Study on Reduced Cost of Non-Salient Machine System Using MTPA Angle Pre-Compensation Method Based on EEMF Sensorless Control
Abstract
:1. Introduction
2. Conventional Control Equations
2.1. Voltage Equation
2.2. MTPA Control
3. EEMF Sensorless Algorithm
4. Proposed MTPA Angle Compensation Method
5. Simulation
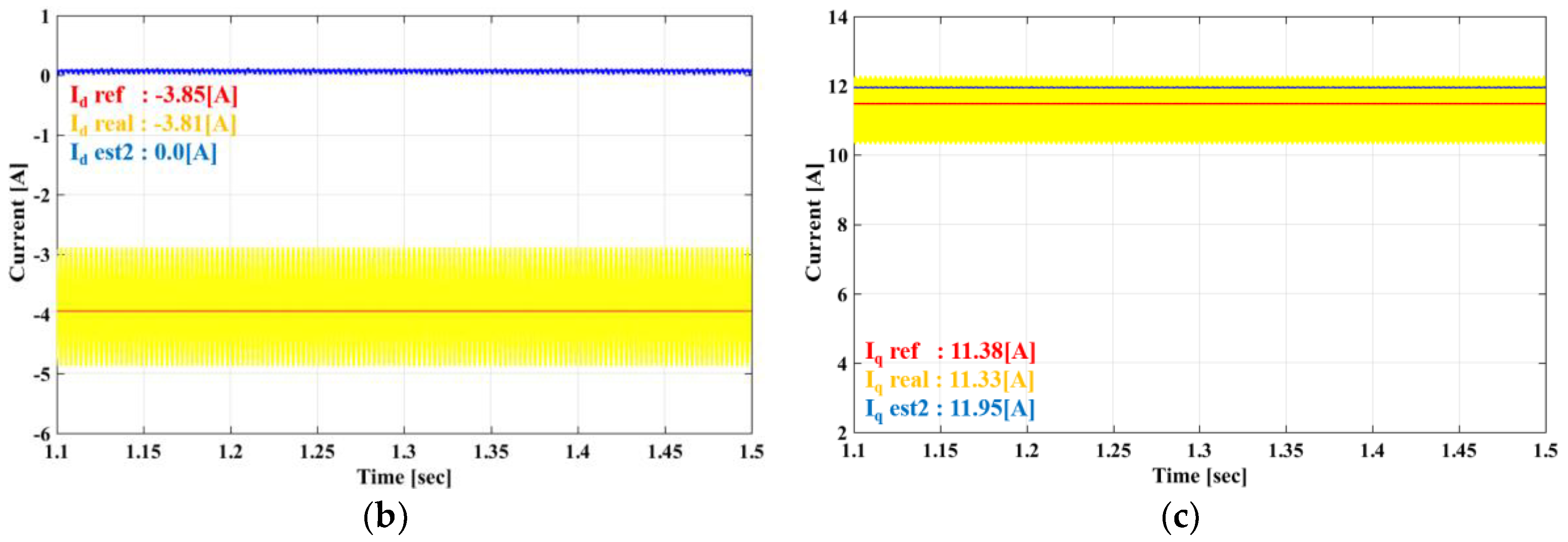
6. Experimental Results
7. Conclusions
Author Contributions
Acknowledgments
Conflicts of Interest
Nomenclature
| Symbol | Signification | Symbol | Signification |
| 3-phase stationary frame voltage | flux linkage | ||
| 3-phase stationary frame current | 2-phase rotating coordinate flux | ||
| 2-phase rotating frame current | electromagnetic torque | ||
| stator resistance | extended EMF | ||
| stator inductance | rotor position | ||
| 2-phase stationary frame inductances | estimated rotor angle | ||
| 2-phase rotating frame inductances | position error | ||
| equivalent leakage inductance | constant of flux linkage | ||
| average value of the equivalent effective inductance | coordinate transformation from 3-phase to 2-phase | ||
| amplitude of the effective inductance | coordinate transformation from 2-phase to 3-phase | ||
| electrical angular velocity | estimated electrical angular velocity |
References
- Ha, K.; Lee, C.; Kim, J.; Krishnan, R.; Oh, S.G. Design and Development of Low-Cost and High-Efficiency Variable-Speed Drive System With Switched Reluctance Motor. IEEE Trans. Ind. Appl. 2007, 43, 703–713. [Google Scholar] [CrossRef]
- Krishnan, R. Permanent Magnet Synchronous and Brushless DC Motor Drives; CRC Press: Boca Raton, FL, USA, 2010. [Google Scholar]
- Inoue, T.; Inoue, Y.; Morimoto, S.; Sanada, M. Maximum Torque Per Ampere Control of a Direct Torque-Controlled PMSM in a Stator Flux Linkage Synchronous Frame. IEEE Trans. Ind. Appl. 2016, 52, 2360–2367. [Google Scholar] [CrossRef]
- Sun, T.; Wang, J.; Chen, X. Maximum Torque Per Ampere (MTPA) Control for Interior Permanent Magnet Synchronous Machine Drives Based on Virtual Signal Injection. IEEE Trans. Power Electr. 2015, 30, 5036–5045. [Google Scholar] [CrossRef]
- Wallmark, O.; Lundberg, S.; Bongiorno, M. Input Admittance Expressions for Field-Oriented Controlled Salient PMSM Drives. IEEE Trans. Power Electr. 2012, 27, 1514–1520. [Google Scholar] [CrossRef]
- Pairo, H.; Shoulaie, A. Effective and Simplified Method in Maximum Efficiency Control of Interior Permanent Magnet Synchronous Motors. IET Electr. Power Appl. 2017, 11, 447–459. [Google Scholar] [CrossRef]
- Schoonhoven, G.; Uddin, M.N. MTPA- and FW-Based Robust Nonlinear Speed Control of IPMSM Drive Using Lyapunov Stability Criterion. IEEE Trans. Ind. Appl. 2016, 52, 4365–4374. [Google Scholar] [CrossRef]
- Liu, Q.; Hameyer, K. High-Performance Adaptive Torque Control for an IPMSM With Real-Time MTPA Operation. IEEE Trans. Energy Conv. 2017, 32, 571–581. [Google Scholar] [CrossRef]
- Morimoto, S.; Kawamoto, K.; Sanada, M.; Takeda, Y. Sensorless Control Strategy for Salient-Pole PMSM Based on Extended Emf in Rotating Reference Frame. IEEE Trans. Ind. Appl. 2002, 38, 1054–1061. [Google Scholar] [CrossRef]
