The Impact of Owner-Managers’ Personality Traits on Their Small Hospitality Enterprise Performance in Saudi Arabia
Abstract
1. Introduction
2. Review of Literature
2.1. Personality Traits and Small Hospitality Enterprises Performance
2.1.1. Openness and Small Hospitality Enterprises Performance
2.1.2. Conscientiousness and Small Hospitality Enterprises Performance
2.1.3. Extraversion and Small Hospitality Enterprises’ Performance
2.1.4. Agreeableness and Small Hospitality Enterprises Performance
2.1.5. Neuroticism and Small Hospitality Enterprises Performance
3. Methods
3.1. Research Sample
3.2. Measurement Scales
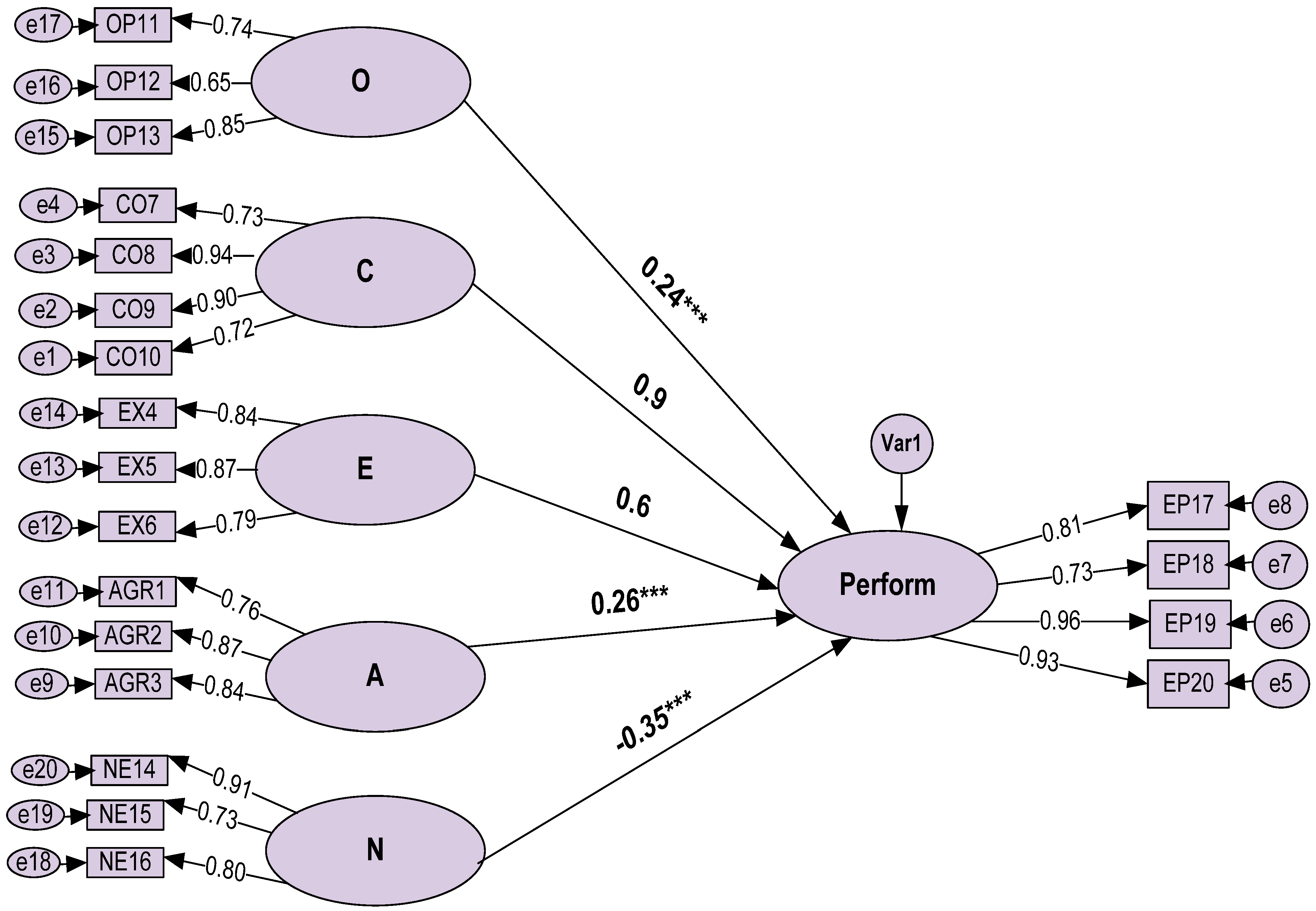
4. The Results
4.1. The Results of Factorial Analysis
4.2. Testing the Research Hypotheses
5. Discussion
6. Conclusions
Author Contributions
Funding
Data Availability Statement
Conflicts of Interest
Appendix A
| Abbr | Scales and Items | Authors |
|---|---|---|
| Agreeableness * | ||
| AGR1 | “I_am_on_good_terms_with_nearly_everyone” | Spence et al. (2012) Teng et al. (2011) |
| AGR2 | “I_often_get_into_arguments_with_my_family_and_co-workers” | |
| AGR3 | “Some_people_think_of_me_as_cold_and_calculating” | |
| Extroversion * | ||
| EX4 | “I_often_feel_as_if_I_am_bursting_with_energy” | Spence et al. (2012) Teng et al. (2011) |
| EX5 | “I_am_a_cheerful,_high-spirited_person” | |
| EX6 | “I_am_a_very_active_person” | |
| Conscientiousness * | ||
| CO7 | “I_am_pretty_good_about_pacing_myself_so_as_to_get_things_done_on_time” | Spence et al. (2012) Teng et al. (2011) |
| CO8 | “I_make_plans_and_stick_to_them” | |
| CO9 | “I_continue_my_job_until_everything_is_perfect” | |
| CO10 | “I_never_seem_to_be_able_to_get_organized” | |
| Openness to experience * | ||
| OP11 | “I_often_try_new_things” | Spence et al. (2012) Teng et al. (2011) |
| OP12 | “I_often_enjoy_playing_with_theories_or_abstract_ideas” | |
| OP13 | “I_have_little_interest_in_speculating_on_the_nature_of_the_universe_or_the_human_condition” | |
| Neuroticism * | ||
| NE14 | “I_often_feel_inferior_to_others” | Spence et al. (2012) Teng et al. (2011) |
| NE15 | “When_I_am_under_a_great_deal_of_stress,_sometimes_I_feel_like_I_am_going_to_pieces” | |
| NE16 | “I_seldom_feel_lonely_or_blue” | |
| Enterprise performance | ||
| EP17 | “Overall_performance_of_the_organization” 1 means significantly worse off and 5 means significantly better off. | Kachali et al. (2012) |
| EP18 | “Level_of_debt” 1 indicates very negative and 5 means very positive | |
| EP19 | “Organization’s_cash_flow” 1 means very poor and 5 equals excellent | |
| EP20 | “Organization’s_level_of_profitability” 1 means very poor and 5 equals excellent | |
Appendix B
| Measured Variable | KMO | TVE | α |
|---|---|---|---|
| Agreeableness | 0.794 | 77.705 | 0.849 |
| Extroversion | 0.861 | 74.841 | 0.827 |
| Conscientiousness | 0.817 | 72.126 | 0.871 |
| Openness to experience | 0.759 | 86.195 | 0.920 |
| Neuroticism | 0.701 | 58.709 | 0.985 |
| Enterprise performance | 0.833 | 45.885 | 0.817 |
References
- Ahmad, Sayed Z. 2015. Entrepreneurship in the small and medium-sized hotel sector. Current Issues in Tourism 18: 328–49. [Google Scholar] [CrossRef]
- Aljarodi, Abdullah. 2020. Female Entrepreneurial Activity in Saudi Arabia: An Empirical Study. Ph.D. thesis, Universitat Autonoma de Barcelona, International Doctorate in Entrepreneurship and Management, Bellaterra, Spain. [Google Scholar]
- Alkahtani, Nasser Saad, M. M. Sulphey, Kevin Delany, and Anass Hamad Elneel Adow. 2020. The Influence of Psychological capital on Workplace Wellbeing and Employee Engagement among Saudi Workforce. Humanities and Social Sciences Reviews 8: 233–45. [Google Scholar] [CrossRef]
- Al-Mamary, Yasser Hassan, and Mohammad Alshallaqi. 2022. Impact of autonomy, innovativeness, risk-taking, proactiveness, and competitive aggressiveness on students’ intention to start a new venture. Journal of Innovation & Knowledge 7: 100239. [Google Scholar]
- Al-Mamary, Yaser Hasan Salem, Mohammed Abdulrab, Mohammed A. Alwaheeb, and Naif Ghazi M. Alshammari. 2020. Factors Impacting Entrepreneurial Intentions among University Students in Saudi Arabia: Testing an Integrated Model of TPB and EO. Education and Training 62: 779–803. [Google Scholar] [CrossRef]
- Aloulou, Wassim J. 2021. The Influence of Institutional Context on Entrepreneurial Intention: Evidence from the Saudi Young Community. Journal of Enterprising Communities: People and Places in the Global Economy 16: 677–98. [Google Scholar] [CrossRef]
