Research on Seasonal Thermal Neutral Temperature in West Lake Scenic Area of Hangzhou, China
Abstract
1. Introduction
- (1)
- to clarify the thermal evaluation method applicable to the West Lake of Hangzhou.
- (2)
- to evaluate the seasonal differences in thermal perception of the recreational space of the West Lake of Hangzhou, and furthermore to derive the thermal nature temperature, thermal nature temperature range, and thermally acceptable temperature range by season.
- (3)
- to examine the meteorological variables influencing the thermal perception of Hangzhou’s West Lake and to suggest an empirical model for thermal perception prediction and its seasonal variations.
- (4)
- to contribute to the design of landscape microclimate adaptability and crowd tour route.
2. Study Ideas and Methods
2.1. Indicator Selection
2.2. Experiment and Methods
2.2.1. Actual Measurement Time
2.2.2. Measurement Point Layout
2.2.3. Actual Measurement Instrument
2.2.4. Questionnaire Design
3. Results
3.1. Meteorological Data Measurement Results
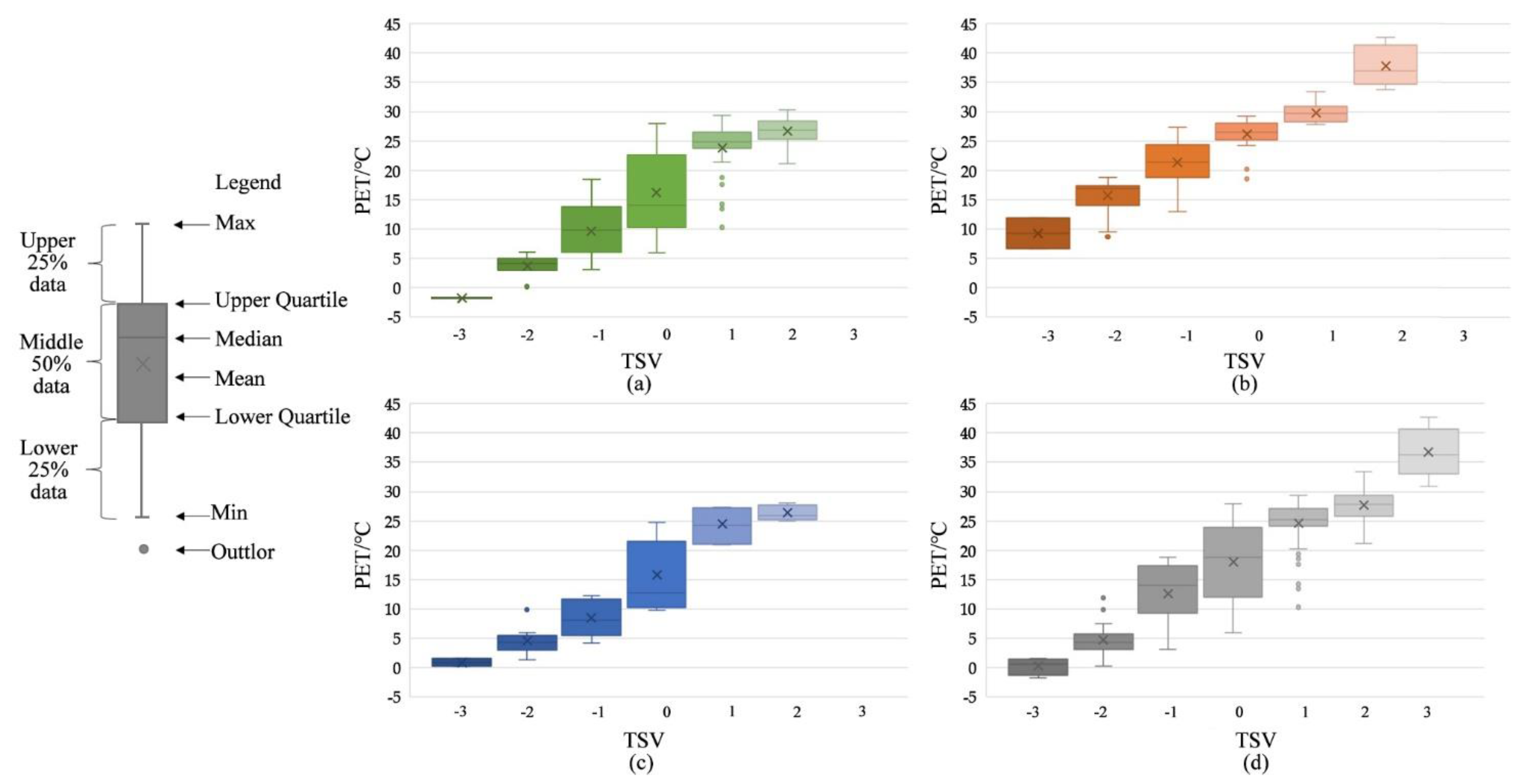
3.2. Thermal Sensation Vote
3.3. Thermal Preference Vote
4. Discussion and Analysis
4.1. Thermal Neutral Temperature (Range) vs. Thermal Acceptable Temperature Range
4.1.1. Median Method
4.1.2. TSV = 0 Method
4.2. Result from Comparison and Selection
4.3. Comparison of Thermal Sensations
4.4. Empirical Model
5. Conclusions
- (1)
- It is found that the thermal evaluation based on the median method is more consistent with the actual thermal perception in Hangzhou West Lake. Although this study is limited to the youth group, it can still provide a reference basis for the design and research of climate adaptation in Hangzhou West Lake scenic area and urban outdoor spaces with similar climatic conditions.
- (2)
- The thermally neutral temperatures (ranges) and thermally acceptable ranges for the transitional season, summer, winter, and the whole year in Hangzhou West Lake scenic area are as follows thermal neutral temperature is 22.2 °C for the transitional season, 23.6 °C for summer, 12.0 °C for winter and 21.0 °C for the whole year. The thermal neutral temperature range is 10.3–22.6 °C for the transitional season, 18.4–24.35 °C for summer, and 10.2–21.5 °C for winter. The acceptable thermal temperatures range from 10.8–25.7 °C in the transitional season, 17.4–26.4 °C in the summer, 7.1–24.4 °C in the winter, and 13.0–25.7 °C throughout the year.
- (3)
- The interviewed group has the lowest acceptance of outdoor spatial climate conditions in winter, moderate acceptance in summer, and the greatest acceptance in the transitional season. Therefore, in terms of the climate-adapted spatial design carried out around the West Lake scenic area in Hangzhou, priority should be given to meeting the thermal demand in winter and summer.
