Exploration of the Shoulder Internal Rotation’s Influence on Throwing Velocity in Handball Players: A Pilot Study
Abstract
1. Introduction
2. Materials and Methods
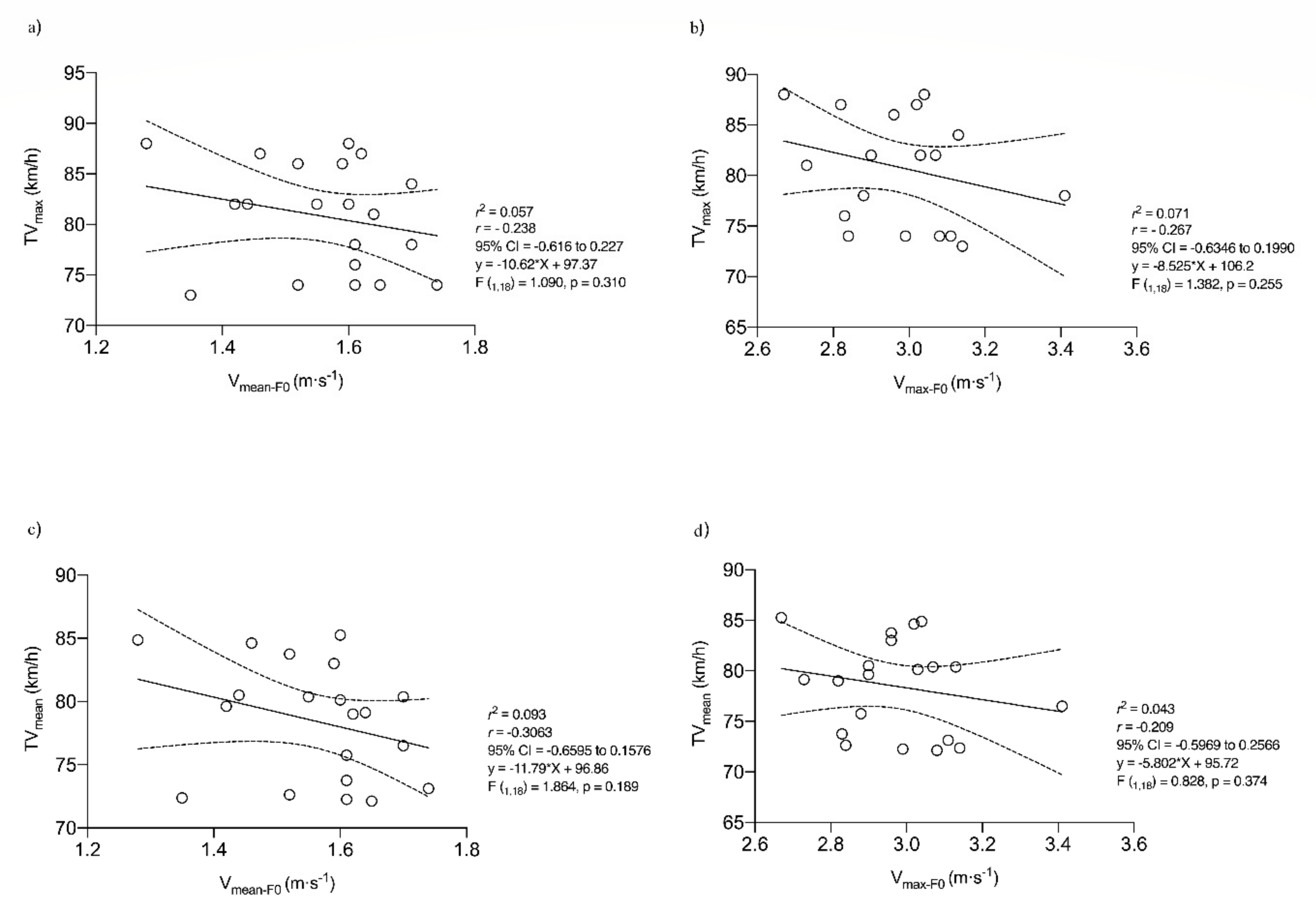
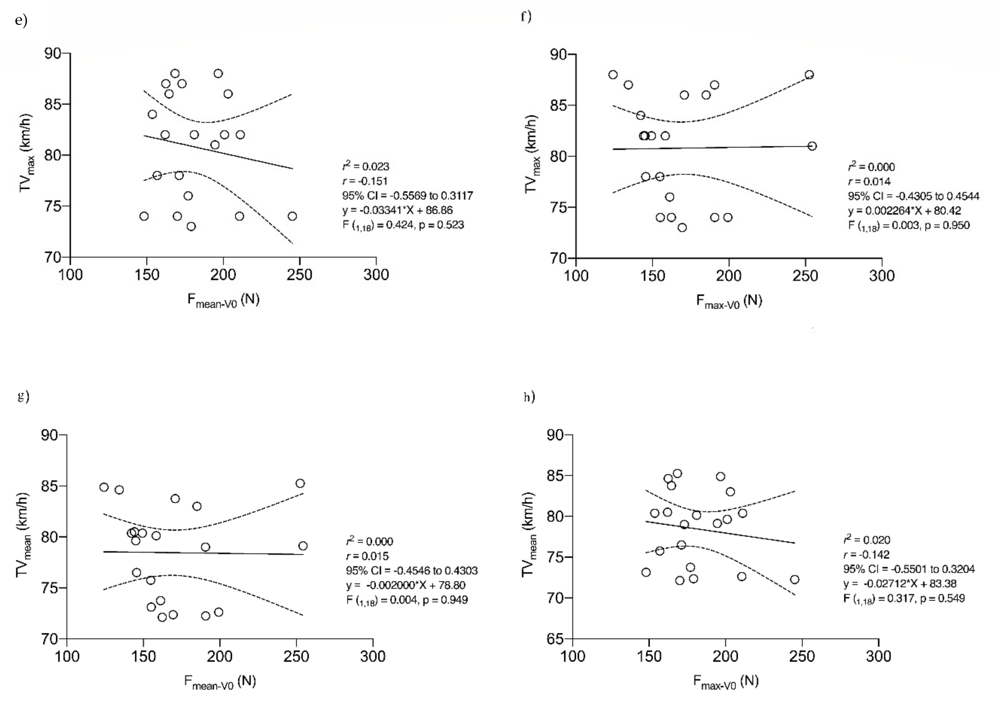
3. Results
4. Discussion
5. Conclusions
Author Contributions
Funding
Institutional Review Board Statement
Informed Consent Statement
Data Availability Statement
Acknowledgments
Conflicts of Interest
References
- Raeder, C.; Fernandez-Fernandez, J.; Ferrauti, A. Effect of Six Weeks of Medicine Ball Training on Throwing Velocity, Throwing Precision, Ans Isokinetic Strength of Shoulder Rotators in Female Handball Players. J. Strength Cond. Res. 2015, 29, 1904–1914. [Google Scholar] [CrossRef] [PubMed]
- Fieseler, G.; Hermassi, S.; Hoffmeyer, B.; Schulze, S.; Irlenbusch, L.; Bartels, T.; Delank, K.-S.; Laudner, K.G.; Schwesig, R. Differences in Anthropometric Characteristics in Relation to Throwing Velocity and Competitive Level in Professional Male Team Handball: A Tool for Talent Profiling. J. Sport. Med. Phys. Fit. 2017, 57, 985–992. [Google Scholar] [CrossRef] [PubMed]
- Chelly, M.S.; Hermassi, S.; Aouadi, R.; Shephard, R.J. Effects of 8-Weeks in-Season Plyometric Training on Upper and Lower Limb Performance of Elite Adolescent Handball Players. J. Strength Cond. Res. 2014, 28, 1401–1410. [Google Scholar] [CrossRef] [PubMed]
- Ramos-Veliz, R.; Requena, B.; Suarez-Arrones, L.; Newton, R.U.R.U.; Saez de Villarreal, E.; Ramos Veliz, R.; Requena, B.; Suarez-Arrones, L.; Newton, R.U.R.U.; Saez de Villarreal, E.; et al. Effects of 18-Week in-Season Heavy-Resistance and Power Training on Throwing Velocity, Strength, Jumping, and Maximal Sprint Swim Performance of Elite Male Water Polo Players. J. Strength Cond. Res. 2014, 28, 1007–1014. [Google Scholar] [CrossRef] [PubMed]
- Cherif, M.; Chtourou, H.; Souissi, N.; Aouidet, A.; Chamari, K. Maximal Power Training Induced Different Improvement in Throwing Velocity and Muscle Strength According to Playing Positions in Elite Male Handball Players. Biol. Sport 2016, 33, 393–398. [Google Scholar] [CrossRef] [PubMed]
- Wagner, H.; Buchecker, M.; von Duvillard, S.P.; Müller, E. Kinematic Comparison of Team Handball Throwing with Two Different Arm Positions. Int. J. Sport. Physiol. Perform. 2010, 5, 469–483. [Google Scholar] [CrossRef]
- Skejø, S.D.; Bencke, J.; Møller, M.; Sørensen, H. Estimating Throwing Speed in Handball Using a Wearable Device. Sensors 2020, 20, 4925. [Google Scholar] [CrossRef] [PubMed]
