Dog Eye Movements Are Slower than Human Eye Movements
Abstract
:Introduction
Methods
Participants
Stimuli
Training of Dogs
- The dog approaches the chin rest.
- The dog puts its chin on the chin rest (Figure 1).
- The dog keeps its chin on the chin rest for a required amount of time.
- The dog watches the white light points and various video stimuli keeping its chin on the chin rest for a required amount of time.
Apparatus
Experimental Procedure
Data Reduction
Data Processing and Statistical Analysis
Results
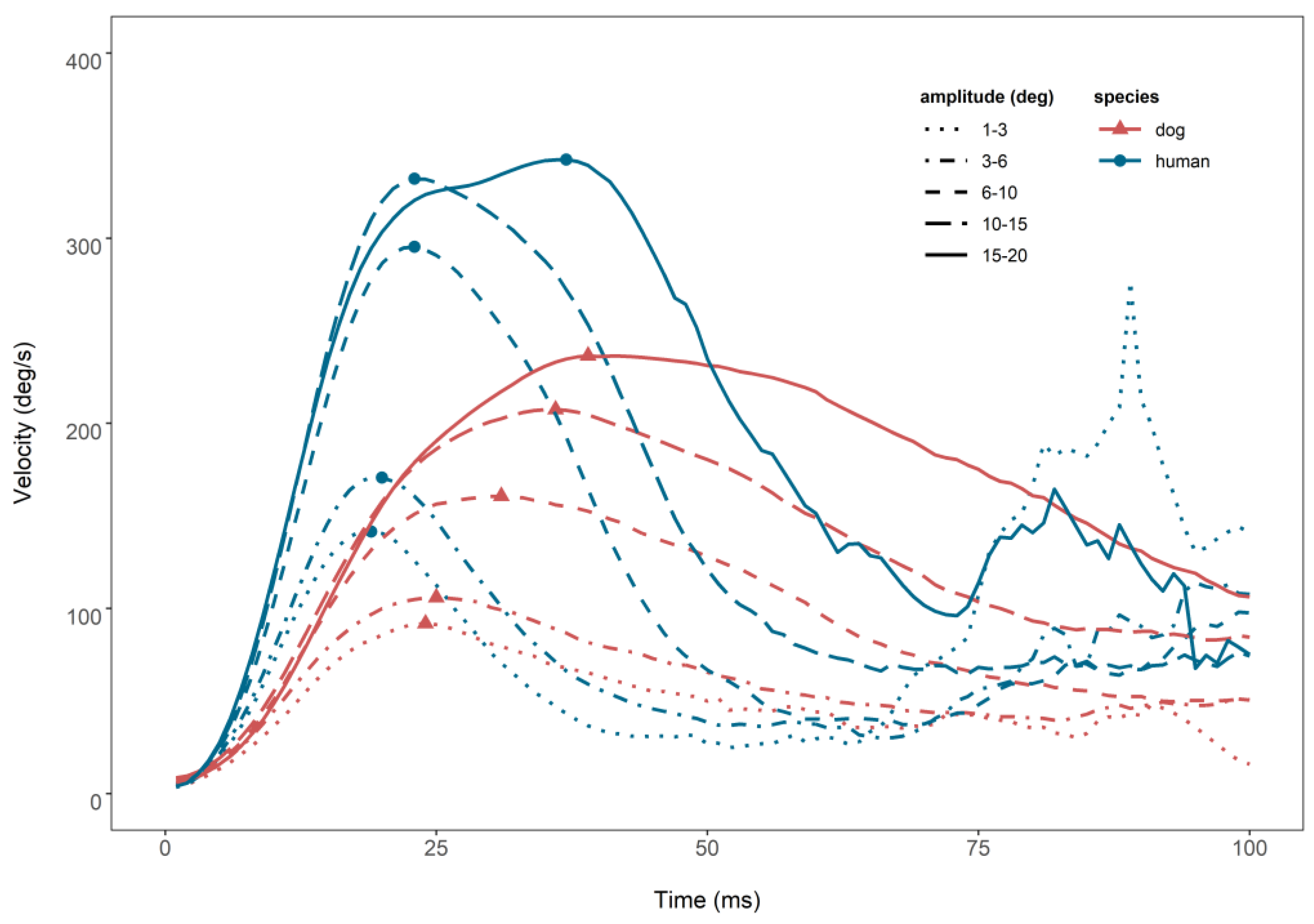
Saccades
Fixations
Discussion
Why Slower and Bigger Saccades and Longer Fixations of Dogs than Those of Humans?
