Decision-Making Skills in Youth Basketball Players: Diagnostic and External Validation of a Video-Based Assessment
Abstract
1. Introduction
2. Methods
2.1. Sample and Design
2.2. Stimulus Development
2.3. Procedures
2.4. Measures
2.4.1. Decision-Making Assessment
2.4.2. Performance Data
2.5. Statistical Analysis
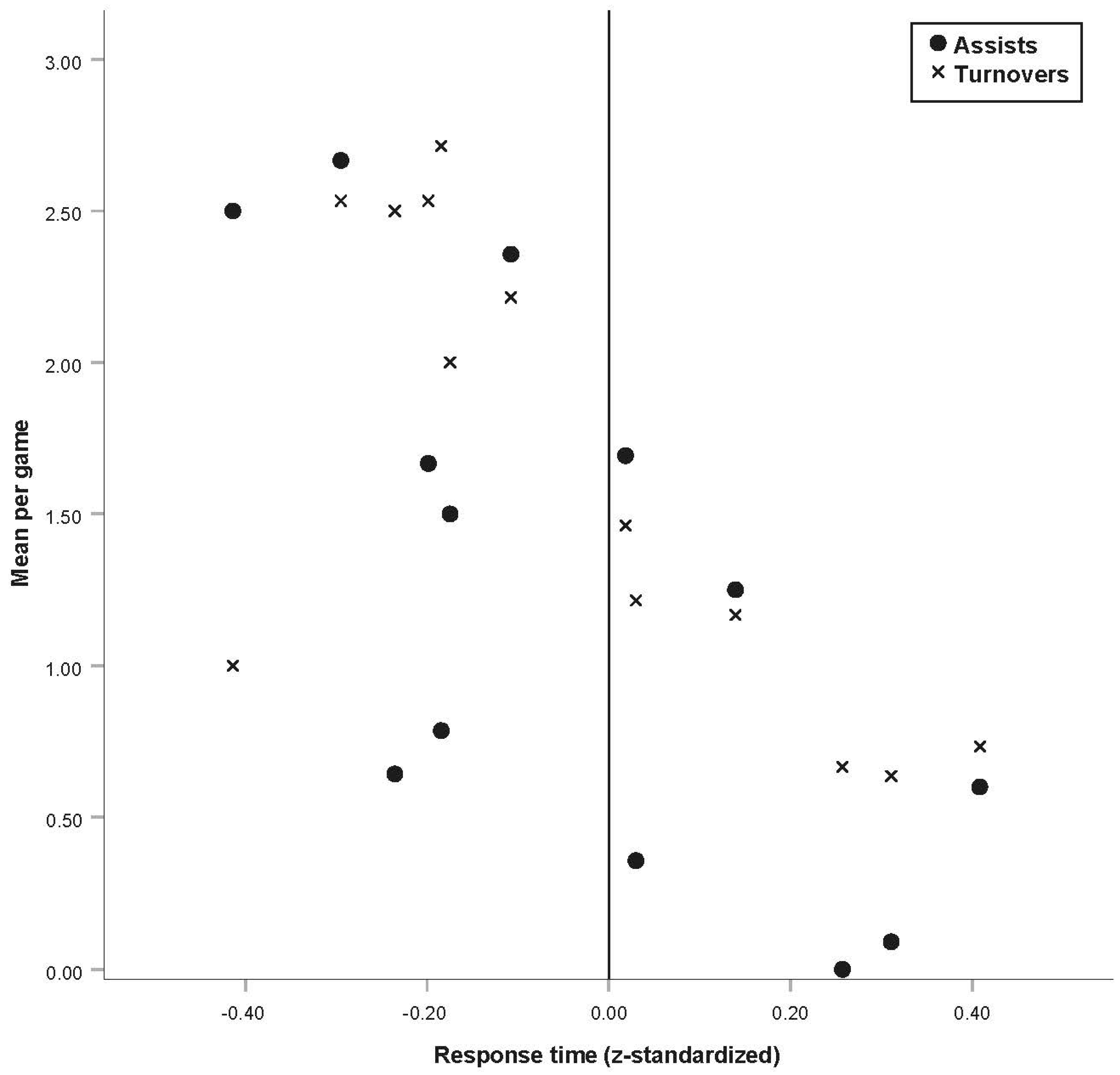
3. Results
4. Discussion
5. Conclusions
Supplementary Materials
Author Contributions
Funding
Institutional Review Board Statement
Informed Consent Statement
Data Availability Statement
Acknowledgments
Conflicts of Interest
References
- Maimón, A.Q.; Courel-Ibáñez, J.; Ruíz, F.J.R. The Basketball Pass: A Systematic Review. J. Hum. Kinet. 2020, 71, 275–284. [Google Scholar] [CrossRef] [PubMed]
- Ortega, E.; Cárdenas, D.; de Baranda, S.P.; Palao, J. Analysis of the final actions used in basketball during formative years according to player’s position. J. Hum. Mov. Stud. 2006, 50, 421–437. [Google Scholar]
- Bianchi, F.; Facchinetti, T.; Zuccolotto, P. Role revolution: Towards a new meaning of positions in basketball. J. App. Stat. Anal. 2017, 10, 712–734. [Google Scholar] [CrossRef]
- Ibáñez, S.J.; García-Rubio, J.; Gómez, M.A.; Gonzalez-Espinosa, S. The Impact of Rule Modifications on Elite Basketball Teams’ Performance. J. Hum. Kinet. 2018, 64, 181–193. [Google Scholar] [CrossRef]
- Glazier, P.S. Towards a Grand Unified Theory of sports performance. Hum. Mov. Sci. 2017, 56, 139–156. [Google Scholar] [CrossRef]
- Johnston, K.; Wattie, N.; Schorer, J.; Baker, J. Talent Identification in Sport: A Systematic Review. Sports Med. 2018, 48, 97–109. [Google Scholar] [CrossRef]
- Mann, D.L.; Dehghansai, N.; Baker, J. Searching for the elusive gift: Advances in talent identification in sport. Curr. Opin. Psychol. 2017, 16, 128–133. [Google Scholar] [CrossRef] [PubMed]
- Koopmann, T.; Faber, I.; Baker, J.; Schorer, J. Assessing Technical Skills in Talented Youth Athletes: A Systematic Review. Sports Med. 2020, 50, 1593–1611. [Google Scholar] [CrossRef] [PubMed]
- Höner, O.; Larkin, P.; Leber, T.; Feichtinger, P. Talentauswahl und -entwicklung im Sport [Talentselection and -development in sport]. In Sportpsychologie: Grundlagen und Anwendung; Schüler, J., Wegner, M., Plessner, H., Eds.; Springer: Berlin/Heidelberg, Germany, 2020; pp. 499–530. [Google Scholar]
- Abbott, A.; Collins, D. Eliminating the dichotomy between theory and practice in talent identification and development: Considering the role of psychology. J. Sports Sci. 2004, 22, 395–408. [Google Scholar] [CrossRef] [PubMed]
- Trunić, N.; Mladenović, M. The importance of selection in basketball. Sport Sci. Pract. 2014, 4, 65–81. [Google Scholar]
