Process Optimization of Electrochemical Treatment of COD and Total Nitrogen Containing Wastewater
Abstract
:1. Introduction
2. Materials and Methods
2.1. Wastewater Characteristics
2.2. Experimental Setup
2.3. Analytical Methods
3. Results
3.1. The Choice of a Proper Electrode
3.2. In-Situ FTIR Studies on Pollutants Removal
3.3. Main Factors on COD and TN Removal
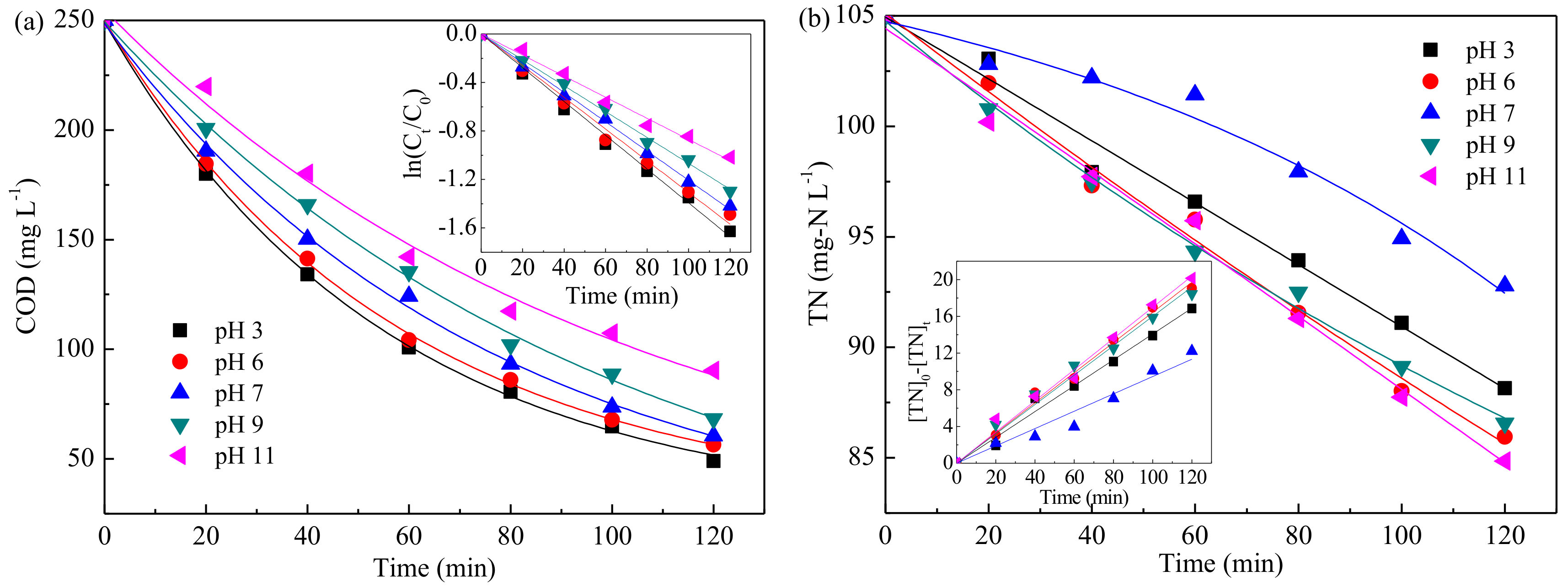
3.3.1. Effect of Initial pH Value
3.3.2. Effect of Chloride Concentration
3.3.3. Effect of Current Density
3.4. Verification of Actual Wastewater Treatment
4. Conclusions
Supplementary Materials
Author Contributions
Funding
Institutional Review Board Statement
Informed Consent Statement
Data Availability Statement
Acknowledgments
Conflicts of Interest
References
- Tanikawa, D.; Kataoka, T.; Ueno, T.; Minami, T.; Motokawa, D.; Itoiri, Y.; Kimura, Z. Seeding the drainage canal of a wastewater treatment system for the natural rubber industry with rubber for the enhanced removal of organic matter and nitrogen. Chemosphere 2021, 283, 131233. [Google Scholar] [CrossRef]
- Munavalli, G.R.; Sonavane, P.G.; Koli, M.M.; Dhamangaokar, B.S. Field-scale decentralized domestic wastewater treatment system: Effect of dynamic loading conditions on the removal of organic carbon and nitrogen. J. Environ. Manag. 2022, 302, 114014. [Google Scholar] [CrossRef]
- Pourbavarsad, M.S.; Jalalieh, B.J.; Harkins, C.; Sevanthi, R.; Jackson, W.A. Nitrogen oxidation and carbon removal from high strength nitrogen habitation wastewater with nitrification in membrane aerated biological reactors. J. Environ. Chem. Eng. 2021, 9, 106271. [Google Scholar] [CrossRef]
- Ding, J.; Zhao, Q.L.; Zhang, Y.S.; Wei, L.L.; Li, W.; Wang, K. The eAND process: Enabling simultaneous nitrogen-removal and disinfection for WWTP effluent. Water Res. 2015, 74, 122–131. [Google Scholar] [CrossRef]
- Nguyen, H.D.; Babel, S. Insights on microbial fuel cells for sustainable biological nitrogen removal from wastewater: A review. Environ. Res. 2022, 204, 112095. [Google Scholar] [CrossRef]
- Falås, P.; Wick, A.; Castronovo, S.; Habermacher, J.; Ternes, T.A.; Joss, A. Tracing the limits of organic micropollutant removal in biological wastewater treatment. Water Res. 2016, 95, 240–249. [Google Scholar] [CrossRef] [PubMed] [Green Version]
- Noriega-Hevia, G.; Serralta, J.; Secob, A.; Ferrer, J. Economic analysis of the scale-up and implantation of a hollow fibre membrane contactor plant for nitrogen recovery in a full-scale wastewater treatment plant. Sep. Purif. Technol. 2021, 275, 119128. [Google Scholar] [CrossRef]
- Kimura, K.; Yamakawa, M.; Hafuka, A. Direct membrane filtration (DMF) for recovery of organic matter in municipal wastewater using small amounts of chemicals and energy. Chemosphere 2021, 277, 130244. [Google Scholar] [CrossRef]