Implications on Eye Movement Event Detection Algorithms
Limitations of the Study and Future Directions
Conclusion
Ethics and Conflict of Interest
Acknowledgments
References
- Adachi, I.; Kuwahata, H.; Fujita, K. Dogs recall their owner’s face upon hearing the owner’s voice. Animal Cognition 2007, 10(1), 17–21. [Google Scholar] [CrossRef]
- Albuquerque, N.; Guo, K.; Wilkinson, A.; Savalli, C.; Otta, E.; Mills, D. Dogs recognize dog and human emotions. Biology Letters 2016, 12(1), 20150883. [Google Scholar] [CrossRef] [PubMed]
- Andersson, R.; Larsson, L.; Holmqvist, K.; Stridh, M.; Nyström, M. One algorithm to rule them all? an evaluation and discussion of ten eye movement eventdetection algorithms. Behavior Research Methods 2017, 49(2), 616–637. [Google Scholar] [CrossRef]
- Axelsson, E.; Ratnakumar, A.; Arendt, M.-L.; Maqbool, K.; Webster, M. T.; Perloski, M.; Lindblad-Toh, K. The genomic signature of dog domestication reveals adaptation to a starch-rich diet. Nature 2013, 495(7441), 360. [Google Scholar] [CrossRef] [PubMed]
- Bahill, A. T.; Clark, M. R.; Stark, L. The main sequence, a tool for studying human eye movements. Mathematical Biosciences 1975, 24(3-4), 191–204. [Google Scholar] [CrossRef]
- Banks, M. S.; Sprague, W. W.; Schmoll, J.; Parnell, J. A.; Love, G. D. Why do animal eyes have pupils of different shapes? Science Advances 2015, 1(7), e1500391. [Google Scholar] [CrossRef] [PubMed]
- Barber, A. L.; Randi, D.; Müller, C. A.; Huber, L. The processing of human emotional faces by pet and lab dogs: evidence for lateralization and experience effects. PloS One 2016, 11(4), e0152393. [Google Scholar] [CrossRef]
- Beltran, W. A.; Cideciyan, A. V.; Guziewicz, K. E.; Iwabe, S.; Swider, M.; Scott, E. M. others Canine retina has a primate fovea-like bouquet of cone photoreceptors which is affected by inherited macular degenerations. PloS One 2014, 9(3), e90390. [Google Scholar] [CrossRef]
- Bensky, M. K.; Gosling, S. D.; Sinn, D. L. The world from a dog’s point of view: a review and synthesis of dog cognition research. In Advances in the Study of Behavior; 2013; Vol. 45, pp. 209–406. [Google Scholar]
- Berg, D. J.; Boehnke, S. E.; Marino, R. A.; Munoz, D. P.; Itti, L. Free viewing of dynamic stimuli by humans and monkeys. Journal of Vision 2009, 9(5), 19–19. [Google Scholar] [CrossRef]
- Blount, W. Studies of the movements of the eyelids of animals: blinking. Experimental Physiology 1927, 18(2), 111–125. [Google Scholar] [CrossRef]
- Boghen, D.; Troost, B.; Daroff, R.; Dell’Osso, L.; Birkett, J. Velocity characteristics of normal human saccades. Investigative Ophthalmology & Visual Science 1974, 13(8), 619–623. [Google Scholar]
- Bolker, B. M.; Brooks, M. E.; Clark, C. J.; Geange, S. W.; Poulsen, J. R.; Stevens, M. H. H.; White, J.-S. S. Generalized linear mixed models: a practical guide for ecology and evolution. Trends in Ecology & Evolution 2009, 24(3), 127–135. [Google Scholar]
- Carpenter, R. Movements of the eyes; 1988; Pion. [Google Scholar]
- Chen, C.-C.; Bockisch, C. J.; Straumann, D.; Huang, M. Y. Y. Saccadic and postsaccadic disconjugacy in zebrafish larvae suggests independent eye movement control. Frontiers in Systems Neuroscience 2016, 10, 80. [Google Scholar]
