Next Article in Journal
Technology Evolution in Membrane-Based CCS
Next Article in Special Issue
Oscillation Suppression Method by Two Notch Filters for Parallel Inverters under Weak Grid Conditions
Previous Article in Journal
Computational Fluid Dynamics Modelling and Simulation of an Inclined Horizontal Axis Hydrokinetic Turbine
Previous Article in Special Issue
Coordinated Control of Multiple Virtual Synchronous Generators in Mitigating Power Oscillation
 
 
Font Type:
Arial Georgia Verdana
Font Size:
Aa Aa Aa
Line Spacing:
Column Width:
Background:
Article

A Grid-Supporting Photovoltaic System Implemented by a VSG with Energy Storage

School of Electrical Engineering and Automation, Hefei University of Technology, Hefei 23009, China
*
Author to whom correspondence should be addressed.
Energies 2018, 11(11), 3152; https://doi.org/10.3390/en11113152
Submission received: 24 October 2018 / Revised: 6 November 2018 / Accepted: 8 November 2018 / Published: 14 November 2018
(This article belongs to the Special Issue Power Electronics in Renewable Energy Systems)

Abstract

:
Conventional photovoltaic (PV) systems interfaced by grid-connected inverters fail to support the grid and participate in frequency regulation. Furthermore, reduced system inertia as a result of the integration of conventional PV systems may lead to an increased frequency deviation of the grid for contingencies. In this paper, a grid-supporting PV system, which can provide inertia and participate in frequency regulation through virtual synchronous generator (VSG) technology and an energy storage unit, is proposed. The function of supporting the grid is implemented in a practical PV system through using the presented control scheme and topology. Compared with the conventional PV system, the grid-supporting PV system, behaving as an inertial voltage source like synchronous generators, has the capability of participating in frequency regulation and providing inertia. Moreover, the proposed PV system can mitigate autonomously the power imbalance between generation and consumption, filter the PV power, and operate without the phase-locked loop after initial synchronization. Performance analysis is conducted and the stability constraint is theoretically formulated. The novel PV system is validated on a modified CIGRE benchmark under different cases, being compared with the conventional PV system. The verifications demonstrate the grid support functions of the proposed PV system.

1. Introduction

This paper proposes a grid-supporting photovoltaic system, including implementation and performance analysis. In this section, the background, literature review, formulation of the problem of interest for this investigation, scope and contribution of this study, and organization of the paper are presented.

1.1. Background and Significance

Synchronous generators (SGs), which take responsibility for frequency regulation in electric power systems (EPS), operate as inertial voltage sources, providing the inertia to slow down frequency dynamics and moderate the power imbalance between generation and consumption in an autonomous fashion. Driven by issues such as potential exhaustion of conventional fossil fuel based energies (e.g., coal, oil, and natural gas) and increasing environmental concerns, the quantity of renewable energy sources (RES) integrated into EPS is escalating [1,2]. In consequence, SGs are gradually being replaced by inverters with high penetration of RES.
Among RES, solar energy via photovoltaic (PV) systems is one of the most promising, and has largely penetrated the global energy market [3,4]. A decrease of investment costs, technological development, and governmental support has led to the significant increase in PV systems that has been seen in recent years, and there is still significant need for growth [1,5].
However, grid-connected inverters are controlled as current sources with phase-locked loops (PLL) in conventional PV systems [6], which turns conventional PV systems into power injectors and grid-following units [7,8]. As power injectors, conventional PV systems inject the power extracted from the PV array to EPS without the capability to mitigate the power imbalance between generation and consumption. Meanwhile, conventional PV systems, as grid-following units, provide little of the inertia that plays an essential role in short-term system stability [9], thus the increasing penetration of PV generators reduces the inertia of EPS, which exacerbates the system’s stability [9,10,11]. Therefore, implementing the function of a supporting grid in PV systems, which offers inertia and participates in frequency regulation, is significantly beneficial to the stability enhancement of EPS.

1.2. Formulation of the Problem of Interest for This Study

Existing research mainly concentrates on the realization of a virtual synchronous generator (VSG) and the improvement of the performance of inverters that are assumed to be supplied by stiff DC voltage sources. However, rare attention has been paid to the realization of a VSG in practical PV systems. It is a challenge to introduce inertia, the indispensable property for VSGs, into an inverter only powered by a PV system. To enable the inverter to emulate the inertia of SGs, an energy buffer, whose function is identical to a rotor for kinetic energy, needs to be installed at the dc link of the inverter.
The main objective of this paper is therefore to equip PV systems with the function of supporting the grid through emulating SG characteristics, then analyze the performance, formulate the stability constraint, and corroborate the implemented function with numerical experiments.

1.3. Literature Review

Virtual synchronous generator (VSG) technology, which controls inverters to mimic the characteristics of SGs to provide inertia and participate in the frequency regulation of EPS, emerged in response to issues addressed in Section 1.2 [12,13,14,15]. The core of VSG technology is to present the various energy sources interfaced to the grid through power electronic converters as SGs [16]. Researches on VSGs in References [12,13,14,15] are devoted to realizing the basic function of emulating inertia using converters. Recently, VSG research focus towards developing novel control strategies, and improving the performance of these strategies from the point-of-view of enhanced dynamics, stability, and so on. Compared with the method investigated in Reference [14], the filter inductance of the synchronverter studied in Reference [17] is virtually increased to improve the stability. In the early Ise lab’s topology presented in Reference [15], active power oscillation becomes one of the major concerns during the emulation of inertia [18]. In Reference [18], an alternating moment of inertia is proposed to suppress such oscillation. Furthermore, the self-adaptive inertia and damping approach is presented to improve the dynamics in Reference [19]. To smooth transitions and reduce frequency excursions, a particle swarm optimization technique was developed in Reference [20], a self-tuning VSG was investigated in Reference [21] and an auxiliary loop is proposed to adjust the dynamic response speed through correct the damping in Reference [22].
In References [14,23], inverters that mimic SGs were studied with an assumption that inverters are supplied by stiff DC voltage sources, but inverters only energized by PV systems cannot satisfy this assumption. In Reference [24], a VSG was realized by a battery/ultracapacitor hybrid ES system, but the inverters based on RES were not competent in emulating the characteristics of SGs. In References [15,25], it is pointed out that energy storage (ES) should be installed to emulate the kinetic energy stored in the rotating rotors of SGs, but the detailed system topology is not considered, nor is the control strategy coordinating ES and the renewable energy generator. In References [26,27], ES is applied to a PV system to smooth power fluctuation, and this system possesses no characteristics of SGs. In Reference [28], a battery is used as the backup for a PV inverter that employs only PQ control or droop control, causing the inverter to operate unlike SGs.

1.4. Scope and Contribution of This Study

Motivated by the above observations, this paper presents a novel grid-supporting PV system, achieving emulation of SG characteristics. Consequently, the grid-supporting PV system, behaving as SGs, contributes to supporting the grid by autonomously mitigating the power imbalance between generation and consumption, and slowing down frequency dynamics with virtual inertia. Accordingly, the proposed grid-supporting PV system is superior to the conventional PV system, while the conventional PV system cannot moderate the deficits and surplus of power in the grid, and is unable to provide inertia.

