Pregnancy-Associated Plasma Protein A (PAPP-A) as a Predictor of Third Trimester Obesity: Insights from the CRIOBES Project
Abstract
1. Introduction
2. Material and Methods
2.1. Inclusion and Exclusion Criteria
2.2. Sample
2.3. Sample Size Calculation
2.4. Variables
- Obesity in the third trimester.
- 2.
- Plasma PAPP-A.
- 3.
- Beta-hCG.
- 4.
- BMI at 12 weeks.
- 5.
- Basal glucose at 12 weeks of pregnancy.
- 6.
- Basal glucose at 28 weeks of pregnancy.
- 7.
- BMI at 28 weeks of pregnancy.
- 8.
- SBP (systolic blood pressure) at 12 weeks of pregnancy.
- 9.
- DBP (diastolic blood pressure) at 12 weeks of pregnancy.
- 10.
- DBP at 28 weeks of pregnancy.
- 11.
- Free T4 at 12 weeks of pregnancy.
- 12.
- TSH at 12 weeks of pregnancy.
- 13.
- Free T4 at 28 weeks of pregnancy.
- 14.
- TSH at 28 weeks of pregnancy.
2.5. Ethical Considerations
2.6. Analytical Phase
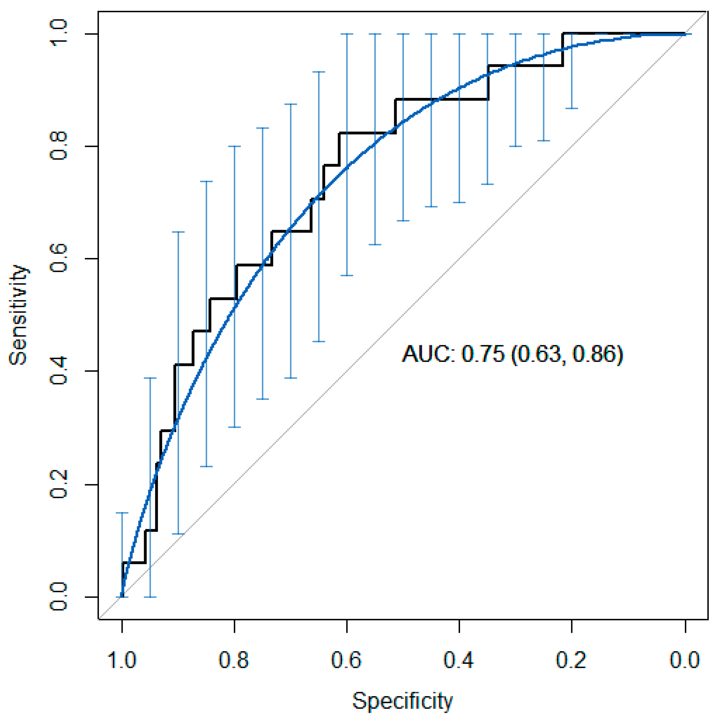
3. Results
4. Discussion
Author Contributions
Funding
Institutional Review Board Statement
Informed Consent Statement
Data Availability Statement
Acknowledgments
Conflicts of Interest
References
- Bellou, V.; Belbasis, L.; Tzoulaki, I.; Evangelou, E. Risk factors for type 2 diabetes mellitus: An exposure-wide umbrella review of meta-analyses. PLoS ONE 2018, 13, e0194127. [Google Scholar] [CrossRef] [PubMed]
- Wang, W.; He, J.; Hu, Y.; Song, Y.; Zhang, X.; Guo, H.; Wang, X.; Keerman, M.; Ma, J.; Yan, Y.; et al. Comparison of the Incidence of Cardiovascular Diseases in Weight Groups with Healthy and Unhealthy Metabolism. Diabetes Metab. Syndr. Obes. 2021, 14, 4155–4163. [Google Scholar] [CrossRef]
- Karagozian, R.; Derdák, Z.; Baffy, G. Obesity-associated mechanisms of hepatocarcinogenesis. Metabolism 2014, 63, 607–617. [Google Scholar] [CrossRef]
- Whitlock, G.; Lewington, S.; Sherliker, P.; Clarke, R.; Emberson, J.; Halsey, J.; Qizilbash, N.; Collins, R.; Peto, R. Prospective Studies Collaboration. Body-mass index and cause-specific mortality in 900,000 adults: Collaborative analyses of 57 prospective studies. Lancet 2009, 373, 1083–1096. [Google Scholar]
- Fernández Alba, J.J.; Paublete Herrera, M.C.; González Macías, M.C.; Carral San Laureano, F.; Carnicer Fuentes, C.; Vilar Sánchez, A.; Torrejón Cardoso, R.; Moreno Corral, L.J. Sobrepeso y obesidad maternos como factores de riesgo independientes para que el parto finalice en cesárea. Nutr. Hosp. 2016, 33, 1324–1329. [Google Scholar] [CrossRef]
- WHO. Physical status: The use and interpretation of anthropometry. Report of a WHO Expert Committee. World Health Organ. Tech. Rep. Ser. 1995, 854, 1–452. [Google Scholar]