- Collewijn, H. The normal range of horizontal eye movements in the rabbit. Experimental Neurology 1970, 28(1), 132–143. [Google Scholar] [CrossRef] [PubMed]
- Collewijn, H.; Erkelens, C. J.; Steinman, R. M. Binocular co-ordination of human horizontal saccadic eye movements. The Journal of physiology 1988, 404(1), 157–182. [Google Scholar] [CrossRef]
- Collin, S. Behavioural ecology and retinal cell topography. In Adaptive Mechanisms in the Ecology of Vision; Springer, 1999; pp. 509–535. [Google Scholar]
- Dalrymple, K. A.; Manner, M. D.; Harmelink, K. A.; Teska, E. P.; Elison, J. T. An examination of recording accuracy and precision from eye tracking data from toddlerhood to adulthood. Frontiers in Psychology 2018, 9. [Google Scholar]
- Dell’Osso, L. F.; Hertle, R. W.; Williams, R. W.; Jacobs, J. B. A new surgery for congenital nystagmus: effects of tenotomy on an achiasmatic canine and the role of extraocular proprioception. Journal of American Association for Pediatric Ophthalmology and Strabismus 1999, 3(3), 166–182. [Google Scholar]
- Easter, S. S., Jr. The time course of saccadic eye movements in goldfish. Vision Research 1975, 15(3), 405–409. [Google Scholar]
- Elliott, J. H.; Futterman, S. Fluorescence in the tapetum of the cat’s eye: Identification, assay and localization of riboflavin in the tapetum and a proposed mechanism by which it may facilitate vision. Archives of Ophthalmology 1963, 70(4), 531–534. [Google Scholar] [CrossRef]
- Evinger, C.; Fuchs, A. Saccadic, smooth pursuit, and optokinetic eye movements of the trained cat. The Journal of Physiology 1978, 285(1), 209–229. [Google Scholar]
- Faragó, T.; Pongrácz, P.; Miklósi, A.; Huber, L.; Virányi, Z.; Range, F. Dogs’ expectation about signalers’ body size by virtue of their growls. PLoS One 2010, 5(12), e15175. [Google Scholar] [CrossRef] [PubMed]
- Fuchs, A. Saccadic and smooth pursuit eye movements in the monkey. The Journal of Physiology 1967, 191(3), 609–631. [Google Scholar] [PubMed]
- Granar, M. I.; Nilsson, B. R.; Hamberg-Nyström, H. L. Normal color variations of the canine ocular fundus, a retrospective study in swedish dogs. Acta Veterinaria Scandinavica 2011, 53(1), 13. [Google Scholar]
- Guagnin, M.; Perri, A. R.; Petraglia, M. D. PreNeolithic evidence for dog-assisted hunting strategies in Arabia. Journal of Anthropological Archaeology 2018, 49, 225–236. [Google Scholar]
- Hafed, Z. M.; Clark, J. J. Microsaccades as an overt measure of covert attention shifts. Vision Research 2002, 42(22), 2533–2545. [Google Scholar] [CrossRef]
- Harahush, B. K.; Hart, N. S.; Collin, S. P. Ontogenetic changes in retinal ganglion cell distribution and spatial resolving power in the brown-banded bamboo shark chiloscyllium punctatum (elasmobranchii). Brain, Behavior and Evolution 2014, 83(4), 286–300. [Google Scholar]
- Hardcastle, B. J.; Krapp, H. G. Evolution of biological image stabilization. Current Biology 2016, 26(20), R1010–R1021. [Google Scholar]
- Scotland, Historic Environment. Forensic reconstruction reveals face of man’s ancient four-legged friend. 2019. Available online: https://www.historicenvironment.scot/about-us/news/forensic-reconstruction-reveals-face-of-man-s-ancient-four-legged-friend/.