- Van Den Tillaar, R.; Ettema, G. A Three-Dimensional Analysis of Overarm Throwing in Experienced Handball Players. J. Appl. Biomech. 2007, 23, 12–19. [Google Scholar] [CrossRef]
- Andrade, M.S.; Fachina, R.J.F.G.; Cruz, W.; Benedito-Silva, A.A.; da Silva, A.C.; De Lira, C.A.B. Strength Field Tests Performance Are Correlated with Isokinetic Strength of Shoulder Rotator Muscles in Female Handball Players. J. Sport. Med. Phys. Fit. 2013, 54, 403–409. [Google Scholar]
- Mascarin, N.C.; de Lira, C.A.B.; Vancini, R.L.; da Silva, A.C.; Andrade, M.S. The Effects of Preventive Rubber Band Training on Shoulder Joint Imbalance and Throwing Performance in Handball Players: A Randomized and Prospective Study. J. Bodyw. Mov. Ther. 2017, 21, 1017–1023. [Google Scholar] [CrossRef] [PubMed]
- Debanne, T.; Laffaye, G. Predicting the Throwing Velocity of the Ball in Handball with Anthropometric Variables and Isotonic Tests. J. Sport. Sci. 2011, 29, 705–713. [Google Scholar] [CrossRef] [PubMed]
- Sarvestan, J.; Riedel, V.; Gonosová, Z.; Linduška, P.; Přidalová, M. Relationship between Anthropometric and Strength Variables and Maximal Throwing Velocity in Female Junior Handball Players—A Pilot Study. Acta Gymnica 2019, 49, 132–137. [Google Scholar] [CrossRef]
- Aguilar-Martínez, D.; Chirosa, L.J.; Martín, I.; Chirosa, I.J.; Cuadrado-Reyes, J. Effect of Power Training in Throwing Velocity in Team Handball. Rev. Int. Edicina Cienc. Act. Física Deporte 2012, 12, 729–744. [Google Scholar]
- Chelly, M.S.; Hermassi, S.; Shephard, R.J. Relationships between Power and Strength of the Upper and Lower Limb Muscles and Throwing Velocity in Male Handball Players. J. Strength Cond. Res. 2010, 24, 1480–1487. [Google Scholar] [CrossRef]
- Hermassi, S.; Chelly, M.S.; Fathloun, M.; Shephard, R.J. The Effect of Heavy-vs. Moderate-Load Training on the Development of Strength, Power, and Throwing Ball Velocity in Male Handball Players. J. Strength Cond. Res. 2010, 24, 2408–2418. [Google Scholar] [CrossRef]
- Marques, M.C.; van den Tilaar, R.; Vescovi, J.D.; Gonzalez-Badillo, J.J. Relationship between Throwing Velocity, Muscle Power, and Bar Velocity during Bench Press in Elite Handball Players. Int J. Sport. Physiol. Perform. 2007, 2, 414–422. [Google Scholar] [CrossRef]
- Ortega-Becerra, M.; Pareja-Blanco, F.; Jiménez-Reyes, P.; Cuadrado-Peñafiel, V.; González-Badillo, J.J. Determinant Factors of Physical Performance and Specific Throwing in Handball Players of Different Ages. J. Strength Cond. Res. 2018, 32, 1778–1786. [Google Scholar] [CrossRef]