- Lin, T.M.; Halbert, S.P.; Kiefer, D.J.; Spellacy, W.N.; Gall, S. Characterization of four human pregnancy-associated plasma proteins. Am. J. Obstet. Gynecol. 1974, 118, 223–236. [Google Scholar] [CrossRef] [PubMed]
- Woelfle, J.; Roth, C.L.; Wunsch, R.; Reinehr, T. Pregnancy-associated plasma protein A in obese children: Relationship to markers and risk factors of atherosclerosis and members of the IGF system. Eur. J. Endocrinol. 2011, 165, 613–622. [Google Scholar] [CrossRef] [PubMed][Green Version]
- Armistead, B.; Johnson, E.; VanderKamp, R.; Kula-Eversole, E.; Kadam, L.; Drewlo, S.; Kohan-Ghadr, H.R. Placental Regulation of Energy Homeostasis During Human Pregnancy. Endocrinology 2020, 161, bqaa076. [Google Scholar] [CrossRef]
- Velázquez, N. La hormona gonadotrofina coriónica humana. Una molécula ubícua y versátil. Parte I. Rev. Obstet. Ginecol. Venez. 2014, 74, 122–133. [Google Scholar]
- Cole, L.A. Biological functions of hCG and hCG-related molecules. Reprod. Biol. Endocrinol. 2010, 8, 102. [Google Scholar] [CrossRef] [PubMed]
- Palacios Fernández, N.; De Francisco Montero, C.; Gabaldón Rodríguez, I.; Corchado Albalat, M.Y.; Santos Lozano, J.M.; Ortega Calvo, M. Correlaciones de biomarcadores del primer trimestre con el peso fetal y con el peso materno en embarazadas con diabetes gestacional. Rev. Argent. Endocrinol. Metab. 2020, 57, 50–56. [Google Scholar]
- Lu, C.Y. Observational studies: A review of study designs, challenges and strategies to reduce confounding. Int. J. Clin. Pract. 2009, 63, 691–697. [Google Scholar] [CrossRef]
- Vandenbroucke, J.P.; Von Elm, E.; Altman, D.G.; Gøtzsche, P.C.; Mulrow, C.D.; Pocock, S.J.; Poole, C.; Schlesselman, J.J.; Egger, M. Iniciativa STROBE. Mejorar la comunicación de estudios observacionales en epidemiología (STROBE): Explicación y elaboración. Gac. Sanit. 2009, 23, 158. [Google Scholar] [CrossRef]
- Peral Camacho, I.; Vélez González, M.J.; Sainz Bueno, J.A.; Moro Ortiz, A. Resultados del programa de cribado prenatal de cromosomopatías en el área sanitaria sur de Sevilla, tras la implantación de la aplicación corporativa siPACAC. Clínica Investig. En Ginecol. Obstet. 2018, 2, 58–63. [Google Scholar] [CrossRef]
- Torres-Torres, J.; Nieto-Vázquez, E.; Maldonado-Nájera, L.F.; Coronel-Cruz, F.M.; Vargas-Ruiz, R.L.; Rojas-Zepeda, L.; Garcia-Mandujano, R.; Martinez-Cisneros, R.A. Corrección de los múltiplos de la mediana de los biomarcadores del modelo de predicción de preeclampsia de la Fetal Medicine Foundation para población mexicana. Ginecol. Obstet. Méx. 2019, 87, 792–801. [Google Scholar]
- Available online: https://www.datarus.eu/aplicaciones/granmo/ (accessed on 30 October 2024).