- Holmqvist, K.; Nyström, M.; Andersson, R.; Dewhurst, R.; Jarodzka, H.; van de Weijer, J. Eye tracking: A comprehensive guide to methods and measures; OUP Oxford, 2011. [Google Scholar]
- Huber, L.; Racca, A.; Scaf, B.; Virányi, Z.; Range, F. Discrimination of familiar human faces in dogs (canis familiaris). Learning and Motivation 2013, 44(4), 258–269. [Google Scholar]
- Hughes, A. The topography of vision in mammals of contrasting life style: comparative optics and retinal organisation. In The Visual System in Vertebrates; Springer, 1977; pp. 613–756. [Google Scholar]
- Ives, E. J.; MacKillop, E.; Olby, N. J. Saccadic oscillations in 4 dogs and 1 cat. Journal of Veterinary Internal Medicine 2018, 32(4), 1392–1396. [Google Scholar]
- Jacobs, J. B.; Dell’Osso, L. F.; Hertle, R. W.; Acland, G. M.; Bennett, J. Eye movement recordings as an effectiveness indicator of gene therapy in rpe65deficient canines: implications for the ocular motor system. Investigative Ophthalmology & Visual Science 2006, 47(7), 2865–2875. [Google Scholar]
- Kano, F.; Tomonaga, M. Species difference in the timing of gaze movement between chimpanzees and humans. Animal Cognition 2011, 14(6), 879–892. [Google Scholar] [CrossRef] [PubMed]
- Land, M. F. Eye movements of vertebrates and their relation to eye form and function. Journal of Comparative Physiology A 2015, 201(2), 195–214. [Google Scholar] [CrossRef] [PubMed]
- Land, M. F. Hodgson, T., Ed.; The Evolution of Gaze Shifting Eye Movements. In Processes of Visuospatial Attention and Working Memory. Current Topics in Behavioral Neurosciences; Springer, Cham, 2018; Vol 41. [Google Scholar]
- Langner, O.; Dotsch, R.; Bijlstra, G.; Wigboldus, D. H.; Hawk, S. T.; Van Knippenberg, A. Presentation and validation of the radboud faces database. Cognition and Emotion 2010, 24(8), 1377–1388. [Google Scholar] [CrossRef]
- Lenth, R. V.; et al. Least-squares means: the r package lsmeans. Journal of Statistical Software 2016, 69(1), 1–33. [Google Scholar] [CrossRef]
- Lindblad-Toh, K.; Wade, C. M.; Mikkelsen, T. S.; Karlsson, E. K.; Jaffe, D. B.; Kamal, M. others Genome sequence, comparative analysis and haplotype structure of the domestic dog. Nature 2005, 438(7069), 803. [Google Scholar] [CrossRef]
- Lupo, K. D. When and where do dogs improve hunting productivity? the empirical record and some implications for early upper paleolithic prey acquisition. Journal of Anthropological Archaeology 2017, 47, 139–151. [Google Scholar] [CrossRef]
- Martinez-Conde, S.; Macknik, S. L. Fixational eye movements across vertebrates: comparative dynamics, physiology, and perception. Journal of Vision 2008, 8(14), 28–28. [Google Scholar] [CrossRef]
- Martinez-Conde, S.; Otero-Millan, J.; Macknik, S. L. The impact of microsaccades on vision: towards a unified theory of saccadic function. Nature Reviews Neuroscience 2013, 14(2), 83. [Google Scholar] [CrossRef]
- McGreevy, P.; Grassi, T. D.; Harman, A. M. A strong correlation exists between the distribution of retinal ganglion cells and nose length in the dog. Brain, Behavior and Evolution 2004, 63(1), 13–22. [Google Scholar] [CrossRef]
