Summary
Calcium-channel blockers (CCB) are one of the main therapeutic options for the treatment of hypertension. Within the CCBs, the subgroup of dihydropyridines (DHP) underwent a particularly rapid evolution. A member of the last generation with an improved pharmacokinetic profile and a higher vascular selectivity is lercanidipine. As a result of its long receptor half-life, once-daily dosing produces a sustained blood pressure lowering over 24 hours. The gradual onset of action prevents the occurrence of reflex tachycardia. The antihypertensive action is equivalent to other CCBs or agents from other antihypertensive drug classes. In several clinical trials, lercanidipine has been successfully used in combination with other antihypertensive drugs or as addon therapies. When coadministered with betaadrenoceptor blocking drugs, bioavailability of lercanidipine is decreased and therefore an adjustment in the dosage of the latter may be necessary. It is metabolically neutral and one of its major advantages is the lower incidence of ankle oedema. This has a positive impact on therapeutic compliance, a major topic in the treatment of hypertension. Lercanidipine showed in animal and some clinical studies renal and cardiovascular protective effects, unrelated to its antihypertensive activity. In summary, lercanidipine is characterised by a good efficacy and tolerability profile as well as by a large field of applications by reason of its beneficial pharmacodynamic properties.
Zusammenfassung
Die Kalzium-Kanalblocker gehören zu den Grundbausteinen der Hypertoniebehandlung. Innerhalb dieser Wirkstoffklasse hat sich vor allem die Gruppe der Dihydropyridine (DHP) in den letzten Jahren stark entwickelt. Lercanidipin ist eines dieser Moleküle der neusten Generation mit verbesserten pharmakokinetischen Eigenschaften und grosser vaskulärer Selektivität. Eine einmal tägliche Applikation reicht aufgrund der langen Rezeptorhalbwertszeit aus, um den Blutdruck gleichmässig über 24 Stunden zu senken. Dank des graduellen Wirkungseintritts verursacht Lercanidipin keine Reflextachykardie. In bezug auf die Blutdrucksenkung zeigte sich Lercanidipin als ebenso wirksam wie andere Kalzium-Kanalblocker oder Vertreter der restlichen Antihypertonika-Klassen. Zudem wurde Lercanidipin in klinischen Studien auch erfolgreich in Kombinationsoder Add-on-Therapien eingesetzt. In Kombination mit Betablockern kann eine Dosisanpassung erforderlich sein, da letztere die Bioverfügbarkeit Lercanidipins stark reduzieren. Lercanidipin ist stoffwechselneutral, was beispielsweise bei der Kombinationstherapie von Wichtigkeit ist. Ein besonderer Vorteil ist die verminderte Inzidenz von Knöchelödemen. Letzteres wirkt sich positiv auf die Compliance aus, einem entscheidenden Faktor in der Hypertoniebehandlung. In Tierversuchen und einigen klinischen Studien mit Lercanidipin wurden zudem unabhängig von der Blutdruckreduktion nephround kardiovaskuloprotektive Eigenschaften nachgewiesen. Insgesamt zeichnet sich Lercanidipin durch eine gute Wirksamund Verträglichkeit sowie dank zusätzlicher positiver pharmakodynamischer Eigenschaften einem grossen Anwendungsspektrum aus.
Schlüsselwörter: Kalzium-Kanalblocker; Verträglichkeit; Kombinationstherapie; Compliance
Einleitung
Die Hypertonie ist nach wie vor einer der wichtigsten behandelbaren Risikofaktoren für beinahe alle Herz-Kreislauf-Erkrankungen, die Niereninsuffizienz und den Schlaganfall. Bei der Behandlung des erhöhten Blutdrucks spielt die Arzneimitteltherapie neben Lifestyle-Veränderungen die grösste Rolle. Dabei stehen dem behandelnden Arzt mehrere Medikamentengruppen zur Verfügung, welche je nach den individuellen Gegebenheiten des jeweiligen Patienten ihre Vorund Nachteile besitzen. Aufgrund der grossen Bedeutung für die öffentliche Gesundheit und natürlich auch des gewaltigen wirtschaftlichen Potentials wird die Forschung in diesem Bereich sehr stark vorangetrieben, und die wissenschaftliche Datenlage nimmt entsprechend grosse Schritte. Eine wichtige Entwicklung haben insbesondere die Kalzium-Kanalblocker oder Kalziumantagonisten, wie sie weitläufig genannt werden, durchgemacht. Ziel dieser Revue ist es, eine dieser hoffnungsvollen Neuentwicklungen der Kalzium-Kanalblocker-Gruppe, Lercanidipin, anhand von Arbeiten aus der Grundlagenforschung, aber vor allem auch anhand klinischer Studien genauer unter die Lupe zu nehmen.
Kalzium-Kanalblocker
Die Kalzium-Kanalblocker gehören neben den Diuretika, den ACE-Hemmern, den Angiotensin-II-Antagonisten und den Betablockern zu den fünf Medikamentengruppen, welche gemäss der Richtlinien der European Society of Hypertension (ESH) zu den Grundbausteinen der pharmakologischen Hypertoniebehandlung gehören [1].
Kalziumantagonisten wurden in den 80er Jahren des letzten Jahrhunderts als Antihypertonika eingeführt und seither wuchs die Liste der Indikationen stark an (Angina pectoris, hypertrophe Kardiomyopathie, gewisse supraventrikuläre Arrhythmien, Raynaud-Phänomen usw.).
Nach jahrelangen kontroversen Diskussionen konnte in den letzten Jahren aufgrund verschiedener grosser prospektiver Endpunktstudien ein vergleichbarer Effekt der Kalzium-Kanalblocker im Vergleich zu den Diuretika, Betablockern und ACE-Hemmern auf die kardiovaskuläre und kombinierte Mortalität bei Hypertoniepatienten aufgezeigt werden [2,3,4,5,6].
Das gemeinsame Grundprinzip der Kalzium-Kanalblocker beruht auf einer Hemmung spannungsabhängiger Ca2+-Kanäle in der Zellmembran von Herzund glatten Muskelzellen [7]. Dadurch wird der Ca2+-Einstrom während der Depolarisation vermindert und somit die Aktivierung des kontraktilen Systems verhindert. Bisher wurden zehn verschiedene spannungsabhängige Ca2+-Kanäle charakterisiert, wobei therapeutisch vor allem die L(long lasting/large)-Kanäle von Wichtigkeit sind.
Die chemisch heterogene Wirkstoffklasse der Kalzium-Kanalblocker wird entsprechend ihrer Grundstruktur in drei Subklassen eingeteilt: Phenylalkylamin-Derivate (Prototyp: Verapamil), Benzothiazepin-Derivate (Diltiazem) und Dihydropyridin (DHP)-Derivate (Nifedipin).
Die drei Subklassen unterscheiden sich zudem durch ihre Bindestellen an der α1-Untereinheit des L-Typ-Ca2+-Kanals. Phenylalkylaminund Benzothiazepin-Derivate blokkieren zusätzlich noch die T(transient/tiny)-Kanäle, welche bei der Erzeugung von Schrittmacherpotenzialen im Sinusund atrioventrikulären (AV-)Knoten beteiligt sind.
Klinisch relevanter ist jedoch die Einteilung in nicht-DHPund DHP-Derivate (Figure 1), wobei letztere aufgrund ihrer Weiterentwicklung während der letzten Jahre in drei Generationen unterteilt werden [8]. Nicht-DHP-Derivate wirken auf Gefässe und vor allem das Herz (Verapamil > Diltiazem), wo sie einen negativ inotropen, chronotropen und dromotropen Effekt sowie eine arrythmogene Wirkung erzielen. DHP-Derivate hingegen agieren hauptsächlich als Vasodilatatoren. Die DHP-Derivate der ersten Generation mit ihrer kurzen Wirkungsdauer verursachen häufig eine Reflextachykardie und müssen mehrmals täglich verabreicht werden. Die zweite Generation erreicht einerseits durch neue Moleküle, andererseits durch retardierte Zubereitung der Substanzen der ersten Generation eine längere Wirkungsdauer mit weniger Nebeneffekten. Zudem haben die neuen Moleküle sowohl weniger Einfluss auf die AVKonduktion als auch verminderte negative inotrope und chronotrope Effekte. Aufgrund der fluktuierenden antihypertonen Wirkung und des teilweise abrupten Aktivitätsverlustes sind die Medikamente jedoch ebenfalls nicht ideal.