1.5. Organization of the Paper

The content of this paper is organized as follows: Section 2 introduces the topology and control scheme. In Section 3, performance analysis is conducted, and the stability constraint is obtained through the established small-signal model. Results of case studies conducted on a modified CIGRE LV network benchmark are presented and discussed in Section 4. Section 5 draws the conclusions of this paper and discusses future research directions.

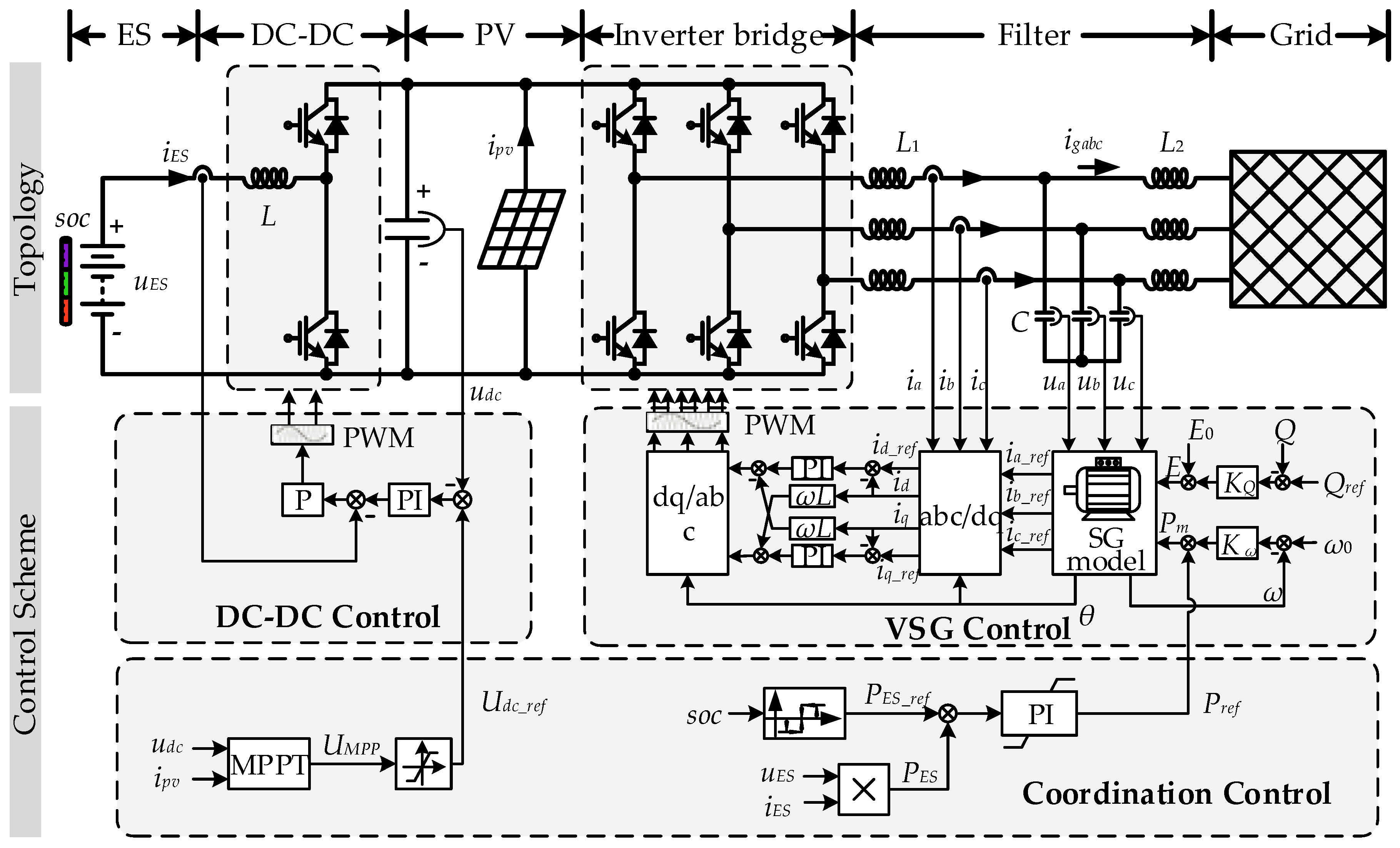
2. Topology and Control Scheme

Figure 1 shows the topology and control scheme of the grid-supporting PV system. In order to mimic the kinetic energy stored in the rotating rotors of SGs, an energy storage (ES) unit equipped with a bidirectional DC-DC converter was installed in the conventional PV system. Accordingly, the hardware consists of an ES unit, a bidirectional DC-DC converter, an inverter, and a PV array. The PV array was tied directly to the dc link, sharing the same dc bus with the DC-DC converter and the inverter. A buck/boost converter is adopted in this paper.
As Figure 1 depicts, the overall control scheme of the grid-supporting PV system comprises three strategies: DC-DC control, VSG control, and coordination control. The coordination control is designed to attune the system with two tasks: (1) One is to ascertain the value of the dc link voltage reference Udc_ref, utilizing a maximum power point tracking (MPPT) algorithm to draw maximum power from the PV array. Udc_ref is provided for DC-DC control, which performs the regulation of dc link voltage udc. (2) Another is to constrain the state of charge (SOC) of the ES unit through regulating the inverter active power reference Pref, which capacitates the buck/boost to control udc for the inverter emulating SGs. Pref is delivered to the VSG control that drives the inverter to emulate the characteristics of SGs.
The conventional PV system is only energized by PV input, and its interface inverter is controlled by a voltage-oriented control method, with an outer dc link voltage control loop and an inner current control loop [29]. As shown in Figure 1, the proposed grid-supporting PV system however, is energized by a PV array and ES unit, and the interface inverter is driven by the VSG control. Benefiting from the topology and control scheme, which are different from those of the conventional PV system, the grid-supporting PV system is able to provide inertia and participate in frequency regulation as SGs.