- Genduso, F.; Miceli, R.; Rando, C.; Galluzzo, G.R. Back EMF Sensorless-Control Algorithm for High-Dynamic Performance PMSM. IEEE Trans. Ind. Electr. 2010, 57, 2092–2100. [Google Scholar] [CrossRef]
- Ichikawa, S.; Tomita, M.; Doki, S.; Okuma, S. Sensorless Control of Permanent-Magnet Synchronous Motors Using Online Parameter Identification Based on System Identification Theory. IEEE Trans. Ind. Electr. 2006, 53, 363–372. [Google Scholar] [CrossRef]
- Mizutani, R.; Takeshita, T.; Matsui, N. Current Model-Based Sensorless Drives of Salient-Pole PMSM at Low Speed and Standstill. IEEE Trans. Ind. Appl. 1998, 34, 841–846. [Google Scholar] [CrossRef]
- Wang, G.; Yang, R.; Xu, D. DSP-Based Control of Sensorless IPMSM Drives for Wide-Speed-Range Operation. IEEE Trans. Ind. Electr. 2013, 60, 720–727. [Google Scholar] [CrossRef]
- Kim, H.; Harke, M.C.; Lorenz, R.D. Sensorless Control of Interior Permanent-Magnet Machine Drives with Zero-Phase Lag Position Estimation. IEEE Trans. Ind. Appl. 2003, 39, 1726–1733. [Google Scholar]
- Chan, T.F.; Wang, W.; Borsje, P.; Wong, Y.K.; Ho, S.L. Sensorless Permanent-Magnet Synchronous Motor Drive Using a Reduced-Order Rotor Flux Observer. IET Electr. Power Appl. 2008, 2, 88–98. [Google Scholar] [CrossRef]
- Awan, H.A.A.; Tuovinen, T.; Saarakkala, S.E.; Hinkkanen, M. Discrete-Time Observer Design for Sensorless Synchronous Motor Drives. IEEE Trans. Ind. Appl. 2016, 52, 3968–3979. [Google Scholar] [CrossRef]
- Davari, S.A.; Khaburi, D.A.; Wang, F.; Kennel, R.M. Using Full Order and Reduced Order Observers for Robust Sensorless Predictive Torque Control of Induction Motors. IEEE Trans. Power Electr. 2012, 27, 3424–3433. [Google Scholar] [CrossRef]
- Bear, H.S. Understanding Calculus; 2nd Edition; Wiley-IEEE Press: Hoboken, NJ, USA, 2003. [Google Scholar]














| Parameters | Values |
|---|---|
| Power (kW) | 4 |
| Poles | 10 |
| Rated speed (rpm) | 3500 |
| Rated current (A) | 11.3 |
| Rated torque (Nm) | 11 |
| Ld (mH) | 7.095 |
| Lq (mH) | 11.027 |
| Rs (Ω) | 0.33 |
| Φ (V·s) | 53.1 |
© 2018 by the authors. Licensee MDPI, Basel, Switzerland. This article is an open access article distributed under the terms and conditions of the Creative Commons Attribution (CC BY) license (http://creativecommons.org/licenses/by/4.0/).
Share and Cite
Joo, K.J.; Park, J.S.; Lee, J. Study on Reduced Cost of Non-Salient Machine System Using MTPA Angle Pre-Compensation Method Based on EEMF Sensorless Control. Energies 2018, 11, 1425. https://doi.org/10.3390/en11061425
Joo KJ, Park JS, Lee J. Study on Reduced Cost of Non-Salient Machine System Using MTPA Angle Pre-Compensation Method Based on EEMF Sensorless Control. Energies. 2018; 11(6):1425. https://doi.org/10.3390/en11061425
Chicago/Turabian StyleJoo, Kyoung Jin, Joon Sung Park, and Ju Lee. 2018. "Study on Reduced Cost of Non-Salient Machine System Using MTPA Angle Pre-Compensation Method Based on EEMF Sensorless Control" Energies 11, no. 6: 1425. https://doi.org/10.3390/en11061425
APA StyleJoo, K. J., Park, J. S., & Lee, J. (2018). Study on Reduced Cost of Non-Salient Machine System Using MTPA Angle Pre-Compensation Method Based on EEMF Sensorless Control. Energies, 11(6), 1425. https://doi.org/10.3390/en11061425

