Is There Agreement and Precision between Heart Rate Variability, Ventilatory, and Lactate Thresholds in Healthy Adults?
Abstract
1. Introduction
2. Materials and Methods
2.1. Participants
2.2. Study Design
2.3. Anthropometry
2.4. Cardiopulmonary Exercise Test (CPx)
2.5. Cardiopulmonary Stepwise Exercise Test (CPxS)
2.6. Blood Lactate Concentrations
2.7. Heart Rate Variability (HRV)
2.8. Determination of the Ventilatory Threshold (VT)
2.9. Determination of the Lactate Threshold (LT)
2.10. Determination of the Heart Rate Variability Threshold (HRVT)
2.11. Statistical Analysis
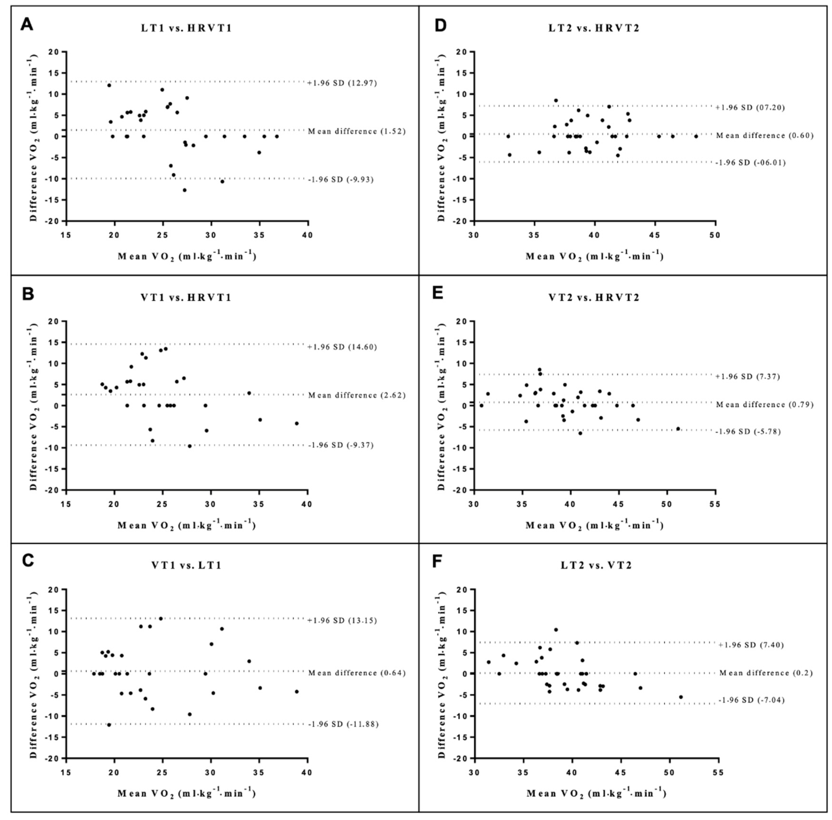
3. Results
4. Discussion
4.1. LTs vs. VTs
4.2. LT1 and VT1 vs. HRVT1
4.3. LT2 and VT2 vs. HRVT2
4.4. Importance to Use Visual Methods to Identify HRVTs
4.5. Importance of T1 and T2 in Training
4.6. Practical Significance
4.7. Limitations
5. Conclusions
Author Contributions
Funding
Institutional Review Board Statement
Informed Consent Statement
Data Availability Statement
Acknowledgments
Conflicts of Interest
References
- Poole, D.C.; Rossiter, H.B.; Brooks, G.A.; Gladden, L.B. The Anaerobic Threshold: 50+ Years of Controversy. J. Physiol. 2020, 599, 737–767. [Google Scholar] [CrossRef]
- Faude, O.; Kindermann, W.; Meyer, T. Lactate Threshold Concepts: How Valid Are They? Sports Med. 2009, 39, 469–490. [Google Scholar] [CrossRef] [PubMed]
- Beaver, W.L.; Wasserman, K.; Whipp, B.J. A New Method for Detecting Anaerobic Threshold by Gas Exchange. Am. Physiol. Soc. 1986, 60, 2020–2027. [Google Scholar] [CrossRef] [PubMed]
- Pettitt, R.W.; Clark, I.E.; Ebner, S.M.; Sedgeman, D.T.; Murray, S.R. Gas Exchange Threshold and VO2max Testing for Athletes: An Update. J. Strength Cond. Res. 2013, 27, 549–555. [Google Scholar] [CrossRef] [PubMed]
- Kindermann, W.; Simon, G.; Keul, J. Physiology The Significance of the Aerobic-Anaerobic Transition. Eur. J. Appl. Physiol. 1979, 34, 25–34. [Google Scholar] [CrossRef] [PubMed]
- Azevedo, P.H.S.M.; Garcia, A.; Duarte, J.M.P.; Rissato, G.M.; Carrara, V.K.P.; Marson, R.A. Limiar Anaeróbio e Bioenergética: Uma Abordagem Didática e Integrada. Rev. Da Educ. Fís./UEM 2009, 20, 453–464. [Google Scholar] [CrossRef][Green Version]
- Caen, K.; Vermeire, K.; Bourgois, J.G.; Boone, J. Exercise Thresholds on Trial: Are They Really Equivalent? Med. Sci. Sports Exerc. 2018, 50, 1277–1284. [Google Scholar] [CrossRef]