2.1. Coordination Control

To behave as an energy buffer like a rotating rotor, the ES unit must have not only energy to release, but also capacity to store absorbed energy. Therefore, the SOC of the ES unit must be kept within a proper range. Meanwhile, it is necessary to constrain the SOC to control the dc link voltage udc, so that the ES unit can release energy when udc falls, and store the absorbed energy when udc rises.
To constrain the SOC, the exchanged power PES (positive for discharge and negative for charge) between the ES unit and the dc link must be regulated. However, PES cannot be directly controlled by the buck/boost converter, which is resulted from that the DC-DC control performs the regulation of udc.
According to the law of conservation of energy, the following equation is obtained when the energy change of the capacitor at the dc link is ignored:
P E S + P p v = P e
where Ppv is the power generated by the PV array, and Pe is the output active power of the inverter in the system.
Since the PV array operates at the maximum power point, Ppv in Equation (1) fails to adjust. Thus, regulating Pe is the only way to control PES. Due to the emulated SG characteristics of the inverter, Pe can be controlled with coordination control through regulating the inverter active power reference Pref. To track the exchanged power reference PES_ref, a proportional-integral (PI) regulator, whose input is the error between PES_ref and PES, is used for generating Pref. Then, Pref can be expressed as
P r e f = G P I ( s ) ( P E S _ r e f P E S )
where GPI(s) = Kp + Ki/s is the transfer function of the PI regulator, Kp and Ki are the proportional coefficient and integral coefficient of the PI regulator, respectively, and s is the Laplace operator.
The relationship of exchanged power reference PES_ref with respect to the SOC is designed as shown in Figure 2, where SOCM is the mean of lower limit SOCL and higher limit SOCH, and P0 is the absolute value of the charge power and the discharge power. The ES unit starts charging once the SOC is less than SOCL, and discharging when the SOC is more than SOCH. Both charging and discharging are terminated when the SOC reaches SOCM. Applying the curve shown in Figure 2 to specify PES_ref, frequent operations of charge/discharge near SOCL/SOCH can be avoided by the coordination control. As the charge power and the discharge power of the ES unit depend on P0, the rated power of the inverter and the charge-discharge rate (C-rate) of the ES unit need to be taken into account when determining P0. First, the charge power and the discharge power of the ES unit should not be more than the rated power of the inverter to protect the inverter from over-current. Second, P0 should ensure the charge current and the discharge current do not exceed the maximum C-rate so that the cycling life and the capacity of the ES unit are not significantly affected.
The dc link voltage reference Udc_ref is generally equal to UMPP, which is calculated by a maximum power point tracking (MPPT) algorithm, to ensure that the PV array operates at the point where it can output maximum power. Incremental Conductance [30,31], a classical MPPT algorithm, is employed in this paper.

2.2. VSG Control

The VSG control aims to equip the inverter with the characteristics of a SG so that the inverter is capable of behaving like the SG. To realize the inverter emulating the characteristics of the SG, there are three sub-processes to implement during one carrier cycle, as illustrated in Figure 1. The voltages of the filter capacitors, ua, ub and uc, are measured in real time, and virtualize the phase terminal voltages of the stator windings and serve as the input variables of a SG model. Through solving the model, the stator currents of the SG, ia_ref, ib_ref, and ic_ref, are obtained as the reference currents for the inverter. To complete the emulation of the SG characteristics, the inverter output currents should be driven to track the reference currents. Thus, proportional-integral (PI) regulators in the rotating frame are employed to control the inverter.
The SG model adopted in this work comprises third-order electrical equations and second-order mechanical equations. The electrical equation set, which reproduces the stator circuit of the SG, is given by
L s d i a b c _ r e f d t = e a b c u a b c R s i a b c _ r e f
where uabc = [ua, ub, uc]T denotes the phase terminal voltages of the stator windings; Rs and Ls are respectively the stator resistance and the stator inductance; iabc_ref = [ia_ref, ib_ref, ic_ref]T represents the currents of the stator windings, which serve as reference currents for the inverter; and eabc = [ea, eb, ec]T = E[sinθ, sin(θ − 2π/3), sin(θ + 2π/3)]T denotes the induced phase electromotive forces in the stator windings.
The electromechanical characteristics of the SG, neglecting the mechanical losses and considering the effect of damper windings, can be described as
2 H d ω d t = P m ω P e ω D ( ω ω 0 )
d θ d t = ω
where H is the inertia constant, Pm is the mechanical power, D is the damping coefficient, ω and ω0 are the actual and the nominal angular frequency, respectively, and θ is the electrical rotation angle.
To emulate the droop characteristics of the primary frequency control (PFC) and primary voltage control (PVC), Pm and E can be expressed as
P m = P r e f + K ω ( ω 0 ω )
E = E 0 + K Q ( Q r e f Q )
where Kω is the unit power regulation, E0 is the no-load electromotive force (EMF), Qref and Q are the reference value and the actual value of the inverter output reactive power, respectively, and KQ is the voltage droop coefficient.

2.3. DC-DC Control

The objective of the DC-DC control is to keep the actual value of the dc link voltage udc equal to the voltage reference Udc_ref provided by the MPPT algorithm of the coordination control. Regulating udc to track udc_ref enables the PV array to operate at the maximum power point. The DC-DC control strategy incorporates an outer voltage loop with an inner current loop, as depicted in Figure 1. Through DC-DC control, a stiff dc link voltage, which is required to emulate the inertia, is provided for the inverter.
The buck/boost converter works in BUCK mode and charges the ES unit to prevent udc from rising when Ppv > Pe. Under the condition of Ppv < Pe, the buck/boost converter operates in BOOST mode and discharges the ES unit to stop udc from dropping. This indicates that the ES unit behaves as an energy buffer, emulating a rotating rotor through complementing the deficit, or absorbing the surplus, of PV production.

3. Performance Analysis and Stability Constraint Formulation

In this section, a small signal per unit (pu) model that considers the Q-E droop control is established. Utilizing the model, performance analysis is conducted, the impact of the Q-E droop control on stability is investigated, and the stability constraint is obtained.

3.1. Small-Signal Modelling

Figure 3 depicts the equivalent circuit of the inverter when connected to the grid. In this figure, δ is the power angle; Ug is the amplitude of the grid voltage; Rs + jXs is the virtual stator impedance implemented by the VSG control; Rg + jXg is the grid impedance, which includes the line impedance; and the grid-side filter impedance jωL2 and Pe + jQ is the apparent power measured for the control scheme.
When Rs and Rg are neglected due to XsRs and XgRg, Pe and Q can be expressed according to Figure 3 as follows:
P e = E U g X s + X g sin δ
Q = 1 ( X s + X g ) 2 [ X g E 2 X s U g 2 + ( X s X g ) E U g cos δ ]
Linearizing Pe and Q with respect to E and δ, the deviations of Pe and Q are given by
Δ P e = k P δ Δ δ + k P E Δ E
Δ Q = k Q δ Δ δ + k Q E Δ E
where Δx (x = Pe, Q, E, and δ) represents the deviation of x, and
k P δ = P e δ = E U g X s + X g cos δ
k P E = P e E = U g X s + X g sin δ
k Q δ = Q δ = ( X g X s ) E U g ( X s + X g ) 2 sin δ
k Q E = Q E = 1 ( X s + X g ) 2 [ 2 X g E + ( X s X g ) U g cos δ ]
The small signal model of the Q-E droop control described by Equation (7) is given by
Δ E = K Q Δ Q
Solving Equations (10), (11), and (16), ΔPe and ΔQ can be further derived as
Δ P e = ( k p δ + Δ K S ) Δ δ = K S Δ δ
Δ E = K Q k Q δ 1 + K Q k Q E Δ δ = K δ E Δ δ
Δ K S = K Q k P E k Q δ 1 + K Q k Q E
Normalizing and linearizing Equations (4) and (5) yields [32]
d Δ ω d t = 1 2 H [ Δ P m Δ P e D Δ ω ]
d Δ δ d t = d Δ θ d t ω 0 = ω 0 Δ ω
where Δω is the angular frequency deviation, ΔPm is the deviation of Pm, D is the damping coefficient, H is the inertia constant in seconds, and ω0 is the nominal angular frequency in rad/s.
The incremental Equations of (1), (2) and (6) are
Δ P p v + Δ P E S = Δ P e
Δ P r e f = G P I ( s ) ( Δ P E S _ r e f Δ P E S )
Δ P m = Δ P r e f K ω Δ ω
By combining Equations (17)–(24), the small-signal model considering the Q-E droop control is established in Figure 4, and Δω is correspondingly derived as Equation (25).
Δ ω = G ( s ) ( Δ P E S _ r e f + Δ P p v )
where the transfer function G(s) is given by
G ( s ) = ( K p s + K i ) s 2 H s 3 + ( D + K ω ) s 2 + ω 0 K S ( K p + 1 ) s + ω 0 K S K i
The expected performance of the grid-supporting PV system can be achieved if H, D + Kω, Kp, and Ki are properly selected in such a way that the poles of Equation (26) are located at desired locations.