- Alshebami, Ali, and Abdullah Seraj. 2021. The Impact of Intellectual Capital on the Establishment of Ventures for Saudi Small Entrepreneurs: GEM Data Empirical Scrutiny. Review of International Geographical Education Online 11: 129–42. [Google Scholar]
- Antoncic, Jasna Auer, Bostjan Antoncic, Darja Kobal Grum, and Mitja Ruzzier. 2018. The big five personality of the SME manager and their company’s performance. Journal of Developmental Entrepreneurship 23: 1850021. [Google Scholar] [CrossRef]
- Aragón-Sánchez, Antonio, and Gregorio Sánchez-Marín. 2005. Strategic orientation, management characteristics, and performance: A study of Spanish SMEs. Journal of Small Business Management 43: 287–308. [Google Scholar] [CrossRef]
- Arkorful, Helen, and Sam Kris Hilton. 2021. Locus of Control and Entrepreneurial Intention: A Study in a Developing. Journal of Economic and Administrative Sciences 38: 333–44. [Google Scholar] [CrossRef]
- Barbero, José L., José C. Casillas, and Howard D. Feldman. 2011. Managerial capabilities and paths to growth as determinants of high-growth small and medium-sized enterprises. International Small Business Journal 29: 671–94. [Google Scholar] [CrossRef]
- Barrick, Murray R., and Michael K. Mount. 1993. Autonomy as a moderator of the relationships between the Big Five personality dimensions and job performance. Journal of Applied Psychology 78: 111–18. [Google Scholar] [CrossRef]
- Barrick, Murray R., Greg L. Stewart, and Mike Piotrowski. 2002. Personality and Job Performance: Test of the mediating effects of motivation among sales representatives. Journal of Applied Psychology 87: 43–51. [Google Scholar] [CrossRef] [PubMed]
- Barrick, Murray R., Laura Parks, and Michael K. Mount. 2005. Self-monitoring as a moderator of the relationships between personality traits and performance. Personnel Psychology 58: 745–67. [Google Scholar] [CrossRef]
- Barrick, Murray R., Michael K. Mount, and Rashmi Gupta. 2003. Meta analysis of the relationship between the five-factor model of personality and Holland’s occupational types. Personnel Psychology 56: 45–74. [Google Scholar] [CrossRef]
- Basri, Weal. 2020. Examining the impact of artificial intelligence (AI)-assisted social media marketing on the performance of small and medium enterprises: Toward effective business management in the Saudi Arabian context. International Journal of Computational Intelligence Systems 13: 142. [Google Scholar] [CrossRef]
- Baum, J. Robert, and Edwin A. Locke. 2004. The relationship of entrepreneurial traits, skill, and motivation to subsequent venture growth. Journal of Applied Psychology 89: 587–92. [Google Scholar] [CrossRef]
- Baum, J. Robert, Michael Frese, and Robert A. Baron. 2007. The Psychology of Entrepreneurship. Mahwah: Lawrence Erlbaum Associates, Inc. [Google Scholar]
- Baum, J. Robert, Edwin A. Locke, and Ken G. Smith. 2001. A multidimensional model of venture growth. Academy of Management Journal 44: 292–303. [Google Scholar] [CrossRef]
- Bentler, Peter M., and Douglas G. Bonett. 1980. Significance Tests and Goodness-Of-Fit in the Analysis of Covariance Structures. Psychological bulletin 88: 588–600. [Google Scholar] [CrossRef]
- Bistrova, Julia, Natalja Lace, and Valentina Peleckienė. 2011. The influence of capital structure on baltic corporate performance. Journal of Business Economics and Management 12: 655–69. [Google Scholar] [CrossRef]
- Boyle, Gregory J., Gerald Matthews, and Donald H. Saklofske, eds. 2008. Personality theories and models: An overview. The Sage Handbook of Personality Theory and Assessment. Personality Measurement and Testing 2: 1–29. [Google Scholar]
- Buhalis, Dimitrios. 1995. The Impact of Information Telecommunication Technologies on Tourism Channels: Implications for the Small and Medium-Sized Tourism Enterprises. Ph.D. thesis, University of Surrey, Guildford, UK. [Google Scholar]
- Cai, Li, Majid Murad, Sheikh Farhan Ashraf, and Shumaila Naz. 2021. Impact of dark tetrad personality traits on nascent entrepreneurial behavior: The mediating role of entrepreneurial intention. Frontiers of Business Research in China 15: 7. [Google Scholar] [CrossRef]
- Caliendo, Marco, Frank Fossen, and Alexander S. Kritikos. 2014. Personality characteristics and the decisions to become and stay self-employed. Small Business Econmy 42: 787–814. [Google Scholar] [CrossRef]