- Shiraishi, Y.; Katsumata, Y.; Sadahiro, T.; Azuma, K.; Akita, K.; Isobe, S.; Yashima, F.; Miyamoto, K.; Nishiyama, T.; Tamura, Y.; et al. Real-Time Analysis of the Heart Rate Variability during Incremental Exercise for the Detection of the Ventilatory Threshold. J. Am. Heart Assoc. 2018, 7, e006612. [Google Scholar] [CrossRef]
- Electrophysiology, T.F. of the E.S. of C. the N.A. Heart Rate Variability. Circulation 1996, 93, 1043–1065. [CrossRef]
- Karapetian, G.K.; Engels, H.J.; Gretebeck, R.J. Use of Heart Rate Variability to Estimate LT and VT. Int. J. Sports Med. 2008, 29, 652–657. [Google Scholar] [CrossRef]
- Tulppo, M.P.; Makikallio, T.H. Quantitative Beat-to-Beat Analysis of Heart Rate Dynamics during Exercise. Am. Physiol. Soc. 1996, 271, 244–252. [Google Scholar] [CrossRef]
- Tulppo, M.P.; Mäkikallio, T.H.; Seppänen, T.; Laukkanen, R.T.; Huikuri, H.v; Coote, J.H.; Fisher, J.P.; Ogoh, S.; Ahmed, A.; Aro, M.R.; et al. Vagal Modulation of Heart Rate during Exercise: Effects of Age and Physical Fitness. Am. Physiol. Soc. 1998, 274, 424–429. [Google Scholar] [CrossRef]
- Mourot, L.; Fabre, N.; Savoldelli, A.; Schena, F. Second Ventilatory Threshold from Heart-Rate Variability: Valid When the Upper Body Is Involved? Int. J. Sports Physiol. Perform. 2014, 9, 695–701. [Google Scholar] [CrossRef]
- Ramos-Campo, D.J.; Rubio-Arias, J.A.; Ávila-Gandía, V.; Marín-Pagán, C.; Luque, A.; Alcaraz, P.E. Heart Rate Variability to Assess Ventilatory Thresholds in Professional Basketball Players. J. Sport Health Sci. 2017, 6, 468–473. [Google Scholar] [CrossRef]
- Gaskill, S.E.; Ruby, B.C.; Walker, A.V.A.J.; Sanchez, O.A.; Serfass, R.C.; Leon, A.S. Validity and Reliability of Combining Three Methods to Determine Ventilatory Threshold. Med. Sci. Sports Exerc. 2001, 33, 1841–1848. [Google Scholar] [CrossRef]
- Cassirame, J.; Tordi, N.; Fabre, N.; Duc, S.; Durand, F.; Mourot, L. Heart Rate Variability to Assess Ventilatory Threshold in Ski-Mountaineering. Eur. J. Sport Sci. 2015, 15, 615–622. [Google Scholar] [CrossRef]
- Millet, G.P.; Vleck, V.E.; Bentley, J.D. Physiological Differences Between Cycling and Running. Sports Med. 2009, 39, 179–206. [Google Scholar] [CrossRef]
- Herdy, A.H.; Caixeta, A. Classificação Nacional Da Aptidão Cardiorrespiratória Pelo Consumo Máximo de Oxigênio. Arq. Bras. Cardiol. 2016, 106, 389–395. [Google Scholar] [CrossRef]
- Jackson, A.S.; Pollock, M.L. Practical Assessment of Body Composition. Phys. Sportsmed. 1985, 13, 76–90. [Google Scholar] [CrossRef]