- Roberts, A.H.; Greenwood, D.A.; Stanley, M.; Humberstone, C.; Iredale, F.; Raynor, A. Coach knowledge in talent identification: A systematic review and meta-synthesis. J. Sci. Med. Sport 2019, 22, 1163–1172. [Google Scholar] [CrossRef]
- Gonçalves, C.E.; Coelho e Silva, M.J.; Carvalho, H.M.; Gonçalves, A. Why do they engage in such hard programs? The search for excellence in youth basketball. J. Sports Sci. Med. 2011, 10, 458–464. [Google Scholar]
- Bar-Eli, M.; Plessner, H.; Raab, M. Judgment, decision-making and success in sport; John Wiley & Sons: Chichester, UK, 2011. [Google Scholar]
- Baker, J.; Cote, J.; Abernethy, B. Sport-specific practice and the development of expert decision-making in team ball sports. J. Appl. Sport Psychol. 2003, 15, 12–25. [Google Scholar] [CrossRef]
- Nougier, V.; Stein, J.F.; Bonnel, A.M. Information processing in sport and “orienting of attention”. Int. J. Sport Psychol. 1991, 22, 307–327. [Google Scholar]
- Pylyshyn, Z.W.; Storm, R.W. Tracking multiple independent targets: Evidence for a parallel tracking mechanism. Spat. Vis. 1988, 3, 179–197. [Google Scholar] [CrossRef] [PubMed]
- Scharfen, H.E.; Memmert, D. Measurement of cognitive functions in experts and elite athletes: A meta-analytic review. Appl. Cogn. Psychol. 2019, 33, 843–860. [Google Scholar] [CrossRef]
- Voss, M.W.; Kramer, A.F.; Basak, C.; Prakash, R.S.; Roberts, B. Are expert athletes ‘expert’ in the cognitive laboratory? A meta-analytic review of cognition and sport expertise. Appl. Cogn. Psychol. 2010, 24, 812–826. [Google Scholar] [CrossRef]
- Ericsson, K.A.; Smith, J. Toward a General Theory of Expertise: Prospects and Limits; Cambridge University Press: Cambridge, UK, 1991. [Google Scholar]
- Travassos, B.; Araujo, D.; Davids, K.; O’hara, K.; Leitão, J.; Cortinhas, A. Expertise effects on decision-making in sport are constrained by requisite response behaviours–A meta-analysis. Psychol. Sport Exerc. 2013, 14, 211–219. [Google Scholar] [CrossRef]
- Williams, A.M.; Ford, P.R.; Eccles, D.W.; Ward, P. Perceptual-cognitive expertise in sport and its acquisition: Implications for applied cognitive psychology. Appl. Cogn. Psychol. 2011, 25, 432–442. [Google Scholar] [CrossRef]
- Mann, D.T.; Williams, A.M.; Ward, P.; Janelle, C.M. Perceptual-cognitive expertise in sport: A meta-analysis. J. Sport Exerc. Psychol. 2007, 29, 457–478. [Google Scholar] [CrossRef] [PubMed]
- Li, Y.; Feng, T. The effects of sport expertise and shot results on basketball players’ action anticipation. PLoS ONE 2020, 15, e0227521. [Google Scholar] [CrossRef]
- Wu, Y.; Zeng, Y.; Zhang, L.; Wang, S.; Wang, D.; Tan, X.; Zhu, X.; Zhang, J.; Zhang, J. The role of visual perception in action anticipation in basketball athletes. Neuroscience 2013, 237, 29–41. [Google Scholar] [CrossRef]