3.2. Performance Analysis

The root loci family of the proposed PV system is shown in Figure 5a, where 2H = 1 s, 3 s, and 15 s, and D + Kω changes from 10 pu to 200 pu. It is clear that H plays an important role in determining the settling time of the proposed PV system. As D + Kω increases, the damping of the system rises and the stability is improved.
Figure 5b depicts the root loci family considering variations of Ki from 0.1 pu to 50 pu, and Kp = 0.3 pu, 1.1 pu, and 2 pu. As Figure 5b shows, the damping drops, the overshoot rises, and the undamped natural frequency increases when Kp becomes larger. The damped frequency and the stability margin mainly depend on Ki. Instability may happen with an excessively large value of Ki. To ensure the stability of the system, it is necessary to formulate the constraint explicitly on H, D + Kω, Kp, and Ki to guide the tuning of parameters.
Figure 5c depicts the root locus where KS varies from 0.5 pu to 2 pu. Among the three poles depicted in the plane, s3 is the real root and its position depends on Kp and Ki. As KS increases, the conjugate complex roots s1 and s2 evolve in the direction of the arrows. A larger KS increases the real parts of s1 and s2, which improves the stability.

3.3. Impact of Q-E Droop Control on Stability

As Figure 5c illustrates, KS is a factor that affects the stability of the grid-supporting PV system. According to Equation (17), Ks consists of two parts, k and ΔKS. It is indicated in Equation (19) that ΔKS is related to the coefficient KQ of the Q-E droop control and embodies the impact of the Q-E droop control on the stability. When the Q-E droop control is invalidated (i.e., KQ = 0) and only P-ω is considered, ΔKS vanishes identically, and KS in Equation (17) is equal to k.
By substituting Equations (13)–(15) into Equation (19), ΔKS can be obtained as Equation (27), where r = Xg/XS. On the condition that the Q-E droop control works, KQ is set to be a positive number. The power angle δ lies in the range from 0° to 90°, and E is generally larger than Ug. Thus, k, kPE, and kQE are all positive. Accordingly, the curve of ΔKS with respect to the ratio Xg/XS is shown in Figure 6.
Δ K S = r = X g / X S K Q 1 r 1 + r E U g 2 sin 2 δ X S 2 ( 1 + r ) 2 + K Q X S [ r ( 2 E U g cos δ ) + U g cos δ ]
As Figure 6 illustrates, ΔKS is positive if the ratio Xg/XS is less than 1, while ΔKS is negative if the ratio Xg/XS is greater than 1. Accordingly, KS is greater than k under the condition of Xg < XS, which means the Q-E droop control improves the stability, since a larger KS improves the stability. Conversely, KS is less than k when Xg > XS, which indicates that the Q-E droop control worsens the stability in the weak grid. Besides, KS is zero in the case of Xg = XS, implying that the Q-E droop control has no effect on the stability.

3.4. Stability Constraint Formulation

The closed-loop system of Equation (26) is a third-order linear time-invariant. To analyze the stability, the Routh–Hurwitz stability criterion is used. The system characteristic equation is obtained from Equation (26) as
D ( s ) = a 0 s 3 + a 1 s 2 + a 2 s + a 3 = 0
where a0 = 2H, a1 = D + Kω, a2 = ω0KS(Kp + 1), and a3 = ω0KSKi.
Through applying the Routh–Hurwitz stability criterion to Equation (28), the system stability discriminant is yielded as
{ a i > 0 , i = 0 , 1 , , 3 a 1 a 2 a 0 a 3 > 0
Since H, D + Kω, Kp, and Ki are positive real numbers, the discriminant can be simplified as
{ K S > 0 a 1 a 2 a 0 a 3 > 0
Substituting ai into Equation (30) gives
{ K S > 0 D + K ω 2 H > K i K p + 1
Equation (31) presents the stability constraint for the grid-supporting PV system, which H, D + Kω, Kp, Ki, and KS must satisfy to guarantee the stability of the system.

4. Results and Discussion

The proposed grid-supporting PV system was verified on the CIGRE benchmark of the European LV distribution network elaborated in Reference [33]. The topology of the benchmark is shown in Figure 7, and the line parameters of the benchmark are given in Table 1. All loads were configured to be balanced for simplicity. The apparent power and power factor (PF) of the loads are described in Figure 7. The 20 kV medium voltage grid in this benchmark was equated with a SG system with inertia constant of H = 9 s [32]. The PFC of the SG system reacts in 5 s when there is a frequency deviation, and the speed regulation of the PFC is 3.33%. Six cases were considered when disturbances occur, as listed in Table 2.
Case A and Case B considered sudden load variation by switching a load of 25 kW in R11 at 2 s. Case C and Case D considered a three-phase short circuit fault occurring at 2 s, the fault in each case was located at R17 and was cleared at 3 s. A step of solar irradiance from 1000 W/m2 to 1050 W/m2 was exerted on the PV array of DG3 at 2 s in Case E and Case F. After the disturbance occurred at 2 s in each case, the PFC was activated in 5 s; that is, at 7 s.
In Case A, Case C, and Case E, three conventional single-stage PV systems were applied to the benchmark as DG1−DG3. In comparison with the conventional PV system, three proposed grid-supporting PV systems, with parameters listed in Table 3, were connected to the feeder as DG1−DG3 in Case B, Case D, and Case F, and each ES unit was comprised of 25 Powersonic PS-121100 batteries in series. The SOC of each ES unit was set to 50%, which leads to PES_ref = 0.
To verify the functions of smoothing the power and tracking the maximum power point of the conventional PV system and the proposed grid-supporting PV system, solar irradiance steps were used in Case E and Case F to provide the most severe condition, although there is little possibility that the solar irradiance step would occur in a real case.