- Tong, S.; Zhang, S.X.; Zhao, Y.; Feng, C.P.; Hu, W.W.; Chen, N. Hybrid zeolite-based ion-exchange and sulfur oxidizing denitrification for advanced slaughterhouse wastewater treatment. J. Environ. Sci. 2022, 113, 219–230. [Google Scholar] [CrossRef]
- Vincenta, T.T.; Boyer, T.H. Beneficial reuse of treated municipal wastewater and flue gas carbon dioxide via combined ion exchange. J. Water Process Eng. 2020, 37, 101405. [Google Scholar]
- Xiao, W.; Jiang, X.P.; Liu, X.; Zhou, W.M.; Garba, Z.N.; Lawan, I.; Wang, L.W.; Yuan, Z.H. Adsorption of organic dyes from wastewater by metal-doped porous carbon materials. J. Clean. Prod. 2021, 284, 124773. [Google Scholar] [CrossRef]
- Li, M.; Feng, C.P.; Zhang, Z.Y.; Yang, Y.N.; Chen, R.Z.; Sugiura, N. Simultaneous reduction of nitrate and oxidation of by-products using electrochemical method. J. Hazard. Mater. 2009, 171, 724–730. [Google Scholar] [CrossRef] [PubMed]
- Su, L.H.; Li, K.; Zhang, H.B.; Fan, M.H.; Ying, D.W.; Sun, T.H.; Wang, Y.L.; Jia, J.P. Electrochemical nitrate reduction by using a noval Co3O4/Ti cathode. Water Res. 2017, 120, 1–11. [Google Scholar] [CrossRef]
- Garcia-Segura, S.; Ocon, J.D.; Chong, M.N. Electrochemical oxidation remediation of real wastewater effluents—A review. Process Saf. Environ. 2018, 113, 48–67. [Google Scholar] [CrossRef]
- Yu, H.; Li, Y.; Zhao, M.; Dong, H.; Yu, H.B.; Zhan, S.H.; Zhang, L. Energy-saving removal of methyl orange in high salinity wastewater by electrochemical oxidation via a novae Ti/SnO2-Sb anode-Air diffusion cathode system. Catal. Today 2015, 258, 156–161. [Google Scholar] [CrossRef]
- Qiao, J.; Xiong, Y.Z. Electrochemical oxidation technology: A review of its application in high-efficiency treatment of wastewater containing persistent organic pollutants. J. Water Process Eng. 2021, 44, 102308. [Google Scholar] [CrossRef]
- Ganzoury, M.A.; Ghasemian, S.; Zhang, N.; Yagar, M.; de Lannoy, C.F. Mixed metal oxide anodes used for the electrochemical degradation of a real mixed industrial wastewater. Chemosphere 2022, 286, 131600. [Google Scholar] [CrossRef] [PubMed]
- Markou, V.; Kontogianni, M.C.; Frontistis, Z.; Tekerlekopoulou, A.G.; Katsaounis, A.; Vayenas, D. Electrochemical treatment of biologically pre-treated dairy wastewater using dimensionally stable anodes. J. Environ. Manag. 2017, 202, 217–224. [Google Scholar] [CrossRef] [PubMed]
- Zhou, Y.; Zhao, K.; Hu, C.Z.; Liu, H.J.; Wang, Y.; Qu, J.H. Electrochemical oxidation of ammonia accompanied with electricity generation based on reverse electrodialysis. Electrochim. Acta 2018, 269, 128–135. [Google Scholar] [CrossRef]
- Zöllig, H.; Fritzsche, C.; Morgenroth, E.; Udert, K.M. Direct electrochemical oxidation of ammonia on graphite as a treatment option for stored source-separated urine. Water Res. 2015, 69, 284–294. [Google Scholar] [CrossRef] [Green Version]