- da Silva, F.F.; de Oliveira Penido, C.A.F.; Pereira Junior, V.L.; de Souza, R.A.; Villaverde, A.B. Correlação Entre a Dinamometria e Teste Funcional Em Atletas de Handebol. Rev. Bras. Med. Esporte 2014, 20, 172–175. [Google Scholar] [CrossRef][Green Version]
- Schwesig, R.; Hermassi, S.; Wagner, H.; Fischer, D.; Fieseler, G.; Molitor, T.; Delank, K.S. Relationship between the Range of Motion and Isometric Strength of Elbow and Shoulder Joints and Ball Velocity in Women Team Handball Players. J. Strength Cond. Res. 2016, 30, 3428–3435. [Google Scholar] [CrossRef]
- Martínez-García, D.; Chirosa Ríos, L.J.; Rodriguez-Perea, A.; Ulloa-Díaz, D.; Jerez-Mayorga, D.; Chirosa Ríos, I.J. Strength Training for Throwing Velocity Enhancement in Overhead Throw: A Systematic Review and Meta-Analysis. Int. J. Sport. Sci. Coach. 2021, 16, 1223–1235. [Google Scholar] [CrossRef]
- Moradi, M.; Hadadnezhad, M.; Letafatkar, A.; Khosrokiani, Z.; Baker, J.S. Efficacy of Throwing Exercise with TheraBand in Male Volleyball Players with Shoulder Internal Rotation Deficit: A Randomized Controlled Trial. BMC Musculoskelet. Disord. 2020, 21, 376. [Google Scholar] [CrossRef] [PubMed]
- Hams, A.H.; Witchalls, J.; Adams, R. Shoulder Internal and External Rotation Strength and Prediction of Subsequent Injury in Water - Polo Players. Scand. J. Med. Sci. Sport. 2019, 29, 1414–1420. [Google Scholar] [CrossRef]
- Chamorro, C.; de la Fuente, C.; Rubio, J.; Campos, C.; Chirosa, L.J. Absolute Reliability and Concurrent Validity of a Novel Electromechanical Pulley Dynamometer for Measuring Shoulder Rotation Isometric Strength in Asymptomatic Subjects. Study Conducted at Pontificia Universidad Católica, Santiago, Chile. J. Pak. Med. Assoc. 2019, 69, 1000–1005. [Google Scholar]
- Dvir, Z.; Müller, S. Multiple-Joint Isokinetic Dynamometry: A Critical Review. J. Strenght Cond. Res. 2019, 34, 587–601. [Google Scholar] [CrossRef]
- Martinez-Garcia, D.; Rodriguez-Perea, A.; Barboza, P.; Ulloa-Díaz, D.; Jerez-Mayorga, D.; Chirosa, I.; Ríos, L.J.C. Reliability of a Standing Isokinetic Shoulder Rotators Strength Test Using a Functional Electromechanical Dynamometer: Effects of Velocity. PeerJ 2020, 8, e9951. [Google Scholar] [CrossRef]
- Pontaga, I. Shoulder External/Internal Rotation Peak Torques Ratio Side-Asymmetry, Mean Work and Power Ratios Balance Worsening Due to Different Fatigue Resistance of the Rotator Muscles in Male Handball Players. Muscles Ligaments Tendons J. 2018, 8, 513–519. [Google Scholar] [CrossRef]