- Ortega Calvo, M.; Cayuela Domínguez, A. Regresión logística no condicionada y tamaño de muestra: Una revisión bibliográfica. Rev. Esp. Salud Publica 2002, 76, 85–93. [Google Scholar] [CrossRef]
- Concato, J.; Perduzzi, P.; Holford, T.R.; Feinstein, A.R. Importance of events per independent variable in proportional hazards analysis. I. Background, goals and general strategy. J. Clin. Epidemiol. 1995, 48, 1495–1501. [Google Scholar] [CrossRef] [PubMed]
- Concato, J.; Perduzzi, P.; Holford, T.R.; Feinstein, A.R. Importance of events per independent variable in proportional hazards regression analysis. II. Accuracy and precision of regression estimates. J. Clin. Epidemiol. 1995, 48, 1503–1510. [Google Scholar] [CrossRef]
- Carnero, E.A.; Alvero-Cruz, J.R.; Giráldez García, M.A.; Sardinha, L.B. La evaluación de la composición corporal “in vivo”. Parte I: Perspectiva histórica. Nutr. Hosp. 2015, 31, 1957–1967. [Google Scholar]
- Palma-Morgado, D.; Marín-Gil, R.; González-García, L.; Torelló-Iserte, J.; Santos-Lozano, J.M.; Ortega-Calvo, M. La evaluación axiológica de los Proyectos en los comités de Ética de la investigación. Ars. Pharm. 2015, 56, 121–126. [Google Scholar] [CrossRef]
- Clayton, D.; Hills, M. Statistical Models in Epidemiology; Oxford University Press: Oxford, UK, 1993; pp. 1–363. [Google Scholar]
- Sánchez-Cantalejo Ramírez, E. Regresión Logística en Salud Pública; Escuela Andaluza de Salud Pública: Granada, Spain, 2000; pp. 1–173. [Google Scholar]
- Moons, K.G.; Royston, P.; Vergouwe, Y.; Grobbee, D.E.; Altman, D.G. Prognosis and prognostic research: What, why, and how? BMJ 2009, 338, b375. [Google Scholar] [CrossRef] [PubMed]
- Van Calster, B.; Wynants, L.; Verbeek, J.F.M.; Verbakel, J.Y.; Christodoulou, E.; Vickers, A.J.; Roobol, M.J.; Steyerberg, E.W. Reporting and Interpreting Decision Curve Analysis: A Guide for Investigators. Eur. Urol. 2018, 74, 796–804. [Google Scholar] [CrossRef]
- Del Valle Benavides, A. Curvas ROC (Receiver—Operating—Characteristic) y sus Aplicaciones (Trabajo Fin de Grado); Departamento de Estadística e Investigación Operativa, Universidad de Sevilla: Sevilla, Spain, 2017; Available online: https://idus.us.es/handle/11441/63201 (accessed on 30 October 2024).
- Dalgaard, P. Introductory Statistics with R, 2nd ed.; Springer: New York, NY, USA, 2008; 363p, Available online: https://link.springer.com/content/pdf/10.1007/978-0-387-79054-1.pdf (accessed on 30 October 2024).
- Fox, J. Getting started with the R Commander: A basic-statistics graphical user interface to R. J. Stat. Softw. 2005, 14, 1–42. [Google Scholar] [CrossRef]
- Fox, J. Extending the R Commander by “Plug-In” Packages. R News 2005, 7, 1–7. [Google Scholar]
- Artola García, J.O.; Gregori Huerta, P. Plug-Ins para el paquete R Commander de R: Una aplicación para el cálculo de probabilidades. Rev. Univ. Caribe 2017, 19, 7–14. [Google Scholar] [CrossRef]
- Gómez-González, C.; Peña-Rodríguez, A.; Salas-Díaz, I.; Praena-Fernández, J.M.; Gálvez-Acebal, J.; Lozano-Rodríguez, J.; Vilches Arenas, A.; Ortega Calvo, M. Una concepción topológica del “bootstrap” permite la demostración del sesgo de Berkson en epidemiología nutricional. Nutr. Clín. Diet. Hosp. 2016, 36, 134–142. [Google Scholar]
- Harrell, F.E., Jr. rms (Regression Modeling Strategies). CRAN. Available online: https://cran.r-project.org/web/packages/rms/index.html (accessed on 30 October 2024).
