Real-World Treatment Patterns, Health Outcomes, and Healthcare Resource Use in Advanced Common EGFR-Positive Non-Small Cell Lung Cancer Patients Treated with Osimertinib in Alberta
Abstract
1. Introduction
2. Materials and Methods
2.1. Study Population and Data Sources
2.2. Statistical Analyses
3. Results
3.1. Patient Characteristics
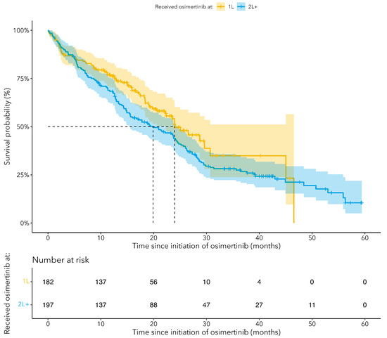
3.2. Overall Cohort: OS and TTNTD
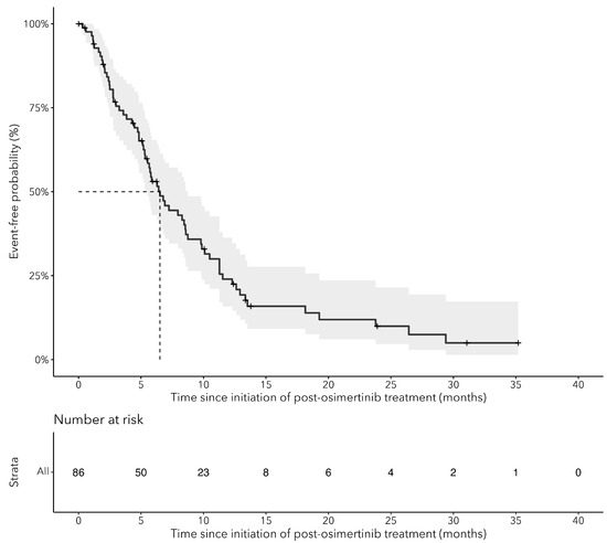
3.3. Post-Osimertinib Cohort: OS and TTNTD
3.4. Healthcare Resource Utilization
3.5. Treatment Patterns
4. Discussion
4.1. Overall Cohort
4.2. Post-Osimertinib Cohort
4.3. Treatment Patterns and Healthcare Resource Utilization
4.4. Strengths and Limitations
5. Conclusions
Author Contributions
Funding
Institutional Review Board Statement
Informed Consent Statement
Data Availability Statement
Conflicts of Interest
References
- Canadian Cancer Statistics 2023. Available online: https://cdn.cancer.ca/-/media/files/research/cancer-statistics/2023-statistics/2023_PDF_EN.pdf (accessed on 7 March 2024).
- Travis, W. Pathology & Genetics Tumours of the Lung, Pleura, Thymus and Heart; World Health Organization: Geneva, Switzerland, 2004. [Google Scholar]
- da Cunha Santos, G.; Shepherd, F.A.; Tsao, M.S. EGFR mutations and lung cancer. Annu. Rev. Pathol. 2011, 6, 49–69. [Google Scholar] [CrossRef] [PubMed]
- Graham, R.P.; Treece, A.L.; Lindeman, N.I.; Vasalos, P.; Shan, M.; Jennings, L.J.; Rimm, D.L. Worldwide Frequency of Commonly Detected EGFR Mutations. Arch. Pathol. Lab. Med. 2018, 142, 163–167. [Google Scholar] [CrossRef] [PubMed]
- Melosky, B.; Banerji, S.; Blais, N.; Chu, Q.; Juergens, R.; Leighl, N.B.; Liu, G.; Cheema, P. Canadian consensus: A new systemic treatment algorithm for advanced EGFR-mutated non-small-cell lung cancer. Curr. Oncol. 2020, 27, e146–e155. [Google Scholar] [CrossRef] [PubMed]
- Woodburn, J.R. The epidermal growth factor receptor and its inhibition in cancer therapy. Pharmacol. Ther. 1999, 82, 241–250. [Google Scholar] [CrossRef] [PubMed]
- Riess, J.W.; Gandara, D.R.; Frampton, G.M.; Madison, R.; Peled, N.; Bufill, J.A.; Dy, G.K.; Ou, S.I.; Stephens, P.J.; McPherson, J.D.; et al. Diverse EGFR Exon 20 Insertions and Co-Occurring Molecular Alterations Identified by Comprehensive Genomic Profiling of NSCLC. J. Thorac. Oncol. 2018, 13, 1560–1568. [Google Scholar] [CrossRef] [PubMed]
- Russo, A.; Franchina, T.; Ricciardi, G.; Battaglia, A.; Picciotto, M.; Adamo, V. Heterogeneous Responses to Epidermal Growth Factor Receptor (EGFR) Tyrosine Kinase Inhibitors (TKIs) in Patients with Uncommon EGFR Mutations: New Insights and Future Perspectives in this Complex Clinical Scenario. Int. J. Mol. Sci. 2019, 20, 1431. [Google Scholar] [CrossRef]
