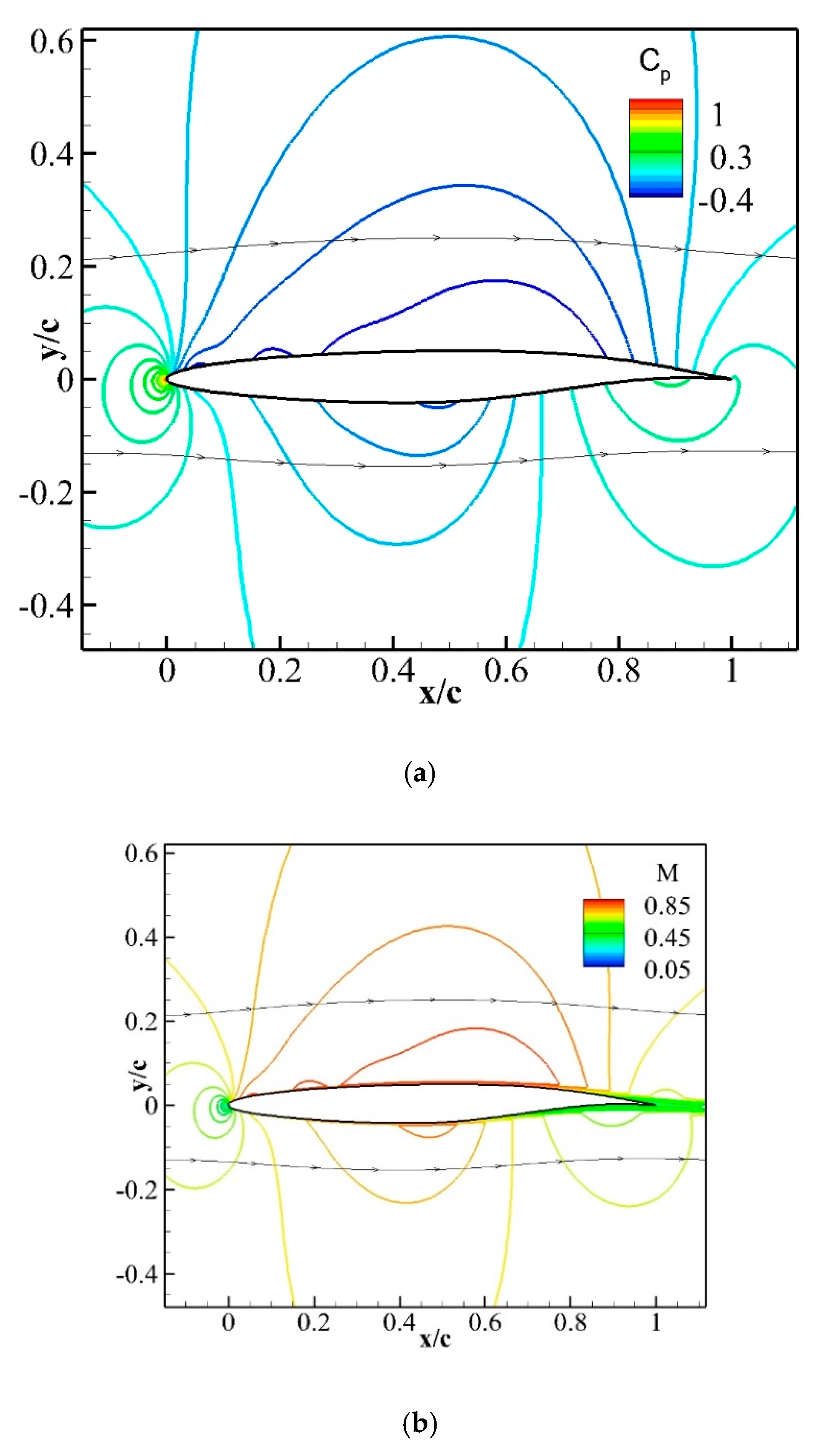
4.1. Validation
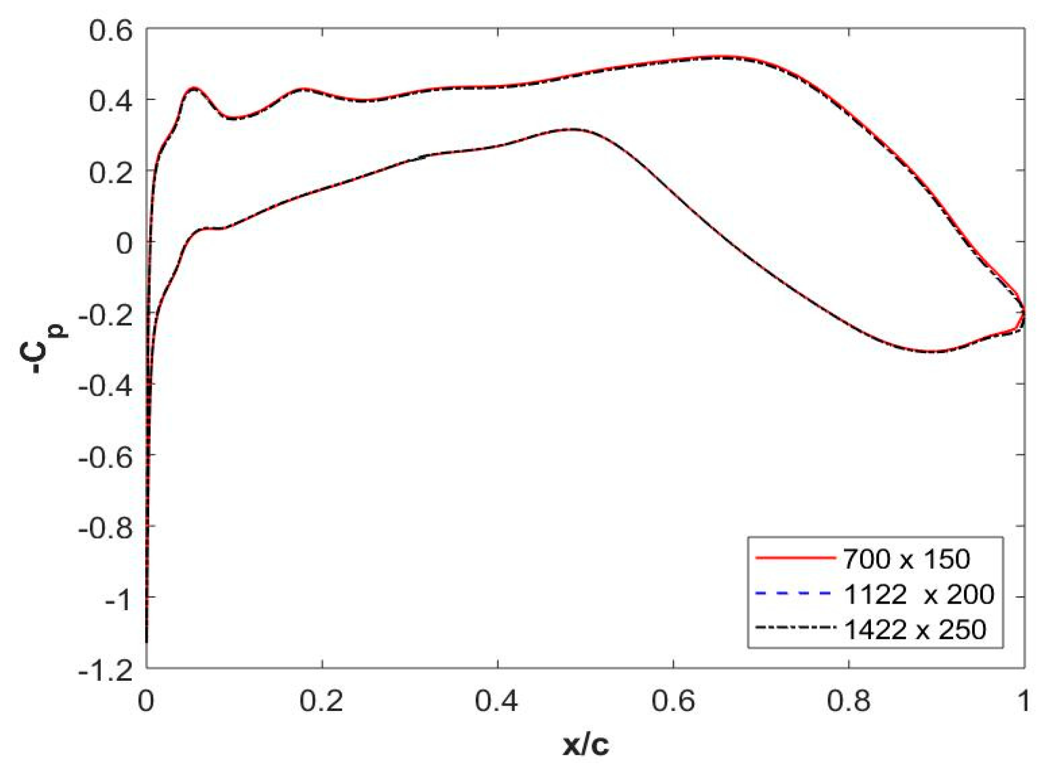
4.2. Grid Independence Study (Baseline)
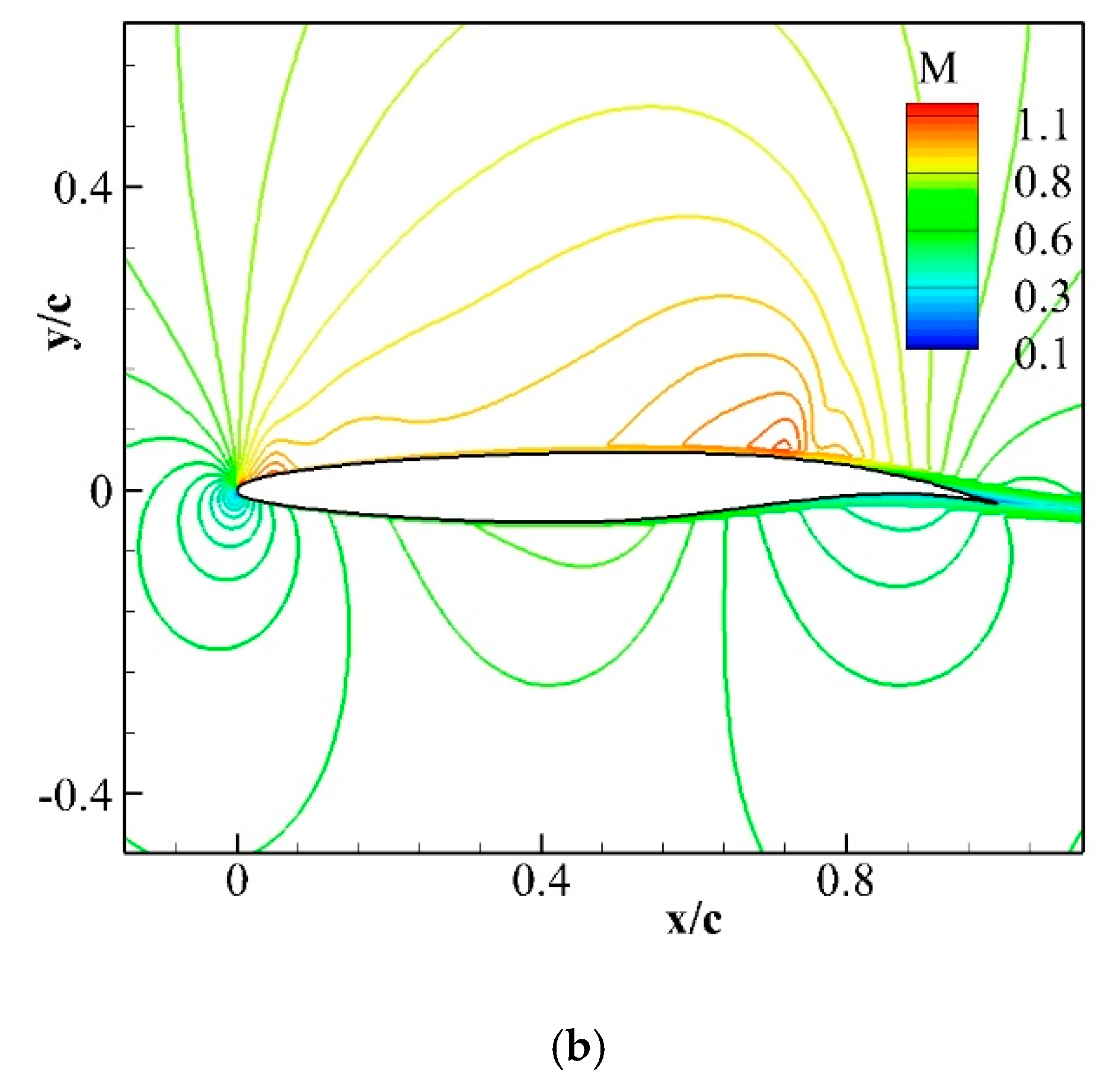
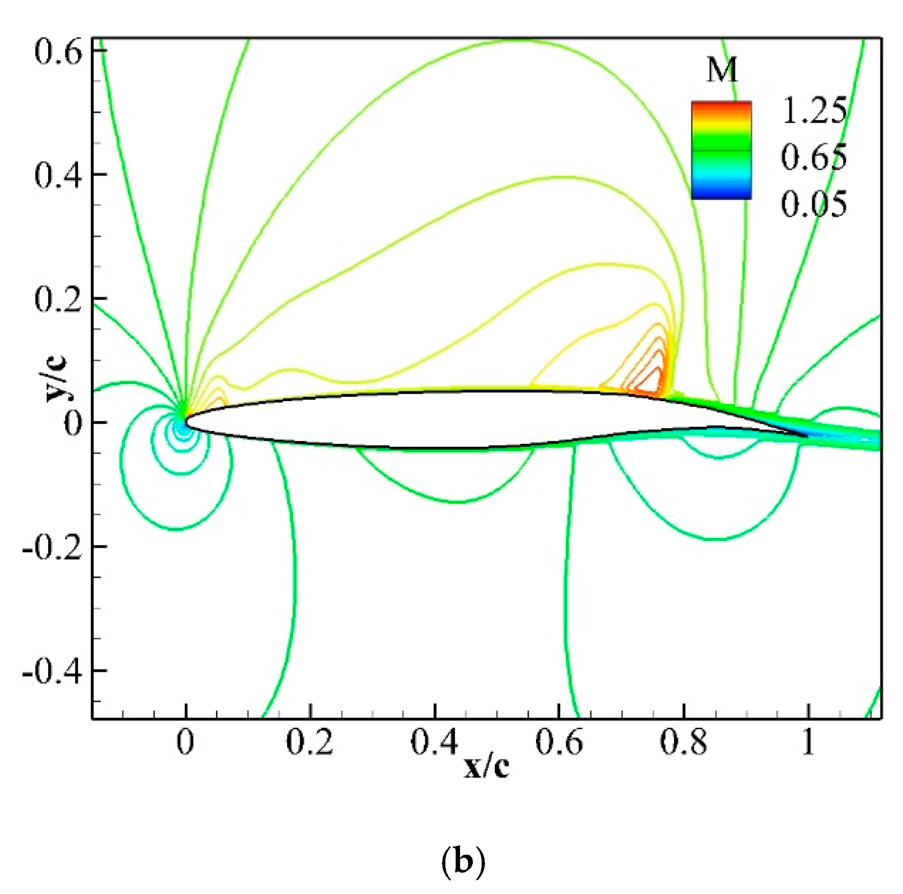
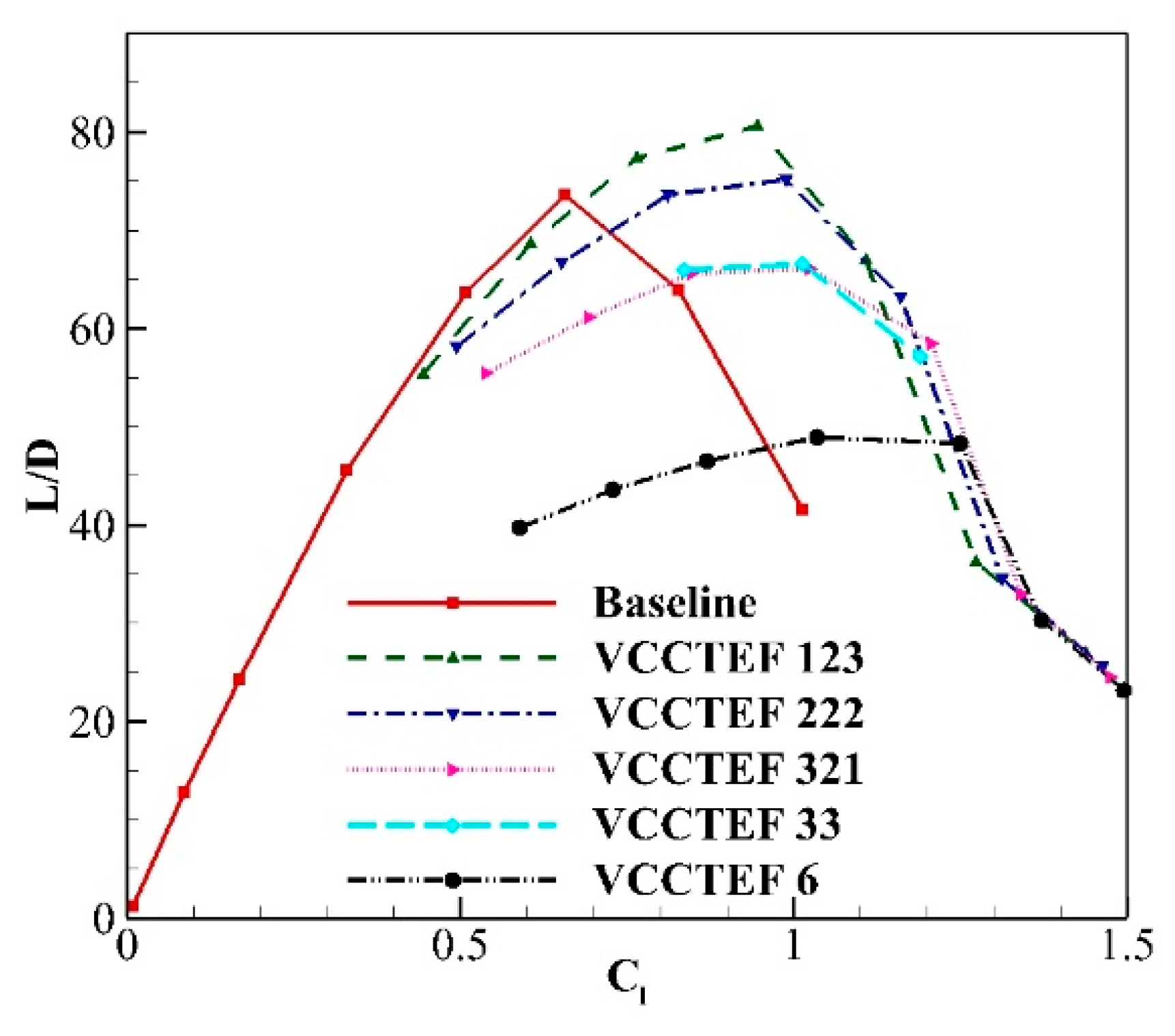
4.3. VCCTEF Simulations
5. Conclusions
Author Contributions