- Abreu, A.M.; Macaluso, E.; Azevedo, R.T.; Cesari, P.; Urgesi, C.; Aglioti, S.M. Action anticipation beyond the action observation network: A functional magnetic resonance imaging study in expert basketball players. Eur. J. Neurosci. 2012, 35, 1646–1654. [Google Scholar] [CrossRef]
- Aglioti, S.M.; Cesari, P.; Romani, M.; Urgesi, C. Action anticipation and motor resonance in elite basketball players. Nat. Neurosci. 2008, 11, 1109–1116. [Google Scholar] [CrossRef]
- Gorman, A.D.; Abernethy, B.; Farrow, D. Classical pattern recall tests and the prospective nature of expert performance. Q. J. Exp. Psychol. 2012, 65, 1151–1160. [Google Scholar] [CrossRef]
- Gorman, A.D.; Abernethy, B.; Farrow, D. Is the relationship between pattern recall and decision-making influenced by anticipatory recall? Q. J. Exp. Psychol. 2013, 66, 2219–2236. [Google Scholar] [CrossRef] [PubMed]
- Gorman, A.D.; Abernethy, B.; Farrow, D. The expert advantage in dynamic pattern recall persists across both attended and unattended display elements. Atten. Percept. Psychophys. 2013, 75, 835–844. [Google Scholar] [CrossRef] [PubMed]
- Gorman, A.D.; Abernethy, B.; Farrow, D. Investigating the anticipatory nature of pattern perception in sport. Mem. Cogn. 2011, 39, 894–901. [Google Scholar] [CrossRef]
- Didierjean, A.; Marmeche, E. Anticipatory representation of visual basketball scenes by novice and expert players. Vis. Cogn. 2005, 12, 265–283. [Google Scholar] [CrossRef]
- Klostermann, A.; Panchuk, D.; Farrow, D. Perception-action coupling in complex game play: Exploring the quiet eye in contested basketball jump shots. J. Sports Sci. 2018, 36, 1054–1060. [Google Scholar] [CrossRef]
- Ryu, D.; Abernethy, B.; Mann, D.L.; Poolton, J.M.; Gorman, A.D. The role of central and peripheral vision in expert decision making. Perception 2013, 42, 591–607. [Google Scholar] [CrossRef]
- Spittle, M.; Kremer, P.; Hamilton, J. The effect of screen size on video-based perceptual decision making tasks in sport. Int. J. Sport Exerc. Psychol. 2011, 8, 360–372. [Google Scholar] [CrossRef]
- Pagé, C.; Bernier, P.-M.; Trempe, M. Using video simulations and virtual reality to improve decision-making skills in basketball. J. Sports Sci. 2019, 37, 2403–2410. [Google Scholar] [CrossRef] [PubMed]
- Panchuk, D.; Klusemann, M.J.; Hadlow, S.M. Exploring the effectiveness of immersive video for training decision-making capability in elite, youth basketball players. Front. Psychol. 2018, 9, 2315. [Google Scholar] [CrossRef]
- Williams, A.M.; Davids, K.; Williams, J.G.P. Visual perception and action in sport; Taylor & Francis: Abingdon, UK, 1999. [Google Scholar]
- Cotterill, S.; Discombe, R. Enhancing decision-making during sports performance: Current understanding and future directions. Sport Exerc. Psychol. Rev. 2016, 12, 54–68. [Google Scholar]
