Abstract
Objective: The aim of this systematic review was to summarize the literature regarding the clinical performance of zirconia crowns for primary teeth. Materials and Methods: Four electronic databases, Ovid, PubMed, Scopus, and Web of Science were searched. Clinical, observational, and laboratory studies were included. Studies that assessed the performance of zirconia crowns for primary teeth using outcomes such as gingival and periodontal health, parental satisfaction, color stability, crown retention, contour, fracture resistance, marginal integrity, surface roughness, and recurrent caries were included. Risk of bias was assessed using different assessment tools depending on the type of the assessed study. Results: Out of the 2400 retrieved records, 73 full-text records were assessed for eligibility. Thirty-six studies were included for qualitative analysis. The included studies reported that zirconia crowns for primary teeth were associated with better gingival and periodontal health, good retention, high fracture resistance, color stability, high parental acceptance, good marginal adaptation, smooth cosmetic surface, and no recurrent caries. Conclusion: Zirconia crowns are promising alternative to other restorative materials and crowns in the field of pediatric dentistry. They showed higher properties and performance in different clinical aspects and great parental satisfaction.
1. Introduction
Dental caries is considered the most common infectious disease globally [1,2,3]. Internationally, 60–90% of children suffer from this disease [2,4]. When left untreated, caries could severely damage the tooth structure which will require restoration to one or more of the tooth surfaces. If it progresses further, the tooths pulp will be affected, and inflammation may result. At this stage, the tooth may require pulp therapy [5,6,7], and most probably the remaining tooth structure will need to be covered with a crown. This may be necessary to maintain the integrity of the treated tooth until the eruption of its permanent successor. Primary teeth play an important role in preserving space in the arch for the permanent teeth beside their important functions in speech and mastication [8]. For this reason, it is best to treat primary molars with extensive and large carious lesions, multiple affected surfaces or that have undergone pulp therapy with full coverage restorations or crowns. Full coverage is essential to provide long-term protection and durability and prevent recurrent decay [9].
The most widely recognized full coverage restoration method used in pediatric dentistry is the use of stainless steel crowns [10,11]. Stainless steel crowns are pre-formed metal crowns that have shown significant clinical success and are considered a favorable restoration method for multiple surfaces and larger carious lesions on primary molars [12,13,14]. Studies have evaluated the performance of stainless steel crowns in comparison to other restoration methods and found that stainless steel crowns showed a higher lifespan and durability [15,16,17,18]. The stainless steel crowns have reasonable costs and are less technique sensitive during placement [11,19].
Despite the favorable qualities mentioned above, stainless steel crowns have some drawbacks, including their poor esthetic appearance. This led their rejection by most parents as they are becoming more engaged in the treatment planning for their children and more considerate of their esthetic appearance [20,21,22,23]. In addition, tooth-colored restorations are preferred among children while silver-colored amalgam restorations are the least preferred [24,25].
Zirconia crowns were introduced in 2008 as an alternative restorative treatment. Zirconia has an extensive history of being an excellent biocompatible material [26]. One of the main advantages of zirconia crowns are their esthetically excellent appearance alongside their durability [27,28,29]. In addition, zirconia crowns have shown less plaque accumulation in comparison to other materials due to their highly polished surface [30,31]. However, there are some clinical limitations and disadvantages for zirconia crowns as they require aggressive tooth reduction and are expensive [27,32].
Zirconia as a material demonstrated excellent mechanical properties. Its flexural strength could reach up to 1200 MPa, and its toughness may reach up to 10 MPa [33,34]. When compared to porcelain-fused-to-metal crowns, zirconia crowns reported a higher strength which could reach to three times higher [33,34].
Zirconia crowns are relatively a new topic in pediatric dentistry. In this review, we aimed to review the literature systematically and explore the performance of zirconia crowns for primary teeth in clinical or laboratory settings. Different outcomes measures were considered for a comprehensive review.
2. Materials and Methods
2.1. Research Question
The review protocol was preset but not published. The Preferred Reporting Items for Systematic Reviews and Meta-Analyses (PRISMA) guidelines for systematic reviews and meta-analysis were followed. The PICO question of this systematic review was:
- Population: Primary teeth OR pediatric patients OR extracted teeth.
- Intervention: Pediatric zirconia crowns.
- Comparator: Other restorative materials OR crowns.
- Outcomes: Periodontal health, parental satisfaction, color stability, crown retention, contour, fracture resistance, marginal integrity, surface roughness, and recurrent caries.
2.2. Search Strategies
Four search strategies were built and applied for the following databases: PubMed, Web of Science, Scopus, and Ovid (Table 1). The last search was run on 5 January 2022. No date or language restriction was applied during the database searches.
Table 1.
Search strategies.
2.3. Eligibility Criteria
In this systematic review, we included any relevant articles focused on prefabricated/ready-made zirconia crowns as permanent coverage crowns for primary teeth as interventions, with any other crown types or restorations as a comparison or no comparison. Clinical, observational, and laboratory in vitro studies were included with no restrictions used for language or the type of study. Clinical studies with special health care patients and studies on pediatric patients with permanent teeth only were excluded.
2.4. Studies Screening and Selection
The citations were then uploaded to the Covidence online platform for title and abstract screening. Two reviewers screened the titles and abstracts independently, and any conflict was resolved by a senior reviewer. The included citations were then screened as full texts.
2.5. Data Extraction
The data was extracted from the included studies by four reviewers. The extracted data included qualitative and quantitative data. The extracted data included publication date, sample size, size of each group, sex distribution, age, interventions, outcome parameters, and outcome findings.
2.6. Quality Assessment
The risk of bias of the included studies was assessed by two independent reviewers. The assessment tools were adapted the Cochrane assessment tools for the included clinical and observational studies and from previously published scoping and systematic reviews for the laboratory studies [35,36]. Clinical studies with one to two “Yes” only were considered to have a low risk of bias. Studies scoring three to four “Yes” or five to six “Yes” were considered to have a medium risk of bias or a high risk of bias, respectively. Observational studies with one to three “Yes” were considered to have a low risk of bias. Studies scoring four to five “Yes” or six to seven “Yes” were considered to have medium risk of bias or high risk of bias, respectively. Laboratory studies with one to three “Yes” were considered to have low risk of bias. Studies scoring four to six “Yes” or seven to eight “Yes” were considered to have moderate risk of bias or high risk of bias.