- (4)
- Seasonal empirical models show that air temperature and average wind speed are the most important meteorological factors impacting the thermal evaluation of Hangzhou West Lake scenic area. In addition, solar radiation also plays an important role in extreme climate.
Author Contributions
Funding
Institutional Review Board Statement
Informed Consent Statement
Data Availability Statement
Conflicts of Interest
References
- Nikolopoulou, M.; Baker, N.; Steemers, K. Thermal comfort in outdoor urban spaces: Understanding the human parameter. Sol. Energy 2001, 70, 227–235. [Google Scholar] [CrossRef]
- Hadianpour, M.; Mahdavinejad, M.; Bemanian, M.; Nasrollahi, F. Seasonal differences of subjective thermal sensation and neutral temperature in an outdoor shaded space in Tehran, Iran. Sustain. Cities Soc. 2018, 39, 751–764. [Google Scholar] [CrossRef]
- Li, K.; Zhang, Y.; Zhao, L. Outdoor thermal comfort and activities in the urban residential community in a humid subtropical area of China. Energy Build. 2016, 133, 498–511. [Google Scholar] [CrossRef]
- Eliasson, I.; Knez, I.; Westerberg, U.; Thorsson, S.; Lindberg, F. Climate and behaviour in a Nordic city. Landsc. Urban Plan. 2007, 82, 72–84. [Google Scholar] [CrossRef]
- Liu, B.; Mei, Y.; Kuang, W. Experimental Research on Correlation between Microclimate Element and Human Behavior and Perception of Residential Landscape Space in Shanghai. Chin. Landsc. Archit. 2016, 32, 5–9. [Google Scholar]
- Zong, H.; Zhou, y.; Li, J. The Current Situation, Characteristics and Prospects of Microclimate Research of Outdoor Habitat Environment in Urban and Rural Area. Ecol. Econ. 2018, 34, 145–152. [Google Scholar]
- Cheung, P.K.; Jim, C.Y. Determination and application of outdoor thermal benchmarks. Build. Environ. 2017, 123, 333–350. [Google Scholar] [CrossRef]
- Ng, E.; Cheng, V. Urban human thermal comfort in hot and humid Hong Kong. Energy Build. 2012, 55, 51–65. [Google Scholar] [CrossRef]
- Li, K.; Zhang, H.; Zhao, L. Study on Optimal Allocation of Outdoor Space Landscape Elements in Residential Areas in Hot and Humid Regions Based on Empirical Thermal Comfort Index. Build. Sci. 2020, 36, 158–166. [Google Scholar]
- Wang, Y.; de Groot, R.; Bakker, F.; Wortche, H.; Leemans, R. Thermal comfort in urban green spaces: A survey on a Dutch university campus. Int. J. Biometeorol. 2017, 61, 87–101. [Google Scholar] [CrossRef]
- Canan, F.; Golasi, I.; Ciancio, V.; Coppi, M.; Salata, F. Outdoor thermal comfort conditions during summer in a cold semi-arid climate. A transversal field survey in Central Anatolia (Turkey). Build. Environ. 2019, 148, 212–224. [Google Scholar] [CrossRef]
- Salata, F.; Golasi, I.; de Lieto Vollaro, R.; de Lieto Vollaro, A. Outdoor thermal comfort in the Mediterranean area. A transversal study in Rome, Italy. Build. Environ. 2016, 96, 46–61. [Google Scholar] [CrossRef]