- McGuckian, T.B.; Cole, M.H.; Pepping, G.J. A systematic review of the technology-based assessment of visual perception and exploration behaviour in association football. J. Sports Sci. 2018, 36, 861–880. [Google Scholar] [CrossRef] [PubMed]
- Larkin, P.; Mesagno, C.; Berry, J.; Spittle, M. Development of a valid and reliable video-based decision-making test for Australian football umpires. J. Sci. Med. Sport 2014, 17, 552–555. [Google Scholar] [CrossRef] [PubMed]
- Lucas, J.W. Theory-testing, generalization, and the problem of external validity. Sociol. Theory 2003, 21, 236–253. [Google Scholar] [CrossRef]
- Balafoutas, L.; Chowdhury, S.M.; Plessner, H. Applications of sports data to study decision making. J. Econ. Psychol. 2019, 75. [Google Scholar] [CrossRef]
- Mangine, G.T.; Hoffman, J.R.; Wells, A.J.; Gonzalez, A.M.; Rogowski, J.P.; Townsend, J.R.; Jajtner, A.R.; Beyer, K.S.; Bohner, J.D.; Pruna, G.J.; et al. Visual tracking speed is related to basketball-specific measures of performance in NBA players. J. Strength Cond. Res. 2014, 28, 2406–2414. [Google Scholar] [CrossRef]
- Harris, C.M. The Influence of Star Performers on Coordination and Performance: Does Type of Star Matter? Rev. Contemp. Bus. Res. 2016, 5. [Google Scholar] [CrossRef]
- Calvo, L.A.; Ruano, M.; Ortega, E.; Ibáñez, S.; Sampaio, J. Game related statistics which discriminate between winning and losing under-16 male basketball games. J. Sports Sci. Med. 2010, 9, 664–668. [Google Scholar]
- Milanović, D.; Štefan, L.; Sporiš, G.; Vuleta, D.; Selmanović, A. Effects of situational efficiency indicators on final outcome among male basketball teams on the Olympic games in London 2012. Acta Kinesiol. 2016, 10, 78–84. [Google Scholar]
- García, J.; Ibáñez, J.S.; Gómez, A.M.; Sampaio, J. Basketball Game-related statistics discriminating ACB league teams according to game location, game outcome and final score differences. Int. J. Perform. Anal. Sport 2014, 14, 443–452. [Google Scholar] [CrossRef]
- Jin, P.; Li, X.; Ma, B.; Guo, H.; Zhang, Z.; Mao, L. Dynamic visual attention characteristics and their relationship to match performance in skilled basketball players. PeerJ 2020, 8, e9803. [Google Scholar] [CrossRef]
- Mancha-Triguero, D.; García-Rubio, J.; Calleja-González, J.; Ibáñez, S.J. Physical fitness in basketball players: A systematic review. J. Sports Med. Phys. Fit. 2019, 59, 1513–1525. [Google Scholar] [CrossRef] [PubMed]
- Swann, C.; Moran, A.; Piggott, D. Defining elite athletes: Issues in the study of expert performance in sport psychology. Psychol. Sport Exerc. 2015, 16, 3–14. [Google Scholar] [CrossRef]