- Andersen, L.L.; Vinstrup, J.; Jakobsen, M.D.; Sundstrup, E. Validity and Reliability of Elastic Resistance Bands for Measuring Shoulder Muscle Strength. Scand. J. Med. Sci. Sport. 2017, 27, 887–894. [Google Scholar] [CrossRef]
- Balsalobre-Fernández, C.; Torres-Ronda, L. The Implementation of Velocity-Based Training Paradigm for Team Sports: Framework, Technologies, Practical Recommendations and Challenges. Sports 2021, 9, 47. [Google Scholar] [CrossRef]
- Weakley, J.; Mann, B.; Banyard, H.; Mclaren, S.; Scott, T.; Garcia-Ramos, A. Velocity-Based Training: From Theory to Application. Strength Cond. J. 2021, 43, 31–49. [Google Scholar] [CrossRef]
- Rodriguez-Perea, Á.; Jerez-Mayorga, D.; García-Ramos, A.; Martínez-García, D.; Chirosa Ríos, L.J. Reliability and Concurrent Validity of a Functional Electromechanical Dynamometer Device for the Assessment of Movement Velocity. Proc. Inst. Mech. Eng. Part P J. Sport. Eng. Technol. 2021, 235, 176–181. [Google Scholar] [CrossRef]
- Rodriguez-Perea, A.; Ríos, L.J.C.; Martinez-Garcia, D.; Ulloa-Díaz, D.; Rojas, F.G.; Jerez-Mayorga, D.; Rios, I.J.C. Reliability of Isometric and Isokinetic Trunk Flexor Strength Using a Functional Electromechanical Dynamometer. PeerJ 2019, 2019, e7883. [Google Scholar] [CrossRef] [PubMed]
- Reyes-Ferrada, W.; Rodríguez-Perea, Á.; Chirosa-Ríos, L.; Martínez-García, D.; Jerez-Mayorga, D. Muscle Quality and Functional and Conventional Ratios of Trunk Strength in Young Healthy Subjects: A Pilot Study. Int. J. Environ. Res. Public Health 2022, 19, 12673. [Google Scholar] [CrossRef] [PubMed]
- Chamorro, C.; Armijo-Olivo, S.; De La Fuente, C.; Fuentes, J.; Chirosa, L.; Javier Chirosa, L. Absolute Reliability and Concurrent Validity of Hand Held Dynamometry and Isokinetic Dynamometry in the Hip, Knee and Ankle Joint: Systematic Review and Meta-Analysis. Open Med. 2017, 12, 359–375. [Google Scholar] [CrossRef]
- Fàbrica, C.G.; Ferraro, D.; Mercado-Palomino, E.; Molina-Molina, A.; Chirosa-Rios, I. Differences in Utilization of Lower Limb Muscle Power in Squat Jump With Positive and Negative Load. Front. Physiol. 2020, 11, 573. [Google Scholar] [CrossRef]
- Sánchez-Sánchez, A.J.; Chirosa-Ríos, L.J.; Chirosa-Ríos, I.J.; García-Vega, A.J.; Jerez-Mayorga, D. Test-Retest Reliability of a Functional Electromechanical Dynamometer on Swing Eccentric Hamstring Exercise Measures in Soccer Players. PeerJ 2021, 9, e11743. [Google Scholar] [CrossRef]