- Hoppe, P. The physiological equivalent temperature—A universal index for the biometeorological assessment of the thermal environment. Int. J. Biometeorol. 1999, 43, 71–75. [Google Scholar] [CrossRef] [PubMed]
- Chen, X.; Gao, L.; Xue, P.; Du, J.; Liu, J. Investigation of outdoor thermal sensation and comfort evaluation methods in severe cold area. Sci. Total Environ. 2020, 749, 141520. [Google Scholar] [CrossRef]
- Mei, Y.; Liu, B. Analysis on Micro-climate Perception in the Residential Landscape Space in Winter. Chin. Landsc. Archit. 2017, 33, 12–17. [Google Scholar]
- Chen, L.; Zhang, Y.; Han, J.; Li, X. An investigation of the influence of ground surface properties and shading on outdoor thermal comfort in a high-altitude residential area. Front. Archit. Res. 2021, 10, 432–446. [Google Scholar] [CrossRef]
- Jiang, L.; Cheng, Y.; Cheng, W.; Lin, Y.; Wu, C. Field Observation and Analysis on Effects of Greening Form and Its Plant Landscape Characteristics on Thermal Environment in Square. Build. Sci. 2022, 38, 52–58, 110. [Google Scholar]
- Tseliou, A.; Tsiros, I.X.; Nikolopoulou, M. Seasonal differences in thermal sensation in the outdoor urban environment of Mediterranean climates—The example of Athens, Greece. Int. J. Biometeorol. 2017, 61, 1191–1208. [Google Scholar] [CrossRef]
- Ashrae, A. Standard 55–2010: Thermal Environmental Conditions for Human Occupancy; American Society of Heating, Refrigerating and Air-Conditioning Engineers: Atlanta, GA, USA, 2010. [Google Scholar]
- Liu, W.; Zhang, Y.; Deng, Q. The effects of urban microclimate on outdoor thermal sensation and neutral temperature in hot-summer and cold-winter climate. Energy Build. 2016, 128, 190–197. [Google Scholar] [CrossRef]
- An, N.; Yao, J.; Zhou, Y. Study on the Outdoor Thermal Comfort of Shanghai Campus in Summer—A Case Study of Tongji University. Build. Sci. 2022, 38, 250–260. [Google Scholar]
- Boumaraf, H.; Amireche, L. Thermal comfort and pedestrian behaviors in urban public spaces in cities with warm and dry climates. Open House Int. 2021, 46, 143–159. [Google Scholar] [CrossRef]
- Li, S.; Yang, S.; Liu, X.; Liu, Y. Changes in outdoor thermal sensation and sensitivity to climate factors in Beijing from 1960 to 2014. Resources Science. 2016, 38, 175–184. [Google Scholar] [CrossRef]
- Lai, D.; Guo, D.; Hou, Y.; Lin, C.; Chen, Q. Studies of outdoor thermal comfort in northern China. Build. Environ. 2014, 77, 110–118. [Google Scholar] [CrossRef]
- He, W.; Chen, Y.; Wang, D.; Chen, G. Classification of Existing residential Indoor Thermal Comfort in Cold Regions of China: A Case of Xi’an. Building Science. 2019, 35, 61–65, 117. [Google Scholar] [CrossRef]