- Höner, O. Das Abschirmungs-Unterbrechungs-Dilemma im Sportspiel [The shielding interruption dilemma in sport games]. Z. Psychol. 2006, 214, 173–184. [Google Scholar] [CrossRef]
- Smith, T.J.; McKenna, C.M. A comparison of logistic regression pseudo R2 indices. Mult. Linear Regres. Viewp. 2013, 39, 17–26. [Google Scholar]
- Schweizer, G.; Furley, P.; Rost, N.; Barth, K. Reliable measurement in sport psychology: The case of performance outcome measures. Psychol. Sport Exerc. 2020, 48, 101663. [Google Scholar] [CrossRef]
- Hadlow, S.M.; Panchuk, D.; Mann, D.L.; Portus, M.R.; Abernethy, B. Modified perceptual training in sport: A new classification framework. J. Sci. Med. Sport 2018, 21, 950–958. [Google Scholar] [CrossRef]
- Silva, A.F.; Conte, D.; Clemente, F.M. Decision-Making in Youth Team-Sports Players: A Systematic Review. Int. J. Environ. Res. Public Health 2020, 17, 3803. [Google Scholar] [CrossRef]
- Roth, K. Entscheidungsverhalten im Sportspiel [Decision behaviour in sports games]. Sportwissenschaft 1991, 21, 229–246. [Google Scholar]
- Raab, M.; Johnson, J.G. Individual differences of action orientation for risk taking in sports. Res. Q. Exerc. Sport 2004, 75, 326–336. [Google Scholar] [CrossRef]
- DiFiori, J.P.; Güllich, A.; Brenner, J.S.; Côté, J.; Hainline, B.; Ryan, E.; Malina, R.M. The NBA and Youth Basketball: Recommendations for Promoting a Healthy and Positive Experience. Sports Med. 2018, 48, 2053–2065. [Google Scholar] [CrossRef] [PubMed]
- Clay, C.D.; Clay, E.K. Player rotation, on-court performance and game outcomes in NCAA men’s basketball. Int. J. Perform. Anal. Sport 2014, 14, 606–619. [Google Scholar] [CrossRef]
- Sampaio, J.; Janeira, M.; Ibáñez, S.J.; Lorenzo, A. Discriminant analysis of game-related statistics between basketball guards, forwards and centres in three professional leagues. Eur. J. Sport Sci. 2006, 6, 173–178. [Google Scholar] [CrossRef]
- Alsasua, R.; Lapresa, D.; Arana, J.; Teresa Anguera, M.; Garzon, B. Successful and Unsuccessful Offensive Sequences Ending in a Shot in Professional and Elite Under-16 Basketball. J. Hum. Kinet. 2018, 64, 147–159. [Google Scholar] [CrossRef]
- Kittel, A.; Larkin, P.; Elsworthy, N.; Spittle, M. Using 360° virtual reality as a decision-making assessment tool in sport. J. Sci. Med. Sport 2019, 22, 1049–1053. [Google Scholar] [CrossRef] [PubMed]
- Ackerman, P.L. Nonsense, common sense, and science of expert performance: Talent and individual differences. Intelligence 2014, 45, 6–17. [Google Scholar] [CrossRef]
- Furley, P.; Schul, K.; Memmert, D. Das Experten-Novizen-Paradigma und die Vertrauenskrise in der Psychologie [The Expert-Novice Paradigm and the Crisis of Confidence in Psychology]. Z. Sportpsychol. 2016, 23, 131–140. [Google Scholar] [CrossRef]