- Carpenter, Jeremy David. 2008. Relating Proactive Personality and the Big Five to Organizational Citizenship Behaviors. Ph.D. thesis, University of Tennessee at Chattanooga, Psychology, Knoxville, TN, USA. [Google Scholar]
- Caspi, Avshalom, Brent W. Roberts, and Rebecca L. Shiner. 2005. Personality development: Stability and change. Annual Review of Psychology 56: 453–84. [Google Scholar] [CrossRef]
- Chell, Elizabeth, David E. Wicklander, Shane G. Sturman, and L. Wayne Hoover. 2008. The Entrepreneurial Personality: A Social Construction. New York: Routledge. [Google Scholar]
- Chollet, Barthelemy, Mickael Geraudel, Anis Khedhaouria, and Caroline Mothe. 2016. Market knowledge as a function of CEOs’ personality: A fuzzy set approach. Journal of Business Research 69: 2567–73. [Google Scholar] [CrossRef]
- Ciavarella, Mark A., Ann K. Buchholtz, Christine M. Riordan, Robert D. Gatewood, and Garnett S. Stokes. 2004. The big five and venture survival: Is there a linkage? Journal of Business Venturing 19: 465–83. [Google Scholar] [CrossRef]
- Cogliser, Claudia C., William L. Gardner, Mark B. Gavin, and J. Christian Broberg. 2012. Big five personality factors and leader emergence in virtual teams: Relationships with team trustworthiness, member performance contributions, and team performance. Group & Organization Management 37: 752–84. [Google Scholar]
- De Jong, Ad, Michael Song, and Lisa Z. Song. 2013. How lead founder personality affects new venture performance: The mediating role of team conflict. Journal of Management 39: 1825–54. [Google Scholar] [CrossRef]
- De Zoysa, Anura, and Siriyama Kanthi Herath. 2007. The impact of owner/managers’ mentality on financial performance of SMEs in Japan: An empirical investigation. Journal of management Development 26: 652–66. [Google Scholar] [CrossRef]
- Delmar, Frederic, and Johan Wiklund. 2008. The effect of small business managers’ growth motivation on firm growth: A longitudinal study. Entrepreneurship Theory and Practice 32: 437–53. [Google Scholar] [CrossRef]
- Digman, John M. 1990. Personality structure: Emergence of the five-factor model. Annual Review of Psychology 41: 417–40. [Google Scholar] [CrossRef]
- Durand, Robert B., Rick Newby, and Jay Sanghani. 2008. An intimate portrait of the individual investor. The Journal of Behavioral Finance 9: 193–208. [Google Scholar] [CrossRef]
- Dyrenforth, Portia S., Deborah A. Kashy, M. Brent Donnellan, and Richard E. Lucas. 2010. Predicting relationship and life satisfaction from personality in nationally representative samples from three countries: The relative importance of actor, partner, and similarity effects. Journal of Personality and Social Psychology 99: 690. [Google Scholar] [CrossRef] [PubMed]
- Elshaer, Ibrahim A., and Abu Elnasr E. Sobaih. 2022. I Think I Can, I Think I Can: Effects of Entrepreneurship Orientation on Entrepreneurship Intention of Saudi Agriculture and Food Sciences Graduates. Agriculture 12: 1454. [Google Scholar] [CrossRef]
- Fietze, Simon, and Britta Boyd. 2017. Entrepreneurial intention of Danish students: A correspondence analysis. International Journal of Entrepreneurial Behavior & Research 23: 656–72. [Google Scholar]
- Franco, Mário, and Maria Prata. 2019. Influence of the individual characteristics and personality traits of the founder on the performance of family SMEs. European Journal of International Management 13: 41–68. [Google Scholar] [CrossRef]
- Fujianti, Lailah. 2018. Top management characteristics and company performance: An empirical analysis on public companies listed in the Indonesian stock exchange. European Research Studies Journal 21: 62–76. [Google Scholar] [CrossRef] [PubMed]
- Goldberg, Lewis R. 1992. The development of makers for the Big-Five factor structure. Psychological Assessment 4: 26–42. [Google Scholar] [CrossRef]
- Goldberg, Lewis R., John A. Johnson, Herbert W. Eber, Robert Hogan, Michael C. Ashton, C. Robert Cloninger, and Harrison G. Gough. 2006. The international personality item pool and the future of public-domain personality measures. Journal of Research in Personality 40: 84–96. [Google Scholar] [CrossRef]
- Greenly, Gordon. 1986. Does Strategic Planning Improve Company Performance? Long Range Planning 19: 101–9. [Google Scholar] [CrossRef]
- Hachana, Rym, Sarra Berraies, and Zied Ftiti. 2018. Identifying personality traits associated with entrepreneurial success: Does gender matter? Journal of Innovation Economics Management 3: 169–93. [Google Scholar] [CrossRef]
