Self-Adaptive Telemedicine Specialist Recommendation Considering Specialist Activity and Patient Feedback
Abstract
:1. Introduction
- How to effectively model patient and specialist features with privacy-preserving policies and address data sparsity and cold-start issues?
- How to measure specialists’ activity and its change over time, and incorporate them into the recommendation index?
- How to construct a self-adaptive specialist recommendation model that considers patients’ preferences for different recommendation ways?
- How to verify the effectiveness and rationality of the recommendation strategy?
2. Telemedicine Specialist Recommendation Framework
- Data integration and pre-processing: multi-source heterogeneous data are collected, extracted and integrated, which performed operations such as de-duplication, consistency and integrity checks, and then fill rules are constructed to enhance data integrity and reliability.
- Patient feature modeling: the stop words list, and feature and synonym dictionaries are introduced to perform text segmentation on the reliable corpus for text vectorization representation of patients’ EMRs. Then the similarity between patients’ EMRs is calculated to find experienced specialists to be included in the recommended candidate set, and the initial recommendation index of specialists is obtained accordingly.
- Specialists’ long- and short-term knowledge feature modeling: constructing a specialists’ long-term knowledge feature model based on their long-term accumulated knowledge profiles, and extending the recommended specialist set and updating the initial recommendation index according to the similarity of specialists’ long-term knowledge views. Then, the short-term knowledge feature topic model is constructed based on EMRs diagnosed by the specialist. The short-term knowledge features of specialists are mapped to the latent topic space, and the recommended specialist candidate set is extended by calculating the semantic correlation between specialist features in the same topic space.
- Specialist recommendation model construction: we propose a specialist recommendation index that incorporates specialists’ activity to bias the recommendation results toward specialists with higher motivation, and further integrate patient-perceived utility feedback into the recommendation method to realize a self-adaptive specialist recommendation model with feedback adjustment. The effectiveness of the model is eventually verified by comparative experiments.
3. Telemedicine Specialist Recommendation Approach
3.1. Data Integration and Pre-Processing
3.2. Patient Feature Modeling
3.3. Specialist Long- and Short-Term Knowledge Feature Modeling
3.3.1. Knowledge View-Based Long-Term Knowledge Feature Modeling
Feature Representation
Recommended Index Update
3.3.2. LDA-Based Short-Term Knowledge Feature Modeling
LDA Topic Model
- (1)
- Choose a multinomial distribution for the document from a Dirichlet distribution with parameter , i.e., .
- (2)
- Choose a multinomial distribution for the topic from a Dirichlet distribution with parameter , i.e., .
- (3)
- For a word in the document , select a topic from a multinomial distribution , i.e., , and select a word from a multinomial distribution , i.e., . The probabilistic model is shown in Figure 3.
Specialist Short-Term Knowledge Feature Topic Modeling
3.4. Hybrid Recommendation Modeling
3.4.1. Professional Recommendation Integrating Specialists’ Activity
3.4.2. Hybrid Recommendation with Feedback Adjustment Mechanism
Subjective QoS Feedback
Objective QoS Feedback
4. Experimental Analysis and Evaluation of Results
4.1. Sample Selection and Data Processing
4.2. Experimental Design and Evaluation Metrics
4.2.1. Experimental Design
4.2.2. Evaluation Metrics
4.3. Experiments and Result Analysis
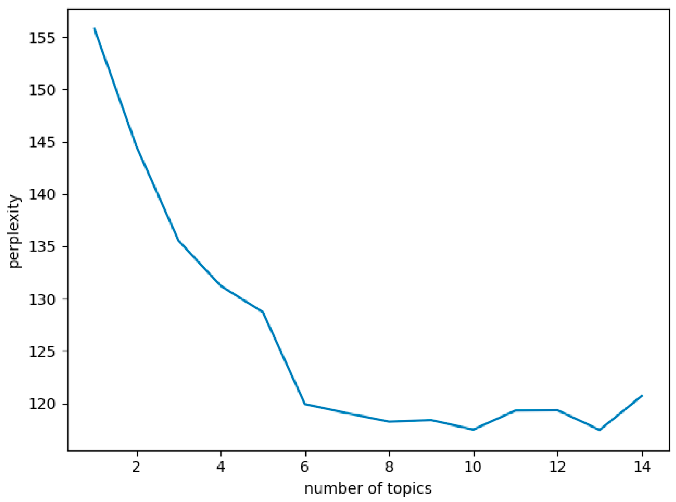
4.3.1. Topic Model Parameter Selection
4.3.2. Experimental Results Analysis
4.3.3. Comparative Experiments
Validity Test of Weights for the Hybrid Recommendation
Validity Test of Recommendation Items for the Hybrid Recommendation
Rationality Evaluation of Recommendation Results
5. Conclusions and Future Works
5.1. Conclusions
- (1)
- The long- and short-term knowledge feature model of specialists is constructed. We use specialists’ profiles as the long-term knowledge to characterize their long-term accumulated experience, and the EMRs diagnosed by specialists in the telemedicine platform as the short-term knowledge to characterize the specialists’ recent concerns. The combination of the above two can describe specialists’ knowledge backgrounds comprehensively, and improve the accuracy and effectiveness of recommendations.
