A Method for Energy and Resource Assessment of Waves in Finite Water Depths
Abstract
:1. Introduction
2. Wave Energy Assessment
2.1. Wave Equation
2.2. Wave Energy in Deep Water
2.3. Waves in Finite Water Depths
2.4. Theoretical and Measured Wave Spectra
3. Results and Analysis
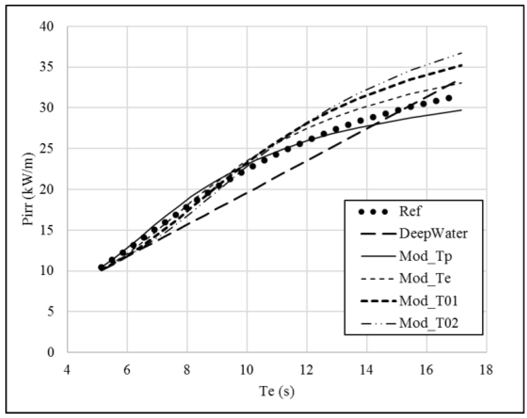
3.1. Bretschneider Spectra (Hs = 2 m for All Cases)
3.2. Standard JONSWAP Spectra (Hs = 2 m for All Cases)
3.3. Spectra from Measured Waves (AMETS)
4. Discussions
4.1. Peak Periods from Spectra
4.2. Wave Resource Assess in Finite Water Depth: Belmullet 50 m Water Depth
5. Conclusions
- For the cases of finite water depths, using the deep water formulas may under-estimate the wave power by up to 14.5% in irregular waves of interest for wave energy production.
- For the wave measurement data in simple forms of scatter diagrams, the proposed method in this investigation can improve the wave energy assessment. For both the theoretical spectra (Bretschneider and JONSWAP) and the measured spectra, the proposed method can improve the accuracy of the wave energy assessment, reducing the maximal error from about 14.5% to less than 5%.
- The proposed method using either the calculated peak period or the energy period can significantly improve the assessment of the annual mean wave power. For the AMETS data, the deep water formulas give an error more than 10%, whilst with the proposed method, the error can be reduced to less than 4% or even less.
- The calculated spectral peak period for the measured waves can be reliably calculated using Equation (27) for those wind-generated waves.
Acknowledgments
Author Contributions
Conflicts of Interest
References
- Pontes, M.T.; Athanassoulis, G.A.; Barstow, S.; Cavaleri, L.; Holmes, B.; Mollison, D.; Oliveira-Pires, H. An Atlas of the Wave-Energy Resource in Europe. J. Offshore Mech. Arct. Eng. 1996, 118, 307–309. [Google Scholar] [CrossRef]
- Stopa, J.E.; Cheung, K.F.; Chen, Y.L. Assessment of wave energy resources in Hawaii. Renew. Energy 2011, 36, 554–567. [Google Scholar] [CrossRef]
- Arinaga, R.A.; Cheung, K.F. Atlas of global wave energy from 10 years of reanalysis and hindcast data. Renew. Energy 2012, 39, 49–64. [Google Scholar] [CrossRef]
- Cornett, A. A Global Wave Energy Resource Assessment. In Proceedings of the International Offshore and Polar Engineering Conference, Vancouver, BC, Canada, 6–11 July 2008. [Google Scholar]
- Mork, G.; Barstow, S.; Kabuth, A.; Pontes, M.T. Assessing the global wave energy potential. In Proceedings of the 29th International Conference on Ocean, Offshore Mechanics and Arctic Engineering (OMAE2010), Shanghai, China, 6–11 June 2010. [Google Scholar]
- Gunn, K.; Stock-Williams, C. Quantifying the global wave power resource. Renew. Energy 2010, 44, 296–304. [Google Scholar] [CrossRef]
- Cahill, B.G.; Lewis, A. Wave energy resource characteristion of the Altantic marine energy test site. Int. J. Mar. Energy 2013, 1, 3–15. [Google Scholar] [CrossRef]
- Folley, M.; Whittaker, T. Analysis of the nearshore wave energy resource. Renew. Energy 2009, 34, 1709–1715. [Google Scholar] [CrossRef]
- Lenee-Bluhm, P.; Paasch, R.; Ozkan-Haller, H.T. Characterizing the wave energy resource of the US Pacific Northwest. Renew. Energy 2011, 36, 2106–2119. [Google Scholar] [CrossRef]
- Hughes, M.G.; Heap, A.D. National-scale wave energy resource assessment for Australia. Renew. Energy 2010, 35, 1783–1791. [Google Scholar] [CrossRef]
- Reikard, G.; Robertson, B.; Buckham, B.; Bidlot, J.R.; Hiles, C. Simulating and forecasting ocean wave energy in western Canada. Ocean Eng. 2015, 103, 223–236. [Google Scholar] [CrossRef]
- Iglesias, G.; Carballo, R. Wave energy and nearshore hot spots: The case of the SE Bay of Biscay. Renew. Energy 2010, 35, 490–500. [Google Scholar] [CrossRef]
- Iglesias, G.; López, M.; Carballo, R.; Castro, A.; Fraguela, J.A.; Frigaard, P. Wave energy potential in Galicia (NW Spain). Renew. Energy 2009, 34, 2323–2333. [Google Scholar] [CrossRef]
- Cornett, A.; Toupin, M.; Baker, S.; Piche, S.; Nistor, I. Appraisal of IEC Standards for Wave and Tidal Energy Resource Assessment. In Proceedings of the International Conference on Ocean Energy, Halifax, NS, Canada, 4–6 November 2014. [Google Scholar]
- Folley, M.; Cornett, A.; Holmes, B.; Lenee-Bluhm, P.; Liria, P. Standardising resource assessment for wave energy converters. In Proceedings of the International Conference on Ocean Energy, Dublin, Ireland, 17–19 October 2012. [Google Scholar]
- Marine Energy-Wave, Tidal and Other Water Current Converters—Part 101: Wave Energy Resource Assessment and Characterization; IEC TS 62600-101; International Electrotechnical Commission: Geneva, Switzerland, 2015.
