The Temperature Field Evolution and Water Migration Law of Coal under Low-Temperature Freezing Conditions
Abstract
:1. Introduction
2. Coal Sample Preparation and Experimental Methods
2.1. Coal Sample Preparation
- (1)
- The processed coal sample was placed in a drying oven and dried at a constant temperature of 60 °C. The sample was weighed until the weight no longer decreased, and the weight was recorded as the dry mass of the sample.
- (2)
- The coal sample was treated with full water using a vacuum water device, during which the sample was weighed every 12 h until the weight no longer increased and the sample was considered saturated. The mass of the saturated water sample was recorded.
- (3)
- The saturated coal sample was placed in the drying oven, during which it was continuously removed and weighed (the weighing time was adjusted according to the actual needs) until the target dry mass was reached. The sample was then removed and immediately placed in a sealed bag in which it was naturally cooled to room temperature. The coal sample was placed in a constant-temperature and -humidity cabinet for moisture balance, the temperature was set to room temperature (25 °C), and the coal sample was weighed every 4 h during the process of moisture balance. The process generally took 3–5 days. The coal sample was weighed repeatedly until its weight was nearly unchanged, which is regarded as the completion of moisture balance.
- (4)
- Steps (1)–(3) were repeated to prepare coal samples with different water saturation levels.
2.2. Experimental System
2.3. Experimental Methods and Process
3. Results and Discussion
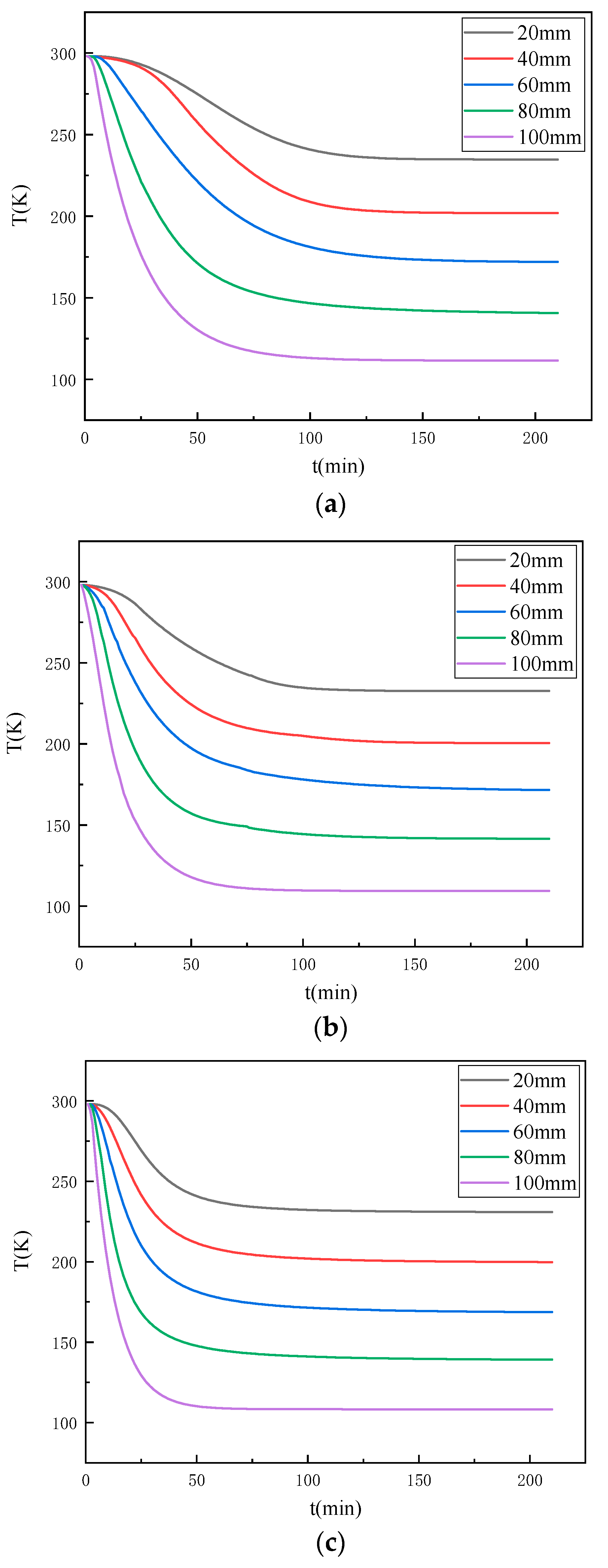
3.1. Effect of the Water Content on the Temperature Propagation Pattern of the Coal
3.2. Movement Pattern of the Freezing Front of Coal Bodies under Different Water Content Conditions
3.3. Analysis of the Mechanism of Water Migration during the Freezing of Coal Bodies
4. Conclusions
- (1)
- Under the same low-temperature freezing conditions, the rate of temperature change at each measurement point inside the coal samples with different water contents was found to increase and then decrease until it reached zero. The closer the distance to the cold source, the faster the freezing front advanced, leaving less time for unfrozen water to migrate. Moreover, the faster the rate of temperature change, the faster the coal temperature field reached a relatively steady state.