- Siri, W.E. Body Composition from Fluid Spaces and Density: Analysis of Methods. Nutrition 1961, 9, 480–491, discussion 480, 492. [Google Scholar]
- Simões, H.G.; Campbell, C.S.G.; Denadai, B.S.; Kokubun, E. Determinação Do Limiar Anaeróbio Por Meio de Dosagens Glicêmicas e Lactacidêmicas Em Teste de Pista Para Corredores. Rev. Paul. Educ. Fis. São Paulo. 1998, 12, 17–30. [Google Scholar]
- Plews, D.J.; Scott, B.; Altini, M.; Wood, M.; Kilding, A.E.; Laursen, P.B. Comparison of Heart-Rate-Variability Recording with Smartphone Photoplethysmography, Polar H7 Chest Strap, and Electrocardiography. Int. J. Sports Physiol. Perform. 2017, 12, 1324–1328. [Google Scholar] [CrossRef] [PubMed]
- Perrotta, A.S.; Jeklin, A.T.; Hives, B.A.; Meanwell, L.E.; Warburton, D.E.R. Validity of the Elite HRV Smartphone Application for Examining Heart Rate Variability in a Field-Based Setting. J. Strength Cond. Res. 2017, 31, 2296–2302. [Google Scholar] [CrossRef] [PubMed]
- Yoshida, T.; Chida, M.; Ichioka, M.; Suda, Y. Blood Lactate Parameters Related to Aerobic Capacity and Endurance Performance. Eur. J. Appl. Physiol. Occup. Physiol. 1987, 56, 7–11. [Google Scholar] [CrossRef] [PubMed]
- Leprêtre, P.-M.; Bulvestre, M.; Ghannem, M.; Ahmaidi, S.; Weissland, T.; Lopes, P. Determination of Ventilatory Threshold Using Heart Rate Variability in Patients with Heart Failure. Surg. Curr. Res. 2013, 1, 1–6. [Google Scholar] [CrossRef]
- Nascimento, E.M.F.; Kiss, M.A.P.D.M.; Santos, T.M.; Lambert, M.; Pires, F.O. Determination of Lactate Thresholds in Maximal Running Test by Heart Rate Variability Data Set. Asian J. Sports Med. 2017, 8, e58480. [Google Scholar] [CrossRef]
- Candido, N.; Okuno, N.; da Silva, C.; Machado, F.; Nakamura, F. Reliability of the Heart Rate Variability Threshold Using Visual Inspection and Dmax Methods. Int. J. Sports Med. 2015, 36, 1076–1080. [Google Scholar] [CrossRef]
- Mankowski, R.T.; Michael, S.; Rozenberg, R.; Stokla, S.; Stam, H.J.; Praet, S.F.E. Heart-Rate Variability Threshold as an Alternative for Spiro-Ergometry Testing: A Validation Study. J. Strength Cond. Res. 2016, 32, 474–479. [Google Scholar] [CrossRef]
- Lakens, D. Calculating and Reporting Effect Sizes to Facilitate Cumulative Science: A Practical Primer for t-Tests and ANOVAs. Front. Psychol 2013, 4, e00863. [Google Scholar] [CrossRef]
- Hopkins, W.G. Measures of Reliability in Sports Medicine and Science. Sports Med. 2000, 30, 1–15. [Google Scholar] [CrossRef]
