Deformation, Permeability and Acoustic Emission Characteristics of Coal Masses under Mining-Induced Stress Paths
Abstract
:1. Introduction
2. Experimental Setup
2.1. Evolution Laws of Mining-Induced Stress under Three Mining Paths
2.2. Specimen Preparation and Testing Equipment
2.3. Test Scheme
2.4. Test Procedure
3. Test Result Analysis
3.1. Influence of Mining-Induced Stress Paths on the Geomechanical Characteristic of Coal Specimen
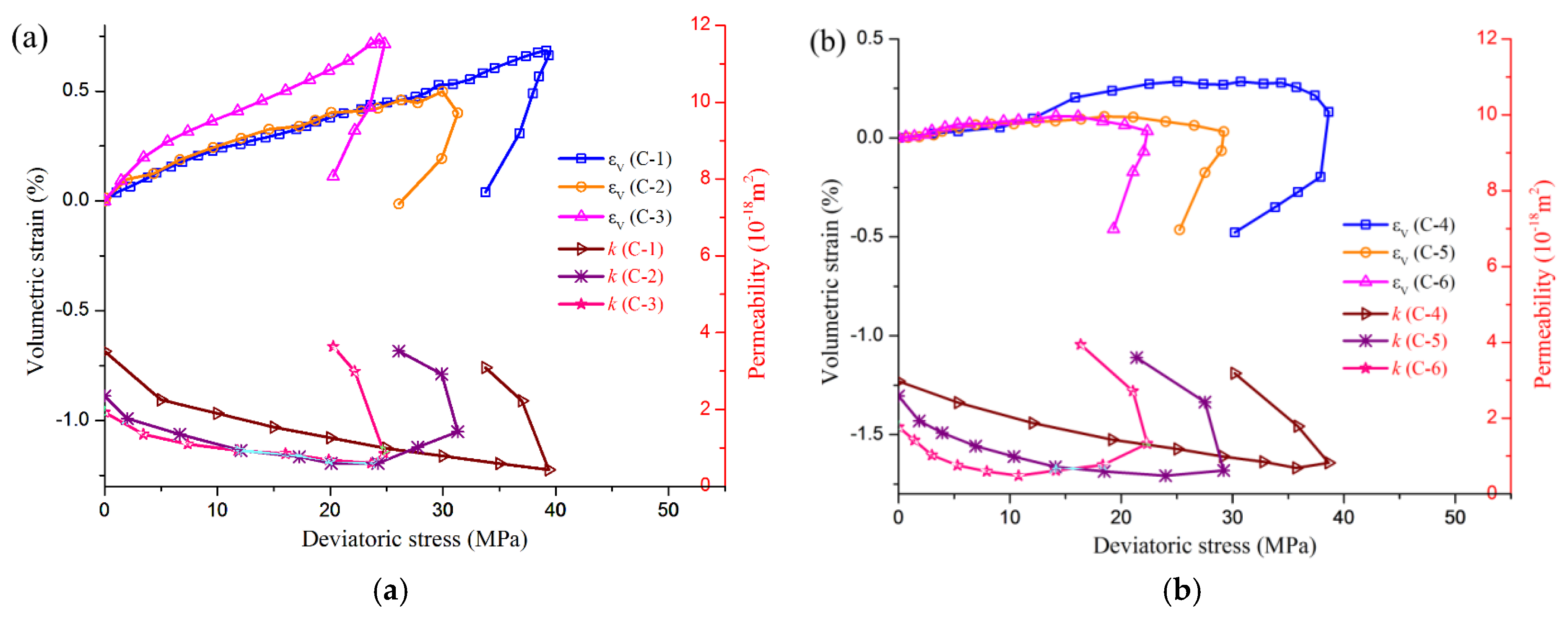
3.2. Influence of Mining-Induced Stress Paths on the Energy Densities and Permeability of Coal Samples
3.3. Influence of Mining-Induced Stress Paths on the AE Signal of Coal Samples
3.4. Influence of Mining-Induced Stress Paths on the Fractal Dimension of Coal Samples
4. Conclusions
Author Contributions
Acknowledgments
Conflicts of Interest
References
- Sobczyk, J. A comparison of the influence of adsorbed gases on gas stresses leading to coal and gas outburst. Fuel 2014, 115, 288–294. [Google Scholar] [CrossRef]
- Dennis, J.B. Investigations into the identification and control of outburst risk in australian underground coal mines. Int. J. Min. Sci. Technol. 2017, 27, 749–753. [Google Scholar] [CrossRef]
- Masoudi, R.; Sharifzadeh, M. Reinforcement selection for deep and high-stress tunnels at preliminary design stages using ground demand and support capacity approach. Int. J. Min. Sci. Technol. 2017, 28, 573–582. [Google Scholar] [CrossRef]
- Xie, H.; Ju, Y.; Gao, F.; Gao, M.; Zhang, R. Groundbreaking theoretical and technical conceptualization of fluidized mining of deep underground solid mineral resources. Tunn. Undergr. Space Technol. 2017, 67, 68–70. [Google Scholar] [CrossRef]
- Tulu, I.B.; Esterhuizen, G.S.; Gearhart, D.; Klemetti, T.M.; Mohamed, K.M.; Su, D.W.H. Analysis of global and local stress changes in a longwall gateroad. Int. J. Min. Sci. Technol. 2018, 28, 127–135. [Google Scholar] [CrossRef]
- Li, Z.; He, X.; Dou, L. Control measures and practice for rock burst induced by overburden fracture in top-coal caving mining. J. China Univ. Min. Technol. 2018, 47, 162–171. [Google Scholar]
- Skrzypkowski, K. Laboratory testing of a long expansion rock bolt support for energy-absorbing applications. In Proceedings of the E3S Web of Conferences, Szklarska Poreba, Poland, 23–26 May 2017; Volume 29. [Google Scholar] [CrossRef]
- Skrzypkowski, K. Roof bolting in terms of dynamic hazards. Gospodarka Surowcami Miner. Miner. Resour. Manage. 2008, 24, 305–316. [Google Scholar]
- Xie, H.; Li, L.; Peng, R.; Ju, Y. Energy analysis and criteria for structural failure of rocks. J. Rock Mech. Geotech. Eng. 2009, 1, 11–20. [Google Scholar] [CrossRef]
- Wang, G.; Dou, L.; Wu, C.; Wang, Z.; Gong, S.; Jiang, H.E.; Li, Z. Unstable energy triggering mechanism of rock burst. J. China Univ. Min. Technol. 2018, 47, 190–196. [Google Scholar]
- Lama, R.D.; Bodziony, J. Management of outburst in underground coal mines. Int. J. Coal Geol. 1998, 35, 83–115. [Google Scholar] [CrossRef]