- Miller, P. E.; Murphy, C. J. Vision in dogs. JournalAmerican Veterinary Medical Association 1995, 207, 1623–1634. [Google Scholar] [CrossRef]
- Mongillo, P.; Bono, G.; Regolin, L.; Marinelli, L. Selective attention to humans in companion dogs, canis familiaris. Animal Behaviour 2010, 80(6), 1057–1063. [Google Scholar] [CrossRef]
- Moody, J. A.; Clark, L. A.; Murphy, K. E. Canine history and breed clubs. Cold Spring Harbor Monograph Series 2006, 44(1). [Google Scholar]
- Mowat, F. M.; Petersen-Jones, S. M.; Williamson, H.; Williams, D. L.; Luthert, P. J.; Ali, R. R.; Bainbridge, J. W. Topographical characterization of cone photoreceptors and the area centralis of the canine retina. Molecular Vision 2008, 14, 2518. [Google Scholar]
- Nagasawa, M.; Murai, K.; Mogi, K.; Kikusui, T. Dogs can discriminate human smiling faces from blank expressions. Animal Cognition 2011, 14(4), 525–533. [Google Scholar] [CrossRef] [PubMed]
- Nakajima, S.; Takamatsu, Y.; Fukuoka, T.; Omori, Y. Spontaneous blink rates of domestic dogs: a preliminary report. Journal of Veterinary Behavior: Clinical Applications and Research 2011, 6(1), 95. [Google Scholar] [CrossRef]
- Niehorster, D. C.; Cornelissen, T. H.; Holmqvist, K.; Hooge, I. T.; Hessels, R. S. What to expect from your remote eye-tracker when participants are unrestrained. Behavior Research Methods 2018, 50(1), 213–227. [Google Scholar] [CrossRef]
- Niehorster, D. C.; Siu, W. W.; Li, L. Manual tracking enhances smooth pursuit eye movements. Journal of Vision 2015, 15(15), 11–11. [Google Scholar] [CrossRef] [PubMed]
- Nyström, M.; Andersson, R.; Holmqvist, K.; Van De Weijer, J. The influence of calibration method and eye physiology on eyetracking data quality. Behavior Research Methods 2013, 45(1), 272–288. [Google Scholar] [CrossRef]
- Nyström, M.; Holmqvist, K. An adaptive algorithm for fixation, saccade, and glissade detection in eyetracking data. Behavior Research Methods 2010, 42(1), 188–204. [Google Scholar] [CrossRef]
- Ostrander, E. A.; Galibert, F.; Patterson, D. F. Canine genetics comes of age. Trends in Genetics 2000, 16(3), 117–124. [Google Scholar] [CrossRef]
- Peichlcu, L. Topography of ganglion cells in the dog and wolf retina. Journal of Comparative Neurology 1992, 324(4), 603–620. [Google Scholar] [CrossRef] [PubMed]
- Perri, A. R. Hunting dogs as environmental adaptations in jomon japan. Antiquity 2016, 90(353), 1166–1180. [Google Scholar] [CrossRef]
- Pirie, A. Crystals of riboflavin making up the tapetum lucidum in the eye of a lemur. Nature 1959, 183(4666), 985. [Google Scholar] [CrossRef]
- Provis, J. M.; Dubis, A. M.; Maddess, T.; Carroll, J. Adaptation of the central retina for high acuity vision: cones, the fovea and the avascular zone. Progress in Retinal and Eye Research 2013, 35, 63–81. [Google Scholar] [CrossRef] [PubMed]
- Quesada, A.; Garcia-Lomas, V.; Espinar, A.; Genis-Galvez, J.; Prada, F. Horizontal cells in the chameleon retina. European Journal of Anatomy 2019, 3(1), 13–25. [Google Scholar]
- R Core Team. R: A language and environment for statistical computing [Computer software manual]; Vienna, Austria, 2019; Available online: http://www.R-project.org/.