- Hernández, G.; Moriña, D.; Navarro, A. Imputación de valores ausentes en salud pública: Conceptos generales y aplicación en variables dicotómicas. Gac. Sanit. 2017, 31, 342–345. [Google Scholar] [CrossRef] [PubMed]
- Pezoulas, V.C.; Tachos, N.S.; Olivotto, I.; Barlocco, F.; Fotiadis, D.I. A “smart” Imputation Approach for Effective Quality Control Across Complex Clinical Data Structures. Annu. Int. Conf. IEEE Eng. Med. Biol. Soc. 2022, 2022, 1049–1052. [Google Scholar]
- Madrid Aris, E.; Martínez Lomakin, F. Moving towards a destination: Considerations about cohort studies in less than 1000 words. Medwave 2014, 14, e5877. [Google Scholar] [CrossRef]
- Toledo, E.; Salas-Salvadó, J.; Donat-Vargas, C.; Buil-Cosiales, P.; Estruch, R.; Ros, E.; Corella, D.; Fitó, M.; Hu, F.B.; Aros, F.; et al. Mediterranean Diet and Invasive Breast Cancer Risk Among Women at High Cardiovascular Risk in the PREDIMED Trial: A Randomized Clinical Trial. JAMA Intern. Med. 2015, 175, 1752–1760. [Google Scholar] [CrossRef] [PubMed]
- Galilea-Zabalza, I.; Buil-Cosiales, P.; Salas-Salvadó, J.; Toledo, E.; Ortega-Azorín, C.; Díez-Espino, J.; Vázquez-Ruiz, Z.; Dolores Zomeño, M.; Vioque, J.; Alfredo Martínez, J.; et al. PREDIMED-PLUS Study Investigators. Mediterranean diet and quality of life: Baseline cross-sectional analysis of the PREDIMED-PLUS trial. PLoS ONE 2018, 13, e0198974. [Google Scholar] [CrossRef] [PubMed]
- Delgado Rodríguez, M. Discordancias entre los estudios de ámbitos hospitalario y comunitario cuando evalúan la misma pregunta de investigación. Gac. Sanit. 2002, 16, 344–353. [Google Scholar] [CrossRef] [PubMed][Green Version]
- Huang, L.; Chen, Y.; Ning, W.; Chen, Y.; Yu, D. Correlations between maternal hepatitis B virus carrier status and Down’s syndrome prenatal screening indicators and their effects on the screening results. J. Obstet. Gynaecol. 2022, 42, 2793–2798. [Google Scholar] [CrossRef] [PubMed]
- Pezoulas, V.C.; Kourou, K.D.; Kalatzis, F.; Exarchos, T.P.; Venetsanopoulou, A.; Zampeli, E.; Gandolfo, S.; Skopouli, F.; De Vita, S.; Tzioufas, A.G.; et al. Medical data quality assessment: On the development of an automated framework for medical data curation. Comput. Biol. Med. 2019, 107, 270–283. [Google Scholar] [CrossRef]
- Silva Ayçaguer, L.C. El concepto de representatividad y el papel del azar. In Diseño Razonado de Muestras y Captación de Datos para la Investigación Sanitaria; Editorial Díaz de Santo: Bogotá, Colombia, 2000; pp. 19–23. [Google Scholar]
- McGlashan, T.H.; Carpenter, W.T., Jr.; Bartko, J.J. Issues of design and methodology in long-term followup studies. Schizophr. Bull. 1988, 14, 569–574. [Google Scholar] [CrossRef][Green Version]
- Tamargo-Barbeito, T. Consideraciones acerca de la verdadera investigación observacional ambispectiva. Rev. Cuba. Med. 2021, 60, 1–3. [Google Scholar]
- Herawati, N.; Nisa, K.; Nusyirwan, N. Selecting the method to overcome partial and full multicollinearity in binary logistic model. Int. J. Stat. Appl. 2020, 10, 55–59. [Google Scholar]
- Shen, J.; Gao, S. A Solution to Separation and Multicollinearity in Multiple Logistic Regression. J. Data Sci. 2008, 6, 515–531. [Google Scholar] [CrossRef]
- Cochrane, A.L. Effectiveness and Efficiency: Random Reflections on Health Services; Nuffield Provincial Hospitals Trust: London, UK, 1972; Available online: https://www.nuffieldtrust.org.uk/research/effectiveness-and-efficiency-random-reflections-on-health-services (accessed on 30 October 2024).