Figure 1.
Entwicklung der Dihydropyridin-Derivate. GITS = gastrointestinal therapeutic system; SR = slow release.
Mit der Entwicklung neuer Substanzen, der dritten Generation der Kalzium-Kanalblocker, wurden die meisten Probleme der früheren Generationen überwunden. Charakterisiert wird diese Gruppe durch intrinsisch länger wirksame Derivate. Amlodipin mit einer langen plasmatischen Halbwertszeit war der erste Repräsentant dieser neuen Generation. Die letzten Neuheiten dieser Entwicklung waren Substanzen mit einer langen Rezeptorhalbwertszeit. Lercanidipin ist ein Vertreter dieser neusten Gruppe und wird im folgenden genauer beschrieben.
Pharmakologie
- PharmakokinetikundInteraktionen
Nach oraler Anwendung von 10–20 mg wird Lercanidipin vollständig resorbiert und unterliegt einem ausgeprägten First-pass-Effekt [9]. Die absolute Bioverfügbarkeit bei Hypertonikern bei gleichzeitiger Nahrungseinnahme liegt bei 10%. Bei gesunden nüchternen Probanden ist die Bioverfügbarkeit auf ein Drittel dieses Wertes reduziert, jedoch erhöht sich diese um das vierfache, wenn Lercanidipin bis zu zwei Stunden nach einer fettreichen Mahlzeit eingenommen wird. Die Erfahrung zeigt dennoch, dass die Einnahmezeit in bezug auf das Frühstück die Wirksamkeit und Sicherheit des Arzneimittels nicht beeinflusst.
Die Plasmaspiegel von Lercanidipin zeigen keine direkte Dosislinearität (nichtlineare Pharmakokinetik). Nach 10, 20, oder 40 mg wurden Plasmaspitzenspiegel im Verhältnis 1:3:8 und area under the curve (AUC)-Werte im Verhältnis 1:4:18 beobachtet. Dies deutet auf eine progressive Sättigung des First-pass-Metabolismus hin [9]. Demgemäss erhöht sich die Verfügbarkeit bei zunehmender Dosis.
Lercanidipin hat eine Plasma-Halbwertszeit von 8–10 Stunden, aufgrund der hohen Bindung an die Lipidmembran dauert die therapeutische Wirksamkeit aber 24 Stunden an [10]. Nach wiederholter Anwendung wurde keine Kumulation beobachtet.
Lercanidipin wird durch CYP3A4 metabolisiert. Die vorwiegend inaktiven Metabolite werden je zu ca. 50% in Urin und Faeces ausgeschieden [9].
Für alte Patienten oder solche mit leichten bis mittelschweren Nierenoder Leberfunktionsstörungen muss keine Dosisanpassung vorgenommen werden, hingegen ist bei Erhöhung der Tagesdosis auf 20 mg Vorsicht geboten. Der Gebrauch von Lercanidipin bei Patienten mit schwerer Leberoder Nierenfunktionsstörung (Dialyse-Patienten mit Kreatinin-Clearance <10 ml/min) ist kontraindiziert.
Aufgrund des beschriebenen Stoffwechsels müssen mögliche Interaktionen mit CYP3A4-Inhibitoren und -Induktoren beachtet werden (siehe Review von Bang et al. [11]). Für die Hypertoniebehandlung ist ebenfalls die Interaktion mit Betablockern von Wichtigkeit [12]. Wird Lercanidipin zusammen mit dem Betablocker Metoprolol verabreicht, welcher hauptsächlich über die Leber eliminiert wird, so ist die Bioverfügbarkeit von Metoprolol nicht verändert, hingegen diejenige von Lercanidipin um 50% reduziert. Dies ist wahrscheinlich auf einen durch Betablocker verringerten hepatischen Blutfluss zurückzuführen und kann deshalb auch bei anderen Wirkstoffen dieser Klasse auftreten. Bei gleichzeitiger Anwendung von Lercanidipin mit Betablockern kann deshalb eine Dosisanpassung erforderlich sein. Andernfalls muss mit einer Verminderung der Wirksamkeit gerechnet werden, jedoch ohne Einfluss auf die Nebeneffekte. Ohne weiteres kann Lercanidipin hingegen gemeinsam mit Diuretika, ACE-Hemmern und Angiotensin-II-Antagonisten verabreicht werden.
Pharmakodynamik
Aktionsmechanismus und vaskuläre Selektivität
Lercanidipin verhindert den transmembranösen Ca2+-Einstrom durch kompetitive Blockierung des L-Typ-Ca2+-Kanals an der DHP-Bin-destelle mit daraus folgender Relaxation der glatten Muskelzellen [10,13]. Dabei wurde für Lercanidipin eine äusserst ausgeprägte Selektivität für die glatte Muskulatur der Blutgefässe gegenüber dem Myokardgewebe nachgewiesen, welche diejenige der anderen DHPDerivate um ein Vielfaches übertrifft [14]. Die Grundlage dieser Selektivität bildent Unterschiede in der Interaktion mit den organspezifischen Splice-Varianten des L-Typ-Ca2+-Kanals [15] und vor allem die grosse Abhängigkeit der Wirkung vom Membranpotential. Glatte Gefässmuskelzellen haben ein weniger negatives Membranruhepotential (–50 bis –60 mV) als Herzmuskelzellen (–80 bis –95 mV). Entsprechend befinden sich bei den Gefässmuskelzellen die meisten Ca2+-Kanäle im inaktiven Status, mit einer sehr hohen Affinität für Lercanidipin, während bei –80 mV Membranpotential beinahe alle Ca2+-Kanäle im Ruhezustand mit sehr geringer Affinität sind [14]. Entsprechend der hohen vaskulären Selektivität hat Lercanidipin eine nur sehr schwache kardiodepressive (negativ inotrope) Wirkung [14].