- Racca, A.; Amadei, E.; Ligout, S.; Guo, K.; Meints, K.; Mills, D. Discrimination of human and dog faces and inversion responses in domestic dogs (canis familiaris). Animal Cognition 2010, 13(3), 525–533. [Google Scholar] [CrossRef]
- Racca, A.; Guo, K.; Meints, K.; Mills, D. S. Reading faces: differential lateral gaze bias in processing canine and human facial expressions in dogs and 4-year-old children. PLoS One 2012, 7(4), e36076. [Google Scholar] [CrossRef] [PubMed]
- Robinson, D. The mechanics of human saccadic eye movement. The Journal of Physiology 1964, 174(2), 245–264. [Google Scholar] [CrossRef]
- Sherman, S. M.; Wilson, J. R. Behavioral and morphological evidence for binocular competition in the postnatal development of the dog’s visual system. Journal of Comparative Neurology 1975, 161(2), 183–195. [Google Scholar] [CrossRef]
- Sini, K.; Kelawala, D.; Patil, D.; Parikh, P.; Parulekar, E. Ocular funduscopy of different canine breeds in india-a clinical study of 70 normal dogs. Intas Polivet 2016, 17(2), 328–334. [Google Scholar]
- Skinner, B. How to teach animals. Scientific American 1951, 185, 26–29. [Google Scholar] [CrossRef]
- Somppi, S.; Törnqvist, H.; Hänninen, L.; Krause, C.; Vainio, O. Dogs do look at images: eye tracking in canine cognition research. Animal Cognition 2012, 15(2), 163–174. [Google Scholar] [CrossRef]
- Somppi, S.; Törnqvist, H.; Hänninen, L.; Krause, C. M.; Vainio, O. How dogs scan familiar and inverted faces: an eye movement study. Animal Cognition 2014, 17(3), 793–803. [Google Scholar] [CrossRef] [PubMed]
- Somppi, S.; Törnqvist, H.; Kujala, M. V.; Hänninen, L.; Krause, C. M.; Vainio, O. Dogs evaluate threatening facial expressions by their biological validity–evidence from gazing patterns. PloS One 2016, 11(1), e0143047. [Google Scholar] [CrossRef]
- Somppi, S.; Törnqvist, H.; Topal, J.; Koskela, A.; Hänninen, L.; Krause, C. M.; Vainio, O. Nasal oxytocin treatment biases dogs’ visual attention and emotional response toward positive human facial expressions. Frontiers in Psychology 2017, 8, 1854. [Google Scholar] [CrossRef]
- Sparks, D. L. The brainstem control of saccadic eye movements. Nature Reviews Neuroscience 2002, 3(12), 952. [Google Scholar] [CrossRef] [PubMed]
- Stone, H. R.; McGreevy, P. D.; Starling, M. J.; Forkman, B. Associations between domestic-dog morphology and behaviour scores in the dog mentality assessment. PloS One 2016, 11(2), e0149403. [Google Scholar] [CrossRef]
- Stone, S.; Thomas, J.; Zakian, V. The passive potatory characteristics of the dog’s eye and its attachments. The Journal of Physiology 1965, 181(2), 337–349. [Google Scholar] [CrossRef] [PubMed]
- Téglás, E.; Gergely, A.; Kupán, K.; Miklósi, Á.; Topál, J. Dogs’ gaze following is tuned to human communicative signals. Current Biology 2012, 22(3), 209–212. [Google Scholar] [CrossRef]