- Cochrane, A.L. Archie Cochrane in his own words. Selections arranged from his 1972 introduction to “Effectiveness and Efficiency: Random Reflections on the Health Services” 1972. Control. Clin. Trials 1989, 10, 428–433. [Google Scholar] [CrossRef]
- Greenhalgh, T. Effectiveness and Efficiency: Random Reflections on Health Services. BMJ 2004, 328, 529. [Google Scholar] [CrossRef]
- González-Marrón, A.; Real, J.; Forné, C.; Roso-Llorach, A.; Navarrete-Muñoz, E.M.; Martínez-Sánchez, J.M. Confidence interval reporting for measures of association in multivariable regression models in observational studies. Med. Clin. 2019, 153, 239–242. [Google Scholar] [CrossRef] [PubMed]
- Amezcua, M.; Gálvez Toro, A. Los modos de análisis en investigación cualitativa en salud: Perspectiva crítica y reflexiones en voz alta. Rev. Esp. Salud Pública 2002, 76, 423–436. [Google Scholar] [CrossRef] [PubMed]
- Segura-Balbuena, M.; Cejudo-López, A.; Gil-García, E.; Santos Lozano, J.M.; Ortega Calvo, M. Sobre la Necesidad Epistemológica de la Investigación Cualitativa en Salud. RECIEN Rev. Científica Enfermería 2014, 8, 47–60. [Google Scholar] [CrossRef][Green Version]
- Loezar-Hernández, M.; Briones-Vozmediano, E.; Gea-Sánchez, M.; Otero-García, L. Percepción de la atención sanitaria en la primera experiencia de maternidad y paternidad. Gac. Sanit. 2022, 36, 425–432. [Google Scholar] [CrossRef]
- Fernández, I. ¿Investigación en atención primaria? Aten Primaria 2003, 31, 281–284. [Google Scholar] [CrossRef]
- Pérez Milena, A. Investigación en Atención Primaria. Año Cero. Med. Fam. Andal. 2015, 16, 7–8. [Google Scholar]
- Amisi, J.; Downing, R. Primary care research: Does it defy definition? Prim. Health Care Res. Dev. 2017, 18, 523–526. [Google Scholar] [CrossRef]
- Cabrera Fernández, S.; Martín Martínez, M.D.; De Francisco Montero, C.; Gabaldón Rodríguez, I.; Vilches Arenas, Á.; Ortega Calvo, M. Modelos predictivos de diabetes gestacional, un nuevo modelo de predicción. Semergen 2021, 47, 515–520. [Google Scholar] [CrossRef]
- Silva, L.C.; y Barroso, I.M. Regresión Logística; Ed. La Muralla/Hespérides: Madrid, Spain, 2004. [Google Scholar]
- López-Puga, J.; García-García, J. Eventos por variable en regresión logística y redes bayesianas para predecir actitudes emprendedoras. REMA 2011, 16, 13–34. [Google Scholar]
- Courvoisier, D.S.; Combescure, C.; Agoritsas, T.; Gayet-Ageron, A.; Perneger, T.V. Performance of logistic regression modeling: Beyond the number of events per variable, the role of data structure. J. Clin. Epidemiol. 2011, 64, 993–1000. [Google Scholar] [CrossRef] [PubMed]
- Van Smeden, M.; de Groot, J.A.; Moons, K.G.; Collins, G.S.; Altman, D.G.; Eijkemans, M.J.; Reitsma, J.B. No rationale for 1 variable per 10 events criterion for binary logistic regression analysis. BMC Med. Res. Methodol. 2016, 16, 163. [Google Scholar] [CrossRef] [PubMed]
- Van Smeden, M.; Moons, K.G.; de Groot, J.A.; Collins, G.S.; Altman, D.G.; Eijkemans, M.J.; Reitsma, J.B. Sample size for binary logistic prediction models: Beyond events per variable criteria. Stat. Methods Med. Res. 2019, 28, 2455–2474. [Google Scholar] [CrossRef] [PubMed]