Funding
Acknowledgments
Conflicts of Interest
References
- Green, J.E. Civil aviation and the environmental challenge. Aeronaut. J. 2003, 107, 281–300. [Google Scholar]
- Marec, J.P. Drag Reduction: A Major Task for Research. In Proceedings of the CEAS/DragNet European Drag Reduction Conference, Potsdam, Germany, 19–21 June 2000; pp. 17–28. [Google Scholar]
- Bolonkin, A.; Gilyard, G.B. Estimated Benefits of Variable-Geometry Wing Camber Control for Transport Aircraft. NASA/TM-1999-206586; 1999. Available online: https://ntrs.nasa.gov/archive/nasa/casi.ntrs.nasa.gov/19990090019.pdf (accessed on 3 August 2019).
- Van Dam, C.P. The aerodynamic design of multi-element high-lift systems for transport airplanes. Prog. Aerosp. Sci. 2002, 38, 101–144. [Google Scholar] [CrossRef]
- Thibert, J.J.; Reneaux, J.; Schmitt, V. ON-ERA activities in drag Reduction. In Proceedings of the 17th Congress of the International Council of the Aeronautical Sciences, Stockholm, Sweden, 9–14 September 1990; Volume 17, pp. 1053–1064. [Google Scholar]
- Jahanmiri, M. Aircraft Drag Reduction: An Overview; Chalmers University of Technology: Gothenburg, Sweden, 2011; Available online: http://publications.lib.chalmers.se/records/fulltext/137214.pdf (accessed on 3 August 2019).