- Cerda Vega, E.; Jerez-Mayorga, D.; Jara, C.C.; Guzman-guzman, I.; Ponce, A.R.; Chirosa, L.J. Validity and Reliability of Evaluating Hip Abductor Strength Using Different Normalization Methods in a Functional Electromechanical Device. PLoS ONE 2018, 8, e0202248. [Google Scholar] [CrossRef]
- Jerez-Mayorga, D.; Ríos, L.J.C.; Reyes, A.; Delgado-Floody, P.; Payer, R.M.; Requena, I.M.G. Muscle Quality Index and Isometric Strength in Older Adults with Hip Osteoarthritis. PeerJ 2019, 2019, e7471. [Google Scholar] [CrossRef]
- Machado-Payer, R.; Latorre-Román, P.Á.; Jerez-Mayorga, D.; Chirosa, L.J.; Ábalos-Medina, G. Muscle Quality Index as a Predictor of Hip Osteoarthritis. Top. Geriatr. Rehabil. 2020, 36, 50–54. [Google Scholar] [CrossRef]
- Chamorro, C.; De La Fuente, C.; Jerez, D.; Campos, C.; Chirosa, L.J. Reliability of Shoulder Rotators Isometric Strength Test Using a Novel Pulley Electromechanical Dynamometer. Influence of the Assessment Position. Asian J. Sport. Med. 2018, 9, e60406. [Google Scholar] [CrossRef]
- Bayios, I.; Anastasopoulou, E.M.; Siuodris, D.S.; Boudolos, K. Relationship between Isokinetic Strength of the Internal and External Shoulder Rotators and Ball Velocity in Team Handball. J. Sport. Med. Phys. Fit. 2001, 41, 229–235. [Google Scholar]
- García-Ramos, A.; Pestaña-Melero, F.L.; Pérez-Castilla, A.; Rojas, F.J.; Haff, G.G. Mean Velocity vs. Mean Propulsive Velocity vs. Peak Velocity: Which Variable Determines Bench Press Relative Load with Higher Reliability? J. Strength Cond. Res. 2018, 32, 1273–1279. [Google Scholar] [CrossRef] [PubMed]
- Hopkins, W.G.; Marshall, S.W.; Batterham, A.M.; Hanin, J. Progressive Statistics for Studies in Sports Medicine and Exercise Science. Med. Sci. Sport. Exerc. 2009, 41, 3–12. [Google Scholar] [CrossRef] [PubMed]
- Pontaga, I.; Zidens, J. Shoulder Rotator Muscle Dynamometry Characteristics: Side Asymmetry and Correlations with Ball-Throwing Speed in Adolescent Handball Players. J. Hum. Kinet. 2014, 42, 41–50. [Google Scholar] [CrossRef]
- Baena-Raya, A.; Soriano-Maldonado, A.; Rodríguez-Pérez, M.A.; García-De-Alcaraz, A.; Ortega-Becerra, M.; Jiménez-Reyes, P.; García-Ramos, A. The Force-Velocity Profile as Determinant of Spike and Serve Ball Speed in Top-Level Male Volleyball Players. PLoS ONE 2021, 16, e0249612. [Google Scholar] [CrossRef]
- Wagner, H.; Finkenzeller, T.; Würth, S.; Von Duvillard, S.P. Individual and Team Performance in Team-Handball: A Review. J Sport. Sci. Med. 2014, 13, 808–816. [Google Scholar]