- Chen, Y.C.; Lai, Y.J.; Su, Y.T.; Tsai, N.C.; Lan, K.C. Higher gestational weight gain and lower serum estradiol levels are associated with increased risk of preeclampsia after in vitro fertilization. Pregnancy Hypertens. 2020, 22, 126–131. [Google Scholar] [CrossRef]
- Huang, J.; Liu, Y.; Yang, H.; Xu, Y.; Lv, W. The Effect of Serum β-Human Chorionic Gonadotropin on Pregnancy Complications and Adverse Pregnancy Outcomes: A Systematic Review and Meta-Analysis. Comput. Math. Methods Med. 2022, 2022, 8315519. [Google Scholar] [CrossRef]
- Collares, F.M.; Korevaar, T.I.M.; Hofman, A.; Steegers, E.A.P.; Peeters, R.P.; Jaddoe, V.W.V.; Gaillard, R. Maternal thyroid function, prepregnancy obesity and gestational weight gain-The Generation R Study: A prospective cohort study. Clin. Endocrinol. 2017, 87, 799–806. [Google Scholar] [CrossRef]
- Svare, A.; Nilsen, T.I.; Bjøro, T.; Asvold, B.O.; Langhammer, A. Serum TSH related to measures of body mass: Longitudinal data from the HUNT Study, Norway. Clin. Endocrinol. 2011, 74, 769–775. [Google Scholar] [CrossRef]
- Wei, Y.; Peng, J.; Li, H.; Wei, M.; Peng, H.; Wang, K.; Yu, Y.; He, Q. Association Between Maternal Fasting Plasma Glucose Value and Fetal Weight Among Singletons of Mothers with Gestational Diabetes Mellitus. Diabetes Metab. Syndr. Obes. 2022, 15, 3799–3807. [Google Scholar] [CrossRef] [PubMed]
- Assel, M.; Sjoberg, D.D.; Vickers, A.J. The Brier score does not evaluate the clinical utility of diagnostic tests or prediction models. Diagn. Progn. Res. 2017, 1, 19. [Google Scholar] [CrossRef]
- Van Den Berg, H.A. Occam’s razor: From Ockham’s via moderna to modern data science. Sci. Prog. 2018, 101, 261–272. [Google Scholar] [CrossRef]
- Shimp, C.P. Ambiguity, logic, simplicity, and dynamics: Wittgensteinian evaluative criteria in peer review of quantitative research on categorization. Behav. Process. 2004, 66, 333–348. [Google Scholar] [CrossRef] [PubMed]



| Number of Women | Percentage | C.I. of the Percentage at 95% | |
|---|---|---|---|
| Normal weight | 353 | 63.38 | 59.4–67.4 |
| Overweight | 131 | 23.52 | 18.3–25.9 |
| Obese | 73 | 13.11 | 10.1–15.8 |
| Number of Women | Percentage | C.I. of the Percentage at 95% | |
|---|---|---|---|
| Normal weight | 214 | 40.61 | 36.6–45.0 |
| Overweight | 209 | 39.66 | 35.5–43.8 |
| Obese | 104 | 19.73 | 16.5–23.2 |
| Arithmetic Mean | Median | Standard Deviation | Q1 | Q3 | n | Lost Values | |
|---|---|---|---|---|---|---|---|
| Age at pregnancy (in years) | 33.45 | 34 | 4.79 | 30 | 37 | 572 | 3 |
| PAPP-A mU/mL. | 2.00 | 1.39 | 2.91 | 0.84 | 2.22 | 506 | 69 |
| Ln PAPP-A | 0.33 | 0.32 | 0.79 | −0.17 | 0.79 | 506 | 69 |
| Beta-hCG | 68.25 | 56.29 | 48.30 | 34.25 | 91.3 | 545 | 30 |
| Week of pregnancy at screening | 10.43 | 10.00 | 1.06 | 10.0 | 11.0 | 521 | 54 |
| BMI T1 | 24.62 | 23.51 | 4.78 | 21.3 | 26.4 | 558 | 17 |
| BMI T2 | 26.84 | 25.94 | 4.84 | 23.5 | 29.1 | 528 | 47 |
| Basal Glucose T1 | 80.31 | 80 | 9.73 | 74 | 85 | 547 | 28 |
| Basal Glucose T2 | 75.34 | 74 | 12.15 | 68 | 81 | 535 | 40 |
| SBP T1 mmHg | 108.27 | 110 | 12.95 | 100 | 117 | 384 | 191 |
| DBP T1 mmHg | 68.55 | 69 | 8.58 | 61 | 74 | 384 | 191 |
| SBP T2 mmHg | 106.99 | 107 | 11.32 | 100 | 115 | 378 | 197 |
| DBP T2 mmHg | 66.99 | 67 | 8.67 | 60 | 73 | 378 | 197 |