- Passaro, A.; Mok, T.; Peters, S.; Popat, S.; Ahn, M.J.; de Marinis, F. Recent Advances on the Role of EGFR Tyrosine Kinase Inhibitors in the Management of NSCLC With Uncommon, Non Exon 20 Insertions, EGFR Mutations. J. Thorac. Oncol. 2021, 16, 764–773. [Google Scholar] [CrossRef]
- Xu, J.; Jin, B.; Chu, T.; Dong, X.; Yang, H.; Zhang, Y.; Wu, D.; Lou, Y.; Zhang, X.; Wang, H.; et al. EGFR tyrosine kinase inhibitor (TKI) in patients with advanced non-small cell lung cancer (NSCLC) harboring uncommon EGFR mutations: A real-world study in China. Lung Cancer 2016, 96, 87–92. [Google Scholar] [CrossRef]
- Planchard, D.; Jänne, P.A.; Cheng, Y.; Yang, J.C.; Yanagitani, N.; Kim, S.W.; Sugawara, S.; Yu, Y.; Fan, Y.; Geater, S.L.; et al. Osimertinib with or without Chemotherapy in EGFR-Mutated Advanced NSCLC. N. Engl. J. Med. 2023, 389, 1935–1948. [Google Scholar] [CrossRef]
- Ramalingam, S.S.; Vansteenkiste, J.; Planchard, D.; Cho, B.C.; Gray, J.E.; Ohe, Y.; Zhou, C.; Reungwetwattana, T.; Cheng, Y.; Chewaskulyong, B.; et al. Overall Survival with Osimertinib in Untreated, EGFR-Mutated Advanced NSCLC. N. Engl. J. Med. 2020, 382, 41–50. [Google Scholar] [CrossRef]
- Mok, T.S.; Wu, Y.L.; Ahn, M.J.; Garassino, M.C.; Kim, H.R.; Ramalingam, S.S.; Shepherd, F.A.; He, Y.; Akamatsu, H.; Theelen, W.S.; et al. Osimertinib or Platinum-Pemetrexed in EGFR T790M-Positive Lung Cancer. N. Engl. J. Med. 2017, 376, 629–640. [Google Scholar] [CrossRef] [PubMed]
- Vyse, S.; Huang, P.H. Targeting EGFR exon 20 insertion mutations in non-small cell lung cancer. Signal Transduct. Target. Ther. 2019, 4, 5. [Google Scholar] [CrossRef] [PubMed]
- Passaro, A.; Wang, J.; Wang, Y.; Lee, S.H.; Melosky, B.; Shih, J.Y.; Wang, J.; Azuma, K.; Juan-Vidal, O.; Cobo, M.; et al. Amivantamab plus chemotherapy with and without lazertinib in EGFR-mutant advanced NSCLC after disease progression on osimertinib: Primary results from the phase III MARIPOSA-2 study. Ann. Oncol. 2024, 35, 77–90. [Google Scholar] [CrossRef] [PubMed]
- Jaiyesimi, I.A.; Leighl, N.B.; Ismaila, N.; Alluri, K.; Florez, N.; Gadgeel, S.; Masters, G.; Schenk, E.L.; Schneider, B.J.; Sequist, L.; et al. Therapy for Stage IV Non–Small Cell Lung Cancer With Driver Alterations: ASCO Living Guideline, Version 2023.3. J. Clin. Oncol. 2024, 42, e1–e22. [Google Scholar] [CrossRef] [PubMed]