- Hansen, Bridget, and Robert Hamilton. 2011. Factors distinguishing small firm growers and non-growers. International Small Business Journal 29: 278–91. [Google Scholar] [CrossRef]
- Hair, Joseph F., William C. Black, Barry J. Babin, and Rolph E. Anderson. 2014. Multivariate Data Analysis. Hoboken: Pearson Education. [Google Scholar]
- Holt, Daniel T., Matthew W. Rutherford, and Gretchen R. Clohessy. 2007. Corporate entrepreneurship: An empirical look at individual characteristics, context, and process. Journal of Leadership and Organizational Studies 13: 40–54. [Google Scholar] [CrossRef]
- Hurtz, Gregory M., and John J. Donovan. 2000. Personality and job performance: The big five revisited. Journal of Applied Psychology 85: 869–79. [Google Scholar] [CrossRef] [PubMed]
- Ibrahim, Mona Mohamed Sayed, and Amina Ahmed Amari. 2018. Influence of the Psychological Capital and Perceived Organizational Support on Subjective Career Success: The Mediating Role of Women’s Career Adaptability in the Saudi Context. International Journal of Business & Management 13: 1833–8119. [Google Scholar]
- John, Oliver P., and Sanjay Srivastava. 1999. The big five trait taxonomy: History, measurement, and theoretical perspectives. In Handbook of Personality: Theory and Research. Edited by Lawrence A. Pervin and Oliver P. John. New York: Guilford. [Google Scholar]
- Johnson, Jean L., Ruby Pui-Wan Lee, Amit Saini, and Bianca Grohmann. 2003. Market-focused strategic flexibility: Conceptual advances and an integrative model. Journal of the Academy of Marketing Science 31: 74–89. [Google Scholar] [CrossRef]
- Jöreskog, Karl G. 1988. Analysis of Covariance Structures. In The Handbook of Multivariate Experimental Psychology. Edited by Raymond B. Cattell and John R. Nessclroade. New York: Plenum Press, pp. 207–30. [Google Scholar]
- Kachali, Hlekiwe, Joanne R. Stevenson, Zachary Whitman, Erica Seville, John Vargo, and Tom Wilson. 2012. Organisational resilience and recovery for Canterbury organisations after the 4 September 2010 earthquake. Australasian Journal of Disaster and Trauma Studies 1: 11–19. [Google Scholar]
- Kline, Rex B. 2015. Principles and Practice of Structural Equation Modeling. New York: Guilford Publications. [Google Scholar]
- Lai, Jung-Ho, Wen-Chun Lin, and Li-Yu Chen. 2017. The influence of CEO overconfidence on ownership choice in foreign market entry decisions. International Business Review 26: 774–85. [Google Scholar] [CrossRef]
- Leutner, Franziska, Gorkan Ahmetoglu, Reece Akhtar, and Tomas Chamorro-Premuzic. 2014. The relationship between the entrepreneurial personality and the Big Five personality traits. Personality and Individual Differences 63: 58–63. [Google Scholar] [CrossRef]
- Li, Cai, Majid Murad, Fakhar Shahzad, Muhammad Aamir Shafique Khan, Sheikh Farhan Ashraf, and Courage Simon Kofi Dogbe. 2020. Entrepreneurial Passion to Entrepreneurial Behavior: Role of Entrepreneurial Alertness, Entrepreneurial Self-Efficacy and Proactive Personality. Frontiers in Psychology 11: 1611. [Google Scholar] [CrossRef]
- Liu, Dong, and W. Keith Campbell. 2017. The Big Five personality traits, Big Two metatraits and social media: A meta-analysis. Journal of Research in Personality 70: 229–40. [Google Scholar] [CrossRef]
- Lumpkin, G. T., and Gregory G. Dess. 1995. Simplicity as a strategy-making process: The effects of stage of organizational development and environment on performance. Academy of Management Journal 38: 1386–407. [Google Scholar] [CrossRef]
- Luthans, Fred, Bruce J. Avolio, James B. Avey, and Steven M. Norman. 2007. Positive psychological capital: Measurement and relationship with performance and satisfaction. Personnel Psychology 60: 541–72. [Google Scholar] [CrossRef]
- Martin, Mabunda Baluku, Fred Kikooma Julius, and Milly Kibanja Grace. 2015. Does personality of owners of micro enterprises matter for the relationship between startup capital and entrepreneurial success. African Journal of Business Management 10: 13–23. [Google Scholar] [CrossRef][Green Version]
- Mazzarol, Tim, Sophie Reboud, and Geoffrey N. Soutar. 2009. Strategic planning in growth orientated firms. International Journal of Entrepreneurial Behaviour & Research 15: 320–45. [Google Scholar]
- McCrae, Robert R. 2011. Personality theories for the 21st century. Teaching of Psychology 38: 209–14. [Google Scholar] [CrossRef]