- Levi, H.R.; Jackson, R.C. Contextual factors influencing decision making: Perceptions of professional soccer players. Psychol. Sport Exerc. 2018, 37, 19–25. [Google Scholar] [CrossRef]
- Mann, D.L.; Abernethy, B.; Farrow, D. Action specificity increases anticipatory performance and the expert advantage in natural interceptive tasks. Acta Psychol. 2010, 135, 17–23. [Google Scholar] [CrossRef]
- Beckmann, J.; Wenhold, F. Handlungsorientierung im Sport (HOSP): Manual [Action Orientation in Sport (ACS-Sport): Manual]; Sportverlag Strauß: Cologne, Germany, 2009. [Google Scholar]
- Murr, D.; Larkin, P.; Höner, O. Decision-making skills of high-performance youth soccer players. Ger. J. Exerc. Sport Res. 2021, 51, 102–111. [Google Scholar] [CrossRef]
- Ehrlich, J.; Sanders, S.; Boudreaux, C.J. The relative wages of offense and defense in the NBA: A setting for win-maximization arbitrage? J. Quant. Anal. Sports 2019, 15, 213–224. [Google Scholar] [CrossRef]
- Farrow, D.; Reid, M.; Buszard, T.; Kovalchik, S. Charting the development of sport expertise: Challenges and opportunities. Int. Rev. Sport Exerc. Psychol. 2018, 11, 238–257. [Google Scholar] [CrossRef]
- Van Maarseveen, M.J.J.; Savelsbergh, G.J.P.; Oudejans, R.R.D. In situ examination of decision-making skills and gaze behaviour of basketball players. Hum. Mov. Sci. 2018, 57, 205–216. [Google Scholar] [CrossRef]
- Kittel, A.; Larkin, P.; Cunningham, I.; Spittle, M. 360° Virtual Reality: A SWOT Analysis in Comparison to Virtual Reality. Front. Psychol. 2020, 11, 563474. [Google Scholar] [CrossRef]
- Van Maarseveen, M.J.J.; Oudejans, R.R.D. Motor and Gaze Behaviors of Youth Basketball Players Taking Contested and Uncontested Jump Shots. Front. Psychol. 2018, 9. [Google Scholar] [CrossRef] [PubMed]
- Gorman, A.D.; Maloney, M.A. Representative design: Does the addition of a defender change the execution of a basketball shot? Psychol. Sport Exerc. 2016, 27, 112–119. [Google Scholar] [CrossRef]
- Rojas, F.J.; Cepero, M.; Ona, A.; Gutierrez, M. Kinematic adjustments in the basketball jump shot against an opponent. Ergonomics 2000, 43, 1651–1660. [Google Scholar] [CrossRef] [PubMed]
- Ibáñez, S.J.; Martinez-Fernández, S.; Gonzalez-Espinosa, S.; García-Rubio, J.; Feu, S. Designing and Validating a Basketball Learning and Performance Assessment Instrument (BALPAI). Front. Psychol. 2019, 10, 1595. [Google Scholar] [CrossRef] [PubMed]
- Markman, A.B. Combining the Strengths of Naturalistic and Laboratory Decision-Making Research to Create Integrative Theories of Choice. J. Appl. Res. Mem. Cogn. 2018, 7, 1–10. [Google Scholar] [CrossRef]




| Variables | Elite a | Non-Elite b |
|---|---|---|
| (n = 17) | (n = 17) | |
| M ± SD | ||