- Ghazouani, M.; Akrout, H.; Bousselmi, L. Nitrate and carbon matter removals from real effluents using Si/BDD electrode. Environ. Sci. Pollut. Res. 2017, 24, 9895–9906. [Google Scholar] [CrossRef]
- Couto, A.B.; Oishi, S.S.; Ferreira, N.G. Enhancement of nitrate electroreduction using BDD anode and metal modified carbon fiber cathode. J. Ind. Eng. Chem. 2016, 39, 210–217. [Google Scholar] [CrossRef]
- Yao, J.C.; Pan, B.J.; Shen, R.X.; Yuan, T.B.; Wang, J.D. Differential control of anode/cathode potentials of paired electrolysis for simultaneous removal of chemical oxygen demand and total nitrogen. Sci. Total Environ. 2019, 687, 198–205. [Google Scholar] [CrossRef] [PubMed]
- Mook, W.T.; Chakrabarti, M.H.; Aroua, M.K.; Khan, G.M.A.; Ali, B.S.; Islam, M.S.; Abu Hassan, M.A. Removal of total ammonia nitrogen (TAN), nitrate and total organic carbon (TOC) from aquaculture wastewater using electrochemical technology: A review. Desalination 2012, 285, 1–13. [Google Scholar] [CrossRef]
- Yao, J.C.; Mei, Y.; Yuan, T.B.; Chen, J.; Pan, H.; Wang, J.D. Electrochemical removal of nitrate from wastewater with a Ti cathode and Pt anode for high efficiency and N2 selectivity. J. Electroanal. Chem. 2021, 882, 115019. [Google Scholar] [CrossRef]
- Cirmi, D.; Aydin, R.; Koleli, F. The electrochemical reduction of nitrate ion on polypyrrole coated copper electrode. J. Electroanal. Chem. 2015, 736, 101–106. [Google Scholar] [CrossRef]
- Shih, Y.J.; Huang, Y.H.; Huang, C.P. Electrocatalytic ammonia oxidation over a nickel foam electrode: Role of Ni(OH)2(s)-NiOOH(s) nanocatalysts. Electrochim. Acta 2018, 263, 261–271. [Google Scholar] [CrossRef]
- Li, M.; Feng, C.P.; Zhang, Z.Y.; Yang, S.J.; Sugiura, N. Treatment of nitrate contaminated water using an electrochemical method. Bioresour. Technol. 2010, 101, 6553–6557. [Google Scholar] [CrossRef]
- Li, W.; Xiao, C.W.; Zhao, Y.; Zhao, Q.Q.; Fan, R.; Xue, J.J. Electrochemical reduction of high-concentrated nitrate using Ti/TiO2 nanotube array anode and Fe cathode in dual-chamber cell. Catal. Lett. 2016, 146, 2585–2595. [Google Scholar] [CrossRef]
- Mandal, P.; Dubry, B.K.; Gupta, A.K. Review on landfill leachate treatment by electrochemical oxidation: Drawbacks, challenges and future scope. Waste Manag. 2017, 69, 250–273. [Google Scholar] [CrossRef]
- Zou, J.X.; Peng, X.L.; Li, M.; Xiong, Y.; Wang, B.; Dong, F.Q.; Wang, B. Electrochemical oxidation of COD from real textile wastewaters: Kinetic study and energy consumption. Chemosphere 2017, 171, 332–338. [Google Scholar] [CrossRef] [PubMed]
- Chen, J.M.; Xia, Y.J.; Dai, Q.Z. Electrochemical degradation of chloramphenicol with a novel Al doped PbO2 electrode: Performance, kinetics and degradation mechanism. Electrochim. Acta 2015, 165, 277–287. [Google Scholar] [CrossRef]
- Yao, J.C.; Chen, A.N.; Ye, R.H.; Wang, J.D.; Pan, H.; Xu, D.M.; Chen, J.; Mei, Y.; Hrynsphan, D.; Savitskaya, T. Stepping control of electrochemical process for simultaneous removal of COD and ammonia with high efficiency and energy saving. J. Electrochem. Soc. 2021, 168, 023502. [Google Scholar] [CrossRef]