- (2)
- The higher the water content of the coal during the freezing process, the faster the rate of temperature propagation. As the internal pore water phase of the coal changes to ice, the thermal conductivity of ice being much greater than that of water, the lower the temperature and the greater the thermal conductivity of ice; the volume expansion due to the change of the pore water phase into ice increases the contact area of the ice and the coal matrix, and the joint action of the two promotes the temperature propagation of the water-bearing coal.
- (3)
- The temperature field inside the coal after temperature stabilization undergoes a dynamic equilibrium process, and the temperature gradient is the driving force of moisture migration. The derivation of Darcy’s permeability equation reveals that the greater the temperature gradient, the greater the condensation potential, and the faster the internal water migration rate. During the low-temperature freezing process, the freezing front moves because the adsorption force of the ice lens body is greater than that of the coal matrix; this causes the water molecules adsorbed by the coal matrix in the unfrozen area to migrate to the freezing front and form a new ice lens body.
- (4)
- The −20 °C isothermal surface was defined as the freezing front of the coal, and the freezing front and freezing time change curves were plotted for each measurement point inside the coal. In combination with the theoretical analysis, it was concluded that the higher the initial water content, the smaller the matrix potential within the coal, the weaker the absorption of water molecules, the lesser the impediment to water migration, the faster the rate of water migration, and, when the relative steady state is reached, the longer the migration distance.
Author Contributions
Funding
Institutional Review Board Statement
Informed Consent Statement
Data Availability Statement
Acknowledgments
Conflicts of Interest
References
- Park, C.-L.; Synn, J.; Shin, H.; Cheon, D.; Lim, H.; Jeon, S. Experimental study on the thermal characteristics of rock at low temperatures. Int. J. Rock Mech. Min. Sci. 2004, 41, 81–86. [Google Scholar] [CrossRef]
- Yoshikawa, K.; Overduin, P. Comparing unfrozen water content measurements of frozen soil using recently developed commercial sensors. Cold Reg. Sci. Technol. 2005, 42, 250–256. [Google Scholar] [CrossRef]
- Shen, Y.; Yang, Y.; Yang, G.; Hou, X.; Ye, W.; You, Z.; Xi, J. Damage characteristics and thermo-physical properties changes of limestone and sandstone during thermal treatment from −30 °C to 1000 °C. Heat Mass Transf. 2018, 54, 3389–3407. [Google Scholar] [CrossRef]
- McDermott, C.I.; Randriamanjatosoa, A.R.; Tenzer, H.; Kolditz, O. Simulation of heat extraction from crystalline rocks: The influence of coupled processes on differential reservoir cooling. Geothermics 2006, 35, 321–344. [Google Scholar] [CrossRef]
- Guo, J.; Liu, Y. A comprehensive model for simulating fracturing fluid leakoff in natural fractures. J. Nat. Gas. Sci. Eng. 2014, 21, 977–985. [Google Scholar] [CrossRef]
- Zhang, X.; Sun, S.F.; Xue, Y. Development and testing of a frozen soil parameterization for cold region studies. J. Hydrometeorol. 2007, 8, 690–701. [Google Scholar] [CrossRef]
- Neaupane, K.; Yamabe, T. A fully coupled thermo-hydro-mechanical nonlinear model for a frozen medium. Comput. Geotech. 2001, 28, 613–637. [Google Scholar] [CrossRef]
- Vitel, M.; Rouabhi, A.; Tijani, M.; Guerin, F. Modeling heat transfer between a freeze pipe and the surrounding ground during artificial ground freezing activities. Comput. Geotech. 2015, 63, 99–111. [Google Scholar] [CrossRef]
- Lunardini, V.J. Freezing of soil with phase change occurring over a finite temperature difference. In Proceedings of the 4th International Off shore Mechanics and Arctic Engineering Symposium, Dallas, TX, USA, 17–21 February 1985. [Google Scholar]
- Walder, J.; Hallet, B. A theoretical model of the fracture of rock during freezing. GSA Bull. 1985, 96, 336–346. [Google Scholar] [CrossRef]
- Sudisman, R.A.; Osada, M.; Yamabe, T. Experimental investigation on effects of water flow to freezing sand around vertically buried freezing pipe. J. Cold. Reg. Eng. 2019, 33, 04019004. [Google Scholar] [CrossRef] [Green Version]
