A Communication-Free Decentralized Control for Grid-Connected Cascaded PV Inverters
Abstract
:1. Introduction
2. System Configuration and Power Transfer Characteristics
2.1. System Configuration
- Interfacing inverters in the grid-connected cascaded PV inverter system are distributed but not centralized. Thus, the capacity limitation of the system caused by the centralized interfacing inverter is avoided. So, the scalability of this system configuration for MV/HV and the high-capacity PV grid-connection are enhanced;
- Each cascaded PV inverter has an independent output LC filter. The output voltage of each inverter is at grid frequency, indicating that distributed control and decentralized control are much easier to be realized. If so, system reliability can be improved significantly since centralized communication is avoided compared with multilevel cascaded H-bridge architecture;
- The output AC voltages of all the cascaded inverters are stacked up to match the grid voltage directly. This makes it much easier for LV PV generators to be integrated into the MV/HV grid since a high step-up transformer is avoided.
- On one hand, the step-up transformer is avoided compared with standard parallel inverter architecture. On the other hand, the studied cascaded PV inverter system enables a higher switching frequency and output LC filter components are thus shrunk [29,30]. So, losses are reduced, and higher efficiency is obtained [32].
- The low-gain two-stage power conditioning stage in each PV inverter unit can provide a constant DC-link voltage for each PV inverter;
- Each cascaded PV converter unit can be modularized for mass production.
2.2. Power Transfer Characteristics
3. Proposed Communication-Free Decentralized Control
3.1. Proposed Communication-Free Decentralized Control
3.2. Control Mechanism Analysis
- No communication facilities are involved. All the controllers are fully decentralized. The output frequencies of all cascaded PV inverters self-synchronize with the grid frequency independently, with no need for PLL;
- MPPT operation of all the PV converter units is achieved simultaneously with only local output voltage control;
- A constant front-end DC-link voltage of each inverter is ensured.
4. Small-Signal Analysis
4.1. Small-Signal Modeling
4.2. Eigenvalue Analysis
4.2.1. Frequency Control Coefficient (mi)
4.2.2. DC-Link Voltage Controller Parameters (KPi and KIi)
4.2.3. DC-Side Capacitor (Ci)
5. Simulation Results
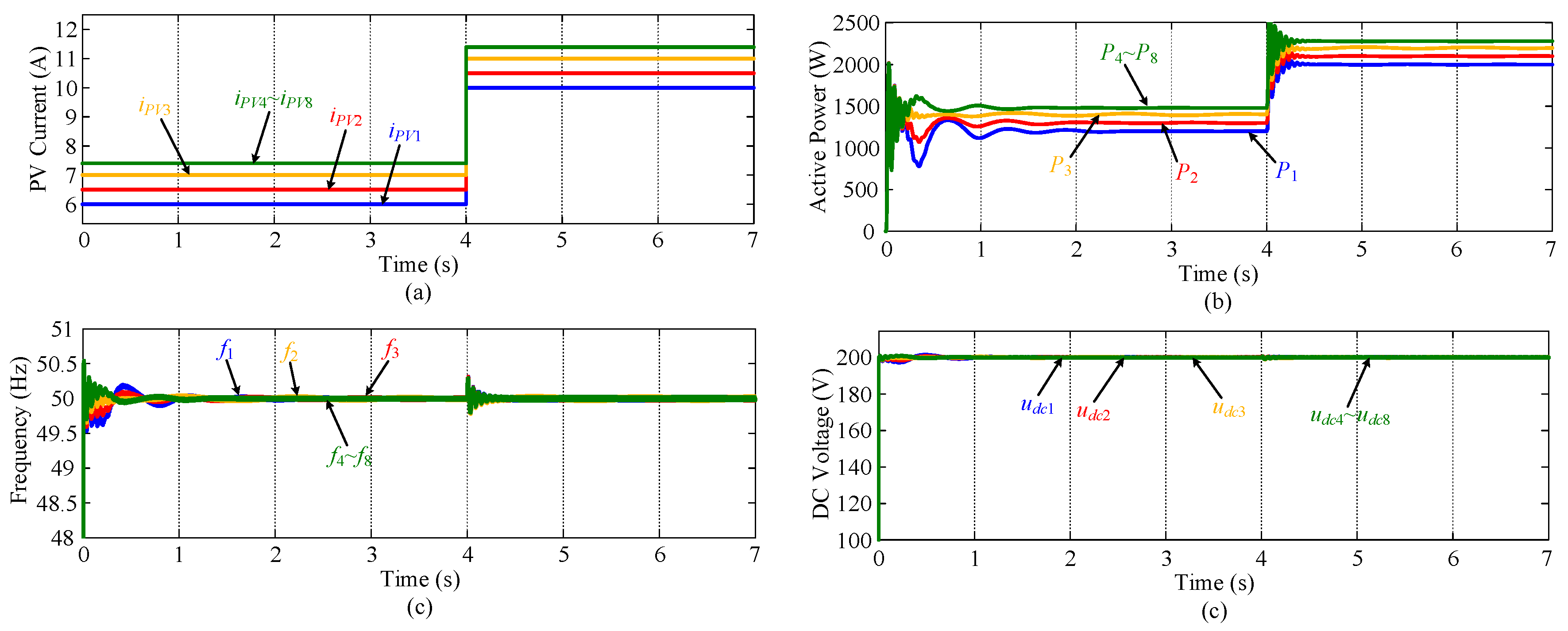
5.1. Utility Grid-Connected Application
5.2. Scalability for MV/HV Grid-Connected Application
6. Conclusions
Author Contributions
Acknowledgments
Conflicts of Interest
References
- Sun, Y.; Shi, G.; Li, X.; Yuan, W.; Su, M.; Han, H.; Hou, X. An f-P/Q Droop Control in Cascaded-Type Microgrid. IEEE Trans. Power Syst. 2018, 33, 1136–1138. [Google Scholar] [CrossRef]