4.1. Case A: Sudden Load Variation—Conventional PV System

Figure 8a gives the resultant frequency of the grid, DG1, DG2, and DG3, respectively. All frequencies decrease consistently between 2 s and 5 s. With the phase-lock loop, the conventional PV system tracks the grid frequency (i.e., the LV distribution network frequency), but fails to provide the inertia due to operating as a grid-following unit. As depicted in Figure 8b, the output power of the conventional PV system injects power into the LV distribution network without change after the load variation, and thus is incapable of mitigating the power imbalance between generation and consumption. Figure 8c illustrates the dc link voltages, which are always regulated by the inverter of the conventional PV systems to perform MPPT.

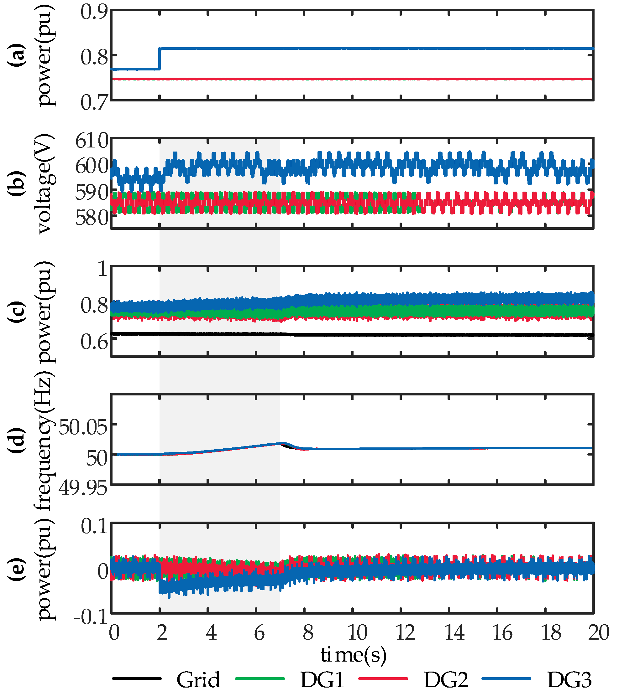
4.2. Case B: Sudden Load Variation—Proposed PV System

Figure 9 presents the responses when three proposed PV systems are integrated into the LV distribution network as DG1−DG3. As depicted in Figure 9a, all frequencies decrease between 2 s and 5 s, with a smaller rate of change of frequency (ROCOF) and higher frequency nadir when compared with Figure 8a of Case A. Through emulating the inertia of SGs, the proposed PV system is able to slow down frequency response and allow decent time for frequency control. Figure 9b shows that the proposed PV system mitigates the power imbalance between generation and consumption by increasing the output active power Pe autonomously, and thus supports the grid, mimicking the SG. Figure 9c plots the dc link voltage of the interface inverter, which is maintained at UMPP by the buck/boost converter with the ES unit, even if there is an imbalance between Ppv and Pe. It is demonstrated that a stiff dc link voltage can be provided in the proposed PV system for the inverter to emulate the inertia. Figure 9d illustrates the exchanged power PES between the ES unit and the dc link. After the sudden load variation, the incremental of PES is consistent with that of Pe shown in Figure 9b. It is indicated that the ES unit balances the power between the PV array and the inverter, which emulates the behavior of a rotating rotor releasing kinetic energy when it’s frequency drops. After PFC activation, the exchanged power PES, regulated by coordination control, gradually converges to PES_ref to constrain the SOC.

4.3. Case C: Short Circuit Fault—Conventional PV System

As Figure 10a depicts, the grid frequency, which is tracked by the conventional PV system, decreases until the fault is cleared and reaches the nadir of 49.82 Hz at 3 s. However, after the clearance of the fault, frequencies of the grid, DG1, DG2, and DG3 hardly change until the PFC is activated at 5 s. This shows that the conventional PV system fails to participate in frequency regulation. As Figure 10b depicts, the power imbalance resulting from the fault is counteracted only by the grid, while the conventional PV system is incapable of responding to the power imbalance, and outputs power without change after the fault occurs. The dc link voltage, illustrated in Figure 10c, is regulated during the fault to draw maximum power from the PV array.

4.4. Case D: Short Circuit Fault—Proposed PV System

System responses to a three-phase short circuit fault, where three proposed PV systems are integrated as DG1−DG3, are studied in this case, and given in Figure 11.
The grid frequency, as shown in Figure 11a, decreases from the normal value of 50 Hz to the nadir of 49.87 Hz lasting from 2 s to 3 s. In comparison with Case C, a smaller ROCOF and slighter frequency deviation are caused by the fault in this case. It is perceived in Figure 11a that the grid frequency is regulated by the proposed PV system in the absence of PFC action during 3–7 s. As depicted in Figure 11b, the proposed PV system increases its output active power and moderates the power imbalance, while the conventional PV system fails to implement this function, as shown in Figure 10b.
Figure 11c illustrates the dc link voltage of the proposed PV system, which indicates that the proposed PV system is able to provide a stiff dc link voltage to emulate the inertia and perform MPPT. As depicted in Figure 11d, the incremental of PES is consistent with that of Pe shown in Figure 11b, verifying that the ES unit balances the power between the PV array and the inverter, which emulates the behavior of a rotor releasing kinetic energy when it’s frequency declines.

4.5. Case E: Step of Solar Irradiance—Conventional PV System

As Figure 12a shows, the step of solar irradiance exerted on the PV array of DG 3 causes a sudden change of the power generated from the PV array in DG3. The dc link voltage of the inverter in DG 3 increases, as depicted in Figure 12b, to track UMPP specified by the MPPT algorithm in the coordination control. Due to the lack of an energy buffer in the conventional PV system, DG3 injects the fluctuant PV power resulting from the solar irradiance step into the LV distribution network, and the output active power rises suddenly, as shown in Figure 12c. Figure 12d shows that the grid frequency deviates after the solar irradiance step until the PFC is activated.