| Response accuracy (%) | 83.99 ± 9.19 | 57.35 ± 18.16 |
| Response time c | 0.00 ± 0.31 | −0.35 ± 0.92 |
| Variables | Logistic Regression Coefficients | Omnibus-Tests | |||||
|---|---|---|---|---|---|---|---|
| b | Wald | p | eb [95% CI] | χ2 (df) | p | Nagelkerke’s R2 | |
| Constant | −8.99 | ||||||
| Response accuracy (%) | 0.12 | 8.24 | <0.01 | 1.13 [1.04; 1.23] | 20.39 (2) | <0.001 | 0.60 |
| Response time a | −0.02 | 0.00 | 0.99 | 0.98 [0.15; 6.66] | |||
| Variables | M ± SD |
|---|---|
| Decision-Making Assessment | |
| Response accuracy (%) | 82.91 ± 9.55 |
| Response time a | −0.03 ± 0.25 |
| Performance Data | |
| Assists per game | 1.24 ± 0.91 |
| Turnovers per game | 1.64 ± 0.79 |
| Assist-Turnover ratio | 0.73 ± 0.49 |
| Variables | Model 1 | Model 2 | Model 3 | ||||||
|---|---|---|---|---|---|---|---|---|---|
| Assists per Game | Turnovers per Game | Assist−Turnover Ratio | |||||||
| B | ß | SE | B | ß | SE | B | ß | SE | |
| Constant | 0.63 | 1.87 | 1.98 | 1.60 | 0.04 | 1.20 | |||
| Response accuracy (%) | 0.01 | 0.07 | 0.02 | −0.01 | −0.06 | 0.02 | 0.01 | 0.15 | 0.01 |
| Response time a | −2.44 * | −0.68 | 0.85 | −2.30 * | −0.73 | 0.73 | −0.91 | −0.47 | 0.55 |
| R2 | 0.49 | 0.51 | 0.29 | ||||||
| F (2,10) | 4.82 * | 5.23 * | 2.01 | ||||||
Publisher’s Note: MDPI stays neutral with regard to jurisdictional claims in published maps and institutional affiliations. |
© 2021 by the authors. Licensee MDPI, Basel, Switzerland. This article is an open access article distributed under the terms and conditions of the Creative Commons Attribution (CC BY) license (http://creativecommons.org/licenses/by/4.0/).
Share and Cite
Rösch, D.; Schultz, F.; Höner, O. Decision-Making Skills in Youth Basketball Players: Diagnostic and External Validation of a Video-Based Assessment. Int. J. Environ. Res. Public Health 2021, 18, 2331. https://doi.org/10.3390/ijerph18052331
Rösch D, Schultz F, Höner O. Decision-Making Skills in Youth Basketball Players: Diagnostic and External Validation of a Video-Based Assessment. International Journal of Environmental Research and Public Health. 2021; 18(5):2331. https://doi.org/10.3390/ijerph18052331
Chicago/Turabian StyleRösch, David, Florian Schultz, and Oliver Höner. 2021. "Decision-Making Skills in Youth Basketball Players: Diagnostic and External Validation of a Video-Based Assessment" International Journal of Environmental Research and Public Health 18, no. 5: 2331. https://doi.org/10.3390/ijerph18052331
APA StyleRösch, D., Schultz, F., & Höner, O. (2021). Decision-Making Skills in Youth Basketball Players: Diagnostic and External Validation of a Video-Based Assessment. International Journal of Environmental Research and Public Health, 18(5), 2331. https://doi.org/10.3390/ijerph18052331