- Mitchelson, Jacqueline K. 2005. Personality and Leadership Style: The Abridged Big Five Circumplex (AB5C) of Personality Traits as Predictor of Transformational Leadership Factors. Detroit: Wayne State University, vol. 11, pp. 121–28. [Google Scholar]
- Murphy, Gregory B., Jeff W. Trailer, and Robert C. Hill. 1996. Measuring performance in entrepreneurship research. Journal of Business Research 36: 15–23. [Google Scholar] [CrossRef]
- Myszkowski, Nils, Martin Storme, Andrés Davila, and Todd Lubart. 2015. Managerial creative problem solving and the Big Five Personality traits: Distinguishing divergent and convergent Abilities. Journal of Management Development 34: 674–84. [Google Scholar] [CrossRef]
- Naffziger, Douglas W. 1995. Entrepreneurship: A person based theory approach. In Advances in Entrepreneurship, Firm Emergence, and Growth. Edited by Jerome A. Katz and Robert H. Broackhaus. Greenwich: JAI Press, vol. 2, pp. 21–50. [Google Scholar]
- Nave, Christopher S., Grant W. Edmonds, Sarah E. Hampson, Theresa Murzyn, and Kyle S. Sauerberger. 2017. From elementary school to midlife: Childhood personality predicts behavior during cognitive testing over four decades later. Journal of Research in Personality 67: 183–89. [Google Scholar] [CrossRef]
- Nunnally, Jum C. 1978. An overview of psychological measurement. Clinical Diagnosis of Mental Disorders, 97–146. [Google Scholar] [CrossRef]
- Nuseir, Mohammed T., and Hilda Madanat. 2017. The use of integrated management approaches and their impact on customers’ satisfaction and business success. International Journal of Business Excellence 11: 120–40. [Google Scholar] [CrossRef]
- Patel, Pankaj C., and Sherry MB Thatcher. 2014. Sticking it out individual attributes and persistence in self-employment. Journal of Management 40: 1932–79. [Google Scholar] [CrossRef]
- Penney, Lisa M., Emily David, and L. A. Witt. 2011. A review of personality and performance: Identifying boundaries, contingencies, and future research directions. Human Resource Management Review 21: 297–310. [Google Scholar] [CrossRef]
- Persyn, Deborah. 2010. Prospective Memory and the Big Five Personality Dimensions. San Antonio: The University of Texas at San Antonio. [Google Scholar]
- Peterson, Mark. 2020. Modeling country entrepreneurial activity to inform entrepreneurial-marketing research. Journal of Business Research 113: 105–16. [Google Scholar] [CrossRef]
- Peterson, Randall S., D. Brent Smith, Paul V. Martorana, and Pamela D. Owens. 2003. The impact of chief executive officer personality on top management team dynamics: One mechanism by which leadership affects organizational performance. Journal of Applied Psychology 88: 795–808. [Google Scholar] [CrossRef]
- Pouncey, Von. Y. 2010. The Relational Component of the Psychological Contract: The Big Five Personality Traits & Violation Perception of the Temporary Employee. Ph.D. thesis, Capella University, Ann Arbor, MI, USA. [Google Scholar]
- Pouncey, Von, and Simon Medcalfe. 2010. The relational component of the psychological contract: The big five personality traits & violation perception of the temporary employee. American Journal of Business Research 3: 39–52. [Google Scholar]
- Pushpakumari, M. D. 2009. Owner-manager personal values and their impact on performance: An empirical analysis of manufacturing SMEs in Japan. Retrieved 10: 2011. [Google Scholar]
- Rajesh, Kumar Shastri, Tripathi Ravindra, and Ali Murad. 2011. Liberalization and its impact on small scale industries. International Journal of Vocational and Technical Education 3: 81–83. [Google Scholar]
- Ramadani, Veland, Robert D. Hisrich, and Shqipe Gërguri-Rashiti. 2015. Female entrepreneurs in transition economies: Insights from Albania, Macedonia and Kosovo. World Review of Entrepreneurship, Management and Sustainable Development 11: 391–413. [Google Scholar] [CrossRef]
- Ramanujam, Vasudevan, N. Venkatraman, and J. C. Camillus. 1986. Objectives-based” evaluation of strategic planning systems. Omega 14: 299–306. [Google Scholar] [CrossRef]
- Rauch, Andreas, and Michael Frese. 2007. Let’s put the person back into entrepreneurship research: A meta-analysis on the relationship between business owners’ personality traits, business creation, and success. European Journal of Work and Organizational Psychology 16: 353–85. [Google Scholar] [CrossRef]
- Reed, Mary Beth, Monroe A. Bruch, and Richard F. Haase. 2004. Five-factor model of personality and career exploration. Journal of Career Assessment 12: 223–38. [Google Scholar] [CrossRef]