Antihypertensiver und kardiovaskulärer Effekt
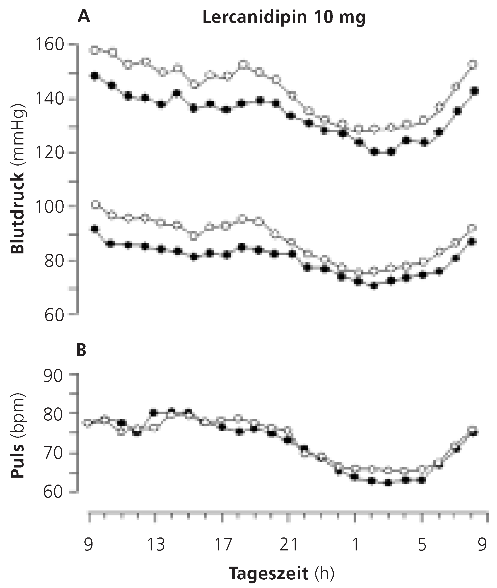
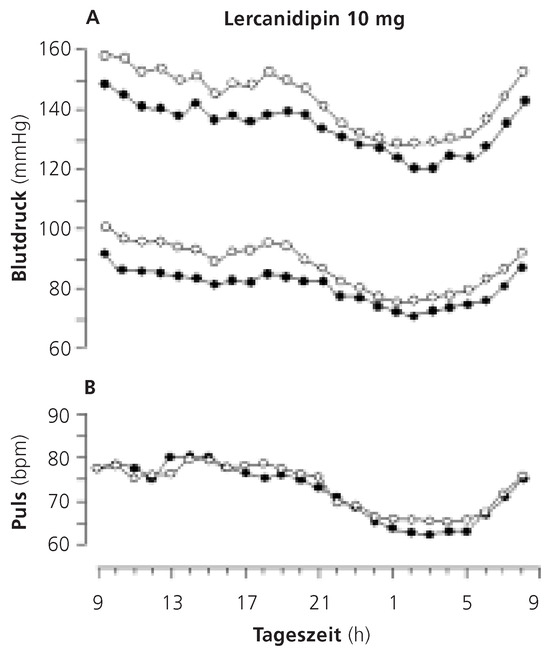
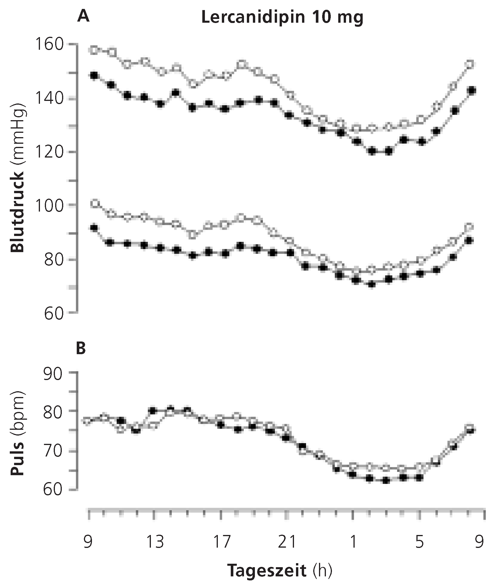
Der Mechanismus der antihypertensiven Wirkung ist auf eine direkte relaxierende Wirkung auf die glatte Gefässmuskulatur zurückzuführen, wodurch eine Reduktion des peripheren Widerstandes erreicht wird. Aufgrund der lipophilen Struktur mit sehr hohem Membranverteilungskoeffizienten hat Lercanidipin trotz seiner kurzen Plasmahalbwertszeit einen graduellen Wirkungseintritt und eine verlängerte antihypertensive Wirkung [10]. Die Blutdruckreduktion nach einer Dosis von 10 mg Lercanidipin p.o. dauert mehr als 24 Stunden mit einem hohen Smoothness Index, als Ausdruck der Homogenität der Blutdruckreduktion während 24 Stunden [16] (Figure 2).
Figure 2.
Durchschnittlicher systolischer und diastolischer Blutdruck (A) und Puls (B) während 24 Stunden vor (offene Kreise) und nach vierwöchiger Behandlung mit Lercanidipin 10 mg (volle Kreise) (modifiziert nach [16]).
Die initiale Sympathikusaktivierung mit Reflextachykardie nach einer einzelnen Dosis (10 mg p.o.) verschwindet nach einer Behandlung von acht Wochen [17].
In mehreren klinischen Studien konnten keine signifikanten EKG-Veränderungen festgestellt werden, und auch die Anzahl supraund ventrikulärer Arrhythmien veränderte sich nach zwei Wochen Lercanidipin-Behandlung nicht [18]. Zudem konnte eine Reduktion der linksventrikulären Hypertrophie bei hypertonen Patienten mit oder ohne Typ-2-Diabetes nach 6–12monatiger Behandlung mit Lercanidipin 10 mg nachgewiesen werden [19].
Zudem wurde Lercanidipin in klinischen Studien erfolgreich zur Behandlung von stabiler Angina pectoris eingesetzt [20].
Renaler Effekt
Im Hinblick auf die Nephroprotektion ist die Wirkung der DHP-Derivate zwiespältig: Einerseits wirkt die systemische Blutdrucksenkung nephroprotektiv, andererseits kommt es durch eine Dilatation der afferenten Arteriole (Vas afferens) zu einer Erhöhung des glomerulären Filtrationsdrucks, was zu einer Proteinurie führen kann. Lercanidipin hat jedoch die Eigenschaft, gleichzeitig die afferente wie auch die efferente Arteriole zu dilatieren, wodurch der glomeruläre Filtrationsdruck reduziert wird [21]. In verschiedenen Tiermodellen wurde die nephroprotektive Wirkung Lercanidipins nachgewiesen, dies auch mit nichthypotensiven Dosen, was daraus schliessen lässt, dass ein Teil der nephroprotektiven Wirkung auf Blutdruck-unabhängigen Mechanismen beruht [22].
In einer klinischen Studie mit hypertonen Typ-2-Diabetikern mit persistierender Mikroalbuminurie wurde nach 9–12monatiger Behandlung mit entweder Lercanidipin (10– 20 mg/d) oder Ramipril (5–10 mg/d) in beiden Gruppen eine signifikante Reduktion der albumin excretion rate (AER) beobachtet, ohne signifikanten Unterschied zwischen den beiden Gruppen [23]. Hingegen konnte in einer anderen Studie mit ebenfalls hypertonen Typ-2-Diabetikern nach einer Behandlungsdauer von 16 Wochen keine Reduktion der AlbuminKreatinin-Ratio nachgewiesen werden [24]. In zwei weiteren Studien mit chronisch niereninsuffizienten Patienten mit oder ohne Diabetes mellitus zeigte Lercanidipin als Add-on-Therapie zu ACE-Hemmern oder Angiotensin-II-Antagonisten zwar eine hohe antihypertensive Wirkung, hingegen wurde die Nierenfunktion nur bei Nicht-Diabetikern im Sinne einer erhöhten Kreatinin-Clearance verbessert [25,26].
Metabolischer Effekt
In mehreren klinischen Studien wurde der Einfluss einer Lercanidipin-Therapie auf die Blutfettwerte untersucht. Bei Patienten mit leichtem bis mittelschwerem essenziellem Bluthochdruck [27] und bei Hypertonikern mit Typ-2-Diabetes [24] wurden nach 24 bzw. 16 Wochen Behandlung keine signifikanten Veränderungen der Serumspiegel für Gesamtcholesterin, HDL-, LDL-Cholesterin, Triglyzeride sowie der Apolipoproteine A-I und B nachgewiesen. Letztere Studie zeigte jedoch eine signifikante Reduktion der Oxydation von LDL-Cholesterin [24]. Robles et al. hingegen berichten von einer Senkung des GesamtcholesterinSpiegels nach sechs Monaten Add-on-Therapie mit Lercanidipin bei chronisch niereninsuffizienten Patienten [25].
In bezug auf das Blutzuckerprofil wurde bei Typ-2-Diabetikern mit gleichzeitigem Bluthochdruck nach einer Therapieperiode von acht Wochen eine Reduktion des Nüchternblutzuckerspiegels und des glykolisierten Hämoglobins A1c (HbA1c) sowie eine verbesserte orale Glukosetoleranz gezeigt [28]. Die Autoren schrieben diese Verbesserung des Glukosehaushalts der insgesamt besseren Compliance der teilnehmenden Patienten aufgrund vermehrter klinischer Kontrollen während der Studienzeit zu. Ihre Schlussfolgerung war, dass Lercanidipin zumindest keinen negativen Einfluss auf die Glukosehomöostase habe. In einer anderen Studie fanden Rachmani et al. keine Veränderung des HbA1c-Spiegels [24].
Lercanidipin und Atherosklerose
Mehrere Schritte zur atherosklerotischen Läsion sind Ca2+-abhängig, wie die Zellproliferation und -Migration, die Synthese und Sekretion von Proteinen, Kollagenfasern und Wachstumsfaktoren, die Blutplättchenaggregation usw. Deshalb ist es nicht verwunderlich, dass sowohl in vitro als auch in vivo und sogar in klinischen Studien für gewisse DHP-Derivate eine blutdruckunabhängige antiatherogene Wirkung nachgewiesen werden konnte [29].