- (2)
- The cold-start problem is alleviated using specialists’ long-term knowledge features. Based on the view similarity between specialists’ long-term knowledge features, we identify similar specialists to the initially recommended specialists and assign a newly recommended index to newly registered specialists accordingly. Then the initially recommended specialist set is updated and extended to increase the recommended chance of newly registered specialists and alleviate the cold-start problem to a certain extent.
- (3)
- We propose a new metric, namely activity, to capture the motivation of specialists and incorporate it into the hybrid recommendation strategy. Specialists’ attitudes toward telemedicine are explained by the explicit behavioral feedback exhibited by specialists and its change over time, which reveals specialists’ activity in the telemedicine business. We propose a specialist recommendation method that considers activity, so that the distribution of recommendation results is biased toward the most frequent and active specialists, thereby improving the recommendation capability.
- (4)
- The feedback adjustment mechanism is introduced into the recommendation strategy to realize the self-adaptive recommendation. The subjective QoS feedback adjusts patients’ preference weights for the professional recommendation and service quality to optimize recommendation ranking, so that the recommendation results focus on high-weight content, leading to an interpretable recommendation strategy. For example, when patients pay more attention to professionalism, the model focuses more on the matching of professional backgrounds, and the interpretation of its recommendation results is expressed as the matching of objective disease characteristics; when patients pay more attention to service quality, the model focuses more on the examination of the comprehensive service quality of specialists. Furthermore, the specialists’ QoS value can be adjusted through the objective QoS feedback of patients after the medical service is completed. Therefore, real-time closed-loop adjustment of specialist recommendations is carried out through subjective and objective QoS feedback mechanisms, making the recommendations time-sensitive while considering patient satisfaction.
5.2. Limitations and Future Directions
Author Contributions
Funding
Institutional Review Board Statement
Informed Consent Statement
Data Availability Statement
Acknowledgments
Conflicts of Interest
Appendix A. Patient Feature Modeling
Appendix B. Knowledge View-Based Long-Term Knowledge Feature Modeling
Appendix C. LDA-Based Short-Term Knowledge Feature Modeling
References
- Lu, W.; Hou, H.L.; Ma, R.; Chen, H.T.; Zhang, R.; Cui, F.F.; Zhang, Q.; Gao, Y.C.; Wang, X.P.; Bu, C.H.; et al. Influencing factors of patient satisfaction in teleconsultation: A cross-sectional study. Technol. Forecast. Soc. 2021, 168, 120775. [Google Scholar] [CrossRef]
- Meng, Q.Q.; Xiong, H.X. A doctor recommendation based on graph computing and LDA topic model. Int. J. Comput. Intell. 2021, 14, 808–817. [Google Scholar] [CrossRef]
- Koonin, L.M.; Hoots, B.; Tsang, C.A.; Leroy, Z.; Farris, K.; Jolly, B.T.; Antall, P.; McCabe, B.; Zelis, C.B.R.; Tong, I.; et al. Trends in the use of telehealth during the emergence of the COVID-19 pandemic—United States, January–March 2020. Morb. Mortal. Wkly. Rep. 2020, 69, 1595–1599. [Google Scholar] [CrossRef] [PubMed]
- Fortune Business Insights. Telehealth Market 2020 Size, Share, Growth, Trends Market to Reach $266.8 Billion by 2026. Available online: https://www.globenewswire.com/news-release/2020/05/14/2033299/0/en/Telehealth-Market-2020-Size-Share-Growth-Trends-Market-to-Reach-266–8-Billion-by-2026.html.2022–04–14 (accessed on 13 April 2022).