- Lama, R.D.; Bodziony, J. Outburst of Gas, Coal and Rock in Underground Coal Mines; Lama & Associates: Evesham Township, NJ, USA, 1996; p. 400. [Google Scholar]
- Yang, W.; Lin, B.Q.; Yan, Q.; Zhai, C. Stress redistribution of longwall mining stope and gas control of multi-layer coal seams. Int. J. Rock Mech. Min. Sci. 2014, 72, 8–15. [Google Scholar] [CrossRef]
- Thompsonb, D.; Bawdenw, F.; Grabinskym, W. In situ measurements of cemented paste backfill at the cayeli mine. Can. Geotech. J. 2012, 49, 755–772. [Google Scholar] [CrossRef]
- Xue, Y.; Dang, F.; Fang, S.; Li, R.; Cao, Z. Evaluation of Gas Migration and Rock Damage Characteristics for Underground Nuclear Waste Storage Based on a Coupled Model. Sci. Technol. Nucl. Install. 2018, 2018, 2973279. [Google Scholar] [CrossRef]
- Corkum, A.G.; Damjanac, B.; Lam, T. Variation of horizontal in situ stress with depth for long-term performance evaluation of the deep geological repository project access shaft. Int. J. Rock Mech. Min. Sci. 2018, 107, 75–85. [Google Scholar] [CrossRef]
- Aubertin, M.; Li, L. An analytical solution for the nonlinear distribution of effective and total stresses in vertical backfilled stopes. Géoméch. Geoengin. 2010, 5, 237–245. [Google Scholar] [CrossRef]
- Shen, W.L.; Bai, J.B.; Wang, X.Y.; Yu, Y. Response and control technology for entry loaded by mining abutment stress of a thick hard roof. Int. J. Rock Mech. Min. Sci. 2016, 90, 26–34. [Google Scholar] [CrossRef]
- Xue, Y.; Dang, F.; Cao, Z.; Du, F.; Liu, F.; Ren, J.; Gao, F. Numerical Analysis of Heat and Gas Transfer Characteristics during Heat Injection Processes Based on a Thermo-Hydro-Mechanical Model. Energies 2018, 11, 1722. [Google Scholar] [CrossRef]
- Robertson, E.P.; Christiansen, R.L. A permeability model for coal and other fractured, sorptive-elastic media. In Proceedings of the SPE Eastern Regional Meeting, Canton, OH, USA, 11–13 October 2006. [Google Scholar]
- Seidle, J.P.; Jeansonne, M.W.; Erickson, D.J. Application of matchstick geometry to stress dependent permeability in coals. In Proceedings of the SPE rocky Mountain Regional Meeting, Casper, WY, USA, 15–21 May 1992. [Google Scholar]
- Shi, J.Q.; Durucan, S. Drawdown induced changes in permeability of coalbeds: A new interpretation of the reservoir response to primary recovery. Transp. Porous Media 2004, 56, 1–16. [Google Scholar] [CrossRef]
- Cui, X.; Bustin, R.M. Volumetric strain associated with methane desorption and its impact on coalbed gas production from deep coal seams. AAPG Bull. 2005, 89, 1181–1202. [Google Scholar] [CrossRef]
- Dong, C.; Pan, Z.; Ye, Z. Dependence of gas shale fracture permeability on effective stress and reservoir pressure: Model match and insights. Fuel 2015, 139, 383–392. [Google Scholar] [CrossRef]
- Hosking, L.J.; Thomas, H.R.; Sedighi, M. A dual porosity model of high-pressure gas flow for geoenergy applications. Can. Geotech. J. 2017, 55, 839–851. [Google Scholar] [CrossRef]