- Reed, G.F.; Lynn, F.; Meade, B.D. Use of Coefficient of Variation in Assessing Variability of Quantitative Assays. Clin. Vaccine Immunol. 2002, 9, 1235–1239. [Google Scholar] [CrossRef]
- Koo, T.K.; Li, M.Y. A Guideline of Selecting and Reporting Intraclass Correlation Coefficients for Reliability Research. J. Chiropr. Med. 2016, 15, 155–163. [Google Scholar] [CrossRef]
- Sales, M.M.; Campbell, C.; Morais, P.K.; Ernesto, C.; Soares-Caldeira, L.F.; Russo, P.; Motta, D.F.; Moreira, S.R.; Nakamura, F.Y.; Simões, H.G. Noninvasive Method to Estimate Anaerobic Threshold in Individuals with Type 2 Diabetes. Diabetol. Metab. Syndr. 2011, 3, 1. [Google Scholar] [CrossRef]
- Neves, L.N.S.; Neto, V.H.G.; alves, S.P.; Leite, R.D.; Barbieri, R.A.; Carletti, L. Cardiorespiratory Fitness Level Influences the Ventilatory Threshold Identification. J. Phys. Educ. 2021, 32, e3279. [Google Scholar] [CrossRef]
- Monteiro, W.D.; Araújo, C.G.S. De Transição Caminhada-Corrida: Considerações Fisiológicas e Perspectivas Para Estudos Futuros. Rev. Bras. De Med. Do Esporte 2001, 7, 207–222. [Google Scholar] [CrossRef][Green Version]
- Seiler, K.S.; Kjerland, G.Ø. Quantifying Training Intensity Distribution in Elite Endurance Athletes: Is There Evidence for an “Optimal” Distribution? Scand. J. Med. Sci. Sports 2006, 16, 49–56. [Google Scholar] [CrossRef]
- Muñoz, I.; Seiler, S.; Bautista, J.; España, J.; Larumbe, E.; Esteve-Lanao, J. Does Polarized Training Improve Performance in Recreational Runners? Int. J. Sports Physiol. Perform. 2014, 9, 265–272. [Google Scholar] [CrossRef]
- Rogers, B.; Giles, D.; Draper, N.; Hoos, O.; Gronwald, T. A New Detection Method Defining the Aerobic Threshold for Endurance Exercise and Training Prescription Based on Fractal Correlation Properties of Heart Rate Variability. Front. Physiol. 2021, 11, 1806. [Google Scholar] [CrossRef]
- Gronwald, T.; Rogers, B.; Hoos, O. Fractal Correlation Properties of Heart Rate Variability: A New Biomarker for Intensity Distribution in Endurance Exercise and Training Prescription? Front. Physiol. 2020, 11, 550572. [Google Scholar] [CrossRef]
- Penttilä, J.; Helminen, A.; Jartti, T.; Kuusela, T.; Huikuri, H.v.; Tulppo, M.P.; Coffeng, R.; Scheinin, H. Time Domain, Geometrical and Frequency Domain Analysis of Cardiac Vagal Outflow: Effects of Various Respiratory Patterns. Clin. Physiol. 2001, 21, 365–376. [Google Scholar] [CrossRef]