Auch für Lercanidipin gibt es bereits einige Hinweise auf eine vaskuloprotektive Wirkung. In vitro hemmt Lercanidipin dosisabhängig die Esterifikation von Cholesterin in Makrophagen [30] sowie die Proliferation und Migration von glatten Gefässmuskelzellen [31]. Diese Effekte hängen besonders von den lipophilen Eigenschaften, jedoch nicht von der Kalzium-Kanal-Blockierung ab. In endothelialen Zellkulturen (HUVEC) verminderte Lercanidipin die Expression von Adhäsionsmolekülen wie I-CAM und E-Selektin nach Stimulation mit TNF-α [32]. In einem In-vivo-Modell für Atherosklerose wurde eine signifikante Reduktion der Intimahyperplasie sowie der Anzahl von Fettstreifen (fatty streaks) gezeigt, dies unabhängig von Cholesterinspiegeloder Blutdruckveränderungen [33].
Sowohl in vitro als auch in einer klinischen Studie mit Hypertonie-Patienten konnte eine Verminderung der Aktivität gewisser MatrixMetalloproteinasen (MMP) gezeigt werden [30,34]. Diese Enzyme spielen eine wichtige Rolle bei der Gefässremodellierung und der Stabilität der atherosklerotischen Plaque.
In mehreren Arbeiten zeigte Lercanidipin eine antioxidative Aktivität, sowohl in vitro [35] als auch in klinischen Studien bei Hypertoniepatienten mit [24,34] oder ohne [34,36,37] Diabetes mellitus.
In einem Tiermodell mit verfrühten Organschäden durch Überproduktion von Angiotensin II reduzierte Lercanidipin den Plasmaspiegel des endogenen NO-Synthese-Hemmers ADMA (asymmetrisches Dimethylarginin) durch Aktivierung des ADMA-abbauenden Enzyms DDHA (Dimethylarginin-Dimethylamino-Hydrolase) [38]. Dies ist um so interessanter, da aufgrund mehrerer klinischer Studien ADMA als neuer Übermarker des kardiovaskulären Risikos diskutiert wird, indem der ADMA-Spiegel den gemeinsamen Effekt verschiedener Risikofaktoren auf den Zustand der Endothelfunktion reflektiert [39]. Taddei et al. fanden nach dreimonatiger Lercanidipin-Behandlung bei Hypertoniepatienten eine Verbesserung der endothelabhängigen Vasodilatation durch einen Anstieg der NO-Verfügbarkeit [36]. Die ADMA-Konzentrationen wurden bei dieser Arbeit jedoch nicht gemessen. In einer kürzlich erschienenen klinischen Studie wurde eine reduzierte PAI-1 (Plasminogen Activator Inhibitor-1)-Konzentration nachgewiesen [40]. Dieses Enzym hemmt die Fibrinolyse durch Plasmin und wirkt deshalb prothrombotisch.
Insgesamt besitzt Lercanidipin einige vielversprechende vaskuloprotektive Eigenschaften, klinische Studien über den möglichen Einfluss auf die Progression der Koronaroder Karotid-Atherosklerose wurden bisher jedoch noch keine durchgeführt.
Lercanidipin und Hypertonie
Die antihypertensive Wirksamkeit von Lercanidipin wurde in zahlreichen nicht-komparativen und komparativen Studien bei unterschiedlichen Patientengruppen untersucht [11,41].
Wirksamkeit bei leichter bis mittelschwerer Hypertonie (meist definiert durch diastolische Blutdruckwerte zwischen 95–115 mm Hg)
In zwei grossen unkontrollierten Studien (Lercanidipin-Dosis:10–20 mg QD) mit insgesamt mehr als 16 000 Patienten wurde nach 3–6monatiger Behandlung eine durchschnittliche Blutdruckreduktion von 19–26 mm Hg (systolischer BD) und 13–15 mm Hg (diastolischer BD) erreicht [42,43]. Die Herzfrequenz wurde dabei nicht signifikant verändert [16]. Mehrere randomisierte, doppelblinde Studien verglichen Lercanidipin mit anderen KalziumKanalblocker (Table 1). Dabei erwies sich Lercanidipin nach einer Behandlungsdauer von 2–16 Wochen als ebenso effektiv wie Nifedipin SR (20–40 mg BID) [44], Nifedipin GITS (30–60 mg QD) [45,46], Amlodipin (10 mg QD) [47,48], Felodipin 10–20 mg QD [45] und Verapamil SR 240 mg QD [18].
Table 1.
Wirksamkeit und Nebeneffekte von Lercanidipin im Vergleich mit anderen Antihypertensiva bei Patienten mit leichter bis mittlerer Hypertonie
(modifiziert nach [41]).
Eine vergleichende Studie untersuchte den Einfluss verschiedener Kalzium-Kanalblockern (Nifedipin SR 20 mg BID, Nifedipin GITS 60 mg QD, Amlodipin 10 mg QE, Felodipin ER 10 mg QD, Verapamil SR 240 mg QD und Lercanidipin 10 mg QD) auf das 24-Stunden-Blutdruckprofil [49]. Dabei erreichten alle Medikamente ausser Felodipin eine signifikante und homogene Blutdruckreduktion während 24 Stunden, ohne das physiologische Blutdruckprofil zu verändern. Eine signifikante Reduktion der Steigung (in mm Hg/h) der morgendlichen Blutdruckerhöhung wurde jedoch nur für Lercanidipin, Amlodipin und Nifedipin SR nachgewiesen.
In doppelblinden Crossover-Vergleichsstudien mit Antihypertonika anderer Klassen war Lercanidipin gleich wirksam wie Captopril 25 mg BID [50], Hydrochlorothiazid (HCTZ) 12,5 mg QD [27], Atenolol 50 mg QD [51], Losartan 50–100 mg QD [40,52], Telmisartan 80 mg QD [53] und Candestartan [54] (Table 1). In diesen Studien war der Prozentsatz derjenigen Patienten, welche aufgrund einer initial ungenügenden Blutdrucksreduktion eine höhere Dosis des jeweiligen Medikamentes benötigten, unter den verschiedenen Medikamenten vergleichbar [11]. Zusammenfassend produzierte Lercanidipin in all diesen Studien eine signifikante Reduktion der systolischen und diastolischen Blutdruckwerte mit einer hohen Ansprechrate.
Wirksamkeit bei schwerer Hypertonie (definiert durch diastolische Blutdruckwerte ≥110 mm Hg)
Nur eine Studie untersuchte die Wirksamkeit Lercanidipins bei schweren Hypertonikern [55], wobei andere Studien diese Patientengruppen ebenfalls einschlossen, jedoch nicht separat analysierten [43]. Lercanidipin 20– 40 mg reduzierte den durchschnittlichen diastolischen Blutdruck um 26 und 29 mm Hg nach 30 bzw. 60tägiger Behandlung. Dabei war die Ansprechrate mit 91% (96% bei geteilter Dosis) sehr hoch, wovon 52% (68%) mit einer Dosis von 20 mg behandelt wurden.
Wirksamkeit bei älteren Patienten und isolierter systolischer Hypertonie (ISH)
In mehreren doppelblinden Studien wurde die Wirksamkeit bei älteren Patienten (>60 Jahre) mit leichter bis mittelschwerer Hypertonie gezeigt. Dabei war die durchschnittliche Blutdruckreduktion mit Lercanidipin 10–20 mg grösser als mit Plazebo (nach vierwöchiger Behandlung) [56] und gleich wie mit Lacidipin, Amlodipin oder Nifedipin GITS (Table 1) [57,58]. In einer anderen Studie wurde kein Unterschied zwischen Patienten unter und über 65 Jahren festgestellt [59].
Bei älteren Patienten mit ISH war Lercanidipin gleichwertig mit Lacidipin [60] und signifikant wirksamer als Plazebo [61] in bezug auf die Reduktion der systolischen Blutdruckwerte. 62% der Patienten hatten nach acht Wochen Behandlung einen systolischen Blutdruck unter 140 mm Hg [61].
