The Mean Point of Vergence Is Biased Under Projection
Abstract
Introduction
- ideally, human gaze direction is controlled to bring the object into the fovea centrals [20], which has a non-negligible extent of 1.5−2°.
- it is well-known that in binocular vision, many observers have a dominant eye which is more accurately directed towards the target (in about 70 % of the cases, the right eye) and a weaker eye, which may be considerably off-target [2,3,21], which is called binocular disparity (strabismus in extreme cases).
Part 1: Mathematical model and simulation



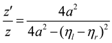
Eye ray errors
Qualitative analytical analysis of bias
Part 2: Human data
Participants
Apparatus and recording setup

Design and procedure
Analysis Methods and Results
Comparing sets of covariance matrices
Results
Minimizing the uncertainty in vergence point estimation
Discussion
Conclusions
Ethics and Conflict of Interest
Acknowledgments
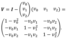
Appendix A: Analytical analysis of bias
- –
- p(ηl, ηr) = p(−ηl, ηr) by changing the sign of left eye,
- –
- p(ηl , ηr) = p(ηl, −ηr) by changing the sign of right eye,
- –
- p(ηl , ηr) = p(−ηl, −ηr) by changing the sign of both eyes,
- –
- p(ηl , ηr) = p(ηr, ηl) by swapping between left and right eyes,
- –
- p(ηl , ηr) = p(−ηr, ηl) by swapping and changing one sign,
- –
- p(ηl , ηr) = p(ηr, −ηl) by swapping and changing one sign,
- –
- p(ηl , ηr) = p(−ηr, −ηl) by swapping and changing both signs.

Appendix B: Python script for simulation
Appendix C: Mathematica notebook for analytical analysis
References
- Cassin, B.; Rubin, M.L.; Solomon, S. Dictionary of eye terminology; Triad Publishing Company Gainsville, 1984. [Google Scholar]
- Collewijn, H.; Erkelens, C.J.; Steinman, R.M. Voluntary binocular gaze-shifts in the plane of regard: Dynamics of version and vergence. Vision Research 1995, 35, 3335–3358. [Google Scholar] [CrossRef] [PubMed]
- Collewijn, H.; Erkelens, C.J.; Steinman, R.M. Trajectories of the human binocular fixation point during conjugate and non-conjugate gaze-shifts. Vision Research 1997, 37, 1049–1069. [Google Scholar] [CrossRef]
- Liversedge, S.P.; White, S.J.; Findlay, J.M.; Rayner, K. Binocular coordination of eye movements during reading. Vision Research 2006, 46, 2363–2374. [Google Scholar] [CrossRef] [PubMed]
- Nuthmann, A.; Kliegl, R. An examination of binocular reading fixations based on sentence corpus data. Journal of Vision 2009, 9, 31. [Google Scholar] [CrossRef] [PubMed]
- Hooge, I.T.; Hessels, R.S.; Nyström, M. Do pupil-based binocular video eye trackers reliably measure vergence? Vision Research 2019, 156, 1–9. [Google Scholar] [CrossRef]
- Hammer, J.H.; Maurus, M.; Beyerer, J. Real-time 3D gaze analysis in mobile applications. In Proceedings of the 2013 Conference on Eye Tracking South Africa, Cape Town, South Africa, 29–31 August 2013; ACM: New York; pp. 75–78. [Google Scholar] [CrossRef]
- Maurus, M.; Hammer, J.H.; Beyerer, J. Realistic heatmap visualization for interactive analysis of 3d gaze data. In Proceedings of the Symposium on Eye Tracking Research and Applications (ETRA ’14), Safety Harbor, Florida, USA, 26–28 March 2014; ACM: New York, March 2014; pp. 295–298. [Google Scholar]
- Wang, X.; Lindlbauer, D.; Lessig, C.; Alexa, M. Accuracy of monocular gaze tracking on 3d geometry. In Eye Tracking and Visualization; Burch, M., Chuang, L., Fisher, B., Schmidt, A., Weiskopf, D., Eds.; Springer Cham: Berlin, 2017; pp. 169–184. [Google Scholar]