2.7. Data Synthesis
A qualitative summary of the included studies’ characteristics and findings was reported. We performed a quantitative meta-analysis using a fixed-effect model or a random-effect model if an I2 statistic at or below 50% was found with no significant methodological heterogeneity or an I2 statistic was found to be above 50% with no significant methodological heterogeneities, respectively. However, if significant statistical or methodological heterogeneity was found, a meta-analysis was not conducted.
3. Results
From the initial database searches, 2400 records were retrieved. Duplicates were removed, and 1877 records left for title and abstract screening. After title and abstract screening, full texts of 73 records were assessed for eligibility (Figure 1). Thirty-six studies were included in the final qualitative assessment, and six studies were included in the quantitative assessment.
Figure 1.
PRISMA 2020 flow diagram of the search results from the databases.
3.1. Characteristics of the Included Studies
The characteristics of the included studies are presented in Table 2. The table included the type of study, sample size, outcome measures, interventions, and comparators. There was variation in the types of zirconia crowns used and evaluated in the included studies.
Table 2.
Included studies’ characteristics.
3.2. Quality Assessment of the Included Studies
The quality assessments of the individual included studies are shown in Figure 2, Figure 3 and Figure 4. The overall quality assessments of the existing evidence based on the type of included studies are presented in Figure 5.
Figure 2.
Individual study’s risk of bias appraisal for the included clinical studies.
Figure 3.
Individual study’s risk of bias appraisal for the included observational studies.
Figure 4.
Individual study’s risk of bias appraisal for the included laboratory studies.
Figure 5.
Risk of bias appraisal for each parameter. (A) Clinical studies. (B) Observational studies. (C) Laboratory studies.
3.3. Gingival and Periodontal Health
Thirteen studies assessed gingival and periodontal health when placing different types of zirconia crowns. The assessment time varied between 1 week and 36 months after crown placement. Two studies [50,53] showed no significant differences in gingival index and periodontal index while four studies [27,30,42,62] showed significant differences in both indices between different types of crowns or restorations in comparison to zirconia crowns. A summary of the findings of each study regarding this outcome is presented in Supplemental Table S1.
3.4. Parental Satisfaction
Eight studies evaluated the level of parental satisfaction of zirconia crowns. It was shown that zirconia crowns had a higher satisfaction rate than different control groups in all studies [21,37,40,41,43,59,64,66]. Supplemental Table S2 shows the details of the findings for this outcome.
3.5. Color Stability
Nine studies investigated the color stability and stain resistance when using zirconia crowns. The evaluation time was between 1 and 36 months after crown placement. All studies reported high color stability and stain resistance of zirconia crowns [30,37,43,51,54,59,62,63,64]. Two randomized clinical trials showed no significant differences between zirconia crowns and control groups [51,62]. Supplemental Table S3 illustrates the detailed findings about the color stability of zirconia crowns.
3.6. Crown Retention
Thirteen studies assessed the retention of zirconia crowns. The assessment time varied between 1 week and 36 months after crown placement. One randomized clinical trial showed that zirconia crowns had a statistically significant higher retention rate when using packable glass ionomer [50]. Two randomized clinical trials showed a statistically significantly higher retention rate of zirconia crowns when compared to the control groups [27,62]. An additional description of the findings for this outcome is shown in Supplemental Table S4.
3.7. Fracture Resistance
Eleven studies evaluated the fracture resistance of zirconia crowns. The evaluation time was between 1 week and 36 months. One randomized clinical trial showed high fracture resistance of zirconia crowns [30], and two laboratory studies proved that zirconia crowns required high fracture loads to break in comparison to the control groups [45,47]. Supplemental Table S5 gives more information about the findings.
3.8. Marginal Integrity
Eight studies assessed the marginal integrity of zirconia crowns. The assessment time ranged from 3 to 33.8 months. One laboratory study showed that zirconia crowns cemented with resin cement had a statistically significant lower internal gap width than the control group [48]. and four studies proved that zirconia crowns have high marginal adaptation and were clinically ideal [37,51,60,63,69]. A summary of the results from different studies is provided in Supplemental Table S6.
3.9. Surface Roughness
Four studies investigated the presence of surface roughness among zirconia crowns. One randomized clinical trial showed that all zirconia crowns exhibited a smooth surface except two crowns that showed slight roughness but were clinically acceptable. However, the difference was not statistically significant when compared to the control group [51]. A summary and details of the results are provided in Supplemental Table S7.
3.10. Recurrent Caries
Four studies evaluated the presence of recurrent caries with different types of zirconia crowns. The follow-up time ranged from 3 to 24 months. It was shown that zirconia crowns did not cause recurrent caries in all included studies. One study showed a statistically significant difference between zirconia crowns and the control groups [60]. Supplemental Table S8 shows the details of the results.
3.11. Crown Contour
Two retrospective studies assessed the crown contour of zirconia crowns, and the majority were natural looking and cosmetic [37,63]. Supplemental Table S9 summarizes the findings.