4.6. Case F: Step of Solar Irradiance—Proposed PV System

Responses to the step of solar irradiance exerted on DG3 are studied in Figure 13 when three proposed PV systems are applied as DG1−DG3. After the solar irradiance steps, the power generated from the PV array in DG3 rises suddenly, as shown in Figure 13a, and the dc link voltage of DG3 increases to perform MPPT, as shown in Figure 13b. In comparison with Case E, the active power that DG3 feeds to the LV distribution network is filtered and rises smoothly, as depicted in Figure 13c, and the grid frequency deviates with a smaller ROCOF and lower zenith, as depicted in Figure 13d. Figure 13e shows that the exchanged power PES between the ES unit and the dc link decreases suddenly, and the ES unit of DG3 absorbs the surplus of PV production after the solar irradiance steps. PES eventually returns to zero, tracking the reference PES_ref to constrain the SOC, and the output active power Pe is finally equal to the power generated by the PV array Ppv.
It is demonstrated that the proposed PV system is able to smooth the power fed to the LV distribution network, even if the power generated by the PV array fluctuates suddenly.
Combining with the results in Cases A–F, Table 4 shows the following advantageous features of the proposed grid-supporting PV system as compared with the conventional PV system:
(1)
The grid-supporting PV system, presenting as SGs from the point-of-view of the grid by mimicking SG characteristics with VSG control, can support the grid through mitigating the power imbalance between generation and consumption, and slowing down frequency dynamics with virtual inertia.
(2)
Through emulating the droop characteristics of PFC and PVC, the grid-supporting PV system can participate in frequency regulation and voltage regulation.
(3)
The proposed PV system has the functions of filtering the PV power and smoothing the power fed to the grid, which leads to a reduced impact of PV fluctuation on the grid.
(4)
The grid-supporting PV system synchronizes with the grid through mimicking the synchronization mechanism of SGs, and thus the PLL, in which the delay may cause instability [34], is discarded in the proposed PV system.

5. Conclusions

A novel grid-supporting PV system, which operates as an inertia voltage source by emulating the characteristics of SGs, is proposed in this paper.
To present the PV system as a SG from the point-of-view of the grid, both the topology and the control scheme were investigated. An ES unit equipped with a bidirectional DC-DC converter was installed, which can mimic the function of a rotating rotor for kinetic energy and buffer the imbalance of the PV power. On the other hand, the coordination control, DC-DC control, and VSG control were employed in the proposed system. The coordination control is able to constrain the SOC of the ES unit and calculate the voltage at the maximum power point of the PV array. The DC-DC control can perform the regulation of the dc link voltage to realize MPPT, and the VSG control is capable of equipping the interface inverter with SG characteristics.
To guide the tuning of the parameters, the system performance was analyzed with the variation parameter values. It was found that the inertia constant H plays an important role in determining the settling time, and that the system damping mainly depends on D + Kω. Furthermore, the stability constraint was formulated as Equation (31), which should be satisfied to guarantee the stability of the system.
Results of case studies conducted on the modified CIGRE LV network benchmark verify the grid-supporting PV system. Compared with the conventional PV system, the grid-supporting PV system is advantageous in the following areas:
(1)
The VSG control and the ES unit capacitate the interface inverter of the proposed inverter to mimic SG characteristics, slowing down frequency response with inertia, and moderating the power imbalance between generation and consumption.
(2)
The emulation of the droop characteristics of PFC and PVC capacitates the grid-supporting PV system to contribute to frequency regulation and voltage regulation of EPS.
(3)
In the conventional PV system, the power fed to the grid must be equal to the power generated from the PV array. However, the installation of the ES unit in the grid-supporting PV system spares this embarrassment. Through the installed ES unit and the control scheme, the function of filtering the PV power and smoothing the PV system output power, which reduces the impact of PV fluctuations on the grid, is implemented in the proposed grid-supporting PV system.
(4)
With the VSG control, the interface inverter of the grid-supporting PV system mimics not only the inertia and frequency damping of SGs, but also the synchronization mechanism of SGs. Beneficially, the impact of the PLL on the stability is eliminated, which leads to the proposed PV system being more compatible with EPS than the conventional PV system that employs the PLL.
The topology, the control scheme, and the stability constraint for parameters are presented in this paper. In future, the method for optimizing the capacity of the ES unit under different conditions, where the values of H, D, and Kω, and the capacity of the PV array vary, need to be obtained in order to reduce costs. As the analysis indicates, the grid impedance has impacts on the stability of the system with the Q-E droop control. How to reduce or avoid these impacts is also set as one of our future research directions.

Author Contributions

H.X. and J.S. provided the original idea for this paper. H.X., N.L., and Y.S. organized the manuscript and attended the discussions when analysis and verification were carried out. All the authors gave comments and suggestions on the writing and descriptions of the manuscript.

Funding

This research was supported partly by the National Key Research and Development Program of China (2017YFB0903503), the National Science Foundation of China (51677050) and Double First Class Project for Independent Innovation and Social Service Capabilities (45000-411104/012).

Conflicts of Interest

The authors declare no conflict of interest.

Abbreviations

The following abbreviations are used in this manuscript:
EMFElectromotive force
EPSElectric power systems
ESEnergy storage
MPPTMaximum power point tracking
PFCPrimary frequency control
PLLPhase-locked loops
PVPhotovoltaic
PVCPrimary voltage control
RESRenewable energy sources
ROCOFRate of change of frequency
SGSynchronous generator
SOCState of charge
VSGVirtual synchronous generator