- Törnqvist, H.; Somppi, S.; Koskela, A.; Krause, C. M.; Vainio, O.; Kujala, M. V. Comparison of dogs and humans in visual scanning of social interaction. Royal Society Open Science 2015, 2(9), 150341. [Google Scholar] [CrossRef]
- Veilleux, C. C.; Kirk, E. C. Visual acuity in mammals: effects of eye size and ecology. Brain, Behavior and Evolution 2014, 83(1), 43–53. [Google Scholar] [PubMed]
- Walk, R. D.; Gibson, E. J. A comparative and analytical study of visual depth perception. Psychological Monographs: General and Applied 1961, 75(15), 1. [Google Scholar]
- Wass, S. V.; Forssman, L.; Leppänen, J. Robustness and precision: How data quality may influence key dependent variables in infant eye-tracker analyses. Infancy 2014, 19(5), 427–460. [Google Scholar] [CrossRef]
- Wass, S. V.; Smith, T. J.; Johnson, M. H. Parsing eye-tracking data of variable quality to provide accurate fixation duration estimates in infants and adults. Behavior Research Methods 2013, 45(1), 229–250. [Google Scholar] [CrossRef] [PubMed]
- Yamaue, Y.; Hosaka, Y. Z.; Uehara, M. Macroscopic and histological variations in the cellular tapetum in dogs. Journal of Veterinary Medical Science 2014, 76(8), 1099–1103. [Google Scholar]




| Main sequence (deg/sec per deg) | ||
| Species | Slope | Publications |
| human | ≈ 15 | Berg et al. (2009, Fig.3) |
| ≈ 20 | Boghen et al. (1974, Fig.2) | |
| monkey | ≈ 33 | Fuchs (1967, Fig.5 & Fig.16) |
| ≈ 33 | Berg et al. (2009, Fig.3) | |
| cat | ≈ 13.6 | Evinger & Fuchs (1978, Fig.3) |
| rabbit | ≈ 13 | Collewijn (1970, Fig.5) |
| goldfish | 21 | Easter Jr (1975, Fig.5) |
| zebrafish | ≈ 11.2 | Chen et al. (2016, Tab.1) |
| Carpenter’s relationship (ms/deg) | ||
| Species | Slope | Publications |
| human | ≈ 2.2 | Robinson (1964, Fig.3) |
| 2.2 | Fuchs (1967, Fig.15) | |
| monkey | 1.1 | Fuchs (1967, Fig.15) |
| cat | ≈ 3.1 | Evinger & Fuchs (1978, Fig.3) |
| goldfish | ≈ 2.8 | Easter Jr (1975, Fig.5) |
| Species | ||
| Eye movements | Human | Dog |
| Saccades | 2667/8625 | 1475/2618 |
| Fixations | 7469/9164 | 1415/3095 |

| Saccade | Fixation | |||||||||||||||
| Dog | Breed | Skull shape | sex | age | Main sequence | Carpenter's relationship | Time to peak velocity | |||||||||
| Intercept (deg/s) | Slope (deg/s/deg) | Intercept (ms) | Slope (ms/deg) | Intercept (ms) | Slope (ms/deg) | Amplitude (deg) | Duration (ms) | Peak velocity (deg/s) | Velocity (deg/s) | Skewness (%) | Duration (ms) | |||||
| 1 | Akita Inu | Brachy | f | 8 | 99.9 | 14.3 | 61.7 | 3.6 | 23.7 | 1.6 | 9.5 | 96.9 | 236.4 | 12.5 | 41.8 | 2070.7 |
| 2 | Australian Shepherd | Meso | m | 1 | 78.5 | 18.1 | 59.1 | 3.4 | 23.4 | 1.3 | 8.7 | 90.2 | 225.9 | 12.7 | 37.5 | 1767.1 |
| 3 | Border Collie | Meso | f | 6 | 81.2 | 16.9 | 68.5 | 3.9 | 23.9 | 2.2 | 9 | 103.4 | 230.4 | 14.2 | 41.5 | 1144.3 |