- Koulouris, A.; Tsagkaris, C.; Corriero, A.C.; Metro, G.; Mountzios, G. Resistance to TKIs in EGFR-Mutated Non-Small Cell Lung Cancer: From Mechanisms to New Therapeutic Strategies. Cancers 2022, 14, 3337. [Google Scholar] [CrossRef] [PubMed]
- Hendriks, L.E.; Kerr, K.M.; Menis, J.; Mok, T.S.; Nestle, U.; Passaro, A.; Peters, S.; Planchard, D.; Smit, E.F.; Solomon, B.J.; et al. Non-oncogene-addicted metastatic non-small-cell lung cancer: ESMO Clinical Practice Guideline for diagnosis, treatment and follow-up. Ann. Oncol. 2023, 34, 358–376. [Google Scholar] [CrossRef]
- Fu, K.; Xie, F.; Wang, F.; Fu, L. Therapeutic strategies for EGFR-mutated non-small cell lung cancer patients with osimertinib resistance. J. Hematol. Oncol. 2022, 15, 173. [Google Scholar] [CrossRef]
- Rangachari, D.; Yamaguchi, N.; VanderLaan, P.A.; Folch, E.; Mahadevan, A.; Floyd, S.R.; Uhlmann, E.J.; Wong, E.T.; Dahlberg, S.E.; Huberman, M.S.; et al. Brain metastases in patients with EGFR-mutated or ALK-rearranged non-small-cell lung cancers. Lung Cancer 2015, 88, 108–111. [Google Scholar] [CrossRef] [PubMed]
- Lin, Y.T.; Tsai, T.H.; Wu, S.G.; Liu, Y.N.; Yu, C.J.; Shih, J.Y. Complex EGFR mutations with secondary T790M mutation confer shorter osimertinib progression-free survival and overall survival in advanced non-small cell lung cancer. Lung Cancer 2020, 145, 1–9. [Google Scholar] [CrossRef]
- Chmielecki, J.; Gray, J.E.; Cheng, Y.; Ohe, Y.; Imamura, F.; Cho, B.C.; Lin, M.C.; Majem, M.; Shah, R.; Rukazenkov, Y.; et al. Candidate mechanisms of acquired resistance to first-line osimertinib in EGFR-mutated advanced non-small cell lung cancer. Nat. Commun. 2023, 14, 1070. [Google Scholar] [CrossRef]
- Cho, B.C.; Felip, E.; Hayashi, H.; Thomas, M.; Lu, S.; Besse, B.; Sun, T.; Martinez, M.; Sethi, S.N.; Shreeve, S.M.; et al. MARIPOSA: Phase 3 study of first-line amivantamab + lazertinib versus osimertinib in EGFR-mutant non-small-cell lung cancer. Future Oncol. 2022, 18, 639–647. [Google Scholar] [CrossRef] [PubMed]
- Farah, E.; Carbonell, C.; Boyne, D.J.; Brenner, D.R.; Henning, J.-W.; Moldaver, D.; Shokar, S.; Cheung, W.Y. Treatment Patterns and Health Outcomes among Patients with HER2 IHC0/-Low Metastatic or Recurrent Breast Cancer. Cancers 2024, 16, 518. [Google Scholar] [CrossRef] [PubMed]
- Martins, D.; O’Sullivan, D.E.; Boyne, D.J.; Cheung, W.Y.; Allonby, O.; Habash, M.; Brenner, D.R.; Riemer, J.; McGee, J. Understanding Characteristics, Treatment Patterns, and Clinical Outcomes for Individuals with Advanced or Recurrent Endometrial Cancer in Alberta, Canada: A Retrospective, Population-Based Cohort Study. Curr. Oncol. 2023, 30, 2277–2289. [Google Scholar] [CrossRef] [PubMed]
- O’Sullivan, D.E.; Cheung, W.Y.; Syed, I.A.; Moldaver, D.; Shanahan, M.K.; Bebb, D.G.; Sit, C.; Brenner, D.R.; Boyne, D.J. Real-World Treatment Patterns, Clinical Outcomes, and Health Care Resource Utilization in Extensive-Stage Small Cell Lung Cancer in Canada. Curr. Oncol. 2021, 28, 3091–3103. [Google Scholar] [CrossRef] [PubMed]
- Karim, S.; Lowther, J.; Gyulay, G.; O’Sullivan, D.; Wallis, C.J.D.; Yip, S.M.; Brenner, D.R.; Boyne, D.J.; Cheung, W.Y. A Real-World Evidence Study Using Alberta-Population-Based Data to Describe Treatment Patterns for Metastatic Castration-Sensitive Prostate Cancer Patients (AWARENESS). Curr. Oncol. 2023, 30, 8149–8158. [Google Scholar] [CrossRef] [PubMed]
- O’Sullivan, D.E.; Boyne, D.J.; Gogna, P.; Brenner, D.R.; Cheung, W.Y. Understanding Real-World Treatment Patterns and Clinical Outcomes among Metastatic Melanoma Patients in Alberta, Canada. Curr. Oncol. 2023, 30, 4166–4176. [Google Scholar] [CrossRef] [PubMed]
- Yan, J.T.; Boyne, D.J.; Lo, E.; Farah, E.; O’Sullivan, D.E.; Cheung, W.Y. Real-world impact of patient-reported outcome measurement on overall survival, healthcare use and treatment discontinuation in cancer patients. J. Comp. Eff. Res. 2023, 12, e230061. [Google Scholar] [CrossRef] [PubMed]
- Boyne, D.J.; Ngan, E.; Carbonell, C.; Wani, R.J.; Cirone Morris, C.; Martinez, D.J.; Cheung, W.Y. Real-World Study to Assess Patterns of Treatment Practices and Clinical Outcomes in Metastatic Colorectal Cancer Patients with RAS Wild-Type Left-Sided Tumours in Canada. Curr. Oncol. 2023, 30, 8220–8232. [Google Scholar] [CrossRef]
- Gandara, D.R.; Li, T.; Lara, P.N.; Kelly, K.; Riess, J.W.; Redman, M.W.; Mack, P.C. Acquired resistance to targeted therapies against oncogene-driven non-small-cell lung cancer: Approach to subtyping progressive disease and clinical implications. Clin. Lung Cancer 2014, 15, 1–6. [Google Scholar] [CrossRef]








| Osimertinib (N = 379) | Post-Osimertinib (N = 86) | |
|---|---|---|
| Follow-up time (months) | 36.3 [30.2] | 45.7 [30.8] |
| Source | ||
| Administrative data | 190 (50.1%) | 61 (70.9%) |
| Chart abstraction | 189 (49.9%) | 25 (29.1%) |
| EGFR mutation status (%) | ||
| Exon 19 deletion | 237 (62.5%) | 58 (67.4%) |
| L858R | 137 (36.1%) | 28 (32.6%) |
| Unspecified | NR | NR |
| Age at diagnosis | 65.7 [12.8] | 60.5 [12.5] |
| Sex | ||
| Female | 258 (68.3%) | 51 (59.3%) |
| Male | 120 (31.7%) | 35 (40.7%) |
| Year of diagnosis | ||
| <2015 | 30 (7.9%) | 10 (11.6%) |
| 2015 | 16 (4.2%) | NR |
| 2016 | 31 (8.2%) | 13 (15.1%) |
| 2017 | 30 (7.9%) | NR |
| 2018 | 47 (12.4%) | 10 (11.6%) |
| 2019 | 51 (13.5%) | 13 (15.1%) |
| 2020 | 19 (5.0%) | NR |
| 2021 | 91 (24.0%) | 16 (18.6%) |
| 2022 | 64 (16.9%) | NR |
| Treatment facility | ||
| Academic | 344 (90.8%) | NR |
| Community | 35 (9.2%) | NR |
| Stage at diagnosis | ||
| I | 26 (6.9%) | NR |
| II | NR | NR |
| III | 42 (11.1%) | 10 (11.8%) |
| IV | 300 (79.6%) | 66 (77.6%) |
| Charlson Index | 0.7 [0.9] | 0.6 [0.8] |
| Number of metastases | ||
| 0 | 55 (14.5%) | 16 (18.6%) |
| 1 | 65 (17.2%) | 22 (25.6%) |
| 2 | 32 (8.4%) | 10 (11.6%) |
| 3+ | 38 (10.0%) | 13 (15.1%) |
| Unknown | 189 (49.9%) | 25 (29.1%) |
| Metastases location | ||
| Lung | 264 (69.7%) | 58 (67.4%) |
| Bone | 125 (33.3%) | 33 (38.4%) |
| Liver | 49 (12.9%) | 16 (18.6%) |
| Brain | 80 (21.1%) | 16 (18.6%) |
| Other | 41 (10.8%) | NR |
| Osimertinib discontinuation | ||
| No | 124 (32.7%) | NR |
| Yes | 255 (67.3%) | NR |
| Osimertinib line | ||
| 1L | 182 (48.0%) | 26 (30.2%) |
| 2L+ | 197 (52.0%) | 60 (69.8%) |
| Vital status | ||
| Alive | 158 (41.7) | 25 (29.1) |
| Deceased | 221 (58.3) | 61 (70.9) |
| Number of lines received | 2.0 [1.2] | 3.4 [1.2] |
| Strata | Median OS, Months | Strata |
|---|---|---|
| Sex | ||
| Female | 23.97 (19.9–27.3) | 18.81 (16.7–24.4) |
| Male | 20.65 (15.6–25.1) | 15.68 (12.4–21.8) |
| Age group | ||
| <65 | 24.76 (20.7–29.0) | 17.19 (14.9–23.9) |
| 65+ | 20.94 (17.8–24.6) | 18.35 (15.0–23.3) |
| Cancer stage at diagnosis | ||
| I or II | 24.23 (20.9–NA) | 20.94 (15.9–NA) |
| III | 24.76 (17.2–NA) | 22.39 (15.6–28.4) |
| IV | 22.19 (18.4–25.6) | 16.87 (14.9–21.8) |
| Osimertinib line | ||
| 1L | 24.00 (22.2–NA) | 19.50 (16.7–26.6) |
| 2L+ | 19.89 (15.6–24.4) | 14.93 (12.2–20.9) |
| Year 1 | Year 2 | Year 3 | Year 4 | Year 5 | |
|---|---|---|---|---|---|
| Ever treated with osimertinib (N = 379) | |||||
| No. patients alive | 379 | 330 | 212 | 141 | 94 |
| Inpatient hospitalizations | 0.7 (274) | 0.5 (158) | 0.5 (88) | 0.4 (54) | 0.5 (40) |
| Days hospitalized | 6.4 (2418) | 4.4 (1354) | 5.0 (972) | 9.1 (1115) | 6.2 (493) |
| Outpatient encounters | 8.9 (3376) | 5.4 (1635) | 5.2 (1015) | 4.7 (581) | 4.8 (366) |
| Non-emergency | 7.5 (2826) | 4.2 (1279) | 4.1 (803) | 3.7 (488) | 3.8 (293) |
| Emergency | 1.5 (550) | 1.2 (359) | 1.1 (212) | 1.0 (123) | 1.0 (83) |
| Post-osimertinib (N = 86) | |||||
| No. patients alive | 86 | 84 | 64 | 43 | 31 |
| Inpatient hospitalizations | 0.6 (53) | 0.6 (45) | 0.6 (35) | 0.4 (17) | 0.6 (15) |
| Days hospitalized | 3.4 (293) | 4.2 (337) | 6.9 (419) | 6.3 (259) | 6.5 (168) |
| Outpatient encounters | 9.1 (780) | 5.8 (466) | 6.6 (404) | 4.8 (200) | 5.7 (136) |
| Non-emergency | 7.5 (641) | 4.6 (364) | 5.2 (316) | 3.8 (160) | 4.5 (113) |
| Emergency | 1.6 (139) | 1.3 (102) | 1.4 (88) | 1.0 (41) | 1.1 (28) |
Disclaimer/Publisher’s Note: The statements, opinions and data contained in all publications are solely those of the individual author(s) and contributor(s) and not of MDPI and/or the editor(s). MDPI and/or the editor(s) disclaim responsibility for any injury to people or property resulting from any ideas, methods, instructions or products referred to in the content. |
© 2024 by the authors. Licensee MDPI, Basel, Switzerland. This article is an open access article distributed under the terms and conditions of the Creative Commons Attribution (CC BY) license (https://creativecommons.org/licenses/by/4.0/).
Share and Cite
Cheung, W.Y.; Carbonell, C.; Navani, V.; Sangha, R.S.; Ewara, E.M.; Elia-Pacitti, J.; Iczkovitz, S.; Jarada, T.N.; Warkentin, M.T. Real-World Treatment Patterns, Health Outcomes, and Healthcare Resource Use in Advanced Common EGFR-Positive Non-Small Cell Lung Cancer Patients Treated with Osimertinib in Alberta. Curr. Oncol. 2024, 31, 4382-4396. https://doi.org/10.3390/curroncol31080327
Cheung WY, Carbonell C, Navani V, Sangha RS, Ewara EM, Elia-Pacitti J, Iczkovitz S, Jarada TN, Warkentin MT. Real-World Treatment Patterns, Health Outcomes, and Healthcare Resource Use in Advanced Common EGFR-Positive Non-Small Cell Lung Cancer Patients Treated with Osimertinib in Alberta. Current Oncology. 2024; 31(8):4382-4396. https://doi.org/10.3390/curroncol31080327
Chicago/Turabian StyleCheung, Winson Y., Chantelle Carbonell, Vishal Navani, Randeep S. Sangha, Emmanuel M. Ewara, Julia Elia-Pacitti, Sandra Iczkovitz, Tamer N. Jarada, and Matthew T. Warkentin. 2024. "Real-World Treatment Patterns, Health Outcomes, and Healthcare Resource Use in Advanced Common EGFR-Positive Non-Small Cell Lung Cancer Patients Treated with Osimertinib in Alberta" Current Oncology 31, no. 8: 4382-4396. https://doi.org/10.3390/curroncol31080327
APA StyleCheung, W. Y., Carbonell, C., Navani, V., Sangha, R. S., Ewara, E. M., Elia-Pacitti, J., Iczkovitz, S., Jarada, T. N., & Warkentin, M. T. (2024). Real-World Treatment Patterns, Health Outcomes, and Healthcare Resource Use in Advanced Common EGFR-Positive Non-Small Cell Lung Cancer Patients Treated with Osimertinib in Alberta. Current Oncology, 31(8), 4382-4396. https://doi.org/10.3390/curroncol31080327