- Zapartidis, I.; Skoufas, D.; Vareltzis, I.; Christodoulidis, T.; Toganidis, T.; Kororos, P. Factors Influencing Ball Throwing Velocity in Young Female Handball Players. Open Sport. Med. J. 2009, 3, 39–43. [Google Scholar] [CrossRef]
- Zapartidis, I.; Gouvali, M.; Bayios, I.; Boudolos, K. Throwing Effectiveness and Rotational Strength of the Shoulder in Team Handball. J. Sport. Med. Phys. Fit. 2007, 47, 169–178. [Google Scholar]
- Gutierrez-Davila, M.; Ortega, M.; Parraga, J.; Campos, J.; Rojas, F.J. Variability of the Temporary Sequience of the Kinetic Chain of the Handball Throw. Rev. Int. Med. Y Cienc. Act. Fis. Deporte 2011, 11, 455–471. [Google Scholar]
- Deisting, S.; Møller, M.; Bencke, J.; Sørensen, H. Human Movement Science Shoulder Kinematics and Kinetics of Team Handball Throwing: A Scoping Review. Hum. Mov. Sci. 2019, 64, 203–212. [Google Scholar] [CrossRef]
- Asker, M.; Brooke, H.L.; Waldén, M.; Tranaeus, U.; Johansson, F.; Skillgate, E.; Holm, L.W. Risk Factors for, and Prevention of, Shoulder Injuries in Overhead Sports: A Systematic Review with Best-Evidence Synthesis. Br. J. Sport. Med. 2018, 52, 1312–1319. [Google Scholar] [CrossRef]
- Illyés, Á.; Kiss, R.M. Shoulder Muscle Activity during Pushing, Pulling, Elevation and Overhead Throw. J. Electromyogr. Kinesiol. 2005, 15, 282–289. [Google Scholar] [CrossRef] [PubMed]
- Fredriksen, H.; Cools, A.; Myklebust, G. No Added Benefit of 8 Weeks of Shoulder External Rotation Strength Training for Youth Handball Players Over Usual Handball Training Alone: A Randomized Controlled Trial. J. Orthop. Sport. Phys. Ther. 2021, 51, 174–187. [Google Scholar] [CrossRef]
- Wagner, H.; Buchecker, M.; von Duvillard, S.P.; Müller, E. Kinematic Description of Elite vs. Low Level Players in Team-Handball Jump Throw. J. Sport. Sci. Med. 2010, 9, 15–23. [Google Scholar]
- Dauty, M.; Kitar, E.; Dubois, C.; Potiron-Josse, M. Relationship between Ball Velocity and the Shoulder Rotators Isokinetic Torque in High-Level Handball Players. Sci. Sport. 2005, 20, 300–303. [Google Scholar] [CrossRef]




| Age (Years) | Weight (kg) | Height (cm) | BMI | TV Mean (km·h−1) | TV Max (km·h−1) | Vmean-F0 (m·s−1) | Fmean-V0 (N) | Vmax-F0 (m·s−1) | Fmax-V0 (N) | |
|---|---|---|---|---|---|---|---|---|---|---|
| Mean | 19.28 | 81.52 | 185 | 23.7 | 78.45 | 80.8 | 1.56 | 169.51 | 2.97 | 181.44 | 
| SD | 2.55 | 9.66 | 6 | 1.69 | 46 | 5.3 | 0.119 | 24.44 | 0.16 | 34.81 | 