References

  1. Pintér, G.; Baranyai, N.H.; Wiliams, A.; Zsiborács, H. Study of Photovoltaics and LED Energy Efficiency: Case Study in Hungary. Energies 2018, 11, 790. [Google Scholar] [CrossRef]
  2. Egwebe, A.M.; Fazeli, M.; Igic, P.; Holland, P.M. Implementation and stability study of dynamic droop in islanded microgrids. IEEE Trans. Energy Convers. 2016, 31, 821–832. [Google Scholar] [CrossRef]
  3. Zsiborács, H.; Baranyai, N.H.; András, V.; Háber, I.; Pintér, G. Economic and Technical Aspects of Flexible Storage Photovoltaic Systems in Europe. Energies 2018, 11, 1445. [Google Scholar] [CrossRef]
  4. Radwan, A.A.A.; Mohamed, Y.A.R.I. Power synchronization control for grid-connected current-source inverter-based photovoltaic systems. IEEE Trans. Energy Convers. 2016, 31, 1023–1036. [Google Scholar] [CrossRef]
  5. Nižetić, S.; Papadopoulos, A.M.; Tina, G.M.; Rosa-Clot, M. Hybrid energy scenarios for residential applications based on the heat pump split air-conditioning units for operation in the Mediterranean climate conditions. Energy Build. 2017, 140, 110–120. [Google Scholar] [CrossRef]
  6. Rocabert, J.; Luna, A.; Blaabjerg, F.; Rodríguez, P. Control of power converters in AC microgrids. IEEE Trans. Power Electron. 2012, 27, 4734–4749. [Google Scholar] [CrossRef]
  7. Delille, G.; Francois, B.; Malarange, G. Dynamic frequency control support by energy storage to reduce the impact of wind and solar generation on isolated power system’s inertia. IEEE Trans. Sustain. Energy 2012, 3, 931–939. [Google Scholar] [CrossRef]
  8. Kroposki, B.; Johnson, B.; Zhang, Y.; Gevorgian, V.; Denholm, P.; Hodge, B.; Hannegan, B. Achieving a 100% renewable grid: Operating electric power systems with extremely high levels of variable renewable energy. IEEE Power Energy Mag. 2017, 15, 61–73. [Google Scholar] [CrossRef]
  9. Wesenbeeck, M.P.N.; de Haan, S.W.H.; Varela, P.; Visscher, K. Grid tied converter with virtual kinetic storage. In Proceedings of the IEEE Bucharest PowerTech, Bucharest, Romania, 28 June–2 July 2009. [Google Scholar]
  10. Eftekharnejad, S.; Vittal, V.; Heydt, G.T.; Keel, B.; Loehr, J. Impact of increased penetration of photovoltaic generation on power systems. IEEE Trans. Power Syst. 2013, 28, 893–901. [Google Scholar] [CrossRef]
  11. Ulbig, A.; Borsche, T.S.; Andersson, G. Impact of low rotational inertia on power system stability and operation. In Proceedings of the IFAC World Congress, Capetown, South Africa, 24–29 August 2014. [Google Scholar]
  12. Beck, H.P.; Hesse, R. Virtual synchronous machine. In Proceedings of the 9th International Conference on Electrical Power Quality Utilizations, Barcelona, Spain, 9–11 October 2007. [Google Scholar]
  13. VSG Control Algorithms: Present Ideas. Available online: http://www.vsync.eu.Project VSYNC (accessed on 22 March 2016).
  14. Zhong, Q.C.; Weiss, G. Synchronverters: Inverters that mimic synchronous generators. IEEE Trans. Ind. Electron. 2011, 58, 1259–1267. [Google Scholar] [CrossRef]
  15. Sakimoto, K.; Miura, Y.; Ise, T. Stabilization of a power system with a distributed generator by a virtual synchronous generator function. In Proceedings of the IEEE 8th International Conference Power Electronics ECCE Asia (ICPE & ECCE), Jeju, Korea, 30 May–3 June 2011. [Google Scholar]
  16. Bevrani, H.; Ise, T.; Miura, Y. Virtual synchronous generators: A survey and new perspectives. Int. J. Electr. Power Energy Syst. 2014, 54, 244–254. [Google Scholar] [CrossRef]
  17. Natarajan, V.; Weiss, G. Synchronverters with better stability due to virtual inductors, virtual capacitors and anti-windup. IEEE Trans. Ind. Electron. 2017, 64, 5994–6004. [Google Scholar] [CrossRef]
  18. Alipoor, J.; Miura, Y.; Ise, T. Power system stabilization using virtual synchronous generator with alternating moment of inertia. IEEE J. Emerg. Sel. Top. Power Electron. 2015, 3, 451–458. [Google Scholar] [CrossRef]
  19. Li, D.; Zhu, Q.; Lin, S.; Bian, X.Y. A self-adaptive inertia and damping combination control of VSG to support frequency stability. IEEE Trans. Energy Convers. 2017, 32, 397–398. [Google Scholar] [CrossRef]
  20. Alipoor, J.; Miura, Y.; Ise, T. Stability Assessment and Optimization Methods for Microgrid with Multiple VSG Units. IEEE Trans. Smart Grid 2016, 9, 1462–1471. [Google Scholar] [CrossRef]
  21. Torres, L.M.A.; Lopes, L.A.C.; Morán, T.L.A.; Espinoza, C.J.R. Self-tuning virtual synchronous machine: A control strategy for energy storage systems to support dynamic frequency control. IEEE Trans. Energy Convers. 2014, 29, 833–840. [Google Scholar] [CrossRef]
  22. Dong, S.; Chen, Y.C. Adjusting synchronverter dynamic response speed via damping correction loop. IEEE Trans. Energy Convers. 2017, 32, 608–619. [Google Scholar] [CrossRef]
  23. Suul, J.A.; D’Arco, S.; Guidi, G. Virtual synchronous machine-based control of a single-phase bi-directional battery charger for providing vehicle-to-grid services. IEEE Trans. Ind. Appl. 2016, 52, 3234–3244. [Google Scholar] [CrossRef]
  24. Fang, J.; Tang, Y.; Li, H.; Li, X. A battery/ultracapacitor hybrid energy storage system for implementing the power management of virtual synchronous generators. IEEE Trans. Power Electron. 2018, 33, 2820–2824. [Google Scholar] [CrossRef]
  25. Liu, J.; Miura, Y.; Bevrani, H.; Ise, T. Enhanced virtual synchronous generator control for parallel inverters in microgrids. IEEE Trans. Smart Grid 2017, 8, 2268–2277. [Google Scholar] [CrossRef]
  26. Alam, M.J.E.; Muttaqi, K.M.; Sutanto, D. A novel approach for ramp-rate control of solar PV using energy storage to mitigate output fluctuations caused by cloud passing. IEEE Trans. Energy Convers. 2014, 29, 507–518. [Google Scholar] [CrossRef]
  27. Thang, T.V.; Ahmed, A.; Kim, C.I.; Park, J.H. Flexible system architecture of stand-alone PV power generation with energy storage device. IEEE Trans. Energy Convers. 2015, 30, 1386–1396. [Google Scholar] [CrossRef]
  28. Fuente, D.V.; Trujillo Rodríguez, C.L.; Garcerá Figueres, G.E.; Gonzalez, R.O. Photovoltaic power system with battery backup with grid-connection and islanded operation capabilities. IEEE Trans. Ind. Electron. 2013, 60, 1571–1581. [Google Scholar] [CrossRef]
  29. Kadri, R.; Gaubert, J.; Champenois, G. An improved maximum power point tracking for photovoltaic grid-connected inverter based on voltage-oriented control. IEEE Trans. Ind. Electron. 2011, 58, 66–75. [Google Scholar] [CrossRef]
  30. Esram, T.; Chapman, P.L. Comparison of photovoltaic array maximum power point tracking techniques. IEEE Trans. Energy Convers. 2007, 22, 439–449. [Google Scholar] [CrossRef]
  31. Yazdani, A.; Fazio, A.R.D.; Ghoddami, H.; Russo, M.; Kazerani, M.; Jatskevich, J.; Strunz, K.; Leva, S.; Martinez, J.A. Modeling guidelines and a benchmark for power system simulation studies of three phase single-stage photovoltaic systems. IEEE Trans. Power Deliv. 2011, 26, 1247–1264. [Google Scholar] [CrossRef]
  32. Kundur, P.; Balu, N.J.; Lauby, M.G. Power System Stability and Control; McGraw-Hill Inc.: New York, NY, USA, 1994; ISBN 9780070359581. [Google Scholar]