- Fang, X.; Hu, J. Study of the Outdoor Thermal Comfort Threshold of Elderly People in Hot and Humid Regions in Summer. South Archit. 2019, 2, 5–12. [Google Scholar] [CrossRef]
- Chen, L.; Wen, Y.; Zhang, L.; Xiang, W.-N. Studies of thermal comfort and space use in an urban park square in cool and cold seasons in Shanghai. Build. Environ. 2015, 94, 644–653. [Google Scholar] [CrossRef]
- Ward, D.; Lea, D. Immunoglobulin standards. Lancet 1975, 305, 456. [Google Scholar] [CrossRef]
- Soothill, J.F.; Humphrey, J.H.; Batty, I.M. Immunoglobulin standards. Lancet 1975, 1, 39–40. [Google Scholar] [CrossRef]
- Wang, H.; Shi, C.; Li, W.; Wang, L.; Wang, J.; Wang, G.; Hu, S. Field investigation on thermal environment and comfort of people in a coastal village of Qingdao (China) during winter. Build. Environ. 2021, 191, 107585. [Google Scholar] [CrossRef]
- Lindner-Cendrowska, K.; Blazejczyk, K. Impact of selected personal factors on seasonal variability of recreationist weather perceptions and preferences in Warsaw (Poland). Int. J. Biometeorol. 2018, 62, 113–125. [Google Scholar] [CrossRef]
- Sharmin, T.; Steemers, K.; Humphreys, M. Outdoor thermal comfort and summer PET range: A field study in tropical city Dhaka. Energy Build. 2019, 198, 149–159. [Google Scholar] [CrossRef]
- Lin, T.-P. Thermal perception, adaptation and attendance in a public square in hot and humid regions. Build. Environ. 2009, 44, 2017–2026. [Google Scholar] [CrossRef]
- Manavvi, S.; Rajasekar, E. Evaluating outdoor thermal comfort in urban open spaces in a humid subtropical climate: Chandigarh, India. Build. Environ. 2022, 209, 108659. [Google Scholar] [CrossRef]
- Kenawy, I.; Elkadi, H. The outdoor thermal benchmarks in Melbourne urban climate. Sustain. Cities Soc. 2018, 43, 587–600. [Google Scholar] [CrossRef]
- Shang, C.; Huang, X.; Zhang, Y.; Chen, M. Outdoor thermal comfort in a tropical coastal tourist resort in Haikou, China. Indoor Built Environ. 2020, 29, 730–745. [Google Scholar] [CrossRef]
- Liu, B.; Peng, X. The Analysis and Evaluation of Thermal Comfort at Nanjing East Road, Shangha. Landsc. Archit. 2019, 26, 83–88. [Google Scholar] [CrossRef]
- Huang, Z.; Cheng, B.; Gou, Z.; Zhang, F. Outdoor thermal comfort and adaptive behaviors in a university campus in China’s hot summer-cold winter climate region. Build. Environ. 2019, 165, 106414. [Google Scholar] [CrossRef]
- Givoni, B.; Noguchi, M.; Saaroni, H.; Pochter, O.; Yaacov, Y.; Feller, N.; Becker, S. Outdoor comfort research issues. Energy Build. 2003, 35, 77–86. [Google Scholar] [CrossRef]
- Cheng, V.; Ng, E.; Chan, C.; Givoni, B. Outdoor thermal comfort study in a sub-tropical climate: A longitudinal study based in Hong Kong. Int. J. Biometeorol. 2012, 56, 43–56. [Google Scholar] [CrossRef]