| Parameters | ES | Pearson Correlation | 95% CI Lower–Upper | ICC | p-Value | |
|---|---|---|---|---|---|---|
| Mean Throwing Velocity | Vmean–F0 | 21.11 | −0.25 | −0.64–0.25 | −0.07 | 5.86 | 
| Fmean–V0 | 5.76 | −0.15 | −0.56–0.31 | −0.07 | 2.99 | |
| Vmax–F0 | 20.73 | −0.28 | −0.64–0.19 | −0.02 | 8.75 | |
| Fmax–V0 | −3.45 | 0.00 | −0.63–0.63 | −0.26 | 0.0001 | |
| Max Throwing Velocity | Vmean–F0 | 23.64 | −0.32 | −0.68–0.17 | 0.05 | 7.22 | 
| Fmean–V0 | 1.62 | −0.15 | −0.55–0.32 | −0.06 | −5.93 | |
| Vmax–F0 | 23.19 | −0.22 | −0.60–0.25 | −0.02 | 1.02 | |
| Fmax–V0 | −3.67 | −0.02 | −0.45–0.43 | 0.00 | 4.76 | |
| Publisher’s Note: MDPI stays neutral with regard to jurisdictional claims in published maps and institutional affiliations. | 
© 2022 by the authors. Licensee MDPI, Basel, Switzerland. This article is an open access article distributed under the terms and conditions of the Creative Commons Attribution (CC BY) license (https://creativecommons.org/licenses/by/4.0/).
Share and Cite
García-Buendía, G.; Martínez-García, D.; Jerez-Mayorga, D.; Gómez-López, M.; Chirosa-Ríos, I.J.; Chirosa-Ríos, L.J. Exploration of the Shoulder Internal Rotation’s Influence on Throwing Velocity in Handball Players: A Pilot Study. Int. J. Environ. Res. Public Health 2022, 19, 15923. https://doi.org/10.3390/ijerph192315923
García-Buendía G, Martínez-García D, Jerez-Mayorga D, Gómez-López M, Chirosa-Ríos IJ, Chirosa-Ríos LJ. Exploration of the Shoulder Internal Rotation’s Influence on Throwing Velocity in Handball Players: A Pilot Study. International Journal of Environmental Research and Public Health. 2022; 19(23):15923. https://doi.org/10.3390/ijerph192315923
Chicago/Turabian StyleGarcía-Buendía, Gustavo, Darío Martínez-García, Daniel Jerez-Mayorga, Manuel Gómez-López, Ignacio Jesús Chirosa-Ríos, and Luis Javier Chirosa-Ríos. 2022. "Exploration of the Shoulder Internal Rotation’s Influence on Throwing Velocity in Handball Players: A Pilot Study" International Journal of Environmental Research and Public Health 19, no. 23: 15923. https://doi.org/10.3390/ijerph192315923
APA StyleGarcía-Buendía, G., Martínez-García, D., Jerez-Mayorga, D., Gómez-López, M., Chirosa-Ríos, I. J., & Chirosa-Ríos, L. J. (2022). Exploration of the Shoulder Internal Rotation’s Influence on Throwing Velocity in Handball Players: A Pilot Study. International Journal of Environmental Research and Public Health, 19(23), 15923. https://doi.org/10.3390/ijerph192315923
 
        







 
       