  33. Strunz, K.; Abbasi, E.; Fletcher, R.; Hatziargyriou, N.D. Benchmark Systems for Network Integration of Renewable and Distributed Energy Resources; CIGRÉ TF C6.04.02, Technical Report 575; CIGRE: Paris, France, 2014. [Google Scholar]
  34. Norouzi, A.H.; Sharaf, A.M. Two control scheme to enhance the dynamic performance of the STATCOM and SSSC. IEEE Trans. Power Deliv. 2005, 20, 435–442. [Google Scholar] [CrossRef]
Figure 1. Topology and control scheme of the grid-supporting PV system.
Figure 1. Topology and control scheme of the grid-supporting PV system.
Energies 11 03152 g001
Figure 2. Relationship between exchanged power reference and SOC.
Figure 2. Relationship between exchanged power reference and SOC.
Energies 11 03152 g002
Figure 3. Equivalent circuit of the inverter when connected to the grid.
Figure 3. Equivalent circuit of the inverter when connected to the grid.
Energies 11 03152 g003
Figure 4. Small signal model of the grid-supporting PV system.
Figure 4. Small signal model of the grid-supporting PV system.
Energies 11 03152 g004
Figure 5. Family of root loci for variations of: (a) H and D + Kω; (b) Kp and Ki; (c) KS.
Figure 5. Family of root loci for variations of: (a) H and D + Kω; (b) Kp and Ki; (c) KS.
Energies 11 03152 g005
Figure 6. Curve of ΔKS with respect to the ratio Xg/XS.
Figure 6. Curve of ΔKS with respect to the ratio Xg/XS.
Energies 11 03152 g006
Figure 7. Modified benchmark of the European LV distribution network.
Figure 7. Modified benchmark of the European LV distribution network.
Energies 11 03152 g007
Figure 8. Responses to sudden load variation when conventional PV systems are applied as DG1–DG3: (a) Frequency response; (b) output active power; (c) dc link voltage of the inverter.
Figure 8. Responses to sudden load variation when conventional PV systems are applied as DG1–DG3: (a) Frequency response; (b) output active power; (c) dc link voltage of the inverter.
Energies 11 03152 g008
Figure 9. Responses to sudden load variation when the proposed PV systems are applied as DG1–DG3: (a) Frequency response; (b) output active power; (c) dc link voltage of the inverter; (d) exchanged power between the ES unit and dc link.
Figure 9. Responses to sudden load variation when the proposed PV systems are applied as DG1–DG3: (a) Frequency response; (b) output active power; (c) dc link voltage of the inverter; (d) exchanged power between the ES unit and dc link.
Energies 11 03152 g009
Figure 10. Responses to a short circuit fault when conventional PV systems are applied as DG1–DG3: (a) Frequency response; (b) output active power; (c) dc link voltage of the inverter.
Figure 10. Responses to a short circuit fault when conventional PV systems are applied as DG1–DG3: (a) Frequency response; (b) output active power; (c) dc link voltage of the inverter.
Energies 11 03152 g010
Figure 11. Responses to a short circuit fault when the proposed PV systems are applied as DG1–DG3: (a) Frequency response; (b) output active power; (c) dc link voltage of the inverter; (d) exchanged power between the ES unit and dc link.
Figure 11. Responses to a short circuit fault when the proposed PV systems are applied as DG1–DG3: (a) Frequency response; (b) output active power; (c) dc link voltage of the inverter; (d) exchanged power between the ES unit and dc link.
Energies 11 03152 g011
Figure 12. Responses to a step of solar irradiance when conventional PV systems are applied as DG1~DG3: (a) Power generated from the PV array; (b) dc link voltage of the inverter; (c) output active power; (d) frequency response.
Figure 12. Responses to a step of solar irradiance when conventional PV systems are applied as DG1~DG3: (a) Power generated from the PV array; (b) dc link voltage of the inverter; (c) output active power; (d) frequency response.
Energies 11 03152 g012
Figure 13. Responses to a step of solar irradiance when the proposed PV systems are applied as DG1–DG3: (a) Power generated from the PV array; (b) dc link voltage of the inverter; (c) output active power; (d) frequency response; (e) exchanged power between the ES unit and dc link.
Figure 13. Responses to a step of solar irradiance when the proposed PV systems are applied as DG1–DG3: (a) Power generated from the PV array; (b) dc link voltage of the inverter; (c) output active power; (d) frequency response; (e) exchanged power between the ES unit and dc link.
Energies 11 03152 g013
Table 1. Line parameters of the benchmark.
Table 1. Line parameters of the benchmark.
Node (From–To)Length (m)Resistance (mΩ)Inductance (μH)
R1–R23510.04518.6052
R2–R33510.04518.6052
R3–R43510.04518.6052
R4–R67020.0937.2104
R6–R910531.13555.8156
R9–R103510.04518.6052
R4–R15135155.52196.811
R6–R163034.5643.7358
R9–R173034.5643.7358
R10–R183034.5643.7358
Transformer-3.240.7437
Table 2. Cases Description.
Table 2. Cases Description.
CaseDisturbanceDG1–DG3
ASudden Load VariationConventional PV System
BProposed PV System
CShort Circuit FaultConventional PV System
DProposed PV System
EStep of Solar IrradianceConventional PV System
FProposed PV System
Table 3. Inverter Parameters of the Proposed PV System.
Table 3. Inverter Parameters of the Proposed PV System.
Meaning, Symbol, and UnitNo.1No.2No.3
Rated Power Sn (kVA)202050
Nominal frequency fn (Hz)50
Nominal voltage Vn (V)380
Carrier frequency fc (kHz)10
Filter valuesL1 (mH)1.21.20.72
C (μF)202050
L2 (mH)0.80.80.18
Current loop controller gainsKcp (pu)2
Kci (pu)1500
Kp (pu)0.05
Ki (pu)0.3
Parameter values of SG model2H (s)101410
D (pu)304040
Rs (pu)0.08
Ls (pu)0.8
No-load EMFE0 (pu)1.22
Droop gainsKω (pu)201030
KQ (pu)0
Table 4. Advantages of the proposed grid-supporting PV system as compared with the conventional PV system.
Table 4. Advantages of the proposed grid-supporting PV system as compared with the conventional PV system.
FeaturesConventional PV SystemProposed PV System
Emulating the characteristics of SGs to support the grid×
Primary frequency control and primary voltage control×
Smoothing the fluctuation of the power fed to the grid×
PLL-less operation after initial synchronization×
×: operating without the feature; √: operating with the feature.

Share and Cite

MDPI and ACS Style

Xu, H.; Su, J.; Liu, N.; Shi, Y. A Grid-Supporting Photovoltaic System Implemented by a VSG with Energy Storage. Energies 2018, 11, 3152. https://doi.org/10.3390/en11113152

AMA Style

Xu H, Su J, Liu N, Shi Y. A Grid-Supporting Photovoltaic System Implemented by a VSG with Energy Storage. Energies. 2018; 11(11):3152. https://doi.org/10.3390/en11113152

Chicago/Turabian Style

Xu, Huadian, Jianhui Su, Ning Liu, and Yong Shi. 2018. "A Grid-Supporting Photovoltaic System Implemented by a VSG with Energy Storage" Energies 11, no. 11: 3152. https://doi.org/10.3390/en11113152

APA Style

Xu, H., Su, J., Liu, N., & Shi, Y. (2018). A Grid-Supporting Photovoltaic System Implemented by a VSG with Energy Storage. Energies, 11(11), 3152. https://doi.org/10.3390/en11113152

Note that from the first issue of 2016, this journal uses article numbers instead of page numbers. See further details here.

Article Metrics

Back to TopTop