- Ahmadi, F.; Tahroudi, M.N.; Mirabbasi, R.; Kumar, R. Spatiotemporal analysis of precipitation and temperature concentration using PCI and TCI: A case study of Khuzestan Province, Iran. Theor. Appl. Climatol. 2022, 149, 743–760. [Google Scholar] [CrossRef]
- Fang, Z.; Zheng, Z.; Feng, X.; Shi, D.; Lin, Z.; Gao, Y. Investigation of outdoor thermal comfort prediction models in South China: A case study in Guangzhou. Build. Environ. 2021, 188, 107424. [Google Scholar] [CrossRef]
- Yang, W.; Wong, N.H.; Zhang, G. A comparative analysis of human thermal conditions in outdoor urban spaces in the summer season in Singapore and Changsha, China. Int. J. Biometeorol. 2013, 57, 895–907. [Google Scholar] [CrossRef] [PubMed]






| Transition Season | Summer | Winter | |
|---|---|---|---|
| 2020 | 22–24 September | 16–18 July | 22–24 January |
| 2021 | 11–13 May 21–23 October | 20–25 August |
| Season | Parameter | Max | Mean | Min | SD |
|---|---|---|---|---|---|
| Transitional season | Solar (W/m2) | 1073.0 | 401.5 | 10.0 | 411.1 |
| Ta (°C) | 46.3 | 46.3 | 17.1 | 8.2 | |
| RH (%) | 65.4 | 48.4 | 41.9 | 6.4 | |
| Va (m/s) | 3.3 | 2.3 | 0.3 | 0.6 | |
| PET (°C) | 60.1 | 30.4 | 11.7 | 14.6 | |
| Summer | Solar (W/m2) | 794.0 | 254.3 | 17.0 | 235.8 |
| Ta (°C) | 43.6 | 32.3 | 25.8 | 5.3 | |
| RH (%) | 72.3 | 50.9 | 37.8 | 9.0 | |
| Va (m/s) | 2.2 | 0.9 | 0.0 | 0.5 | |
| PET (°C) | 57.9 | 34.1 | 22.3 | 10.6 | |
| Winter | Solar (W/m2) | 558.0 | 263.7 | 0.0 | 214.4 |
| Ta (°C) | 20.4 | 11.3 | 0.8 | 4.9 | |
| RH (%) | 71.0 | 32.4 | 15.2 | 12.7 | |
| Va (m/s) | 4.4 | 1.8 | 0.0 | 0.9 | |
| PET (°C) | 22.8 | 8.3 | −4.7 | 7.4 |
| MTSV = 0 Method (°C) | Median Method (°C) | |||||
|---|---|---|---|---|---|---|
| Season | Thermal Neutral Temperature MTSV = 0 | Thermal Neutral Temperature Range (−0.5 ≤ MTSV ≤ 0.5) | Thermal Acceptable Temperature Range (−1 ≤ MTSV ≤ 1) | Thermal Neutral Temperature (Median) | Thermal Neutral Temperature Range (Upper Quartile-Lower Quartile) | Thermal Acceptable Temperature Range > 90% |
| Transitional season | 15.0 | 10.5–19.5 | 6.1–24.0 | 22.2 | 10.5–25.7 | 10.8–25.7 |
| Summer | 20.3 | 17.1–23.4 | 14.1–26.5 | 23.6 | 17.1–26.4 | 17.4–26.4 |
| Winter | 17.0 | 13.3–20.6 | 9.7–24.2 | 12.0 | 7.1–24.4 | 7.1–24.4 |
| Annual | 17.3 | 13.3–21.3 | 9.3–25.3 | 21.0 | 13.3–23.9 | 13.0–25.7 |
| City | Latitude, Longitude | Köppen Climate Zone | Thermal Neutral Temperature (°C) | Thermal Neutral Temperature Range (°C) | Thermal Acceptable Temperature Range (°C) |
|---|---|---|---|---|---|
| Changsha (China) [20] | 28.26 N, 112.99 E | Cfa | 14.9 (Winter) 23.3 (Summer) | 15–22 (Annual) | 21.1–29.2 (Annual) |
| Tehran [2] | 35.78 N, 51.45 E | BSk | 13.9–20.5 (Annual) | 22.1–28(Annual) | |
| Warsaw [31] | 52.23 N, 21.12 E | Dfb | 32.4 (Summer) –2.1 (Winter) | 27.3–31.7 (Summer) 6.3–21.8 (Winter) | |