| TSH T1 | 2.08 | 1.75 | 2.08 | 1.09 | 2.55 | 374 | 201 |
| TSH T2 | 2.46 | 2.24 | 2.46 | 1.52 | 2.97 | 177 | 398 |
| Free T4 T1 | 1.21 | 1.20 | 0.29 | 1.08 | 1.31 | 134 | 441 |
| Free T4 T2 | 0.96 | 0.96 | 0.14 | 0.86 | 1.05 | 156 | 419 |
| BMI gain | 2.16 | 2.06 | 1.53 | 1.19 | 2.97 | 526 | 49 |
| Weight gain (kg) | 5.827 | 5.5 | 4.332 | −5.6 | 8 | 537 | 38 |
| Estimated Coefficient | Odds Ratio | Significance | |
|---|---|---|---|
| Blood sugar T1 | 0.010 | 1.010 | 0.68 |
| PAPP-A | −0.063 | 0.532 | 0.044 |
| Beta-hCG | −0.012 | 0.987 | 0.10 |
| SBP T1 | 0.045 | 1.047 | 0.037 |
| Age of the mother | 0.008 | 1.008 | 0.86 |
| Estimated Coefficient | C.I. of the Coefficient at 95% | Odds Ratio | C.I. of Odds Ratio | Significance | |
|---|---|---|---|---|---|
| PAPP-A | −0.532367 | −1.22; −0.065 | 0.587 | 0.294; 0.936 | 0.0744 |
| Beta-hCG | −0.010515 | −0.027; 0.002 | 0.989 | 0.972; 1.002 | 0.1631 |
| SBP T1 | 0.037 | −0.004; 0.081 | 1.038 | 0.995; 1.085 | 0.085 |
Disclaimer/Publisher’s Note: The statements, opinions and data contained in all publications are solely those of the individual author(s) and contributor(s) and not of MDPI and/or the editor(s). MDPI and/or the editor(s) disclaim responsibility for any injury to people or property resulting from any ideas, methods, instructions or products referred to in the content. |
© 2024 by the authors. Licensee MDPI, Basel, Switzerland. This article is an open access article distributed under the terms and conditions of the Creative Commons Attribution (CC BY) license (https://creativecommons.org/licenses/by/4.0/).
Share and Cite
Gabaldón-Rodríguez, I.; de Francisco-Montero, C.; Menéndez-Moreno, I.; Balongo-Molina, Á.; Gómez-Lorenzo, A.I.; Rodríguez-García, R.; Vilches-Arenas, Á.; Ortega-Calvo, M. Pregnancy-Associated Plasma Protein A (PAPP-A) as a Predictor of Third Trimester Obesity: Insights from the CRIOBES Project. Pathophysiology 2024, 31, 631-642. https://doi.org/10.3390/pathophysiology31040046
Gabaldón-Rodríguez I, de Francisco-Montero C, Menéndez-Moreno I, Balongo-Molina Á, Gómez-Lorenzo AI, Rodríguez-García R, Vilches-Arenas Á, Ortega-Calvo M. Pregnancy-Associated Plasma Protein A (PAPP-A) as a Predictor of Third Trimester Obesity: Insights from the CRIOBES Project. Pathophysiology. 2024; 31(4):631-642. https://doi.org/10.3390/pathophysiology31040046
Chicago/Turabian StyleGabaldón-Rodríguez, Inmaculada, Carmen de Francisco-Montero, Inmaculada Menéndez-Moreno, Álvaro Balongo-Molina, Ana Isabel Gómez-Lorenzo, Rubén Rodríguez-García, Ángel Vilches-Arenas, and Manuel Ortega-Calvo. 2024. "Pregnancy-Associated Plasma Protein A (PAPP-A) as a Predictor of Third Trimester Obesity: Insights from the CRIOBES Project" Pathophysiology 31, no. 4: 631-642. https://doi.org/10.3390/pathophysiology31040046
APA StyleGabaldón-Rodríguez, I., de Francisco-Montero, C., Menéndez-Moreno, I., Balongo-Molina, Á., Gómez-Lorenzo, A. I., Rodríguez-García, R., Vilches-Arenas, Á., & Ortega-Calvo, M. (2024). Pregnancy-Associated Plasma Protein A (PAPP-A) as a Predictor of Third Trimester Obesity: Insights from the CRIOBES Project. Pathophysiology, 31(4), 631-642. https://doi.org/10.3390/pathophysiology31040046