- Cottin, F.; Médigue, C.; Lopes, P.; Leprêtre, P.M.; Heubert, R.; Billat, V. Ventilatory Thresholds Assessment from Heart Rate Variability during an Incremental Exhaustive Running Test. Int. J. Sports Med. 2007, 28, 287–294. [Google Scholar] [CrossRef]
- di Michele, R.; Gatta, G.; di Leo, A.; Cortesi, M.; Andina, F.; Tam, E.; da Boit, M.; Merni, F. Estimation of the Anaerobic Threshold from Heart Rate Variability in an Incremental Swimming Test. J. Strength Cond. Res. 2012, 26, 3059–3066. [Google Scholar] [CrossRef]
- Stergiopoulos, D.C.; Kounalakis, S.N.; Miliotis, P.G.; Geladas, N.D. Second Ventilatory Threshold Assessed by Heart Rate Variability in a Multiple Shuttle Run Test. Int. J. Sports Med. 2020, 42, 48–55. [Google Scholar] [CrossRef]
- Hofmann, P.; Tschakert, G. Intensity- and Duration-Based Options to Regulate Endurance Training. Front. Physiol. 2017, 8, 337. [Google Scholar] [CrossRef]
- Rogers, B.; Mourot, L.; Gronwald, T. Aerobic Threshold Identification in a Cardiac Disease Population Based on Correlation Properties of Heart Rate Variability. J. Clin. Med. 2021, 10, 4075. [Google Scholar] [CrossRef]
- Mezzani, A.; Hamm, L.F.; Jones, A.M.; McBride, P.E.; Moholdt, T.; Stone, J.A.; Urhausen, A.; Williams, M.A. Aerobic Exercise Intensity Assessment and Prescription in Cardiac Rehabilitation: A Joint Position Statement of the European Association for Cardiovascular Prevention and Rehabilitation, the American Association of Cardiovascular and Pulmonary Rehabilitation and the Canadian Association of Cardiac Rehabilitation. Eur. J. Prev. Cardiol. 2013, 20, 442–467. [Google Scholar] [CrossRef]
- Marcin, T.; Eser, P.; Prescott, E.; Prins, L.F.; Kolkman, E.; Bruins, W.; van der Velde, A.E.; Peña Gil, C.; Iliou, M.-C.; Ardissino, D.; et al. Training Intensity and Improvements in Exercise Capacity in Elderly Patients Undergoing European Cardiac Rehabilitation—The EU-CaRE Multicenter Cohort Study. PLoS ONE 2020, 15, e0242503. [Google Scholar] [CrossRef]




| Variables | Mean ± SD |
|---|---|
| HRmax (bpm) | 194 ± 8 |
| HRmax predicted (%) | 97.75 ± 4.07 |
| V̇Emax (L·min−1) | 125.42 ± 15.91 |
| V̇O2max (ml·kg−1·min−1) | 47.86 ± 4.96 |
| V̇O2max (L·min−1) | 3.47 ± 0.42 |
| RERmax | 1.02 ± 0.08 |
| [La]peak (mM) | 10.47 ± 2.01 |
| LT1 | VT1 | HRVT1 | Within-Participants Effects | |||
|---|---|---|---|---|---|---|
| Mean ± SD | Mean ± SD | Mean ± SD | F (df, df) | p | ηp2 | |
| Speed (km·h−1) | 7.2 ± 1.5 | 6.8 ± 1.4 | 7.3 ± 1.0 | 1.93 (2, 56) | 0.155 | 0.064 |