3.12. Meta-Analyses
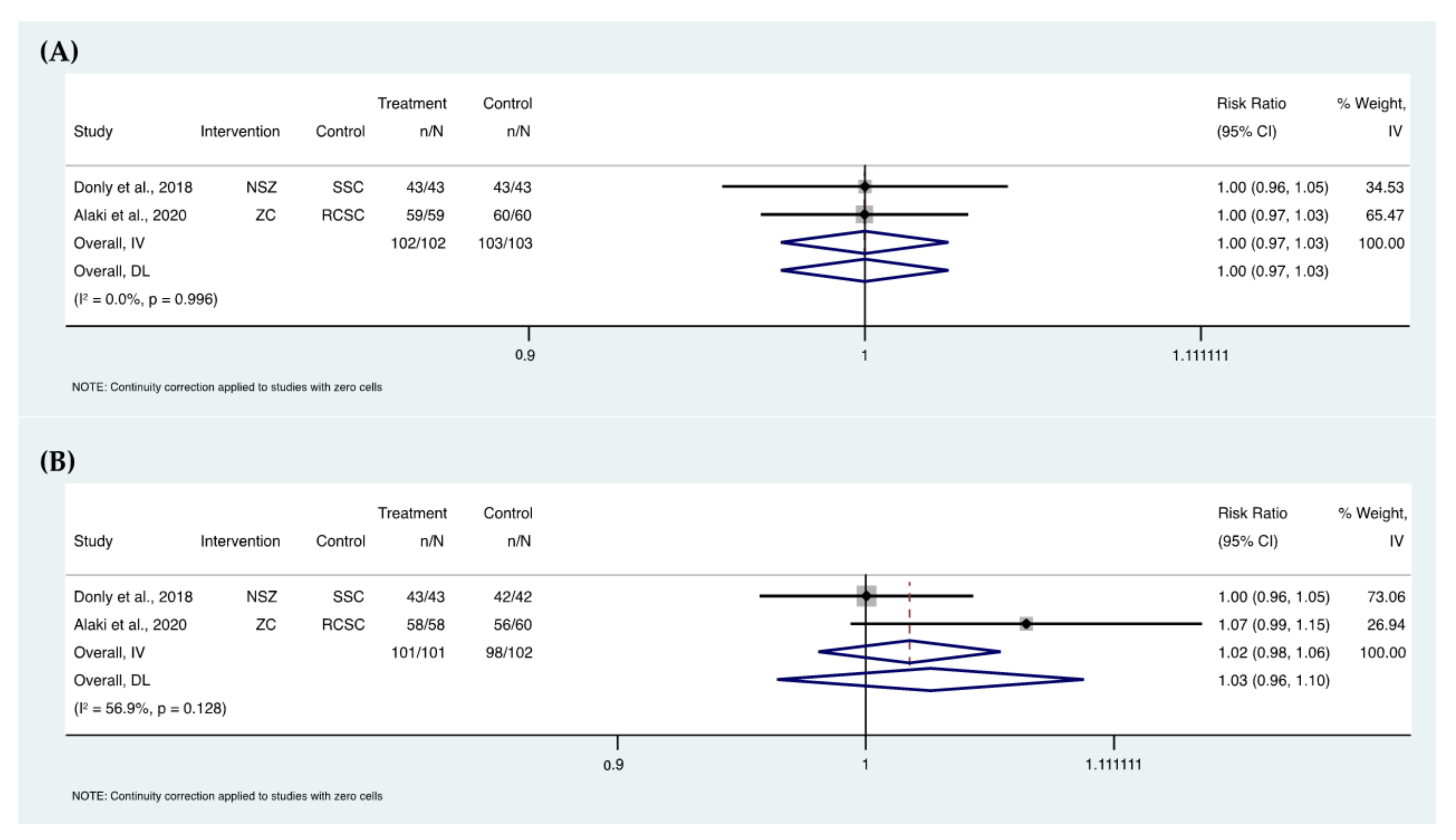
Four meta-analyses were performed (Figure 6 and Figure 7). Two analyses included three studies [27,30,43,64] and two analyses included two studies [30,43,51,57]. The quantitative grouping of these studies showed no differences between zirconia crowns and their control groups in the two compared outcomes: crown retention and recurrent caries. This was based on the clinical results for the retention at 6 (relative risk (RR) = 1.02, 95% CI, 0.94–1.11, p = 0.115; I2 = 53.8%) and 12 (RR = 1.00, 95% CI, 0.94–1.05, p = 0.447; I2 = 0%) months, and for the recurrent caries at 6 (RR = 1.00, 95% CI, 0.97–1.03, p = 0.996; I2 = 0%) and 12 (RR = 1.03, 95% CI, 0.96–1.10, p = 0.128; I2 = 56.9%) months.
Figure 6.
Forest plots of the retention of zirconia crowns at 6 (A) and 12 (B) months (NSZ, NuSmile zirconia crown; ZZC, Zirkiz zirconia crown; KKZ, Kinder Krown zirconia crown; SSC, stainless steel crown; RCSC, resin composite strip crown; PVSSC, pre-veneered stainless steel crown; GFRC; glass fiber-reinforced composite crown—Figaro Crowns).
Figure 7.
Forest plots of recurrent caries of zirconia crowns at 6 (A) and 12 (B) months (NSZ, NuSmile zirconia crown; SSC, stainless steel crown; ZC, zirconia crown; RCSC, resin composite strip crown).
4. Discussion
Zirconia crowns for primary teeth are in high demand from parents who seek more esthetically pleasant dental restorations for their children. Research has been undertaken to compare the properties of zirconia crowns for primary teeth with other similar restorations such as stainless steel crowns. This systematic review aimed to summarize the performance of zirconia crowns for primary teeth by reporting the findings in the literature of 3575 teeth that were included regarding their different clinical aspects and parental satisfaction. These clinical aspects include gingival and periodontal health, color stability, retention, fracture resistance, marginal integrity, restoration failure, surface roughness, recurrent caries, and crown contour.
Zirconia crowns are indicated as the same as any other available type of crown in pediatric dentistry. However, there are some potential drawbacks of zirconia crowns such as the difficulty of adjustments to provide mechanical retention in contrast to stainless steel crown, the limitation of the shades available in the clinics, and the prolonged procedure time. The zirconia crowns require more tooth structure reduction to accomplish better adaptation. Pulpal exposure and postoperative complications also have been noted during the preparation for zirconia crowns [32]. Even with the variety of companies and esthetic demands, zirconia crowns are considered to be expensive when compared to other treatment alternatives [32,33].