- Han, H.; Li, L.; Wang, L.; Su, M.; Zhao, Y.; Guerrero, J.M. A Novel Decentralized Economic Operation in Islanded AC Microgrids. Energies 2017, 10, 804. [Google Scholar] [CrossRef]
- Hou, X.; Sun, Y.; Han, H.; Liu, Z.; Yuan, W.; Su, M. A fully decentralized control of grid-connected cascaded inverters. IEEE Trans. Power Del. 2018. [Google Scholar] [CrossRef]
- Meneses, D.; Blaabjerg, F.; García, Ó.; Cobos, J.A. Review and Comparison of Step-Up Transformerless Topologies for Photovoltaic AC-Module Application. IEEE Trans. Power Electron. 2013, 28, 2649–2663. [Google Scholar] [CrossRef]
- Liu, Z.; Su, M.; Sun, Y.; Han, H.; Hou, X.; Guerrero, J.M. Stability analysis of DC microgrids with constant power load under distributed control methods. Automatica 2018, 90, 62–72. [Google Scholar] [CrossRef]
- Kouro, S.; Leon, J.I.; Vinnikov, D.; Franquelo, L.G. Grid-Connected Photovoltaic Systems: An Overview of Recent Research and Emerging PV Converter Technology. IEEE Ind. Electron. Mag. 2015, 9, 47–61. [Google Scholar] [CrossRef]
- Li, Q.; Wolfs, P. A Review of the Single Phase Photovoltaic Module Integrated Converter Topologies with Three Different DC Link Configurations. IEEE Trans. Power Electron. 2008, 23, 1320–1333. [Google Scholar]
- Calais, M.; Myrzik, J.; Spooner, T.; Agelidis, V.G. Inverters for single-phase grid connected photovoltaic systems-an overview. In Proceedings of the 2002 IEEE 33rd Annual IEEE Power Electronics Specialists Conference, Cairns, Australia, 23–27 June 2002; pp. 1995–2000. [Google Scholar]
- Kjaer, S.B.; Pedersen, J.K.; Blaabjerg, F. A review of single-phase grid-connected inverters for photovoltaic modules. IEEE Trans. Ind. Appl. 2005, 41, 1292–1306. [Google Scholar] [CrossRef]
- Walker, G.R.; Sernia, P.C. Cascaded DC-DC converter connection of photovoltaic modules. IEEE Trans. Power Electron. 2004, 19, 1130–1139. [Google Scholar] [CrossRef]
- Bratcu, A.I.; Munteanu, I.; Bacha, S.; Picault, D.; Raison, B. Cascaded DC–DC Converter Photovoltaic Systems: Power Optimization Issues. IEEE Trans. Ind. Electron. 2011, 58, 403–411. [Google Scholar] [CrossRef]
- Linares, L.; Erickson, R.W.; MacAlpine, S.; Brandemuehl, M. Improved Energy Capture in Series String Photovoltaics via Smart Distributed Power Electronics. In Proceedings of the 2009 Twenty-Fourth Annual IEEE Applied Power Electronics Conference and Exposition, Washington, DC, USA, 15–19 February 2009; pp. 904–910. [Google Scholar]
- Alonso, R.; Roman, E.; Sanz, A.; Santos, V.E.M.; Ibanez, P. Analysis of Inverter-Voltage Influence on Distributed MPPT Architecture Performance. IEEE Trans. Ind. Electron. 2012, 59, 3900–3907. [Google Scholar] [CrossRef]
- Vitelli, M. On the necessity of joint adoption of both distributed maximum power point tracking and central maximum power point tracking in PV systems. Prog. Photovolt. Res. 2014, 22, 283–299. [Google Scholar] [CrossRef]