- Chen, G.H. Electrochemcial technologies in wastewater treatment. Sep. Purif. Technol. 2004, 38, 11–41. [Google Scholar] [CrossRef]
- Yao, J.C.; Zhou, M.M.; Wen, D.N.; Xue, Q.W.; Wang, J.D. Electrochemical conversion of ammonia to nitrogen in non-chlorinated aqueous solution by controlling pH value. J. Electroanal. Chem. 2016, 776, 53–58. [Google Scholar] [CrossRef]
- Zhu, R.Y.; Yang, C.Y.; Zhou, M.M.; Wang, J.D. Industrial park wastewater deeply treated and reused by a novel electrochemical oxidation reactor. Chem. Eng. J. 2015, 260, 427–433. [Google Scholar] [CrossRef]
- Li, M.; Feng, C.P.; Zhang, Z.Y.; Sugiura, N. Efficient electrochemical reduction of nitrate to nitrogen using Ti/IrO2-Pt anode and different cathodes. Electrochim. Acta 2009, 54, 4600–4606. [Google Scholar] [CrossRef]
- Dia, O.; Drogui, P.; Buelna, G.; Dubé, R. Strategical approach to prevent ammonia formation during electrocoagulation of landfill leachate obtained from a biofiltration process. Sep. Purif. Technol. 2017, 189, 253–259. [Google Scholar] [CrossRef]
- Reyter, D.; Bélanger, D.; Roué, L. Optimization of the cathode material for nitrate removal by a paired electrolysis process. J. Hazard. Mater. 2011, 192, 507–513. [Google Scholar] [CrossRef] [PubMed]
- Griffiths, P.R.; de Haseth, J.A. Fourier Transform Infrared Spectrometry; Johnwiley & Sons: Hoboken, NJ, USA, 1986. [Google Scholar]
- Kapałka, A.; Cally, A.; Neodo, S.; Comninellis, C.; Wächter, M.; Udert, K.M. Electrochemical behavior of ammonia at Ni/Ni(OH)2 electrode. Electrochem. Commun. 2010, 12, 18–21. [Google Scholar] [CrossRef]
- Anglada, A.; Urtiaga, A.; Ortiz, I. Pilot scale performance of the electro-oxidation of landfill leachate at boron-doped diamond anodes. Environ. Sci. Technol. 2009, 43, 2035–2040. [Google Scholar] [CrossRef] [PubMed]
- Yang, J.B.; Du, C.W.; Shen, Y.Z.; Jian, J.M. Rapid determination of nitrate in Chinese cabbage using fourier transforms mid-infrared spectroscopy. Chin. J. Anal. Chem. 2013, 41, 1264–1268. [Google Scholar] [CrossRef]
- Valverde, J.L.; de Lucas, A.; Dorado, F.; Romero, A.; Garcia, P.B. Study by in situ FTIR of the SCR of NO by propene on Cu2+ ion-exchanged Ti-PILC. J. Mol. Catal. A-Chem. 2005, 230, 23–28. [Google Scholar] [CrossRef]
- Talhi, B.; Monette, F.; Azzouz, A. Effective and selective nitrate electroreduction into nitrogen through synergistic parameter interactions. Electrochim. Acta 2011, 28, 276–284. [Google Scholar] [CrossRef]
- Zhao, J.; Zhu, C.Z.; Lu, J.; Hu, C.J.; Peng, S.C.; Chen, T.H. Electro-catalytic degradation of bisphenol A with modified Co3O4/β-PbO2/Ti electrode. Electrochim. Acta 2014, 118, 169–175. [Google Scholar] [CrossRef]