- Chen, T.; Yeung, M.; Mori, N. Effect of water saturation on deterioration of welded tuff due to freeze-thaw action. Cold Reg. Sci. Technol. 2004, 38, 127–136. [Google Scholar] [CrossRef]
- Li, B.; Zhang, L.; Wei, J.; Ren, Y. Pore Damage Properties and Permeability Change of Coal Caused by Freeze-Thaw Action of Liquid Nitrogen. Adv. Civ. Eng. 2018, 2018, 5076391. [Google Scholar] [CrossRef]
- Li, B.; Huang, L.; Lv, X.; Ren, Y. Study on temperature variation and pore structure evolution within coal under the effect of liquid nitrogen mass transfer. ACS Omega 2021, 6, 19685–19694. [Google Scholar] [CrossRef] [PubMed]
- Li, B.; Huang, L.; Lv, X.; Ren, Y. Variation features of unfrozen water content of water-saturated coal under low freezing temperature. Sci. Rep. 2021, 11, 15398. [Google Scholar] [CrossRef]
- Li, B.; Zhang, J.; Ding, Z.; Wang, B.; Li, P. A dynamic evolution model of coal permeability during enhanced coalbed methane recovery by N2 injection: Experimental observations and numerical simulation. RSC Adv. 2021, 11, 17249–17258. [Google Scholar] [CrossRef]
- Shoop, S.A.; Bigl, S.R. Moisture migration during freeze and thaw of unsaturated soils: Modeling and large scale experiments. Cold Reg. Sci. Technol. 1997, 25, 33–45. [Google Scholar] [CrossRef]
- Nagare, R.M.; Schincariol, R.A.; Quinton, W.L.; Hayashi, M. Effects of freezing on soil temperature, frost propagation and moisture redistribution in peat: Laboratory investigations. Earth Syst. Sci. Discuss. 2011, 8, 5387–5426. [Google Scholar]
- Tan, X.; Chen, W.; Tian, H.; Cao, J. Water flow and heat transport including ice/water phase change in porous media: Numerical simulation and application. Cold Reg. Sci. Technol. 2011, 68, 74–84. [Google Scholar] [CrossRef]
- Taron, J.; Elsworth, D.; Min, K.-B. Numerical simulation of thermal-hydrologic-mechanical-chemical processes in deformable, fractured porous media. Int. J. Rock Mech. Min. Sci. 2009, 46, 842–854. [Google Scholar] [CrossRef]
- Kozlowski, T. A semi-empirical model for phase composition of water in clay–water systems. Cold Reg. Sci. Technol. 2007, 49, 226–236. [Google Scholar] [CrossRef]
- Hobbs, P.V. Ice Physics; Oxford University Press: Oxford, UK, 1974. [Google Scholar]
- Zhai, C.; Qin, L.; Liu, S.; Xu, J.; Tang, Z.; Wu, S. Pore structure in coal: Pore evolution after cryogenic freezing with cyclic liquid nitrogen injection and its implication on coalbed methane extraction. Energy Fuels 2016, 30, 6009–6020. [Google Scholar] [CrossRef]
- Everett, D.H. The thermodynamics of frost damage to porous solids. Trans. Faraday Soc. 1961, 57, 1541–1551. [Google Scholar] [CrossRef]
- Anderson, D.M.; Tice, A.R. The Unfrozen Interfacial Phase in Frozen Soil Water Systems Physical Aspects of Soil Water and Salts in Ecosystems; Springer: Berlin/Heidelberg, Germany, 1973; pp. 107–124. [Google Scholar]
- Huang, S.; Liu, Q.; Liu, Y.; Ye, Z.; Cheng, A. Freezing strain model for estimating the unfrozen water content of saturated rock under low temperature. Int. J. Géoméch. 2018, 18, 04017137. [Google Scholar] [CrossRef]
- Liu, Q.S.; Xu, G.M.; Hu, Y.H.; Chang, X. Study on Basic Mechanical Behaviors of Rocks at Low Temperatures Key Engineering Materials; Trans Tech Publications. Ltd.: Liaoning, China, 2006; Volume 306, pp. 1479–1484. [Google Scholar]
- Liu, Q.S.; Xu, G.M.; Wu, Y.X. The thermo-hydro coupled model of low-temperature rock in consideration of phase change. In Advanced Materials Research; Trans Tech Publications. Ltd.: Liaoning, China, 2008; Volume 33, pp. 645–650. [Google Scholar]
- Feng, T.; Xie, X.G. An experimental study of the effect of injecting water and freezing on mechanical properties of out-burst-prone coal seam. Pro. Earth. Planet. Sci. 2009, 1, 560–564. [Google Scholar] [CrossRef] [Green Version]
- Konrad, J.-M. Unfrozen water as a function of void ratio in a clayey silt. Cold Reg. Sci. Technol. 1990, 18, 49–55. [Google Scholar] [CrossRef]
- Li, H.; Yang, Z.; Wang, J. Unfrozen water content of permafrost during thawing by the capacitance technique. Cold Reg. Sci. Technol. 2018, 152, 15–22. [Google Scholar] [CrossRef]
- Tan, X.; Chen, W.; Wu, G.; