- Editorial
893 Views
12 Pages
Lercanidipin – eine Bereicherung für die Behandlung der arteriellen Hypertonie?
- Rolf P. Engelberger,
- François Feihl and
- Bernard Waeber
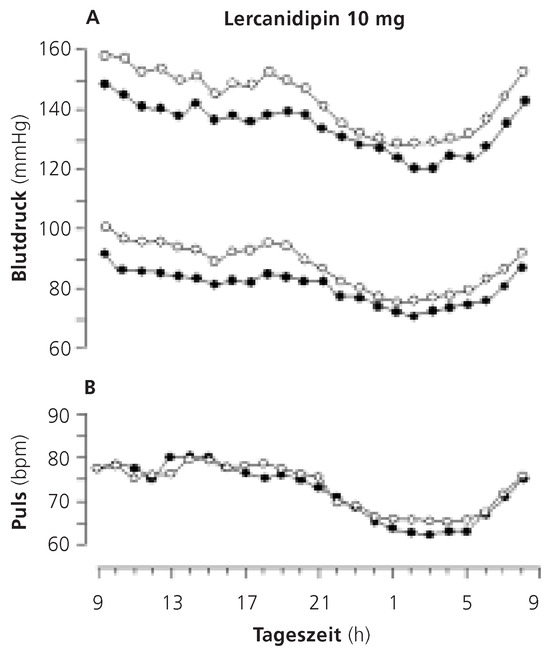
Calcium-channel blockers (CCB) are one of the main therapeutic options for the treatment of hypertension. Within the CCBs, the subgroup of dihydropyridines (DHP) underwent a particularly rapid evolution. A member of the last generation with an improv...