- Ramos, V.; Ringwood, J.V. Exploring the utility and effectiveness of the IEC (International Electrotechnical Commission) wave energy resource assessment and characterisation standard: A case study. Energy 2016, 107, 668–682. [Google Scholar] [CrossRef]
- Magagna, D.; Uihleih, A. Ocean energy development in Europe: Current status and future perspectives. Int. J. Mar. Energy 2015, 11, 84–104. [Google Scholar] [CrossRef]
- Johanning, L.; Smith, G.H.; Wolfram, J. Measurements of static and dynamic mooring line damping and their importance for floating WEC devices. Ocean Eng. 2007, 34, 1918–1934. [Google Scholar] [CrossRef]
- Holthuijsen, L.H. Waves in Oceanic and Coastal Waters; Cambridge University Press: Cambridge, UK, 2007. [Google Scholar]
- Newman, J.N. Marine Hydrodynamics; The MIT Press: Cambridge, MA, USA, 1977. [Google Scholar]
- Tucker, M.J.; Pitt, E.G. Waves in Ocean Engineering; Elsevier Science Ltd.: Oxford, UK, 2001. [Google Scholar]
- MI. Ocean Energy Expertise (Ireland). Available online: http://www.oceanenergyireland.ie/Observation/DownloadWave (accessed on 25 July 2016).
- Iglesias, G.; Carballo, R. Wave farm impact: The role of farm-to-coast distance. Renew. Energy 2014, 69, 375–385. [Google Scholar] [CrossRef]
- DNV. Environmental Conditions and Environmental Loads. Available online: https://rules.dnvgl.com/docs/pdf/DNV/codes/docs/2010-10/RP-C205.pdf (accessed on 29 March 2017).




















| γ | Tp (Given) | Tp via Equation (25) | err0 (%) | Tp via Equation (26) | err1 (%) |
|---|---|---|---|---|---|
| 1.0 | 5 | 5.130 | 2.600 | 5.005 | 0.098 |
| 8 | 8.214 | 2.679 | 8.014 | 0.174 | |
| 10 | 10.269 | 2.692 | 10.019 | 0.188 | |
| 15 | 15.405 | 2.703 | 15.03 | 0.198 | |
| 3.3 | 5 | 5.146 | 2.929 | 5.021 | 0.418 |
| 8 | 8.239 | 2.986 | 8.038 | 0.474 | |
| 10 | 10.300 | 2.996 | 10.048 | 0.484 | |
| 15 | 15.450 | 3.003 | 15.074 | 0.491 | |
| 5.0 | 5 | 5.137 | 2.731 | 5.011 | 0.226 |
| 8 | 8.222 | 2.78 | 8.022 | 0.273 | |
| 10 | 10.279 | 2.788 | 10.028 | 0.281 | |
| 15 | 15.419 | 2.794 | 15.043 | 0.287 |
| Water Depth (m) | Method | Annual Mean Power (kW/m) | Error (%) |
|---|---|---|---|
| 50 | Direct calculation, Equation (19) | 37.41 | - |
| Deep water, Equation (13) | 33.60 | −10.18 | |
| Correction with ωp, Equation (22) | 38.76 | 3.86 | |
| Correction with ωe, Equation (22) | 36.86 | −1.47 |
© 2017 by the authors. Licensee MDPI, Basel, Switzerland. This article is an open access article distributed under the terms and conditions of the Creative Commons Attribution (CC BY) license (http://creativecommons.org/licenses/by/4.0/).
Share and Cite
Sheng, W.; Li, H. A Method for Energy and Resource Assessment of Waves in Finite Water Depths. Energies 2017, 10, 460. https://doi.org/10.3390/en10040460
Sheng W, Li H. A Method for Energy and Resource Assessment of Waves in Finite Water Depths. Energies. 2017; 10(4):460. https://doi.org/10.3390/en10040460
Chicago/Turabian StyleSheng, Wanan, and Hui Li. 2017. "A Method for Energy and Resource Assessment of Waves in Finite Water Depths" Energies 10, no. 4: 460. https://doi.org/10.3390/en10040460
APA StyleSheng, W., & Li, H. (2017). A Method for Energy and Resource Assessment of Waves in Finite Water Depths. Energies, 10(4), 460. https://doi.org/10.3390/en10040460