- Anderson, J.T.L.; Bouchacourt, L.M.; Sussman, K.L.; Bright, L.F.; Wilcox, G.B. Telehealth adoption during the COVID-19 pandemic: A social media textual and network analysis. Digit. Health 2022, 8, 20552076221090041. [Google Scholar] [CrossRef] [PubMed]
- Hong, Z.Y.; Deng, Z.H.; Evans, R.; Wu, H.Y. Patient questions and physician responses in a Chinese health Q & A website: Content analysis. J. Med. Internet Res. 2020, 22, e13071. [Google Scholar] [CrossRef]
- Wiesner, M.; Pfeifer, D. Health Recommender Systems: Concepts, Requirements, Technical Basics and Challenges. Int. J. Environ. Res. Public Health 2014, 11, 2580–2607. [Google Scholar] [CrossRef] [PubMed] [Green Version]
- Gerber, B.S.; Eiser, A.R. The patient-physician relationship in the Internet age: Future prospects and the research agenda. J. Med. Internet Res. 2001, 3, E15. [Google Scholar] [CrossRef]
- Tran, T.N.T.; Felferning, A.; Trattner, C.; Holzinger, A. Recommender systems in the healthcare domain: State-of-the-art and research issues. J. Intell. Inf. Syst. 2021, 57, 171–201. [Google Scholar] [CrossRef]
- Swar, B.; Hameed, T.; Reychav, I. Information overload, psychological ill-being, and behavioral intention to continue online healthcare information search. Comput. Hum. Behav. 2017, 70, 416–425. [Google Scholar] [CrossRef]
- Han, Q.; Ji, M.; de Troya, I.M.D.; Gaur, M.; Zejnilovic, L. A Hybrid Recommender System for Patient-Doctor Matchmaking in Primary Care. In Proceedings of the IEEE 5th International Conference on Data Science and Advanced Analytics (DSAA), Turin, Italy, 1–4 October 2018; pp. 481–490. [Google Scholar]
- Liu, H.Y.; He, J.; Wang, T.T.; Song, W.T.; Du, X.Y. Combining user preferences and user opinions for accurate recommendation. Electron. Commer. R. A 2013, 12, 14–23. [Google Scholar] [CrossRef]
- Li, J.; Zaman, N. Personalized healthcare recommender based on social media. In Proceedings of the IEEE International Conference on Advanced Information Networking and Applications, Victoria, BC, Canada, 13–16 May 2014; pp. 993–1000. [Google Scholar]
- Tran, T.N.T.; Atas, M.; Felfernig, A.; Stettinger, M. An overview of recommender systems in the healthy food domain. J. Intell. Inf. Syst. 2018, 50, 501–526. [Google Scholar] [CrossRef]
- Sharma, D.; Aujla, G.S.; Bajaj, R. Evolution from ancient medication to human-centered Healthcare 4.0: A review on health care recommender systems. Int. J. Commun. Syst. 2019, e4058. [Google Scholar] [CrossRef]
- Guo, L.; Jin, B.; Yao, C.L.; Yang, H.Y.; Huang, D.G.; Wang, F. Which Doctor to Trust: A Recommender System for Identifying the Right Doctors. J. Med. Internet Res. 2016, 18, e186. [Google Scholar] [CrossRef] [PubMed]
- Yang, Y.; Hu, J.H.; Liu, Y.M.; Chen, X.H. Doctor Recommendation Based on an Intuitionistic Normal Cloud Model Considering Patient Preferences. Cogn. Comput. 2020, 12, 460–478. [Google Scholar] [CrossRef]
- Zaman, N.; Li, J. Semantics-enhanced recommendation system for social healthcare. In Proceedings of the IEEE International Conference on Advanced Information Networking and Applications, Victoria, BC, Canada, 13–16 May 2014; pp. 765–770. [Google Scholar]
- Lee, C.O.; Lee, M.; Han, D.; Jung, S.; Cho, J. A framework for personalized Healthcare Service Recommendation. In Proceedings of the 10th IEEE International Conference on E-health Networking, Applications and Services, Singapore, 7–9 July 2008. [Google Scholar]
- Chen, J.G.; Li, K.L.; Rong, H.G.; Bilal, K.; Yang, N.; Li, K.Q. A Disease Diagnosis and Treatment Recommendation System Based on Big Data Mining and Cloud Computing. Inform. Sci. 2018, 435, 124–149. [Google Scholar] [CrossRef] [Green Version]
- Deng, X.Y.; Huangfu, F.F. Collaborative variational deep learning for healthcare recommendation. IEEE Access 2019, 7, 55679–55688. [Google Scholar] [CrossRef]
- Wu, H.C.; Luk, R.W.P.; Wong, K.F.; Kwok, K.L. Interpreting TF-IDF term weights as making relevance decisions. ACM Trans. Inf. Syst. 2008, 26, 55–59. [Google Scholar] [CrossRef]
- Chen, D.C.; Zhang, R.; Qi, J.Z.; Yuan, B. Sequence-Aware Recommendation with Long-Term and Short-Term Attention Memory Networks. In Proceedings of the 20th IEEE International Conference on Mobile Data Management (MDM), Hong Kong, China, 10–13 June 2019; pp. 437–442. [Google Scholar] [CrossRef]
- Blei, D.M.; Ng, A.Y.; Jordan, M.I. Latent Dirichlet allocation. J. Mach. Learn. Res. 2003, 3, 993–1022. [Google Scholar] [CrossRef]
- Hung, J.L.; Zhang, K. Examining mobile learning trends 2003–2008: A categorical meta-trend analysis using text mining techniques. J. Comput. High. Educ. 2012, 24, 1–17. [Google Scholar] [CrossRef]
- Jelodar, H.; Wang, Y.; Yuan, C.; Feng, X.; Jiang, X.H.; Li, Y.C.; Zhao, L. Latent Dirichlet Allocation (LDA) and Topic modeling: Models, applications, a survey. Multimed. Tools Appl. 2019, 78, 15169–15211. [Google Scholar] [CrossRef] [Green Version]
- Kullback, S.; Leibler, R.A. On Information and Sufficiency. Annu. Math. Stat. 1951, 22, 79–86. [Google Scholar] [CrossRef]
- Centola, D. The spread of behavior in an online social network experiment. Science 2010, 329, 1194–1197. [Google Scholar] [CrossRef] [PubMed]
- Sogou, Thesaurus of Sogou. Available online: https://pinyin.sogou.com/dict/detail/index/15125 (accessed on 30 December 2021).