| Speed (%) | 50.63 ± 8.68 | 49.26 ± 9.08 | 52.52 ± 5.01 | |||
| Lactate (mM) | 1.57 ± 0.89 | 1.58 ± 0.85 | 2.01 ± 0.82 * | 4.83 (2, 56) | 0.012 § | 0.147 |
| V̇E (L) | 44.44 ± 15.51 | 39.80 ± 12.57 | 47.96 ± 9.68 † | 3.95 (2, 56) | 0.025 § | 0.124 |
| V̇O2 (ml·kg−1·min−1) | 25.02 ± 6.48 | 23.75 ± 6.58 | 27.01 ± 5.22 | 2.94 (2, 56) | 0.061 | 0.095 |
| V̇O2 (%) | 51.62 ± 13.43 | 50.28 ± 13.71 | 55.68 ± 8.43 | |||
| RER | 0.84 ± 0.08 | 0.82 ± 0.07 | 0.88 ± 0.07 *† | 18.06 (2, 56) | 0.000 § | 0.392 |
| V̇CO2 (L·min−1) | 1.56 ± 0.53 | 1.43 ± 0.48 | 1.71 ± 0.34 † | 4.15 (2, 56) | 0.021 § | 0.129 |
| V̇O2 (L·min−1) | 1.84 ± 0.55 | 1.72 ± 0.48 | 1.95 ± 0.32 | 2.36 (2, 56) | 0.103 | 0.078 |
| RR (ms) | 473.8 ± 85.9 | 498.0 ± 93.0 | 439.2 ± 52.9 *† | 6.56 (2, 56) | 0.003 § | 0.190 |
| RR (%) | 52.04 ± 10.37 | 53.30 ± 9.33 | 47.63 ± 7.16 *† | |||
| HR (bpm) | 131 ± 23 | 125 ± 25 | 139 ± 16 † | 5.12 (2, 56) | 0.009 § | 0.155 |
| HR (%) | 66.20 ± 7.59 | 64.53 ± 12.29 | 71.12 ± 11.14 † | |||
| LT2 | VT2 | HRVT2 | Within-Participants Effects | |||
|---|---|---|---|---|---|---|
| Mean ± SD | Mean ± SD | Mean ± SD | F (df, df) | p | ηp2 | |
| Speed (km·h−1) | 10.7 ± 1.1 | 10.6 ± 1.4 | 10.9 ± 1.2 | 1.45 (2, 66) | 0.242 | 0.042 |
| Speed (%) | 76.59 ± 5.42 | 76.07 ± 7.22 | 78.49 ± 6.23 | |||
| Lactate (mM) | 3.96 ± 1.44 | 3.95 ± 1.19 | 4.30 ± 1.36 | 1.77 (2, 66) | 0.178 | 0.051 |
| V̇E (L) | 79.25 ± 13.57 | 75.83 ± 12.86 | 80.18 ± 11.08 | 1.92 (2, 66) | 0.155 | 0.055 |
| V̇O2 (ml·kg−1·min−1) | 39.39 ± 3.60 | 39.19 ± 5.16 | 39.98 ± 3.86 | 0.96 (2, 66) | 0.389 | 0.028 |
| V̇O2 (%) | 82.63 ± 6.32 | 81.97 ± 7.55 | 83.85 ± 6.79 | |||
| RER | 0.92 ± 0.07 | 0.91 ± 0.06 | 0.92 ± 0.06 | 0.79 (2, 66) | 0.460 | 0.023 |
| V̇CO2 (L·min−1) | 2.62 ± 0.39 | 2.59 ± 0.39 | 2.66 ± 0.31 | 0.86 (2, 66) | 0.429 | 0.025 |
| V̇O2 (L·min−1) | 2.86 ± 0.38 | 2.84 ± 0.39 | 2.90 ± 0.31 | 0.89 (2, 66) | 0.417 | 0.026 |
| RR (ms) | 347.2 ± 27.1 | 348.0 ± 27.0 | 342.8 ± 21.6 | 1.26 (2, 66) | 0.291 | 0.037 |
| RR (%) | 37.85 ± 5.49 | 37.91 ± 5.28 | 37.46 ± 5.81 | |||
| HR (bpm) | 174 ± 13 | 173 ± 13 | 176 ± 11 | 1.18 (2, 66) | 0.313 | 0.035 |
| HR (%) | 89.68 ± 4.14 | 89.49 ± 4.83 | 90.72 ± 3.71 | |||
| LT1 vs. VT1 | LT1 vs. HRVT1 | VT1 vs. HRVT1 | LT2 vs. VT2 | LT2 vs. HRVT2 | VT2 vs. HRVT2 | |
|---|---|---|---|---|---|---|
| Typical Error absolute (%) | ||||||
| Speed (km·h−1) | 0.95 (13.8) | 0.86 (11.9) | 0.81 (12.3) | 0.87 (8.1) | 0.78 (7.4) | 0.85 (8.0) |