- Reijonen, Helen. 2008. Understanding the small business owner: What they really aim at and how this relates to firm performance: A case study in North Karelia, Eastern Finland. Management Research News 31: 616–29. [Google Scholar] [CrossRef]
- Reynolds, Wal, Warwick Savage, and Alan Williams. 1994. Your Own Business: A Practical Guide to Success. Melbourne: Thomas Nelson. [Google Scholar]
- Richbell, Suzanne M., H. Doug Watts, and Perry Wardle. 2006. Owner-managers and business planning in the small firm. International Small Business Journal 24: 496–514. [Google Scholar] [CrossRef]
- Roccas, Sonia, Lilach Sagiv, Shalom H. Schwartz, and Ariel Knafo. 2002. The big five personality factors and personal values. Personality and Social Psychology Bulletin 28: 789–801. [Google Scholar] [CrossRef]
- Roussel, Patrice. 2005. Méthodes de Développement d’Échelles pour Questionnaires d’Enquête. In Management des Ressources Humaines: Méthodes de Recherche en Sciences Humaines et Sociales. Edited by Patrice Roussel and Frédéric Wacheux. Paris: De Boeck Supérieur, pp. 245–76. [Google Scholar]
- Salgado, Jesus F. 1997. The five-factor model of personality and job performance in the European Community. Journal of Applied Psychology 82: 30–43. [Google Scholar] [CrossRef]
- Sarwar, Danish, Bilal Sarwar, Muhammad Asif Raz, Hadi Hassan Khan, Noor Muhammad, Usman Azhar, Nadeem uz Zaman, and Mumraiz Khan Kasi. 2020. Relationship of the big five personality traits and risk aversion with investment intention of individual investors. The Journal of Asian Finance, Economics and Business 7: 819–29. [Google Scholar] [CrossRef]
- Sent, Esther-Mirjam. 2018. Rationality and bounded rationality: You can’t have one without the other. The European Journal of the History of Economic Thought 25: 1370–86. [Google Scholar] [CrossRef]
- Schröder, Elke, Eva Schmitt-Rodermund, and Nicolas Arnaud. 2011. Career choice intentions of adolescents with a family business background. Family Business Review 24: 305–21. [Google Scholar] [CrossRef]
- Shafiro, Margarita. 2004. The Effects of Allocentrism, Idiocentrism, Social Support, and Big Five Personality Dimensions on Work-family Conflict. Ph.D. thesis, Portland State University, Ann Arbor, MI, USA. [Google Scholar]
- Shane, Scott, and Nicos Nicolaou. 2013. The genetics of entrepreneurial performance. International Small Business Journal 31: 473–95. [Google Scholar] [CrossRef]
- Sharahiley, Sanawi M. 2020. Examining Entrepreneurial Intention of the Saudi Arabia’s University Students. Global Journal of Flexible Systems Management 21: 67–84. [Google Scholar] [CrossRef]
- Shrader, Jonathan C., and Luke Singer. 2014. The impact of personality on pay satisfaction among small business managers in the United States and China. Journal of Technology Management in China 9: 123–32. [Google Scholar] [CrossRef]
- Singh, Gangaram, and Alex DeNoble. 2003. Views on self-employment and personality: An exploratory study. Journal of Developmental Entrepreneurship 8: 265–81. [Google Scholar]
- Smallbone, David, Roger Leig, and David North. 1995. The characteristics and strategies of high growth firms. International Journal of Entrepreneurial Behaviour and Research 1: 44–62. [Google Scholar] [CrossRef]
- Sobaih, Abu Elnasr E. 2011. The Management of Part-Time Employees in the Restaurant Industry: A Case Study of the UK Restaurant Sector. Saarbrucken: Lap Lambert Academic Publishing. [Google Scholar]
- Sobaih, Abu Elnasr E. 2018. Human resource management in hospitality firms in Egypt: Does size matter? Tourism and Hospitality Research 18: 38–48. [Google Scholar] [CrossRef]
- Sobaih, Abu Elnasr E., and Ibrahim A. Elshaer. 2022. Personal Traits and Digital Entrepreneurship: A Mediation Model Using SmartPLS Data Analysis. Mathematics 10: 3926. [Google Scholar] [CrossRef]
- Spence, Ruth, Matthew Owens, and Ian Goodyer. 2012. Item response theory and validity of the NEO-FFI in adolescents. Personality and Individual Differences 56: 801–807. [Google Scholar] [CrossRef]
- Sun, Jessie, Scott Barry Kaufman, and Luke D. Smillie. 2018. Unique associations between big five personality aspects and multiple dimensions of Well-Being. Journal of Personality 86: 158–72. [Google Scholar] [CrossRef]
- Teimouri, Hadi, Seyed Hasan Hosseini, Marzieh Imani, and Ensieh Bagheri. 2018. The effect of human resource management practices on organisational effectiveness (case study: Isfahan Petrochemical Company). International Journal of Business Excellence 15: 114–28. [Google Scholar] [CrossRef]