- Bag, S.; Ghadge, A.; Tiwari, M.K. An integrated recommender system for improved accuracy and aggregate diversity. Comput. Ind. Eng. 2019, 130, 187–197. [Google Scholar] [CrossRef] [Green Version]









| Specialists | Knowledge Attributes | |||
|---|---|---|---|---|
| … | ||||
| … | ||||
| … | ||||
| … | … | … | … | … |
| … | ||||
| Textual Preference | Extremely Like | Like | Fair | Dislike | Extremely Dislike |
| Numerical preference | 4 | 3 | 2 | 1 | 0 |
| Dataset | #Specialists | #Patients | #Consultations |
|---|---|---|---|
| IMD | 163 | 7598 | 8233 |
| SMD | 120 | 3010 | 3138 |
| No. | #Patient | Similarity | #Specialist |
|---|---|---|---|
| 1 | 9629 | 0.4661 | S267 |
| 2 | 8730 | 0.4572 | S183 |
| 3 | 10,444 | 0.4509 | S207 |
| 4 | 771 | 0.4418 | S184 |
| 5 | 987 | 0.3578 | S165 |
| 6 | 1127 | 0.3216 | S275 |
| 7 | 2333 | 0.3025 | S94 |
| 8 | 6056 | 0.3025 | S263 |
| 9 | 6771 | 0.3012 | S120 |
| 10 | 6773 | 0.3012 | S104 |
| Specialist | Similarity | Similar Specialist | … | Specialist | Similarity | Similar Specialist |
|---|---|---|---|---|---|---|
| S267 | 0.9837 | S3 | … | S104 | 0.9018 | S268 |
| 0.9796 | S270 | 0.8976 | S177 | |||
| 0.9773 | S67 | 0.8629 | S25 | |||
| 0.9640 | S152 | 0.8579 | S221 | |||
| 0.9622 | S63 | 0.8514 | S225 | |||
| 0.9436 | S207 | 0.8109 | S241 | |||
| 0.9400 | S8 | 0.8040 | S175 | |||
| 0.9246 | S9 | 0.8007 | S133 | |||
| 0.9005 | S200 | 0.7888 | S87 | |||
| … | … | … | … |
Publisher’s Note: MDPI stays neutral with regard to jurisdictional claims in published maps and institutional affiliations. |
© 2022 by the authors. Licensee MDPI, Basel, Switzerland. This article is an open access article distributed under the terms and conditions of the Creative Commons Attribution (CC BY) license (https://creativecommons.org/licenses/by/4.0/).
Share and Cite
Lu, W.; Zhai, Y. Self-Adaptive Telemedicine Specialist Recommendation Considering Specialist Activity and Patient Feedback. Int. J. Environ. Res. Public Health 2022, 19, 5594. https://doi.org/10.3390/ijerph19095594
Lu W, Zhai Y. Self-Adaptive Telemedicine Specialist Recommendation Considering Specialist Activity and Patient Feedback. International Journal of Environmental Research and Public Health. 2022; 19(9):5594. https://doi.org/10.3390/ijerph19095594
Chicago/Turabian StyleLu, Wei, and Yunkai Zhai. 2022. "Self-Adaptive Telemedicine Specialist Recommendation Considering Specialist Activity and Patient Feedback" International Journal of Environmental Research and Public Health 19, no. 9: 5594. https://doi.org/10.3390/ijerph19095594
APA StyleLu, W., & Zhai, Y. (2022). Self-Adaptive Telemedicine Specialist Recommendation Considering Specialist Activity and Patient Feedback. International Journal of Environmental Research and Public Health, 19(9), 5594. https://doi.org/10.3390/ijerph19095594