| Dhaka [32] | 23.71 N, 90.41 W | Dfb | 24.6 (Summer) | 29.5–32.5 (Summer) | |
| Taichung (China) [33] | 24.13 N, 120.56 E | Cwa | 25.6 (Summer) 23.7 (Winter) | 21.3–35.9 (Annual) | |
| Chandigarh [34] | 30.73 N, 76.91 E | Cwa | 29.5 (Summer) | 20.2–36.3 (Annual) | |
| 23.3 (Winter) | |||||
| Anatolia [11] | 37.87 N, 32.49 E | BSk | 26.8(Summer) | 21.6–32.0 (Summer) | |
| Rome [12] | 41.90 N, 12.48 E | Csa | 21.1–29.2 (Annual) | ||
| Melbourne [35] | 37.81 S, 145.04 E | Cfb | 20 (Summer) | 20–24.9 (Summer) | |
| 24.4 (Winter) | |||||
| Guangzhou (China) [3] | 23.14 N, 113.28 E | Cfa | 25.6 (Summer) | 23.8–27.4(Summer) | 22.6–31.2 (Summer) |
| Haikou (China) [36] | 20.07 N, 110.34 E | Cfa | 23.8 (Spring) 23.3 (Autumn) 19.2 (Winter) | 21.4–27.1 (Spring) 19.2–32 (Autumn) >15.9 (Winter) 19.6–29.5 (Other three seasons) | |
| Shanghai (China) [37] | 31.23 N, 121.49 E | Cfa | 16.9–29.0 (Summer) 9.05–22.6 (Winter) | ||
| Xi’an (China) [26] | 34.34 N, 108.94 E | Cwa | 12.4–26.9 (Annual) | 9.8–30.7 (Annual) | |
| Qingdao (China) [30] | 36.08 N, 120.39 E | Cwa | 13.7 (Winter) | 6.3–21.0 (Winter) | |
| Mianyang (China) [38] | 31.48 N, 104.67 E | Et | 23.5 (Winter) | ||
| 22.8 (Summer) | |||||
| Hangzhou (The study) | 30.25 N, 120.16 E | Cfa | 22.2 (Transition season) 23.6 (Summer) 12.0 (Winter) 21.0 (Annual) | 10.5–25.7 (Transition season) 17.1–26.4 (Summer) 7.1–24.4 (Winter) 13.3–23.9 (Annual) | 10.8–25.7 (Transition season) 17.4–26.4 (Summer) 7.1–24.4 (Winter) 13.0–25.7 (Annual) |
Publisher’s Note: MDPI stays neutral with regard to jurisdictional claims in published maps and institutional affiliations. |
© 2022 by the authors. Licensee MDPI, Basel, Switzerland. This article is an open access article distributed under the terms and conditions of the Creative Commons Attribution (CC BY) license (https://creativecommons.org/licenses/by/4.0/).
Share and Cite
Mei, Y.; Xu, L. Research on Seasonal Thermal Neutral Temperature in West Lake Scenic Area of Hangzhou, China. Int. J. Environ. Res. Public Health 2022, 19, 14677. https://doi.org/10.3390/ijerph192214677
Mei Y, Xu L. Research on Seasonal Thermal Neutral Temperature in West Lake Scenic Area of Hangzhou, China. International Journal of Environmental Research and Public Health. 2022; 19(22):14677. https://doi.org/10.3390/ijerph192214677
Chicago/Turabian StyleMei, Yi, and Lili Xu. 2022. "Research on Seasonal Thermal Neutral Temperature in West Lake Scenic Area of Hangzhou, China" International Journal of Environmental Research and Public Health 19, no. 22: 14677. https://doi.org/10.3390/ijerph192214677
APA StyleMei, Y., & Xu, L. (2022). Research on Seasonal Thermal Neutral Temperature in West Lake Scenic Area of Hangzhou, China. International Journal of Environmental Research and Public Health, 19(22), 14677. https://doi.org/10.3390/ijerph192214677