- Teng, Chih-Ching. 2008. The effects of personality traits and attitudes on student uptake in hospitality employment. International Journal of Hospitality Management 27: 76–86. [Google Scholar] [CrossRef]
- Teng, C. I., H. M. Tseng, I. C. Li, and C. S. Yu. 2011. International English Big-five mini-markers: Development of the traditional Chinese version. Journal of Management 28: 579–615. [Google Scholar]
- Tett, Robert P., Douglas N. Jackson, and Mitchell Rothstein. 1991. Personality measures as predictors of job performance: A meta-analytic review. Personnel Psychology 44: 703–42. [Google Scholar] [CrossRef]
- Thomas, Rhodri, and Huw Thomas. 2005. Understanding tourism policy-making in urban areas, with particular reference to small firms. Tourism Geographies 7: 121–37. [Google Scholar] [CrossRef]
- Tripathi, Abhishek. 2019. SMEs in Saudi Arabia—An innovative tool for country’s economic growth. Science International (Lahore) 31: 261–67. [Google Scholar]
- Van Ness, Raymond K., and Charles F. Seifert. 2016. A theoretical analysis of the role of characteristics in entrepreneurial propensity. Strategic Entrepreneurship Journal 10: 89–96. [Google Scholar] [CrossRef]
- Venkatraman, Natarjan, and Vasudevan Ramanujam. 1986. Measurement of business performance in strategy research: A comparison of approaches. Academy of Management Review 11: 801–14. [Google Scholar] [CrossRef]
- Vinchur, Andrew J., Jeffery S. Schippmann, Fred S. Switzer III, and Philip L. Roth. 1998. A meta-analytic review of predictors of job performance for salespeople. Journal of Applied Psychology 83: 586–97. [Google Scholar] [CrossRef]
- Yakubu, Justina Inusah Gideon, and B. Chima Onuoha. 2022. Entrepreneurial personality and performance of small and medium enterprises in rivers state. African Journal of Business and Economic Development 2: 61–75. [Google Scholar]
- Zeffane, Rachid, Shaker Bani Melhem, and Priya Baguant. 2018. The impact of job satisfaction, trust, gender and supervisor support on perceived organizational performance: An exploratory study in the UAE service sector. International Journal of Business Excellence 14: 339–59. [Google Scholar] [CrossRef]
- Zhang, Li-Fang. 2003. Does the big five predict learning approaches? Personality and Individual Differences 34: 1431–46. [Google Scholar] [CrossRef]
- Zhao, Hao, and Scott E. Seibert. 2006. The big five personality dimensions and entrepreneurial status: A meta-analytical review. Journal of Applied Psychology 91: 259–71. [Google Scholar] [CrossRef]
- Zhao, Hao, Scott E. Seibert, and G. Thomas Lumpkin. 2010. The relationship of personality to entrepreneurial intentions and performance: A meta-analytic review. Journal of Management 36: 381–404. [Google Scholar] [CrossRef]


| Abbr | Item | Min | Max | M | SD | Sk. | Ku. |
|---|---|---|---|---|---|---|---|
| Agreeableness | |||||||
| Agr1 | “I am_on_good_terms_with_nearly_everyone” | 1 | 5 | 4.30 | 1.086 | −1.787 | 2.616 |
| Agr2 | “I_often_get_into_arguments_with_my_family_and_co-workers” | 1 | 5 | 4.35 | 1.089 | −1.855 | 2.721 |
| Agr3 | “Some_people_think_of_me_as_cold_and_calculating” | 1 | 5 | 4.07 | 1.256 | −1.428 | 0.971 |
| Extroversio | |||||||
| Ex4 | “I_often_feel_as_if_I_am_bursting_with_energy” | 1 | 5 | 3.96 | 1.260 | −1.145 | 0.258 |
| Ex5 | “I_am_a_cheerful,_high-spirited_person” | 1 | 5 | 3.90 | 1.272 | −1.059 | 0.053 |
| Ex6 | “I_am_a_very_active_person” | 1 | 5 | 3.64 | 1.343 | −0.794 | −0.518 |
| Conscientiousness | |||||||
| Co7 | “I_am_pretty_good_about_pacing_myself_so_as_to_get_things_done_on_time” | 1 | 5 | 3.58 | 1.251 | −0.682 | −0.399 |
| Co8 | “I_make_plans_and_stick_to_them” | 1 | 5 | 3.63 | 1.258 | −0.700 | −0.420 |
| Co9 | “I_continue_my_job_until_everything_is_perfect” | 1 | 5 | 3.57 | 1.209 | −0.620 | −0.363 |
| Co10 | “I_never_seem_to_be_able_to_get_organized” | 1 | 5 | 4.07 | 1.121 | −1.299 | 1.132 |
| Openness_to_experience | |||||||
| Op11 | “I_often_try_new_things” | 1 | 5 | 4.07 | 1.187 | −1.299 | 0.856 |
| Op12 | “I_often_enjoy_playing_with_theories_or_abstract_ideas” | 1 | 5 | 4.00 | 1.192 | −1.133 | 0.439 |
| Op13 | “I_have_little_interest_in_speculating_on_the_nature_of_the_universe_or_the human_condition” | 1 | 5 | 3.87 | 1.218 | −0.923 | −0.053 |
| Neuroticism | |||||||
| Ne14 | “I_often_feel_inferior_to_others” | 1 | 5 | 3.73 | 1.346 | −0.806 | −0.526 |