One of the important parameters to assess in a crown is its effect on gingival and periodontal health. An ideal material for a crown would have no plaque accumulation on the surface. Different materials used for crowns may have different properties leading to different plaque accumulation amounts. Other factors such as types of cements also may affect periodontal health. In this review, we found that most of the included studies found that zirconia crowns had significantly lower levels of plaque accumulation, especially when compared to resin-coated crowns [57]. This could be due to the surface properties of zirconia including its superior hardness. This makes them resistant to scratches and they may have a shiny, smooth polished surface. Another reason could be the low surface energy of zirconia crowns which may lead to low plaque and bacterial adhesion. Although, if the plaque accumulated on the surfaces, it was reported to be thinner than the plaque on stainless steel crowns [42,70]. This is due to the smoother surfaces and margins of zirconia crowns unlike stainless steel crowns or strip crowns which require a customization and recontouring before cementation. The recontouring or adjustments may create irregularities on surfaces and margins, favoring the accumulation of plaque and affecting periodontal health [30]. Therefore, zirconia is being used for a variety of applications such as implants [71]
In this review, nearly all included studies showed greater parental acceptance of zirconia crowns compared to other treatment modalities, even when other esthetic restorations such as pre-veneered stainless steel crowns were offered or used. Zirconia crowns scored the highest satisfaction rates for the parents and their children [13,21,37,40]. This shows that although the process of preparing crowns is prolonged, the esthetic component of a restoration is important for parents [37,72]. This is an important point for the clinician to consider when offering treatment plan options. This is important especially for anterior teeth where esthetics is of high importance [72].
The review findings also showed that zirconia crowns have a high degree of color stability. This factor can be considered when offering zirconia as an esthetic solution to parents when compared to other crowns such as the resin-coated stainless steel crowns. Zirconia crowns exhibit a highly polished surface that prevents staining and color deterioration [59]. With sterilization techniques, zirconia crowns showed no color changes along with crazing or fractures which was the lowest of the tested groups (stainless steel crowns and pre-veneered stainless steel crowns) [54].
The color change of the latter can negate the original purpose of the resin as an esthetic solution as resin is prone to staining over time when exposed to agents such as coffee or dark soft drinks [73,74].
Although some studies have shown that the stainless steel crowns have a higher retention rate than the zirconia crown, the retention of the zirconia crown is acceptable. This is because the clinician is unable to crimp and counter the crown clinically to adapt it to the tooth and must rely upon the prefabricated form of the crown. This is also considering the relatively short period of time that the restoration will be in the patient mouth as the deciduous tooth will be exfoliated in a couple of years. Regardless, stainless steel crowns facilitate its retention through crimping and contouring while zirconia crowns require greater tooth reduction to create more surface area for cement anchorage [13,32,39]. Furthermore, superior retention was found in zirconia crowns when compared to other esthetic crowns such as Luxa crown and strip crowns [60]. Different zirconia crowns from different manufacturers have different methods of retention. Zirconia crowns by NuSmile are different from others by having no grooves on their inner surface. On the other hand, zirconia crowns such as the ones by Kinder Krown have grooves in their inner occlusal and axial surfaces to improve retention [75]. These grooves are wider in EZCrowns [75,76]. In this systematic review, zirconia crowns by Kinder Krown, NuSmile, and EZCrowns showed acceptable levels of retention when compared to other restorations or crowns.
The included studies in this review showed high fracture resistance of zirconia crowns for primary teeth. This may make them a good alternative to resin restorations in patients with grinding habits. Although some studies suggest that ceramic compounds can produce a degree of wear on the opposing teeth [77], a review of the literature indicates that zirconia crowns do not cause this phenomenon [78]. One area of concern for zirconia crowns for primary teeth is the fact they are prefabricated and are not custom-made for the patients’ teeth. Therefore, marginal adaptation and integrity may be compromised. This review showed that using resin cement may be recommended due to the cement acting as a barrier in less ideally adapted margins [48]. Other in vitro studies have corroborated this fact [79]. Even with zirconia crown in a prefabricated state, four studies proved that zirconia crowns have high marginal adaptation and were clinically acceptable [37,51,60,63]. A 12 months study period revealed that zirconia crowns and stainless steel crowns had better marginal adaptation along with facing integrity than composite strip crowns [59]. The surface of zirconia crowns may show some roughness according to our review although they are clinically acceptable. Our review also showed that zirconia crowns have a high deal of success with a low rate of recurrent caries.
In this review, meta-analyses were conducted on two parameters: the retention of zirconia crowns and the rate of recurrent caries. Both parameters were comparable to control treatments used in the included studies. However, more randomized clinical trials are recommended as only a few studies were included in these analyses as most of the clinical trials did not have control groups to compare the performance of zirconia crowns for primary teeth. The follow-up periods in the included studies in the meta-analyses were at 6 and 12 months. The total number of the included zirconia crowns assessed for retention were 83 crowns at 6-month follow-up and 78 crowns at the 12-month follow-up period with a total of 118 control crown/teeth at 6-month and 78 crowns/teeth at 12-month follow-up periods. For the recurrent caries assessment, intervention and control groups were almost similar in the number of included crowns/teeth which was around 100.
It is important to point out the variation between the included studies in terms of age groups of the included patients. It was observed that participants’ ages ranged from three to nine years old. Additionally, the variation in the study types ranging from split-mouth design to observational design should be considered as this may affect the interpretation of the findings.
This review was limited by several factors including the focus on only articles in English language and the lack of search in gray literature which may leave some evidence unavailable. However, this review included a larger number of studies than the previously published review [78]. Additionally, this review covered a wider range of outcome measures and clinical aspects regarding the performance of zirconia crowns for primary teeth.
5. Conclusions
In conclusion, zirconia crowns are a promising alternative to other restorative materials and crowns in the field of pediatric dentistry. They showed greater properties and performance in terms of different clinical aspects and great parental satisfaction. However, there is a need for more randomized clinical trials that assess the various clinical aspects of primary teeth zirconia crown performance in comparison to other types of crowns or restorations for primary teeth. Additionally, further clinical studies with longer follow-up periods are needed. When considering zirconia crowns as an alternative to other materials and crowns for primary teeth, length of procedure, expensive cost, and dentist skills should be considered, especially for primary teeth.