- Neittaanmäki, P.; Rossi, T.; Korotov, S.; Oñate, E.; Périaux, J.; Knörzer, D. Overview on drag reduction technologies for civil transport aircraft. In Proceedings of the European Congress on Computational Methods in Applied Sciences and Engineering (ECCOMAS), Jyväskylä, Finland, 24–28 July 2004; pp. 24–28. [Google Scholar]
- Slooff, J.W. Subsonic Transport Aircraft-New Challenges and Opportunities for Aerodynamic Research; The 36th Lanchester Lecture; Royal Aeronautical Society: London, UK, 1996. [Google Scholar]
- Sareen, A.; Deters, R.W.; Henry, S.P.; Selig, M.S. Drag reduction using riblet film applied to airfoils for wind turbines. J. Sol. Energy Eng. 2014, 136, 21007. [Google Scholar] [CrossRef]
- Anders, J.; Watson, R. Airfoil large-eddy breakup devices for turbulent drag reduction. In Proceedings of the Shear Flow Control Conference, Boulder, CO, USA, 12–14 March 1985; p. 520. [Google Scholar]
- Gao, L.; Zhang, H.; Liu, Y.; Han, S. Effects of vortex generators on a blunt trailing-edge airfoil for wind turbines. Renew. Energy 2015, 76, 303–311. [Google Scholar] [CrossRef]
- Zheng, X.F.; Yan, Y.Y. A Biomimetic Smart Control of Viscous Drag Reduction. Adv. Nat. Sci. 2010, 3, 139–151. [Google Scholar]
- Joslin, R.D. Aircraft laminar flow control. Annu. Rev. Fluid Mech. 1998, 30, 1–29. [Google Scholar] [CrossRef]
- Braslow, A.L. A History of Suction-Type Laminar-Flow Control with Emphasis on Flight Research; Monogr. Aerosp. Hist. Number 13; NASA: Washington, DC, USA, 1999.
- Boeing Commercial Airline Co. Hybrid Laminar Flow Control Study Final Technical Report NASA CR 165930. 1982. Available online: https://ntrs.nasa.gov/archive/nasa/casi.ntrs.nasa.gov/19850002625.pdf (accessed on 3 August 2019).
- Edi, P.; Fielding, J.P. Civil-Transport Wing Design Concept Exploiting New Technologies. J. Aircr. 2006, 43, 932–940. [Google Scholar] [CrossRef][Green Version]
- Nguyen, N. Elastically Shaped Future Air Vehicle Concept. Moffett Field, CA, USA; 94035; 2010. Available online: https://www.nasa.gov/pdf/499930main_arc_nguyen_elastically_shaped.pdf (accessed on 3 August 2019).
- Nguyen, N.T.; Livne, E.; Precup, N.; Urnes, J.M.; Nelson, C.; Ting, E.; Lebofsky, S. Experimental Investigation of a Flexible Wing with a Variable Camber Continuous Trailing Edge Flap Design. In Proceedings of the 32nd AIAA Applied Aerodynamics Conference, Atlanta, GA, USA, 16–20 June 2014; p. 2441. [Google Scholar]
- Edi, P. Investigation of the Application of Hybrid Laminar Flow Control and Variable Camber Wing Design for Regional Aircraft; Cranfield University: Cranfield, UK, 1998. [Google Scholar]
- Kaul, U.K.; Nguyen, N.T. Drag Optimization Study of Variable Camber Continuous Trailing Edge Flap (VCCTEF) Using OVERFLOW. In Proceedings of the 32nd AIAA Applied Aerodynamics Conference, Atlanta, GA, USA, 16–20 June 2014; pp. 1–20. [Google Scholar]
- Wilcox, D.C. Turbulence Modeling for CFD, 2nd ed.; DCW Industries: La Cañada Flintridge, CA, USA, 2000. [Google Scholar]
- Blazek, J. Computational Fluid Dynamics: Principles and Applications, 3rd ed.; Butterworth-Heinemann: Oxford, UK, 2015. [Google Scholar]
- Harris, C. Two-Dimensional Aerodynamic Characteristics of the NACA0012 Airfoil in the Langley 8-Foot Transonic Pressure Tunnel; NASA TM-81927; NASA: Washington, DC, USA, 1981.