- Peng, Y.; Liu, J.; Pan, Z.; Connell, L.D.; Chen, Z.; Qu, H. Impact of coal matrix strains on the evolution of permeability. Fuel 2017, 189, 270–283. [Google Scholar] [CrossRef]
- Sander, R.; Pan, Z.; Connell, L.D. Laboratory measurement of low permeability unconventional gas reservoir rocks: A review of experimental methods. J. Nat. Gas Sci. Eng. 2017, 37, 248–279. [Google Scholar] [CrossRef]
- Xue, Y.; Ranjith, P.G.; Gao, F.; Zhang, D.; Cheng, H.; Chong, Z.; Hou, P. Mechanical behaviour and permeability evolution of gas-containing coal from unloading confining pressure tests. J. Nat. Gas Sci. Eng. 2017, 40, 336–346. [Google Scholar] [CrossRef]
- Jiang, C.; Duan, M.; Yin, G.; Wang, J.G.; Lu, T.; Xu, J.; Zhang, D.; Huang, G. Experimental study on seepage properties, ae characteristics and energy dissipation of coal under tiered cyclic loading. Eng. Geol. 2017, 221, 114–123. [Google Scholar] [CrossRef]
- Yin, G.; Li, M.; Wang, J.; Xu, J.; Li, W. Mechanical behavior and permeability evolution of gas infiltrated coals during protective layer mining. Int. J. Rock Mech. Min. Sci. 2015, 80, 292–301. [Google Scholar] [CrossRef]
- Li, M.; Yin, G.; Xu, J.; Cao, J.; Song, Z. Permeability evolution of shale under anisotropic true triaxial stress conditions. Int. J. Coal Geol. 2016, 165, 142–148. [Google Scholar] [CrossRef]
- Liu, W.; Li, Y.; Wang, B. Gas permeability of fractured sandstone/coal samples under variable confining pressure. Transp. Porous Media 2010, 83, 333–347. [Google Scholar] [CrossRef]
- De Silva, G.P.D.; Ranjith, P.G.; Perera MS, A.; Chen, B. Effect of bedding planes, their orientation and clay depositions on effective re-injection of produced brine into clay rich deep sandstone formations: Implications for deep earth energy extraction. Appl. Energy 2016, 161, 24–40. [Google Scholar] [CrossRef]
- Zhai, J.; Wang, J.; Lu, G.; Qin, X.; Wang, W. Permeability characteristics of remolded tectonically deformed coal and its influence factors. J. Nat. Gas Sci. Eng. 2018, 53, 22–31. [Google Scholar] [CrossRef]
- Chen, H.D.; Cheng, Y.P.; Li, W. Damage and permeability development in coal during unloading. Rock Mech. Rock Eng. 2013, 46, 1377–1390. [Google Scholar] [CrossRef]
- Xie, H.; Zhao, X.; Liu, J.; Zhang, R.; Xue, D. Influence of different mining layouts on the mechanical properties of coal. Int. J. Min. Sci. Technol. 2012, 22, 749–755. [Google Scholar] [CrossRef]
- Zhang, Z.; Zhang, R.; Xie, H.; Gao, M.; Xie, J. Mining-induced coal permeability change under different mining layouts. Rock Mech. Rock Eng. 2016, 49, 3753–3768. [Google Scholar] [CrossRef]
- Liu, X.; Dai, F.; Zhang, R.; Liu, J. Static and dynamic uniaxial compression tests on coal rock considering the bedding directivity. Environ. Earth Sci. 2015, 73, 5933–5949. [Google Scholar] [CrossRef]
- Zhang, Z.; Zhang, R.; Xie, H.; Liu, J.; Were, P. Differences in the acoustic emission characteristics of rock salt compared with granite and marble during the damage evolution process. Environ. Earth Sci. 2015, 73, 6987–6999. [Google Scholar] [CrossRef]