Lercanidipin als Add-onoder Kombinationstherapie
Mehrere Studien haben Lercanidipin als Addon-Therapie bei Patienten, deren Blutdruck mit einem anderen Antihypertensivum nicht optimal kontrolliert war, untersucht. Lercanidipin 10 mg normalisierte die diastolischen Werte nach 4 Wochen Behandlung bei 76% der Patienten mit ungenügender Blutdruckkontrolle unter Atenolol (50–100 mg/d), Enalapril (10–20 mg/d) oder HCTZ/Amilorid (20–50/2,5–5 mg/d). Dieser Prozentsatz stieg nach 12 Wochen sogar auf 89% an, nachdem bei NonRespondern nach der vierten bzw. achten Woche auf 20–30 mg Lercanidipin titriert worden war [62]. In der Studie von Poncelet et al. reduzierte Lercanidipin nach 2monatiger Therapie die Blutdruckwerte wirksam sowohl als Monoals auch als Add-on-Therapie [59]. Bei niereninsuffizienten Hypertonikern mit ungenügender Blutdruckkontrolle unter ACEHemmern oder Angiotensin-II-Antagonisten wurde mit Lercanidipin als Add-on-Therapie bei 58% der Patienten ohne [25] und 27% der Patienten mit [26] Diabetes nach 6monatiger Behandlung die optimalen Blutdruckwerte von <130/85 erreicht. Preliminäre Resultate der ZANYCONTROL-Studie [63] bei Patienten mit leichter bis mittlerer essentieller Hypertonie zeigten, dass die Add-on-Strategie mit Enalapril sehr wirksam und sicher ist. Bei Diabetikern mit schlecht kontrolliertem Blutdruck unter Enalapril war Lercanidipin in einer offenen sequentiellen Studie wirksamer als Metoprolol [64], und in einer doppelblinden Add-on-Studie zumindest gleichwertig mit HCTZ, mit einer leicht höheren Responder-Rate [65].
Weitere Studien wandten Lercanidipin wirksam in Kombinationstherapie mit verschiedenen anderen Antihypertonika an [41], so war Lercanidipin zusammen mit Candesartan in 70% der Fälle wirksam bei Patienten, welche auf eine Monotherapie beider Medikamente nicht angesprochen hatten [54].
Wirksamkeit bei speziellen Patientengruppen
Mehrere grosse unkontrollierte Studien wiesen die Wirksamkeit von Lercanidipin bei Hypertonikern mit verschiedenen Komorbiditäten und Risikofaktoren nach. Marx et al. zeigten in einer grossen Postmarketing-Studie mit über 30 000 hypertonen Patienten, darunter 35% mit Dyslipoproteinämien, 25% mit Diabetes mellitus, 21% mit koronarer Herzkrankheit und 10% mit Herzinsuffizienz, eine gute antihypertensive Wirkung und Verträglichkeit [66] auf. Eine andere offene Studie mit 3175 Patienten untersuchte den Effekt von Lercanidipin in hypertonen Patienten (Grad 1–2) mit verschiedenen Niveaus des kardiovaskulären Gesamtrisikos. Lercanidipin zeigte dabei die grösste Wirksamkeit in der Gruppe mit dem höchsten kardiovaskulären Gesamtrisiko [67]. Dieselbe Forschergruppe wies auch nach, dass Lercanidipin bei übergewichtigen Patienten ebenso wirksam und verträglich ist wie bei Normalgewichtigen [68].
Nebeneffekte und Compliance
Die häufigsten Nebenwirkungen der langwirksamen DHP-Derivate sind Knöchelödeme. Diese sind dosisabhängig und werden durch die arterioläre Dilatation verursacht, was eine Erhöhung des intrakapillaren Drucks und entsprechende Flüssigkeitsextravasation zur Folge hat. Diese Ödeme sind weniger häufig, wenn DHP-Derivate in Kombination mit ACE-Hemmern oder Angiotensin-II-Antagonisten verabreicht werden, welche eine Dilatation der postkapillaren Blutgefässe bewirken.
Lercanidipin wurde in allen bisherigen klinischen Studien gut vertragen. In einer gepoolten Analyse von 20 randomisierten doppelblinden Studien mit insgesamt rund 1800 Patienten wurde unter Lercanidipin-Therapie (10–20 mg) in 11,8% der Fälle Nebenwirkungen gemeldet (vs 7% in der Plazebogruppe) [69]. Die häufigsten unerwünschten Wirkungen waren: Knöchelödeme (0,9–6,1% vs. 1,3% in der Plazebogruppe), Flush (0,9–6,1% vs. 0,4%), Kopfweh (1,7–2,3% vs. 1,3%), Vertigo (0,2–0,6% vs. 0,4%) und Palpitationen (0,6–8,9% vs. 0,4%). Die meisten Nebeneffekte erschienen in den ersten vier Wochen nach Therapiebeginn. Hollenberg zeigte in einer anderen Analyse von 14 Plazebo-kontrollierten, doppelblinden Studien mit insgesamt 1850 Patienten ähnliche Resultate und beschrieb die Nebeneffekte generell als mild bis mittelstark. Zudem hatte die Dosis (zwischen 10 und 20 mg) keinen offensichtlichen Einfluss auf die Inzidenz der unerwünschten Wirkungen [70].
Lercanidipin zeigte im Vergleich mit anderen Antihypertonika (Captopril [50], Atenolol [51], Losartan [52]) in doppelblinden Studien ein vergleichbares Nebeneffekteprofil. Kopfweh und Ödeme wurden am häufigsten beschrieben, und deren Inzidenz war unter den verschiedenen Medikamenten vergleichbar.
Mehrere Studien untersuchten die Häufigkeit der Nebenwirkungen, insbesondere des Knöchelödems, bei Therapie mit verschiedenen Kalzium-Kanalblockern. Im Vergleich mit Amlodipin [47,58,71,72] oder Nifedipin [73] hatten Patienten unter Lercanidipin eine verminderte globale Inzidenz der Nebeneffekte und brachen die Behandlung seltener vorzeitig ab. Im speziellen konnte nachgewiesen werden, dass Lercanidipin weniger Knöchelödeme verursacht. Dies trifft auch auf ältere Patienten [58] und Frauen nach der Menopause [72] zu (Figure 3). In einer anderen offenen Studie, bei welcher durch andere DHPDerivate behandelte Patienten aufgrund der Nebeneffekte auf Lercanidipin umstellten, wurde bei gleich guter Blutdruckkontrolle eine signifikante Verminderung der Nebeneffekte wie Knöchelödeme, Kopfweh, Flush, Ausschlag und Schwindelgefühl festgestellt [71]. Mallion et al. verglichen die Inzidenz der Knöchelödeme von verschiedenen Medikamentenklassen, zu welchen Lercanidipin als Add-on-Therapie aufgrund ungenügender Blutdruckregelung hinzugefügt wurde. Nach zweimonatiger Lercanidipin-Therapie waren in nur gerade 1,7% der Fälle Knöchelödeme aufgetreten. Unter den verschiedenen Medikamentenklassen verzeichnete die Kombination ACE-Hemmer + Lercanidipin die niedrigste Rate (1,2%, vs. 2,6% in Kombination mit Angiotensin-II-Antagonisten, vs. 2,3% mit Diuretika) [74].
Figure 3.
Zunahme des Unterschenkelvolumens (Durchschnittswert ± SD) nach 8 Wochen Behandlung mit Lercanidipin 10/20 mg oder Amlodipin 5/10 mg gegenüber vor der Behandlung, gemessen mit der objektiven Methode der WasserverdrängungsVolumenmetrie (water displacement volumetry) bei 92 Frauen nach der Menopause. * p <0,001 Lercanidipin vs. Amlodipin (modifiziert nach [72]).
Aufgrund des vorteilhaften Nebeneffekteprofils war die Therapieabbruchsrate in sämtlichen Studien mit Lercanidipin sehr klein und vergleichbar mit jener der Plazebobehandlung [16,61,69].