- Wang, Y.; Qu, J.H.; Wu, R.C.; Lei, P.J. The electrocatalytic reduction of nitrate in water on Pd/Sn-modified activated carbon fiber electrode. Water Res. 2006, 40, 1224–1232. [Google Scholar] [CrossRef]
- Lacasa, E.; Cañizares, P.; Llanos, J.; Rodrigo, M.A. Effect of the cathode material on the removal of nitrates by electrolysis in non-chloride media. J. Hazard. Mater. 2012, 213–214, 478–484. [Google Scholar] [CrossRef] [PubMed]
- Cai, Q.Q.; Wu, M.Y.; Li, R.; Deng, S.H.; Lee, B.C.Y.; Ong, S.L.; Hu, J.Y. Potential of combined advanced oxidation-Biological process for cost-effective organic matters removal in reverse osmosis concentrate produced from industrial wastewater reclamation: Screening of AOP pre-treatment technologies. Chem. Eng. J. 2020, 389, 123419. [Google Scholar] [CrossRef]
- Bustillo-Lecompte, C.F.; Mehrvar, M. Treatment of an actual slaughterhouse wastewater by integration of biological and advanced oxidation processes: Modeling, optimization, and cost-effectiveness analysis. J. Environ. Manag. 2016, 182, 651–666. [Google Scholar] [CrossRef]







| Parameters | Simulated Wastewater | Actual Wastewater |
|---|---|---|
| pH | 6.0 ± 0.1 | 8.1 ± 0.2 |
| COD/mg·L−1 | 250 ± 15 | 337.57 ± 20 |
| Total nitrogen (TN)/mg-N·L−1 | 105 ± 10 | 120.53 ± 15 |
| Ammonia (NH4+/NH3)/mg-N·L−1 | 60 ± 5 | 87.88 ± 8 |
| Nitrate (NO3−)/mg-N·L−1 | 30 ± 3 | 28.33 ± 5 |
| Nitrite (NO2−)/mg-N·L−1 | 15 ± 2 | 4.32 ± 3 |
| Chloride (Cl−)/mg·L−1 | 0~1500 | 987.95 ± 35 |
Publisher’s Note: MDPI stays neutral with regard to jurisdictional claims in published maps and institutional affiliations. |
© 2022 by the authors. Licensee MDPI, Basel, Switzerland. This article is an open access article distributed under the terms and conditions of the Creative Commons Attribution (CC BY) license (https://creativecommons.org/licenses/by/4.0/).
Share and Cite
Yao, J.; Mei, Y.; Jiang, J.; Xia, G.; Chen, J. Process Optimization of Electrochemical Treatment of COD and Total Nitrogen Containing Wastewater. Int. J. Environ. Res. Public Health 2022, 19, 850. https://doi.org/10.3390/ijerph19020850
Yao J, Mei Y, Jiang J, Xia G, Chen J. Process Optimization of Electrochemical Treatment of COD and Total Nitrogen Containing Wastewater. International Journal of Environmental Research and Public Health. 2022; 19(2):850. https://doi.org/10.3390/ijerph19020850
Chicago/Turabian StyleYao, Jiachao, Yu Mei, Junhui Jiang, Guanghua Xia, and Jun Chen. 2022. "Process Optimization of Electrochemical Treatment of COD and Total Nitrogen Containing Wastewater" International Journal of Environmental Research and Public Health 19, no. 2: 850. https://doi.org/10.3390/ijerph19020850
APA StyleYao, J., Mei, Y., Jiang, J., Xia, G., & Chen, J. (2022). Process Optimization of Electrochemical Treatment of COD and Total Nitrogen Containing Wastewater. International Journal of Environmental Research and Public Health, 19(2), 850. https://doi.org/10.3390/ijerph19020850