- Perfect, E. Fractal models for the fragmentation of rocks and soils: A review. Eng. Geol. 1997, 48, 185–198. [Google Scholar] [CrossRef]
















| Sample No. | Length (mm) | Density (g/cm3) | Peak Deviatoric Stress (MPa) | Peak Stress Point | Mining Method | ||||
|---|---|---|---|---|---|---|---|---|---|
| σ3 (MPa) | ε1 (%) | ε3 (%) | εv (%) | Permeability (10−18m2) | |||||
| C-1 | 99.1 | 1.35 | 39.39 | 6.47 | 1.46 | −0.4 | 0.66 | 0.28 | NM |
| C-2 | 100.3 | 1.42 | 31.32 | 6.05 | 1.28 | −0.44 | 0.4 | 0.3 | TCM |
| C-3 | 100.8 | 1.42 | 24.81 | 5.73 | 1.17 | −0.26 | 0.65 | 0.19 | PCM |
| C-4 | 101.3 | 1.41 | 38.63 | 6.63 | 0.5 | −0.18 | 0.14 | 0.36 | NM |
| C-5 | 100.3 | 1.42 | 29.21 | 6.15 | 0.43 | −0.2 | 0.03 | 0.33 | TCM |
| C-6 | 100.4 | 1.36 | 22.34 | 5.93 | 0.44 | −0.2 | 0.04 | 0.21 | PCM |
| Sample | Peak Stress (MPa) | Confining Pressure (MPa) | Size (mm) | Mass (g) | Fractal Dimension D |
|---|---|---|---|---|---|
| C-1 | 45.86 | 6.47 | >15 | 215.4 | 2.178 |
| — | — | — | 10–15 | 9.2 | — |
| 5–10 | 9.1 | ||||
| 2–5 | 7.8 | ||||
| <2 | 19.5 | ||||
| C-2 | 37.37 | 6.05 | >15 | 233.2 | 2.341 |
| — | — | — | 10–15 | 10.7 | — |
| 5–10 | 9.1 | ||||
| 2–5 | 6.3 | ||||
| <2 | 8.2 | ||||
| C-3 | 30.54 | 5.73 | >15 | 244.2 | 2.409 |
| — | — | — | 10–15 | 7.2 | — |
| 5–10 | 6.7 | ||||
| 2–5 | 7.1 | ||||
| <2 | 4.9 | ||||
| C-4 | 45.26 | 6.63 | >15 | 177.7 | 2.172 |
| — | — | — | 10–15 | 33.1 | — |
| 5–10 | 23.6 | ||||
| 2–5 | 10.8 | ||||
| <2 | 13.1 | ||||
| C-5 | 35.36 | 6.15 | >15 | 229.6 | 2.296 |
| — | — | — | 10–15 | 9.5 | — |
| 5–10 | 15.5 | ||||
| 2–5 | 9.6 | ||||
| <2 | 8.4 | ||||
| C-6 | 28.27 | 5.93 | >15 | 239.5 | 2.371 |
| — | — | — | 10–15 | 16.9 | — |
| 5–10 | 8.9 | ||||
| 2–5 | 5.9 | ||||
| <2 | 6.7 |
© 2018 by the authors. Licensee MDPI, Basel, Switzerland. This article is an open access article distributed under the terms and conditions of the Creative Commons Attribution (CC BY) license (http://creativecommons.org/licenses/by/4.0/).
Share and Cite
Xue, Y.; Dang, F.; Cao, Z.; Du, F.; Ren, J.; Chang, X.; Gao, F. Deformation, Permeability and Acoustic Emission Characteristics of Coal Masses under Mining-Induced Stress Paths. Energies 2018, 11, 2233. https://doi.org/10.3390/en11092233
Xue Y, Dang F, Cao Z, Du F, Ren J, Chang X, Gao F. Deformation, Permeability and Acoustic Emission Characteristics of Coal Masses under Mining-Induced Stress Paths. Energies. 2018; 11(9):2233. https://doi.org/10.3390/en11092233
Chicago/Turabian StyleXue, Yi, Faning Dang, Zhengzheng Cao, Feng Du, Jie Ren, Xu Chang, and Feng Gao. 2018. "Deformation, Permeability and Acoustic Emission Characteristics of Coal Masses under Mining-Induced Stress Paths" Energies 11, no. 9: 2233. https://doi.org/10.3390/en11092233
APA StyleXue, Y., Dang, F., Cao, Z., Du, F., Ren, J., Chang, X., & Gao, F. (2018). Deformation, Permeability and Acoustic Emission Characteristics of Coal Masses under Mining-Induced Stress Paths. Energies, 11(9), 2233. https://doi.org/10.3390/en11092233