Dosierung und Administration
Die empfohlene orale Dosis beträgt einmal täglich 10 mg und ist vorzugsweise am Morgen einzunehmen. Um die Absorption zu verbessern, sollte Lercanidipin idealerweise mindestens 15 Minuten vor Nahrungsaufnahme eingenommen werden. Abhängig vom Ansprechen des Patienten kann die Dosis auf 20 mg erhöht werden. Dies sollte frühestens nach zwei Wochen erfolgen, weil erst dann die maximale blutdrucksenkende Wirkung erreicht ist [11]. Eine Dosisanpassung für ältere Personen oder Patienten mit leichter bis mittelschwerer Nierenoder Leberdysfunktion ist nicht notwendig.
Schlussfolgerung
Die Behandlung des arteriellen Bluthochdrucks ist und bleibt eine grosse Herausforderung für den behandelnden Arzt. In grossen Studien wurde für alle Antihypertonika-Klassen in bezug auf die Blutdruckreduktion eine vergleichbare Wirksamkeit nachgewiesen. Die Medikamentenwahl hängt deshalb vor allem von den individuellen Gegebenheiten des Patienten und dem Nebeneffekteprofil des Medikamentes ab. Lercanidipin zeigte in klinischen Studien eine sehr gute antihypertensive Wirkung mit im Vergleich zu anderen KalziumKanalblockern weniger Nebeneffekten, insbesondere weniger Knöchelödemen. Dies wiederum wirkt sich positiv auf die Compliance aus, welche in der Hypertoniebehandlung um so wichtiger ist, da die medikamentöse Therapie meist bis ans Lebensende befolgt werden muss. Aufgrund der verlängerten Wirkungsdauer reicht eine einmal tägliche Einnahme, was die Compliance ebenfalls positiv beeinflusst.
Lercanidipin zeigte in Tierversuchen, aber auch in einigen wenigen klinischen Studien, nephround kardiovaskuloprotektive Eigenschaften, unabhängig von der Blutdruckreduktion. Ein weiterer Vorteil ist die Stoffwechselneutralität, was Lercanidipin einerseits ein grosses Anwendungsspektrum verleiht und andererseits sehr geeignet für Kombinationstherapie macht. Letzteres wird in naher Zukunft sicherlich an Wichtigkeit gewinnen, denn neuere Studien unterstreichen das Potential von niedrig dosierten Kombinationstherapien [75]. Dabei muss jedoch die Verminderung der Bioverfügbarkeit Lercanidipins in Kombination mit Betablockern beachtet werden, welche eine Dosiserhöhung Lercanidipins erfordern kann.
Lercanidipin ist zwar kein Wundermittel und wurde bisher noch nicht in grossen Mortalitätsstudien getestet, dafür dank der guten Wirksamund Verträglichkeit ein weiterer Schritt in Richtung einer verbesserten Behandlung der arteriellen Hypertonie.
Conflicts of Interest
The authors declare no conflict of interest.
References
- 2003 European Society of Hypertension-European Society of Cardiology guidelines for the management of arterial hypertension. J Hypertens. 2003, 21, 1011–53.
- Hansson, L.; Hedner, T.; Lund-Johansen, P.; et al. Randomised trial of effects of calcium antagonists compared with diuretics and beta-blockers on cardiovascular morbidity and mortality in hypertension: the Nordic Diltiazem (NORDIL) study. Lancet. 2000, 356, 359–65. [Google Scholar] [CrossRef] [PubMed]
- Hansson, L.; Lindholm, L.H.; Ekbom, T.; et al. Randomised trial of old and new antihypertensive drugs in elderly patients: cardiovascular mortality and morbidity the Swedish Trial in Old Patients with Hypertension-2 study. Lancet. 1999, 354, 1751–6. [Google Scholar] [CrossRef] [PubMed]
- Brown, M.J.; Palmer, C.R.; Castaigne, A.; et al. Morbidity and mortality in patients randomised to double-blind treatment with a long-acting calcium-channel blocker or diuretic in the International Nifedipine GITS study: intervention as a Goal in Hypertension Treatment (INSIGHT). Lancet. 2000, 356, 366–72. [Google Scholar] [CrossRef]
- Major outcomes in high-risk hypertensive patients randomized to angiotensin-converting enzyme inhibitor or calcium channel blocker vs diuretic: The Antihypertensive and Lipid-Lowering Treatment to Prevent Heart Attack Trial (ALLHAT). JAMA 2002, 288, 2981–97. [CrossRef]
- Black, H.R.; Elliott, W.J.; Grandits, G.; et al. Principal results of the Controlled Onset Verapamil Investigation of Cardiovascular End Points (CONVINCE) trial. JAMA. 2003, 289, 2073–82. [Google Scholar] [CrossRef]
- Schubert-Zsilavecz, M.; Stark, H. The medicinal chemistry of L-type calcium channel blockers. Pharm Unserer Zeit. 2005, 34, 374–9. [Google Scholar]
- Luscher, T.F.; Cosentino, F. The classification of calcium antagonists and their selection in the treatment of hypertension. A reappraisal. Drugs. 1998, 55, 509–17. [Google Scholar] [CrossRef]
- Barchielli, M.; Dolfini, E.; Farina, P.; et al. Clinical pharmacokinetics of lercanidipine. J Cardiovasc Pharmacol. 1997, 29, S1–15. [Google Scholar] [CrossRef]
- Herbette, L.G.; Vecchiarelli, M.; Sartani, A.; Leonardi, A. Lercanidipine: short plasma half-life, long duration of action and high cholesterol tolerance. Updated molecular model to rationalize its pharmacokinetic properties. Blood Press Suppl. 1998, 2, 10–7. [Google Scholar] [CrossRef]
- Bang, L.M.; Chapman, T.M.; Goa, K.L. Lercanidipine: a review of its efficacy in the management of hypertension. Drugs. 2003, 63, 2449–72. [Google Scholar] [CrossRef]
- Klotz, U. Interaction potential of lercanidipine, a new vasoselective dihydropyridine calcium antagonist. Arzneimittelforschung. 2002, 52, 155–61. [Google Scholar] [CrossRef]
- Guarneri, L.; Angelico, P.; Ibba, M.; et al. Pharmacological in vitro studies of the new 1,4-dihydropyridine calcium antagonist lercanidipine. Arzneimittelforschung. 1996, 46, 15–24. [Google Scholar]
- Guarneri, L.; Sironi, G.; Angelico, P.; et al. In vitro and in vivo vascular selecivity of lercanidipine and its enantiomers. J Cardiovasc Pharmacol. 1997, 29 (Suppl. 1), S25–32. [Google Scholar] [CrossRef]
- Wirtz, S.; Herzig, S. Molecular mechanisms of vasoselectivity of the 1,4-dihydropyridine lercanidipine. Br J Pharmacol. 2004, 142, 275–84. [Google Scholar] [CrossRef] [PubMed]
- Omboni, S.; Zanchetti, A. Antihypertensive efficacy of lercanidipine at 2.5, 5 and 10 mg in mild to moderate essential hypertensives assessed by clinic and ambulatory blood pressure measurements. Multicenter Study Investigators. J Hypertens. 1998, 16, 1831–8. [Google Scholar] [CrossRef] [PubMed]
- Grassi, G.; Seravalle, G.; Turri, C.; Bolla, G.; Mancia, G. Shortversus long-term effects of different dihydropyridines on sympathetic and baroreflex function in hypertension. Hypertension. 2003, 41, 558–62. [Google Scholar] [CrossRef]
- Cavallini, A.; Terzi, G. Effects of antihypertensive therapy with lercanidipine and verapamil on cardiac electrical activity in patients with hypertension: a randomised, doubleblind pilot study. Curr Ther Res. 2000, 61, 477–87. [Google Scholar] [CrossRef]