| Ne15 | “When_I_am_under_a_great_deal_of_stress,_sometimes_I_feel_like_I_am_going_to_pieces” | 1 | 5 | 3.70 | 1.321 | −0.727 | −0.614 |
| Ne16 | “I_seldom_feel_lonely_or_blue” | 1 | 5 | 2.55 | 1.603 | 0.542 | −1.340 |
| Enterprise_performance | |||||||
| P17 | “Overall_performance_of_the_organization” | 1 | 5 | 4.42 | 0.743 | −1.234 | 1.468 |
| P18 | “Level_of_debt” | 1 | 5 | 4.33 | 0.736 | −0.658 | −0.692 |
| P19 | “Organization’s_cash_flow” | 2 | 5 | 4.45 | 0.691 | −1.070 | 0.635 |
| P20 | “Organization’s_level_of_profitability” | 1 | 5 | 4.44 | 0.745 | −1.506 | 2.933 |
| Factors and Items | SFL | CR | AVE | MSV | 1 | 2 | 3 | 4 | 5 | 6 |
|---|---|---|---|---|---|---|---|---|---|---|
| 1—Agreeableness (α = 0.849) | 0.864 | 0.680 | 0.425 | 0.824 | ||||||
| “I_am_on_good_terms_with_nearly_everyone” | 0.73 | |||||||||
| “I_often_get_into_arguments_with_my_family_and_co-workers” | 0.87 | |||||||||
| “Some_people_think_of_me_as_cold_and_calculating” | 0.84 | |||||||||
| 2—Extroversion (α = 0.827) | 0.872 | 0.696 | 0.202 | 0.588 ** | 0.834 | |||||
| “I_often_feel_as_if_I_am_bursting_with_energy” | 0.84 | |||||||||
| “I_am_a_cheerful,_high-spirited_person” | 0.87 | |||||||||
| “I_am_a_very_active_person” | 0.79 | |||||||||
| 3—Conscientiousness (α = 0.871) | 0.896 | 0.686 | 0.531 | 0.634 ** | 0.450 ** | 0.828 | ||||
| “I_am_pretty_good_about_pacing_myself_so_as_to_get_things_done_on_time” | 0.73 | |||||||||
| “I_make_plans_and_stick_to_them” | 0.94 | |||||||||
| “I_continue_my_job_until_everything_is_perfect” | 0.90 | |||||||||
| “I_never_seem_to_be_able_to_get_organized” | 0.72 | |||||||||
| 4—Openness to experience (α = 0.920) | 0.793 | 0.564 | 0.387 | 0.652 ** | 0.421 ** | 0.729 ** | 0.750 | |||
| “I_often_try_new_things” | 0.74 | |||||||||
| “I_often_enjoy_playing_with_theories_or_abstract_ideas” | 0.65 | |||||||||
| “I_have_little_interest_in_speculating_on_the_nature_of_the_universe_or_the human_condition” | 0.85 | |||||||||
| 5—Neuroticism (α = 0.985) | 0.856 | 0.667 | 0.199 | 0.337 ** | 0.266 ** | 0.515 ** | 0.447 ** | 0.816 | ||
| “I_often_feel_inferior_to_others” | 0.91 | |||||||||
| “When_I_am_under_a_great_deal_of_stress,_sometimes_I_feel_like_I_am_going_to_pieces” | 0.73 | |||||||||
| “I_seldom_feel_lonely_or_blue” | 0.80 | |||||||||
| 6—Enterprise_performance (α = 0.817) | 0.920 | 0.744 | 0.044 | 0.035 | 0.003 | 0.109 | 0.024 | 0.021 | 0.862 | |
| “Overall_performance_of_the_organization” | 0.81 | |||||||||
| “Level_of_debt” | 0.73 | |||||||||
| “Organization’s_cash_flow” | 0.96 | |||||||||
| “Organization’s_level_of_profitability” | 0.93 |
| Result of the Structural Model | β | p | C-R t-Value | R2 | Hyp. Results |
|---|---|---|---|---|---|
| H1-O → PERFOR | 0.24 | *** | 3.213 | Supported | |
| H2-C → PERFOR | 0.09 | 0.335 | 0.964 | Not Supported | |
| H3-E → PERFOR | 0.06 | 0.081 | 1.745 | Not Supported | |
| H4-A → PERFOR | 0.26 | *** | 3.840 | Supported | |
| H5-N → PERFOR | −0.35 | *** | −4.976 | Supported | |
| PERFOR | 0.530 |
Publisher’s Note: MDPI stays neutral with regard to jurisdictional claims in published maps and institutional affiliations. |
© 2022 by the authors. Licensee MDPI, Basel, Switzerland. This article is an open access article distributed under the terms and conditions of the Creative Commons Attribution (CC BY) license (https://creativecommons.org/licenses/by/4.0/).
Share and Cite
Sobaih, A.E.E.; Al-qutaish, A.A.; Gharbi, H.; Abu Elnasr, A.E. The Impact of Owner-Managers’ Personality Traits on Their Small Hospitality Enterprise Performance in Saudi Arabia. J. Risk Financial Manag. 2022, 15, 585. https://doi.org/10.3390/jrfm15120585
Sobaih AEE, Al-qutaish AA, Gharbi H, Abu Elnasr AE. The Impact of Owner-Managers’ Personality Traits on Their Small Hospitality Enterprise Performance in Saudi Arabia. Journal of Risk and Financial Management. 2022; 15(12):585. https://doi.org/10.3390/jrfm15120585
Chicago/Turabian StyleSobaih, Abu Elnasr E., Amer A. Al-qutaish, Hassane Gharbi, and Ahmed E. Abu Elnasr. 2022. "The Impact of Owner-Managers’ Personality Traits on Their Small Hospitality Enterprise Performance in Saudi Arabia" Journal of Risk and Financial Management 15, no. 12: 585. https://doi.org/10.3390/jrfm15120585
APA StyleSobaih, A. E. E., Al-qutaish, A. A., Gharbi, H., & Abu Elnasr, A. E. (2022). The Impact of Owner-Managers’ Personality Traits on Their Small Hospitality Enterprise Performance in Saudi Arabia. Journal of Risk and Financial Management, 15(12), 585. https://doi.org/10.3390/jrfm15120585