- Shenoy, P.S.; Kim, K.A.; Johnson, B.B.; Krein, P.T. Differential Power Processing for Increased Energy Production and Reliability of Photovoltaic Systems. IEEE Trans. Power Electron. 2013, 28, 2968–2979. [Google Scholar] [CrossRef]
- Kim, K.A.; Shenoy, P.S.; Krein, P.T. Converter Rating Analysis for Photovoltaic Differential Power Processing Systems. IEEE Trans. Power Electron. 2015, 30, 1987–1997. [Google Scholar] [CrossRef]
- Wills, R.H.; Krauthamer, S.; Bulawka, A.; Posbic, J.P. The AC photovoltaic module concept. In Proceedings of the Thirty-Second Intersociety Energy Conversion Engineering Conference (IECEC-97), Honolulu, HI, USA, 27 July–1 August 1997; Volume 3, pp. 1562–1563. [Google Scholar]
- Sun, Y.; Hou, X.; Yang, J.; Han, H.; Su, M.; Guerrero, J.M. New perspectives on droop control in AC microgrid. IEEE Trans. Ind. Electron. 2017, 64, 5741–5745. [Google Scholar] [CrossRef]
- Nanakos, A.C.; Tatakis, E.C.; Papanikolaou, N.P. A Weighted-Efficiency-Oriented Design Methodology of Flyback Inverter for AC Photovoltaic Modules. IEEE Trans. Power Electron. 2012, 27, 3221–3233. [Google Scholar] [CrossRef]
- Villanueva, E.; Correa, P.; Rodriguez, J.; Pacas, M. Control of a Single-Phase Cascaded H-Bridge Multilevel Inverter for Grid-Connected Photovoltaic Systems. IEEE Trans. Ind. Electron. 2009, 56, 4399–4406. [Google Scholar] [CrossRef]
- Malinowski, M.; Gopakumar, K.; Rodriguez, J.; Perez, M.A. A Survey on Cascaded Multilevel Inverters. IEEE Trans. Ind. Electron. 2010, 57, 2197–2206. [Google Scholar] [CrossRef]
- Liu, L.; Li, H.; Xue, Y.; Liu, W. Decoupled Active and Reactive Power Control for Large-Scale Grid-Connected Photovoltaic Systems Using Cascaded Modular Multilevel Converters. IEEE Trans. Power Electron. 2015, 30, 176–187. [Google Scholar]
- Liu, L.; Li, H.; Xue, Y.; Liu, W. Reactive Power Compensation and Optimization Strategy for Grid-Interactive Cascaded Photovoltaic Systems. IEEE Trans. Power Electron. 2015, 30, 188–202. [Google Scholar] [CrossRef]
- Xiao, M.; Xu, Q.; Ouyang, H. An Improved Modulation Strategy Combining Phase Shifted PWM and Phase Disposition PWM for Cascaded H-Bridge Inverters. Energies 2017, 10, 1327. [Google Scholar] [CrossRef]
- Tafti, H.D.; Maswood, A.I.; Konstantinou, G.; Townsend, C.D.; Acuna, P.; Pou, J. Flexible Control of Photovoltaic Grid-Connected Cascaded H-Bridge Converters During Unbalanced Voltage Sags. IEEE Trans. Ind. Electron. 2018, 65, 6229–6238. [Google Scholar] [CrossRef]
- Nuotio, M.; Ilic, M.; Liu, Y.; Bonanno, J.; Verlinden, P.J. Innovative AC photovoltaic module system using series connection and universal low-voltage micro inverters. In Proceedings of the 2014 IEEE 40th Photovoltaic Specialist Conference (PVSC), Denver, CO, USA, 8–13 June 2014; pp. 1367–1369. [Google Scholar]