- Fogari, R.; Mugellini, A.; Corradi, L.; et al. Efficacy of lercanidipine vs. losartan on left ventricular hypertrophy in hypertensive type 2 diabetic patients. J Hypertens. 2000, 18, 65. [Google Scholar] [CrossRef]
- Acanfora, D.; Gheorghiade, M.; Trojano, L.; et al. A randomized, double-blind comparison of lercanidipine 10 and 20 mg in patients with stable effort angina: clinical evaluation of cardiac function by ambulatory ventricular scintigraphic monitoring. Am J Ther. 2004, 11, 423–32. [Google Scholar] [CrossRef]
- Sabbatini, M.; Leonardi, A.; Testa, R.; Vitaioli, L.; Amenta, F. Effect of calcium antagonists on glomerular arterioles in spontaneously hypertensive rats. Hypertension. 2000, 35, 775–9. [Google Scholar] [CrossRef]
- Sabbatini, M.; Vitaioli, L.; Baldoni, E.; Amenta, F. Nephroprotective effect of treatment with calcium channel blockers in spontaneously hypertensive rats. J Pharmacol Exp Ther. 2000, 294, 948–54. [Google Scholar] [CrossRef]
- Dalla Vestra, M.; Pozza, G.; Mosca, A.; et al. Effect of lercanidipine compared with ramipril on albumin excretion rate in hypertensive Type 2 diabetic patients with microalbuminuria: DIAL study (diabete, ipertensione, albuminuria, lercanidipina). Diabetes Nutr Metab. 2004, 17, 259–66. [Google Scholar] [PubMed]
- Rachmani, R.; Levi, Z.; Zadok, B.S.; Ravid, M. Losartan and lercanidipine attenuate low-density lipoprotein oxidation in patients with hypertension and type 2 diabetes mellitus: a randomized, prospective crossover study. Clin Pharmacol Ther. 2002, 72, 302–7. [Google Scholar] [CrossRef] [PubMed]
- Robles, N.R.; Ocon, J.; Gomez, C.F.; et al. Lercanidipine in patients with chronic renal failure: the ZAFRA study. Ren Fail. 2005, 27, 73–80. [Google Scholar] [CrossRef] [PubMed]
- Robles, N.R.; Pastor, L.; Manjon, M.; et al. Lercanidipine in diabetic patients with renal failure. Nefrologia. 2004, 24, 338–43. [Google Scholar]
- Notarbartolo, A.; Rengo, F.; Scafidi, V.; et al. Long-term effects of lercanidipine on the lipoprotein and apolipoprotein profile of patients with mild-to-moderate essential hypertension. Curr Ther Res. 1999, 60, 228–36. [Google Scholar] [CrossRef]
- Viviani, G.L. Lercanidipine in type II diabetic patients with mild to moderate arterial hypertension. J Cardiovasc Pharmacol. 2002, 40, 133–9. [Google Scholar] [CrossRef][Green Version]
- Berkels, R.; Taubert, D.; Rosenkranz, A.; Rosen, R. Vascular protective effects of dihydropyridine calcium antagonists. Involvement of endothelial nitric oxide. Pharmacology. 2003, 69, 171–6. [Google Scholar] [CrossRef]
- Canavesi, M.; Baldini, N.; Leonardi, A.; Sironi, G.; Bellosta, S.; Bernini, F. In vitro inhibitory effect of lercanidipine on cholesterol accumulation and matrix metalloproteinases secretion by macrophages. J Cardiovasc Pharmacol. 2004, 44, 416–22. [Google Scholar] [CrossRef]
- Corsini, A.; Bonfatti, M.; Quarato, P.; et al. Effect of the new calcium antagonist lercanidipine and its enantiomers on the migration and proliferation of arterial myocytes. J Cardiovasc Pharmacol. 1996, 28, 687–94. [Google Scholar] [CrossRef] [PubMed]
- Cominacini, L.; Pasini, A.F.; Pastorino, A.M.; et al. Comparative effects of different dihydropyridines on the expression of adhesion molecules induced by TNF-alpha on endothelial cells. J Hypertens. 1999, 17, 1837–41. [Google Scholar] [CrossRef] [PubMed]
- Soma, M.R.; Natali, M.; Donetti, E.; et al. Effect of lercanidipine and its (R)-enantiomer on atherosclerotic lesions induced in hypercholesterolemic rabbits. Br J Pharmacol. 1998, 125, 1471–6. [Google Scholar] [CrossRef] [PubMed]
- Martinez, M.L.; Lopes, L.F.; Coelho, E.B.; et al. Lercanidipine reduces matrix metalloproteinase-9 activity in patients with hypertension. J Cardiovasc Pharmacol. 2006, 47, 117–22. [Google Scholar] [CrossRef]
- Cominacini, L.; Fratta Pasini, A.; Garbin, U.; et al. Antioxidant activity of different dihydropyridines. Biochem Biophys Res Commun. 2003, 302, 679–84. [Google Scholar] [CrossRef]
- Taddei, S.; Virdis, A.; Ghiadoni, L.; et al. Calcium antagonist treatment by lercanidipine prevents hyperpolarization in essential hypertension. Hypertension. 2003, 41, 950–5. [Google Scholar] [CrossRef][Green Version]
- Incandela, L.; Belcaro, G.; Cesarone, M.R.; et al. Oxygen-free radical decrease in hypertensive patients treated with lercanidipine. Int Angiol. 2001, 20, 136–40. [Google Scholar]
- Menne, J.; Park, J.K.; Agrawal, R.; et al. Cellular and molecular mechanisms of tissue protection by lipophilic calcium channel blockers. Faseb J. 2006, 20, 994–6. [Google Scholar] [CrossRef]
- Cooke, J.P. Asymmetrical dimethylarginine: the Uber marker? Circulation. 2004, 109, 1813–8. [Google Scholar] [CrossRef]
- Lin, T.H.; Voon, W.C.; Yen, H.W.; et al. Lercanidipine and losartan effects on blood pressure and fibrinolytic parameters. Kaohsiung J Med Sci. 2006, 22, 177–83. [Google Scholar] [CrossRef]
- Borghi, C. Lercanidipine in hypertension. Vascular Health and Risk Management. 2005, 1, 173–82. [Google Scholar]
- Barrios, V.; Navarro, A.; Esteras, A.; et al. Antihypertensive efficacy and tolerability of lercanidipine in daily clinical practice. The ELYPSE Study. Eficacia de Lercanidipino y su Perfil de Seguridad. Blood Press. 2002, 11, 95–100. [Google Scholar] [CrossRef]
- Schwinger, R.; Schmidt-Mertens, A. The new lipophilic calcium channel blocker lercanidipine combines high antihypertensive efficacy with low side effects. Dtsch Med Wochenschr. 2002, 127, S13. [Google Scholar]
- Policicchio, D.; Magliocca, R.; Malliani, A. Efficacy and tolerability of lercanidipine in patients with mild to moderate essential hypertension: a comparative study with slow release nifedipine. J Cardiovasc Pharmacol. 1997, 29, S31–5. [Google Scholar] [CrossRef]
- Romito, R.; Pansini, M.I.; Perticone, F.; Antonelli, G.; Pitzalis, M.; Rizzon, P. Comparative effect of lercanidipine, felodipine, and nifedipine GITS on blood pressure and heart rate in patients with mild to moderate arterial hypertension: the Lercanidipine in Adults (LEAD) Study. J Clin Hypertens (Greenwich). 2003, 5, 249–53. [Google Scholar] [CrossRef] [PubMed]
- Fogari, R.; Mugellini, A.; Zoppi, A.; et al. Differential effects of lercanidipine and nifedipine GITS on plasma norepinephrine in chronic treatment of hypertension. Am J Hypertens. 2003, 16, 596–9. [Google Scholar] [CrossRef][Green Version]
- Pedrinelli, R.; Dell’Omo, G.; Nuti, M.; Menegato, A.; Balbarini, A.; Mariani, M. Heterogeneous effect of calcium antagonists on leg oedema: a comparison of amlodipine versus lercanidipine in hypertensive patients. J Hypertens. 2003, 21, 1969–73. [Google Scholar] [CrossRef]
- De Giorgio, L.; Orlandini, F.; Malasoma, P.; et al. Double-blind, crossover study of lercanidipine versus amlodipine in the treatment of mild-to-moderate essential hypertension. Curr Ther Res. 1999, 60, 511–20. [Google Scholar] [CrossRef]