Supplementary Materials
The following are available online at https://www.mdpi.com/article/10.3390/ijerph19052838/s1, Table S1. Summary of the included studies’ findings about zirconia crowns for primary teeth and gingival and periodontal health; Table S2. Summary of the included studies’ findings about parental satisfaction with zirconia crowns for primary teeth; Table S3. Summary of the included studies’ findings about the color stability of zirconia crowns for primary teeth; Table S4. Summary of the included studies’ findings about the retention of zirconia crowns for primary teeth; Table S5. Summary of the included studies’ findings about the fracture resistance of zirconia crowns for primary teeth; Table S6. Summary of the included studies’ findings about the marginal integrity of zirconia crowns for primary teeth; Table S7. Summary of the included studies’ findings about the surface roughness of zirconia crowns for primary teeth; Table S8. Summary of the included studies’ findings about recurrent caries with zirconia crowns for primary teeth; Table S9. Summary of the included studies’ findings about the crown contour of zirconia crowns for primary teeth.
Author Contributions
Conceptualization, S.D.A. and M.S.I.; methodology, M.S.I.; software, S.D.A., E.S.H. and M.S.I.; validation, M.S.I.; formal analysis, S.D.A., R.M.A., M.A.A., A.M.A.E. and L.N.K.; investigation, S.D.A., R.M.A., M.A.A., A.M.A.E. and L.N.K.; resources, M.S.I.; data curation, B.S.A., E.S.H., A.M.S. and M.S.I.; writing—original draft preparation, S.D.A., R.M.A., M.A.A., A.M.A.E. and L.N.K.; writing—review and editing, B.S.A., E.S.H., A.M.S. and M.S.I.; visualization, R.M.A., M.A.A., A.M.A.E. and M.S.I.; supervision, M.S.I.; project administration, S.D.A. and R.M.A.; funding acquisition, None. All authors have read and agreed to the published version of the manuscript.
Funding
This research received no external funding.
Institutional Review Board Statement
Not applicable.
Informed Consent Statement
Not applicable.
Data Availability Statement
No new data were created or analyzed in this study. Data sharing is not applicable to this article.
Conflicts of Interest
The authors declare no conflict of interest.
References
- Frencken, J.E.; Sharma, P.; Stenhouse, L.; Green, D.; Laverty, D.; Dietrich, T. Global epidemiology of dental caries and severe periodontitis—A comprehensive review. J. Clin. Periodontol. 2017, 44, S94–S105. [Google Scholar] [CrossRef]
- Peres, M.A.; Macpherson, L.M.D.; Weyant, R.J.; Daly, B.; Venturelli, R.; Mathur, M.R.; Listl, S.; Celeste, R.K.; Guarnizo-Herreño, C.C.; Kearns, C.; et al. Oral diseases: A global public health challenge. Lancet 2019, 394, 249–260. [Google Scholar] [CrossRef]
- Ozdemir, D. Dental Caries: The Most Common Disease Worldwide and Preventive Strategies. Int. J. Biol. 2013, 5, 55–61. [Google Scholar] [CrossRef]
- World Health Organization. Oral Health. 2012. Available online: https://www.who.int/news-room/fact-sheets/detail/oral-health (accessed on 5 March 2020).
- Murthy, A.K.; Pramila, M.; Ranganath, S. Prevalence of clinical consequences of untreated dental caries and its relation to dental fear among 12–15-year-old schoolchildren in Bangalore city, India. Eur. Arch. Paediatr. Dent. 2014, 15, 45–49. [Google Scholar] [CrossRef]
- Bjørndal, L.; Simon, S.; Tomson, P.L.; Duncan, H.F. Management of deep caries and the exposed pulp. Int. Endod. J. 2019, 52, 949–973. [Google Scholar] [CrossRef]
- Parisay, I.; Ghoddusi, J.; Forghani, M. A review on vital pulp therapy in primary teeth. Iran. Endod. J. 2015, 10, 6–15. [Google Scholar] [CrossRef] [PubMed]
- Mendes, F.M.; De Benedetto, M.S.; Zardetto, C.G.D.C.; Wanderley, M.T.; Correa, M.S.N.P. Resin composite restoration in primary anterior teeth using short-post technique and strip crowns: A case report. Quintessence Int. 2004, 35, 689–692. [Google Scholar]
- Roberts, J.F.; Attari, N.; Sherriff, M. The survival of resin modified glass ionomer and stainless steel crown restorations in primary molars, placed in a specialist paediatric dental practice. Br. Dent. J. 2005, 198, 427–431. [Google Scholar] [CrossRef] [Green Version]
- Seale, N.S.; Randall, R.C. The use of stainless steel crowns: A systematic literature review. Pediatric Dent. 2015, 37, 145–160. [Google Scholar]
- Innes NP, T.; Ricketts, D.; Chong, L.Y.; Keightley, A.J.; Lamont, T.; Santamaria, R.M. Preformed crowns for decayed primary molar teeth. Cochrane Database Syst. Rev. 2015, 2015, 7. [Google Scholar] [CrossRef]
- Santamaría, R.M.; Innes NP, T.; Machiulskiene, V.; Schmoeckel, J.; Alkilzy, M.; Splieth, C.H. Alternative Caries Management Options for Primary Molars: 2.5-Year Outcomes of a Randomised Clinical Trial. Caries Res. 2018, 51, 605–614. [Google Scholar] [CrossRef] [Green Version]
- Chowdhury, S.; Chakraborty, P. Universal health coverage—There is more to it than meets the eye. J. Fam. Med. Prim. Care 2017, 6, 169–170. [Google Scholar] [CrossRef]
- Garg, V.; Panda, A.; Jolly Shah, P.P. Crowns in pediatric dentistry: A review. Crowns Pediatric Dent. 2015, 4, 41–46. [Google Scholar] [CrossRef]