- Pasha, A.A.; Sinha, K. Shock-unsteadiness model applied to oblique shock wave/turbulent boundary-layer interaction. Int. J. Comput. Fluid Dyn. 2008, 22, 569–582. [Google Scholar] [CrossRef]
- Pasha, A.A.; Sinha, K. Simulation of Hypersonic Shock/Turbulent Boundary-Layer Interactions Using Shock-Unsteadiness Model. J. Propuls. Power 2012, 28, 46–60. [Google Scholar] [CrossRef]
- Pasha, A.A. Three-Dimensional Modeling Shock-Wave Interaction with a Fin at Mach 5. Arab. J. Sci. Eng. 2018, 43, 4879–4888. [Google Scholar] [CrossRef]
- Pasha, A.A.; Juhany, K.A.; Khalid, M. Numerical prediction of shock/boundary-layer interactions at high Mach numbers using a modified Spalart–Allmaras model. Eng. Appl. Comput. Fluid Mech. 2018, 12, 459–472. [Google Scholar]
- Drela, M.; Harold, Y. XFOIL 6.9 User Primer; Massachusetts Institute of Technology: Cambridge, MA, USA, 2001. [Google Scholar]
- Anderson, J.D., Jr. Fundamentals of Aerodynamics; McGraw Hill: New York, NY, USA, 2001. [Google Scholar]
- Rahman, M.M.; Samtaney, R. Modeling and analysis of large-eddy simulations of particle-laden turbulent boundary layer flow-RANS and LES Methods. In Proceedings of the 55th AIAA Aerospace Sciences Meeting, Grapevine, TX, USA, 9–13 January 2017; pp. 981–992. [Google Scholar]
- Rahman, M.M.; Cheng, W.; Samtaney, R.; Urzay, J. Large-Eddy Simulations of Sandstorms as Charged-Particle Suspensions in Turbulent Boundary Layers-Multi-Phase Flows. In Center of Turbulence Research, Stanford, Proceedings of the Summer Program. 2016. Available online: https://web.stanford.edu/~jurzay/45_Rahman.pdf (accessed on 1 August 2019).




























| VCCTEF Configuration | No. of Segments (n) | Flap 1 (deg) | Flap 2 (deg) | Flap 3 (deg) |
|---|---|---|---|---|
| VCCTEF 123 | 3 | 1 | 2 | 3 |
| VCCTEF 222 | 3 | 2 | 2 | 2 |
| VCCTEF 321 | 3 | 3 | 2 | 1 |
| VCCTEF 33 | 2 | 3 | 3 | - |
| VCCTEF 6 | 1 | 6 | - | - |
© 2019 by the authors. Licensee MDPI, Basel, Switzerland. This article is an open access article distributed under the terms and conditions of the Creative Commons Attribution (CC BY) license (http://creativecommons.org/licenses/by/4.0/).
Share and Cite
Raheem, M.A.; Edi, P.; Pasha, A.A.; Rahman, M.M.; A. Juhany, K. Numerical Study of Variable Camber Continuous Trailing Edge Flap at Off-Design Conditions. Energies 2019, 12, 3185. https://doi.org/10.3390/en12163185
Raheem MA, Edi P, Pasha AA, Rahman MM, A. Juhany K. Numerical Study of Variable Camber Continuous Trailing Edge Flap at Off-Design Conditions. Energies. 2019; 12(16):3185. https://doi.org/10.3390/en12163185
Chicago/Turabian StyleRaheem, Mohammed Abdul, Prasetyo Edi, Amjad A. Pasha, Mustafa M. Rahman, and Khalid A. Juhany. 2019. "Numerical Study of Variable Camber Continuous Trailing Edge Flap at Off-Design Conditions" Energies 12, no. 16: 3185. https://doi.org/10.3390/en12163185
APA StyleRaheem, M. A., Edi, P., Pasha, A. A., Rahman, M. M., & A. Juhany, K. (2019). Numerical Study of Variable Camber Continuous Trailing Edge Flap at Off-Design Conditions. Energies, 12(16), 3185. https://doi.org/10.3390/en12163185