- Lu, F.; Choi, B.; Maksimovic, D. Autonomous control of series-connected low voltage photovoltaic microinverters. In Proceedings of the 2015 IEEE 16th Workshop on Control and Modeling for Power Electronics (COMPEL), Vancouver, BC, Canada, 12–15 July 2015; pp. 1–6. [Google Scholar]
- Zhang, L.; Sun, K.; Li, Y.W.; Lu, X.; Zhao, J. A Distributed Power Control of Series-connected Module Integrated Inverters for PV Grid-tied Applications. IEEE Trans. Power Electron. 2017. [Google Scholar] [CrossRef]
- Jafarian, H.; Cox, R.; Enslin, J.H.; Bhowmik, S.; Parkhideh, B. Decentralized Active and Reactive Power Control for an AC-Stacked PV Inverter with Single Member Phase Compensation. IEEE Trans. Ind. Appl. 2018, 54, 345–355. [Google Scholar] [CrossRef]
- Jafarian, H.; Bhowmik, S.; Parkhideh, B. Hybrid Current-/Voltage-Mode Control Scheme for Distributed AC-Stacked PV Inverter with Low-Bandwidth Communication Requirements. IEEE Trans. Ind. Electron. 2018, 65, 321–330. [Google Scholar] [CrossRef]
- He, J.; Li, Y.; Wang, C.; Pan, Y.; Zhang, C.; Xing, X. Hybrid Microgrid With Parallel- and Series-Connected Microconverters. IEEE Trans. Power Electron. 2018, 33, 4817–4831. [Google Scholar] [CrossRef]
- Bhowmik, S. Systems and Methods for Solar Photovoltaic Energy Collection and Conversion. U.S. Patent 9531293 B2, 27 December 2016. [Google Scholar]















| Item | Symbol | Value |
|---|---|---|
| Grid voltage | Vg/fg | 311 V/50 Hz |
| Voltage amplitude reference | V1 = V2 = V3 | 311/3 V |
| Droop coefficients | m1 = m2 = m3 | 5 × 10−3 |
| Proportional coefficients | KP1 = KP2 = KP3 | 0.5 |
| Integral coefficients | KI1 = KI2 = KI3 | 0.05 |
| Capacitor in DC-side | C1 = C2 = C3 | 8000 μF |
| DC voltage reference | = = | 200 V |
| Line impedance | Zline | 0.1 + j0.94 Ω |
| Rated angular frequency | ω* | 100π rad/s |
© 2018 by the authors. Licensee MDPI, Basel, Switzerland. This article is an open access article distributed under the terms and conditions of the Creative Commons Attribution (CC BY) license (http://creativecommons.org/licenses/by/4.0/).
Share and Cite
Su, M.; Luo, C.; Hou, X.; Yuan, W.; Liu, Z.; Han, H.; Guerrero, J.M. A Communication-Free Decentralized Control for Grid-Connected Cascaded PV Inverters. Energies 2018, 11, 1375. https://doi.org/10.3390/en11061375
Su M, Luo C, Hou X, Yuan W, Liu Z, Han H, Guerrero JM. A Communication-Free Decentralized Control for Grid-Connected Cascaded PV Inverters. Energies. 2018; 11(6):1375. https://doi.org/10.3390/en11061375
Chicago/Turabian StyleSu, Mei, Chao Luo, Xiaochao Hou, Wenbin Yuan, Zhangjie Liu, Hua Han, and Josep M. Guerrero. 2018. "A Communication-Free Decentralized Control for Grid-Connected Cascaded PV Inverters" Energies 11, no. 6: 1375. https://doi.org/10.3390/en11061375
APA StyleSu, M., Luo, C., Hou, X., Yuan, W., Liu, Z., Han, H., & Guerrero, J. M. (2018). A Communication-Free Decentralized Control for Grid-Connected Cascaded PV Inverters. Energies, 11(6), 1375. https://doi.org/10.3390/en11061375