- Randall, R.C.; Vrijhoef, M.M.; Wilson, N.H. Efficacy of Preformed Metal Crowns vs. Amalgam Restorations in Primary Molars: A Systematic Review. J. Am. Dent. Assoc. 2000, 131, 337. [Google Scholar] [CrossRef]
- Zahdan, B.A.; Szabo, A.; Gonzalez, C.D.; Okunseri, E.M.; Okunseri, C.E. Survival rates of stainless steel crowns and multi-surface composite restorations placed by dental students in a pediatric clinic. J. Clin. Pediatric Dent. 2018, 42, 167–172. [Google Scholar] [CrossRef] [PubMed]
- Gao, S.S. The longevity of posterior restorations in primary teeth. Evid. Based Dent. 2018, 19, 44. [Google Scholar] [CrossRef]
- Einwag, J.; Dünninger, P. Stainless Steel Crown Versus Multisurface Amalgam Restorations: An 8-Year Longitudinal Clinical Study. Quintessence Int. 1996, 27, 321–323. [Google Scholar]
- Zafar, S.; Siddiqi, A. Biological responses to pediatric stainless steel crowns. J. Oral Sci. 2020, 62, 245–249. [Google Scholar] [CrossRef]
- Taylor, G.D. Aesthetic preformed crowns for primary teeth. Evid. Based Dent. 2017, 18, 43–44. [Google Scholar] [CrossRef]
- Salami, A.; Walia, T.; Bashiri, R. Comparison of parental satisfaction with three tooth-colored full-coronal restorations in primary maxillary incisors. J. Clin. Pediatric Dent. 2015, 39, 423–428. [Google Scholar] [CrossRef]
- Hamrah, M.H.; Mokhtari, S.; Hosseini, Z.; Khosrozadeh, M.; Hosseini, S.; Ghafary, E.S.; Hamrah, M.H.; Tavana, N. Evaluation of the Clinical, Child, and Parental Satisfaction with Zirconia Crowns in Maxillary Primary Incisors: A Systematic Review. Int. J. Dent. 2021, 2021, 7877728. [Google Scholar] [CrossRef] [PubMed]
- Roberts, C.; Lee, J.Y.; Wright, J.T. Clinical evaluation of and parental satisfaction with resin-faced stainless steel crowns. Pediatric Dent. 2001, 23, 28–31. [Google Scholar]
- Espelid, I.; Cairns, J.; Askildsen, J.E.; Qvist, V.; Gaarden, T.; Tveit, A.B. Preferences over dental restorative materials among young patients and dental professionals. Eur. J. Oral Sci. 2006, 114, 15–21. [Google Scholar] [CrossRef]
- Fishman, R.; Guelmann, M.; Bimstein, E. Children’s Selection of Posterior Restorative Materials. J. Clin. Pediatric Dent. 2006, 31, 1–4. [Google Scholar] [CrossRef] [PubMed]
- Ashima, G.; Bhatia, S.K.; Gauba, K.; Mittal, H.C. Zirconia crowns for rehabilitation of decayed primary incisors: An Esthetic alternative. J. Clin. Pediatric Dent. 2014, 39, 18–22. [Google Scholar] [CrossRef] [PubMed]
- Walia, T.; Salami, A.A.; Bashiri, R.; Hamoodi, O.M.; Rashid, F. A randomised controlled trial of three aesthetic full-coronal restorations in primary maxillary teeth. Eur. J. Paediatr. Dent. 2014, 15, 113–118. [Google Scholar] [PubMed]
- Pozo, P.P.; Fuks, A.B. Zirconia Crowns—An Esthetic and Resistant Restorative Alternative For ECC Affected Primary Teeth. J. Clin. Pediatr. Dent. 2014, 38, 193–196. [Google Scholar] [CrossRef]
- Aboushelib, M.N.; Kleverlaan, C.J.; Feilzer, A.J. Microtensile bond strength of different components of core veneered all-ceramic restorations: Part II: Zirconia veneering ceramics. Dent. Mater. 2006, 22, 857–863. [Google Scholar] [CrossRef]
- Taran, P.K.; Kaya, M.S. A comparison of periodontal health in primary molars restored with prefabricated stainless steel and zirconia crowns. Pediatric Dent. 2018, 40, 334–339. [Google Scholar]
- Bashaer, A.; Abdullah, M.; Alaki, S.; Alamoudi, N.; Attar, M. Clinical evaluation between zirconia crowns and stainless steel crowns in primary molars teeth. J. Pediatric Dent. 2017, 5, 21. [Google Scholar] [CrossRef]
- Clark, L.; Wells, M.H.; Harris, E.F.; Lou, J. Comparison of amount of primary tooth reduction required for anterior and posterior zirconia and stainless steel crowns. Pediatric Dent. 2016, 38, 42–46. [Google Scholar]
- D’Addazio, G.; Santilli, M.; Rollo, M.L.; Cardelli, P.; Rexhepi, I.; Murmura, G.; Husain NA, H.; Sinjari, B.; Traini, T.; Özcan, M.; et al. Fracture resistance of Zirconia-reinforced lithium silicate ceramic crowns cemented with conventional or adhesive systems: An in vitro study. Materials 2020, 13, 2012. [Google Scholar] [CrossRef] [PubMed]
- Pjetursson, B.E.; Sailer, I.; Zwahlen, M.; Hämmerle, C.H.F. A systematic review of the survival and complication rates of all-ceramic and metal-ceramic reconstructions after an observation period of at least 3 years. Part I: Single crowns. Clin. Oral Implant. Res. 2007, 18 (Suppl. 3), 73–85. [Google Scholar] [CrossRef]
- Ibrahim, M.S.; Garcia, I.M.; Kensara, A.; Balhaddad, A.A.; Collares, F.M.; Williams, M.A.; Ibrahim, A.S.; Lin, N.J.; Weir, M.D.; Xu, H.H.K.; et al. How we are assessing the developing antibacterial resin-based dental materials? A scoping review. J. Dent. 2020, 99, 103369. [Google Scholar] [CrossRef]
- Alamri, A.; Salloot, Z.; Alshaia, A.; Ibrahim, M.S. The Effect of Bioactive Glass-Enhanced Orthodontic Bonding Resins on Prevention of Demineralization: A Systematic Review. Molecules 2020, 25, 2495. [Google Scholar] [CrossRef] [PubMed]