- Macchiarulo, C.; Piero, R.; Mitolo, D.; et al. Antihypertensive effects of 6 calcium antagonists: evidence from Fourier analysis of 24-hour amulatory blood pressure recordings. Curr Ther Res. 2001, 62, 236–53. [Google Scholar] [CrossRef]
- Barbagallo Sangiorgi, G.; Putignano, E.; Calcara, L.; et al. Efficacy and tolerability of lercanidipine vs. captopril in patients with mild to moderate hypertension in a double-blind controlled study. J Cardiovasc Pharmacol. 1997, 29, S36–9. [Google Scholar] [CrossRef]
- Morisco, C.; Trimarco, B. Efficacy and tolerability of lercanidipine in comparison to and in combination with atenolol in patients with mild to moderate hypertension in a doubleblind controlled study. J Cardiovasc Pharmacol. 1997, 29, S26–30. [Google Scholar] [CrossRef]
- James, I.G.; Jones, A.; Davies, P. A randomised, double-blind, double-dummy comparison of the efficacy and tolerability of lercanidipine tablets and losartan tablets in patients with mild to moderate essential hypertension. J Hum Hypertens. 2002, 16, 605–10. [Google Scholar] [CrossRef] [PubMed][Green Version]
- Sarafidis, P.; Lasaridis, A.; Hatzistavri, L.; et al. The effect of telmisartan and lercanidipine on blood pressure and insulin resistance in hypertensive patients. Rev Clin Pharmacol Pharmacokin Int. 2004, 18, 60–6. [Google Scholar] [CrossRef][Green Version]
- Aranda, P.; Aranda, F.; Bianchi, J.; et al. Therapeutic efficacy and tolerability of lercanidipine versus candesartan, alone or in combination, in mild-to-moderate essential hypertensives. J Hypertens. 2000, 18, S152. [Google Scholar] [CrossRef]
- Paterna, S.; Licata, A.; Arnone, S.; et al. Lercanidipine in two different dosage regimens as a sole treatment for severe essential hypertension. J Cardiovasc Pharmacol. 1997, 29, S50–3. [Google Scholar] [CrossRef]
- Ninci, M.; Magliocca, R.; Malliani, A. Efficacy and tolerability of lercanidipine in elderly patients with mild to moderate hypertsnion in a placebo-controlled, double-blind study. J Cardiovasc Pharmacol. 1997, 29, S40–4. [Google Scholar] [CrossRef]
- Cherubini, A.; Fabris, F.; Ferrari, E.; Cucinotta, D.; Antonelli Incalzi, R.; Senin, U. Comparative effects of lercanidipine, lacidipine, and nifedipine gastrointestinal therapeutic system on blood pressure and heart rate in elderly hypertensive patients: the ELderly and LErcanidipine (ELLE) study. Arch Gerontol Geriatr. 2003, 37, 203–12. [Google Scholar] [CrossRef]
- Leonetti, G.; Magnani, B.; Pessina, A.C.; Rappelli, A.; Trimarco, B.; Zanchetti, A. Tolerability of long-term treatment with lercanidipine versus amlodipine and lacidipine in elderly hypertensives. Am J Hypertens. 2002, 15, 932–40. [Google Scholar] [CrossRef]
- Poncelet, P.; Ribstein, J.; Goullard, L.; Bassous, M.; Gres, C.S.; Clerson, P. Efficacy and acceptability of lercanidipine are not age dependent in patients with essential hypertension: the AGATE study. Ann Cardiol Angeiol (Paris). 2004, 53, 123–30. [Google Scholar] [CrossRef]
- Millar-Craig, M.; Shaffu, B.; Greenough, A.; Mitchell, L.; McDonald, C. Lercanidipine vs. lacidipine in isolated systolic hypertension. J Hum Hypertens. 2003, 17, 799–806. [Google Scholar] [CrossRef]
- Barbagallo, M.; Barbagallo Sangiorgi, G. Efficacy and tolerability of lercanidipine in monotherapy in elderly patients with isolated systolic hypertension. Aging (Milano). 2000, 12, 375–9. [Google Scholar] [PubMed]
- Rengo, F.; Romis, l. Activity of lercanidipine in double-blind comparison with nitrendipine in combination treatment of patients with resistant essential hypertension. J Cardiovasc Pharmacol. 1997, 29, S54–8. [Google Scholar] [CrossRef]
- Guillen, V.; Abellan, J.; Llisterri, J.; et al. Efficacy and safety of lercanidipine in combination with enalapril in HBP. Preliminary results of ZANYCONTROL study group. Am J Hypertens. 2003, 16 (Suppl 1), A115. [Google Scholar]
- Cleophas, T.J.; van Ouwerkerk, B.M.; van der Meulen, J.; Zwinderman, A.H. Diabetics with hypertension not controlled with ACE inhibitors: alternate therapies. Angiology. 2001, 52, 469–75. [Google Scholar] [CrossRef]
- Agrawal, R.; Marx, A.; Haller, H. Efficacy and safety of lercanidipine versus hydrochlorothiazide as add-on to enalapril in diabetic populations with uncontrolled hypertension. J Hypertens. 2006, 24, 185–92. [Google Scholar] [CrossRef]
- Marx, A.; Lichtenthal, A.; Milbredt, C.; et al. Effect of antihypertensive therapy with a new third generation calcium antagonist lercanidipine on patients with concomitant diseases. J Hypertens. 2004, 22, S236. [Google Scholar] [CrossRef]
- Barrios, V.; Calderon, A.; Navarro, A.; et al. Lercanidipine is an effective and well tolerated drug in essential hypertension, independently of the cardiovascular risk. The Laura study. J Hypertens. 2004, 22, S235. [Google Scholar] [CrossRef]
- Barrios, V.; Calderon, A.; Navarro, A.; et al. Lercanidipine effectiveness and tolerability profile is not influenced by overweight or body fat increase. The LERZAMIG study. J Hypertens. 2004, 22, S258–9. [Google Scholar]
- Leonetti, G. The safety profile of antihypertensive drugs as the key factor for the achievement of blood pressure control: current experience with lercanidipine. High Blood Press. 1999, 8, 92–101. [Google Scholar]
- Hollenberg, N. Observations on the safety of lercanidipine: adverse events data from placebo-controlled trials. Am J Hypertens. 2002, 15, 58–9A. [Google Scholar]
- Borghi, C.; Prandin, M.G.; Dormi, A.; Ambrosioni, E. Improved tolerability of the dihydropyridine calcium-channel antagonist lercanidipine: the lercanidipine challenge trial. Blood Press. 2003, 1 (Suppl), 14–21. [Google Scholar] [CrossRef]
- Lund-Johansen, P.; Stranden, E.; Helberg, S.; et al. Quantification of leg oedema in postmenopausal hypertensive patients treated with lercanidipine or amlodipine. J Hypertens. 2003, 21, 1003–10. [Google Scholar] [CrossRef]
- Fogari, R.; Malamani, G.; Zoppi, A. Comparative effect of lercanidipine and nifedipine gastrointestinal therapeutic system on ankle volume and subcutanous interstitial pressure in hypertensive patients: a double-blind, randomised, parallel-group study. Curr Ther Res Clin Exp. 2000, 61, 850–62. [Google Scholar] [CrossRef]
- Mallion, J.; Allaert, F.; Scart-Gres, C.; Bassous, M. Variations in the fequency of lower limb oedema in patients receiving lercanidipine in adjunction to their antihypertensive treatment. J Hypertens. 2004, 22, S269. [Google Scholar] [CrossRef]
- Waeber, B. Comparison of therapeutic strategies in the management of hypertension. Curr Med Res Opin. 2005, 21 (Suppl 5), S13–6. [Google Scholar] [CrossRef]
© 2007 by the author. Attribution - Non-Commercial - NoDerivatives 4.0.