| V̇O2 (ml·kg−1·min−1) | 4.51 (18.5) | 4.13 (16.4) | 4.32 (18.5) | 2.61 (6.6) | 2.38 (6.0) | 2.37 (6.1) |
| HR (bpm) | 15 (12.2) | 16 (12.2) | 16 (14.1) | 7 (3.9) | 6 (3.6) | 7 (4.1) |
| Coefficient of Variation | ||||||
| Speed (km·h−1) | 19.31 | 16.82 | 16.27 | 11.56 | 10.28 | 11.14 |
| V̇O2 (ml·kg−1·min−1) | 26.13 | 22.44 | 23.97 | 9.40 | 8.50 | 8.47 |
| HR (bpm) | 17.10 | 16.29 | 17.56 | 5.52 | 5.03 | 5.66 |
| Intraclass Correlation Coefficient | ||||||
| Speed (km·h−1) | 0.693 * | 0.671 * | 0.637 * | 0.684 * | 0.663 * | 0.709 * |
| V̇O2 (ml·kg−1·min−1) | 0.684 * | 0.616 * | 0.616 * | 0.797 * | 0.744 * | 0.840 * |
| HR (bpm) | 0.748 * | 0.559 * | 0.504 * | 0.842 * | 0.840 * | 0.783 * |
Publisher’s Note: MDPI stays neutral with regard to jurisdictional claims in published maps and institutional affiliations. |
© 2022 by the authors. Licensee MDPI, Basel, Switzerland. This article is an open access article distributed under the terms and conditions of the Creative Commons Attribution (CC BY) license (https://creativecommons.org/licenses/by/4.0/).
Share and Cite
Neves, L.N.S.; Gasparini Neto, V.H.; Araujo, I.Z.; Barbieri, R.A.; Leite, R.D.; Carletti, L. Is There Agreement and Precision between Heart Rate Variability, Ventilatory, and Lactate Thresholds in Healthy Adults? Int. J. Environ. Res. Public Health 2022, 19, 14676. https://doi.org/10.3390/ijerph192214676
Neves LNS, Gasparini Neto VH, Araujo IZ, Barbieri RA, Leite RD, Carletti L. Is There Agreement and Precision between Heart Rate Variability, Ventilatory, and Lactate Thresholds in Healthy Adults? International Journal of Environmental Research and Public Health. 2022; 19(22):14676. https://doi.org/10.3390/ijerph192214676
Chicago/Turabian StyleNeves, Letícia Nascimento Santos, Victor Hugo Gasparini Neto, Igor Ziviani Araujo, Ricardo Augusto Barbieri, Richard Diego Leite, and Luciana Carletti. 2022. "Is There Agreement and Precision between Heart Rate Variability, Ventilatory, and Lactate Thresholds in Healthy Adults?" International Journal of Environmental Research and Public Health 19, no. 22: 14676. https://doi.org/10.3390/ijerph192214676
APA StyleNeves, L. N. S., Gasparini Neto, V. H., Araujo, I. Z., Barbieri, R. A., Leite, R. D., & Carletti, L. (2022). Is There Agreement and Precision between Heart Rate Variability, Ventilatory, and Lactate Thresholds in Healthy Adults? International Journal of Environmental Research and Public Health, 19(22), 14676. https://doi.org/10.3390/ijerph192214676