- Holsinger, D.M.; Wells, M.H.; Scarbecz, M.; Donaldson, M. Clinical evaluation and parental satisfaction with pediatric Zirconia anterior crowns. Pediatric Dent. 2016, 38, 192–197. [Google Scholar]
- Walia, T.; Brigi, C.; KhirAllah, A.R.M.M. Comparative evaluation of surface roughness of posterior primary zirconia crowns. Eur. Arch. Paediatr. Dent. 2019, 20, 33–40. [Google Scholar] [CrossRef] [PubMed]
- Jing, L.; Chen, J.W.; Roggenkamp, C.; Suprono, M.S. Effect of Crown Preparation Height on Retention of a Prefabricated Primary Posterior Zirconia Crown. Pediatric Dent. 2019, 41, 229–233. [Google Scholar]
- Madhavan, S.; Mathew, M.G. Assessment of the knowledge, attitude, and awareness among dental students about prevention of dental caries in pediatric patients. Drug Invent. Today 2019, 11, 21–25. [Google Scholar]
- Pani, S.C.; Saffan, A.A.; AlHobail, S.; Bin Salem, F.; AlFuraih, A.; AlTamimi, M. Esthetic Concerns and Acceptability of Treatment Modalities in Primary Teeth: A Comparison between Children and Their Parents. Int. J. Dent. 2016, 2016, 3163904. [Google Scholar] [CrossRef] [Green Version]
- Mathew, M.G.; Samuel, S.R.; Soni, A.J.; Roopa, K.B. Evaluation of adhesion of Streptococcus mutans, plaque accumulation on zirconia and stainless steel crowns, and surrounding gingival inflammation in primary molars: Randomized controlled trial. Clin. Oral Investig. 2020, 24, 3275–3280. [Google Scholar] [CrossRef] [PubMed]
- Mathew, M.G.; Roopa, K.B.; Soni, A.J.; Khan, M.M.; Kauser, A. Evaluation of Clinical Success, Parental and Child Satisfaction of Stainless Steel Crowns and Zirconia Crowns in Primary Molars. J. Fam. Med. Prim. Care 2020, 6, 169–170. [Google Scholar] [CrossRef]
- Kist, S.; Stawarczyk, B.; Kollmuss, M.; Hickel, R.; Huth, K.C. Fracture load and chewing simulation of zirconia and stainless-steel crowns for primary molars. Eur. J. Oral Sci. 2019, 127, 369–375. [Google Scholar] [CrossRef] [PubMed]
- Al Shobber, M.Z.; Alkhadra, T.A. Fracture resistance of different primary anterior esthetic crowns. Saudi Dent. J. 2017, 29, 179–184. [Google Scholar] [CrossRef] [PubMed]
- Theriot, A.L.; Frey, G.N.; Ontiveros, J.C.; Badger, G. Gloss and surface roughness of anterior pediatric zirconia crowns. J. Dent. Child. 2017, 84, 115–119. [Google Scholar]
- El Makawi, Y.; Khattab, N. In vitro comparative analysis of fracture resistance of lithium disilicate endocrown and prefabricated zirconium crown in pulpotomized primary molars. Open Access Maced. J. Med. Sci. 2019, 7, 4094–4100. [Google Scholar] [CrossRef]
- Al-Haj Ali, S.N. In vitro comparison of marginal and internal fit between stainless steel crowns and esthetic crowns of primary molars using different luting cements. Dent. Res. J. 2019, 16, 366–371. [Google Scholar] [CrossRef]
- Townsend, J.A.; Knoell, P.; Yu, Q.; Zhang, J.; Wang, Y.; Zhu, H.; Beattie, S.; Xu, X. Fracture Resistance of Three Commercially Available Zirconia Crowns for. Urology 1993, 41, 125–129. [Google Scholar] [CrossRef]
- Azab, M.M.; Moheb, D.M.; El Shahawy, O.I.; Rashed, M.A.M. Influence of luting cement on the clinical outcomes of Zirconia pediatric crowns: A 3-year split-mouth randomized controlled trial. Int. J. Paediatr. Dent. 2020, 30, 314–322. [Google Scholar] [CrossRef]
- Donly, K.J.; Mendez, M.J.C.; Contreras, C.I.; Liu, J.A. Prospective Randomized Clinical Trial of Primary Molar Crowns: 24-Month Results. Am. J. Dent. 2018, 33, 165–168. [Google Scholar]
- El Shahawy, O.I.; O’Connell, A.C. Successful Restoration of Severely Mutilated Primary Incisors Using a Novel Method to Retain Zirconia Crowns—Two Year Results. J. Clin. Pediatric Dent. 2016, 40, 425–430. [Google Scholar] [CrossRef] [PubMed]
- Hanafi, L.; Altinawi, M.; Comisi, J.C. Evaluation and comparison two types of prefabricated zirconia crowns in mixed and primary dentition: A randomized clinical trial. Heliyon 2021, 7, e06240. [Google Scholar] [CrossRef] [PubMed]
- Davangere Padmanabh, S.K.; Patel, V. The effect of sterilization and disinfection on the physical-mechanical properties of preformed crowns. J. Indian Soc. Pedod. Prev. Dent. 2021, 39, 53–60. [Google Scholar] [CrossRef]
- Karthikeyan, G.; Ravindran, V.; Ramamurthy, J. Prevalence of usage of stainless steel crown, strip crown and zirconia in anterior teeth for paediatric dental patients in different age groups. Int. J. Res. Pharm. Sci. 2020, 11, 1511–1516. [Google Scholar] [CrossRef]
- Manthra Prathoshni, S.; Ravindran, V.; Ramanathan, V. Use of stainless steel crowns and zirconia crowns in posterior primary teeth for children in different age groups. Int. J. Res. Pharm. Sci. 2020, 11, 1540–1545. [Google Scholar] [CrossRef]
- Alaki, S.M.; Abdulhadi, B.S.; AbdElBaki, M.A.; Alamoudi, N.M. Comparing zirconia to anterior strip crowns in primary anterior teeth in children: A randomized clinical trial. BMC Oral Health 2020, 20, 313. [Google Scholar] [CrossRef] [PubMed]
- Alhissan, A.S.; Pani, S.C. Factors Influencing the Survival of Preformed Zirconia Crowns in Children Treated under General Anesthesia. Int. J. Dent. 2021, 2021, 5515383. [Google Scholar] [CrossRef]