- Gilbert, J.; Azhari, H.; Ali, H.; Quintão, C.; Sliwa, J.; Ruiz, C.; Fred, A.; Gamboa, H. (Eds.) 3D gaze estimation using eye vergence. In Proceedings of the International Joint Conference on Biomedical Engineering Systems and Technologies (BIOSTEC), Rome, Italy, 21–23 February 2016; SCITEPRESS - Science and Technology Publications, Lda: Portugal, 2016; pp. 125–131. [Google Scholar]
- Hennessey, C.; Lawrence, P. Noncontact binocular eyegaze tracking for point-of-gaze estimation in three dimensions. IEEE Transactions on Biomedical Engineering 2009, 56, 790–799. [Google Scholar] [CrossRef]
- Maggia, C.; Guyader, N.; Guérin-Dugué, A. Using natural versus artificial stimuli to perform calibration for 3D gaze tracking. Proc. SPIE 8651, Human Vision and Electronic Imaging XVIII, Burlingame, CA, United States, 3–7 February 2013; SPIE: San Francisco, March 2013. [Google Scholar]
- Pfeiffer, T.; Renner, P. Eyesee3d: A low-cost approach for analyzing mobile 3d eye tracking data using computer vision and augmented reality technology. In Proceedings of the Symposium on Eye Tracking Research and Applications (ETRA ’14), Safety Harbor, Florida, USA, 26–28 March 2014; ACM: New York, March 2014; pp. 369–376. [Google Scholar]
- Pfeiffer, T.; Renner, P.; Pfeiffer-Lessmann, N. EyeSee3D 2.0: Model-based real-time analysis of mobile eye-tracking in static and dynamic three-dimensional scenes. In Proceedings of the Ninth Biennial ACM Symposium on Eye Tracking Research & Applications (ETRA ’16), Charleston, SC, United States, 14–17 March 2016; ACM: New York, March 2016; pp. 189–196. [Google Scholar]
- Holmqvist, K.; Nyström, M.; Andersson, R.; Dewhurst, R.; Jarodzka, H.; Van de Weijer, J. Eye tracking: A comprehensive guide to methods and measures; OUP Oxford, 2011. [Google Scholar]
- Niehorster, D.C.; Cornelissen, T.H.W.; Holmqvist, K.; Hooge, I.T.C.; Hessels, R.S. What to expect from your remote eye-tracker when participants are unrestrained. Behavior Research Methods 2018, 50, 213–227. [Google Scholar] [CrossRef]
- Wang, D.; Mulvey, F.B.; Pelz, J.B.; Holmqvist, K. A study of artificial eyes for the measurement of precision in eye-trackers. Behavior Research Methods 2017, 49, 947–959. [Google Scholar] [CrossRef]
- Drewes, J.; Zhu, W.; Hu, Y.; Hu, X. Smaller is better: drift in gaze measurements due to pupil dynamics. PLoS ONE 2014, 9, 1–6. [Google Scholar] [CrossRef]
- Holmqvist, K.; Blignaut, P.; Niehorster, D. Small eye movements cannot be reliably measured by current video-based eye-trackers; Under preparation for Behavior Research Methods, 2019. [Google Scholar]
- Atchison, D.A.; Smith, G. Optics of the human eye; Butterworth-Heinemann Oxford, 2000. [Google Scholar]
- Erkelens, C.J.; Steinman, R.M.; Collewijn, H. Ocular vergence under natural conditions. II. Gaze shifts between real targets differing in distance and direction. Proc. R. Soc. Lond. B 1989, 236, 441–465. [Google Scholar] [CrossRef]
- Cerrolaza, J.J.; Villanueva, A.; Cabeza, R. Study of polynomial mapping functions in video-oculography eye trackers. ACM Trans. Comput.-Hum. Interact 2012, 19, 10. [Google Scholar] [CrossRef]
- Essig, K.; Pomplun, M.; Ritter, H. A neural network for 3D gaze recording with binocular eye trackers. International Journal of Parallel, Emergent and Distributed Systems 2006, 21, 79–95. [Google Scholar] [CrossRef]
- Tian, Y.; Styan, G.P. Rank equalities for idempotent and involutary matrices. Linear Algebra and its Applications 2001, 335, 101–117. [Google Scholar] [CrossRef]
- Niehorster, D.C.; Zemblys, R.; Hein, O.; Beelders, T.; Holmqvist, K. Noise in eye-tracker data: what it is and what shapes it. Behavior Research Methods (in prep), 2019. [Google Scholar]
- Holmqvist, K.; Andersson, R. Eye Tracking. A comprehensive guide to methods, paradigms, and measures; Lund Eye-tracking Research Institute, 2017. [Google Scholar]