| 4 | Border Collie | Meso | f | 6 | 71.7 | 13.9 | 66.4 | 4.2 | 22.9 | 2 | 8.8 | 103.2 | 199.1 | 14 | 38.8 | 2089.9 |
| 5 | Border Collie | Meso | m | 3 | 91.7 | 13.7 | 80.6 | 6.9 | 23.5 | 3 | 9 | 135 | 218.7 | 17.9 | 41.1 | 1890.6 |
| 6 | Border Collie | Meso | f | 3 | 95 | 15 | 79.9 | 4.5 | 23 | 3.5 | 7.6 | 113.3 | 206.9 | 18.4 | 40.2 | 1270.7 |
| 7 | Border Collie | Meso | m | 2 | 79.5 | 14 | 62.5 | 5.2 | 20.7 | 2.9 | 9.6 | 112.1 | 216.8 | 13.5 | 42.3 | 1061.2 |
| 8 | Boxer | Brachy | f | 3 | 146.8 | 13.2 | 67.9 | 3.2 | 26.2 | 1.6 | 8.7 | 97.5 | 251.4 | 14.7 | 41.6 | 1338.3 |
| 9 | Golden Retriever | Meso | f | 12 | 96 | 15.8 | 60.7 | 2.4 | 24.6 | 1.1 | 10.2 | 87 | 257.4 | 9.5 | 41.3 | 1693.1 |
| 10 | Jack Russell Terrier | Meso | f | 8 | 111.1 | 10.2 | 70 | 4.8 | 20.9 | 2.3 | 8.5 | 109.9 | 202.7 | 15.9 | 36.5 | 1729.1 |
| 11 | mix | Meso | m | 5 | 41.6 | 15 | 80.1 | 4 | 29.9 | 2.8 | 8.9 | 116 | 178.2 | 16.5 | 47.5 | 1299.1 |
| 12 | mix | Meso | m | 3 | 81 | 16.4 | 101.8 | 3 | 27.1 | 1.8 | 9.1 | 129.7 | 228.1 | 18.3 | 37.3 | 1481.9 |
| 13 | mix | Meso | f | 5 | 114 | 10.6 | 100.9 | 5.8 | 18 | 4.1 | 9.1 | 148.6 | 218.1 | 19.9 | 38.5 | 1839.5 |
| 14 | mix | Meso | f | 5 | 101.9 | 12 | 71.5 | 3.6 | 26 | 1.4 | 11 | 115.7 | 245.9 | 11.4 | 37.3 | 1212.2 |
| 15 | Parson Russell Terrier | Meso | m | 5 | 111.4 | 8.9 | 73.2 | 9.8 | 10.5 | 4.7 | 10 | 165.7 | 209.4 | 18.1 | 35.1 | 1805.4 |
| 16 | Petit Brabancon | Brachy | m | 7 | 81 | 17.2 | 62.7 | 4 | 20.9 | 2.5 | 9.2 | 100.7 | 234.4 | 12.6 | 42.4 | 1897.3 |
| 17 | Rhodesian Ridgeback | Meso | m | 6 | 92.5 | 15.6 | 59.4 | 4.3 | 23.3 | 1.7 | 8.2 | 93.4 | 215.9 | 13.9 | 39.3 | 1830.9 |
| 18 | Rhodesian Ridgeback | Meso | f | 5 | 144.3 | 25.2 | 62 | 4.7 | 18.2 | 2.7 | 8.1 | 98 | 293.5 | 14.5 | 37 | 1427.4 |
| 19 | Siberian Husky | Meso | f | 2 | 73.6 | 19.5 | 74.3 | 5.6 | 25.1 | 1.8 | 8 | 116.7 | 222.1 | 17.7 | 36.8 | 1239.7 |
| 20 | Siberian Husky | Meso | f | 8 | 77.9 | 14.4 | 66 | 3 | 25.8 | 1 | 8.7 | 93.6 | 206.9 | 13.3 | 37.1 | 2659.3 |
Copyright © 2020. This article is licensed under a Creative Commons Attribution 4.0 International License.
Share and Cite
Park, S.Y.; Bacelar, C.E.; Holmqvist, K. Dog Eye Movements Are Slower than Human Eye Movements. J. Eye Mov. Res. 2019, 12, 1-20. https://doi.org/10.16910/jemr.12.8.4
Park SY, Bacelar CE, Holmqvist K. Dog Eye Movements Are Slower than Human Eye Movements. Journal of Eye Movement Research. 2019; 12(8):1-20. https://doi.org/10.16910/jemr.12.8.4
Chicago/Turabian StylePark, Soon Young, Catarina Espanca Bacelar, and Kenneth Holmqvist. 2019. "Dog Eye Movements Are Slower than Human Eye Movements" Journal of Eye Movement Research 12, no. 8: 1-20. https://doi.org/10.16910/jemr.12.8.4
APA StylePark, S. Y., Bacelar, C. E., & Holmqvist, K. (2019). Dog Eye Movements Are Slower than Human Eye Movements. Journal of Eye Movement Research, 12(8), 1-20. https://doi.org/10.16910/jemr.12.8.4