- Gill, A.; Garcia, M.; Won An, S.; Scott, J.A.; Seminario, A.L. Clinical Comparison of Three Esthetic Full-Coverage Restorations in Primary Maxillary Incisors at 12 Months. Pediatric Dent. 2020, 42, 367–372. [Google Scholar]
- Nischal, M.; Gupta, T.; Mehra, M.; Sadana, G. Clinical comparison of three tooth-colored full-coronal restorations in primary maxillary incisors. Int. J. Clin. Pediatric Dent. 2020, 13, 622–629. [Google Scholar] [CrossRef]
- Kessler, A.; Kapor, S.; Erdelt, K.; Hickel, R.; Edelhoff, D.; Syrek, A.; Güth, J.F.; Kühnisch, J. Two-body wear and fracture behaviour of an experimental paediatric composite crown in comparison to zirconia and stainless steel crowns dependent on the cementation mode. Dent. Mater. 2021, 37, 264–271. [Google Scholar] [CrossRef]
- Sharma, M.; Khatri, A.; Kalra, N.; Tyagi, R. Evaluation and comparison of strip crowns and primary anterior zirconia crowns in 3–5 years old children at one year. Pediatric Dent. J. 2021, 31, 136–144. [Google Scholar] [CrossRef]
- Yanover, L.; Tickotsky, N.; Waggoner, W.; Kupietzky, A.; Moskovitz, M. Zirconia crown performance in primary maxillary anterior teeth: A retrospective photographic and radiographic cohort study. Eur. Arch. Paediatr. Dent. 2021, 22, 417–423. [Google Scholar] [CrossRef] [PubMed]
- Talekar, A.L.; Chaudhari, G.S.; Waggoner, W.F.; Chunawalla, Y.K. An 18-Month Prospective Randomized Clinical Trial Comparing Zirconia Crowns with Glass-reinforced Fiber Composite Crowns in Primary Molar Teeth. Pediatric Dent. 2021, 43, 355–362. [Google Scholar]
- Lin, B.; Khatri, A.; Hong, M. Comparison of Fracture Strengths among different Commonly Placed Anterior Esthetic Restorations for Primary Dentition: An in vitro study. J. Clin. Pediatric Dent. 2021, 45, 171–176. [Google Scholar] [CrossRef]
- Yanover, L.; Waggoner, W.; Kupietzky, A.; Moskovitz, M.; Tickotsky, N. Parental and Dentist Satisfaction with Primary Anterior Zirconia Crowns: A Case Series Analysis. Children 2021, 8, 451. [Google Scholar] [CrossRef]
- Walia, T.; Brigi, C.; Ziadkhani, M.M.; Khayat, A.A.; Tabibzadeh, Z. Retention Force of Glass Ionomer Based Luting Cements with Posterior Primary Zirconium Crowns—A Comparative in Vitro Study. J. Clin. Pediatric Dent. 2021, 45, 259–264. [Google Scholar] [CrossRef] [PubMed]
- Sabbah, A.A.H.; Kamel, M.H. Fracture Resistance of Primary Molars Restored with Endocrowns Versus Fracture Resistance of Primary Molars Restored with Endocrowns Versus Zirconia Crowns (An in Vitro Study). Braz. Dent. Sci. 2021, 24, 2. [Google Scholar] [CrossRef]
- Möhn, M.; Frankenberger, R.; Krämer, N. Wear and marginal quality of aesthetic crowns for primary molars. Int. J. Paediatr. Dentistry. 2021, 32, 273–283. [Google Scholar] [CrossRef]
- González-Martín, M.L.; Labajos-Broncano, L.; Jańczuk, B.; Bruque, J.M. Wettability and surface free energy of zirconia ceramics and their constituents. J. Mater. Sci. 1999, 34, 5923–5926. [Google Scholar] [CrossRef]
- Li, W.; Chen, J.; Li, Z.; Chen, F.; Zou, L.; Zhao, J.; Gao, Z.; Wang, Y.; Lu, Y. BaTiO3 optimized 3Y-TZP ceramic with improved osteoblasts growth and enhanced osteogenic activity. Ceram. Int. 2021, 47, 23413–23422. [Google Scholar] [CrossRef]
- Elqadir, A.J.; Shapira, J.; Ziskind, K.; Ram, D. Esthetic restorations of primary anterior teeth. Refu’at Ha Peh Veha Shinayim 2013, 30, 54–60. [Google Scholar]
- Diener, V.; Polychronis, G.; Erb, J.; Zinelis, S.; Eliades, T. Surface, microstructural, and mechanical characterization of prefabricated pediatric zirconia crowns. Materials 2019, 12, 3280. [Google Scholar] [CrossRef] [Green Version]
- Mundim, F.M.; Garcia LD, F.R.; Pires-de-Souza, F.D.C.P. Effect of staining solutions and repolishing on color stability of direct composites. J. Appl. Oral Sci. 2010, 18, 249–254. [Google Scholar] [CrossRef] [Green Version]
- Tote, J.; Godhane, A.; Das, G.; Soni, S.; Jaiswal, K.; Vidhale, G. Posterior Esthetic Crowns in Pediatric Dentistry. Int. J. Dent. Med. Res. 2015, 1, 197–201. [Google Scholar]
- Stepp, P.; Morrow, B.R.; Wells, M.; Tipton, D.A.; Garcia-Godoy, F. Microleakage of cements in prefabricated zirconia crowns. Pediatric Dent. 2018, 40, 136–139. [Google Scholar]
- Hmaidouch, R.; Weigl, P. Tooth wear against ceramic crowns in posterior region. Int. J. Oral Sci. 2013, 5, 183–190. [Google Scholar] [CrossRef]
- Alrashdi, M.; Ardoin, J.; Liu, J.A. Zirconia crowns for children: A systematic review. Int. J. Paediatr. Dent. 2022, 32, 66–81. [Google Scholar] [CrossRef] [PubMed]
- Behr, M.; Rosentritt, M.; Regnet, T.; Lang, R.; Handel, G. Marginal adaptation in dentin of a self-adhesive universal resin cement compared with well-tried systems. Dent. Mater. 2004, 20, 191–197. [Google Scholar] [CrossRef]
Publisher’s Note: MDPI stays neutral with regard to jurisdictional claims in published maps and institutional affiliations. |
© 2022 by the authors. Licensee MDPI, Basel, Switzerland. This article is an open access article distributed under the terms and conditions of the Creative Commons Attribution (CC BY) license (https://creativecommons.org/licenses/by/4.0/).