- Rencher, A.C.; Schimek, M.G. Methods of multivariate analysis. Computational Statistics 1997, 12, 422. [Google Scholar]
- Förstner, W.; Moonen, B. A metric for covariance matrices. In Geodesy-The Challenge of the 3rd Millennium; Springer: Berlin, 2003; pp. 299–309. [Google Scholar]
- Dryden, I.L.; Koloydenko, A.; Zhou, D. Non-Euclidean statistics for covariance matrices, with applications to diffusion tensor imaging. The Appl. Stat 2009, 3, 1102–1123. [Google Scholar] [CrossRef]
- Sachs, L. Applied statistics: a handbook of techniques; Springer Science & Business Media, 2012. [Google Scholar]
- Liversedge, S.P.; Rayner, K.; White, S.J.; Findlay, J.M.; McSorley, E. Binocular coordination of the eyes during reading. Current Biology 2006, 16, 1726–1729. [Google Scholar] [CrossRef]
- Kirkby, J.A.; Blythe, H.I.; Drieghe, D.; Benson, V.; Liversedge, S.P. Investigating eye movement acquisition and analysis technologies as a causal factor in differential prevalence of crossed and uncrossed fixation disparity during reading and dot scanning. Behavior Research Methods 2013, 45, 664–678. [Google Scholar] [CrossRef] [PubMed][Green Version]
- Švede, A.; Treija, E.; Jaschinski, W.; Krūmina, G. Monocular versus binocular calibrations in evaluating fixation disparity with a video-based eye-tracker. Perception 2015, 44, 1110–1128. [Google Scholar] [CrossRef]
- Ding, Y.; Naber, M.; Gayet, S.; Van der Stigchel, S.; Paffen, C.L. Assessing the generalizability of eye dominance across binocular rivalry, onset rivalry, and continuous flash suppression. Journal of Vision 2018, 18, 6. [Google Scholar] [CrossRef]
- Jaschinski, W.; Švede, A.; Jainta, S. Relation between fixation disparity and the asymmetry between convergent and divergent disparity step responses. Vision Research 2008, 48, 253–263. [Google Scholar] [CrossRef]
- Saladin, J.J. Convergence insufficiency, fixation disparity, and control systems analysis. American journal of optometry and physiological optics 1986, 63, 645–653. [Google Scholar] [CrossRef] [PubMed]
- Švede, A.; Hoormann, J.; Jainta, S.; Jaschinski, W. Subjective fixation disparity affected by dynamic asymmetry, resting vergence, and nonius bias. Investigative ophthalmology & visual science 2011, 52, 4356–4361. [Google Scholar] [CrossRef]
- Jaschinski, W.; Schroth, V. Ocular prevalence: difference between crossed and uncrossed disparities of stereo objects. Strabismus 2008, 16, 159–164. [Google Scholar] [CrossRef] [PubMed]
- Dalziel, C.C. Effect of vision training on patients who fail Sheard's criterion. American journal of optometry and physiological optics 1981, 58, 21–23. [Google Scholar] [CrossRef]
- de Meij, L.; Telleman, M.A.J.; Luijten, M.R.C.; Polling, J.R.; Gutter, M. An Optimal Measurement of Fixation Disparity Using Ogle’s Apparatus. Strabismus 2017, 25, 128–133. [Google Scholar] [CrossRef]











Copyright © 2019. This article is licensed under a Creative Commons Attribution 4.0 International License.
Share and Cite
Wang, X.; Holmqvist, K.; Alexa, M. The Mean Point of Vergence Is Biased Under Projection. J. Eye Mov. Res. 2019, 12, 1-27. https://doi.org/10.16910/jemr.12.4.2
Wang X, Holmqvist K, Alexa M. The Mean Point of Vergence Is Biased Under Projection. Journal of Eye Movement Research. 2019; 12(4):1-27. https://doi.org/10.16910/jemr.12.4.2
Chicago/Turabian StyleWang, Xi, Kenneth Holmqvist, and Marc Alexa. 2019. "The Mean Point of Vergence Is Biased Under Projection" Journal of Eye Movement Research 12, no. 4: 1-27. https://doi.org/10.16910/jemr.12.4.2
APA StyleWang, X., Holmqvist, K., & Alexa, M. (2019). The Mean Point of Vergence Is Biased Under Projection. Journal of Eye Movement Research, 12(4), 1-27. https://doi.org/10.16910/jemr.12.4.2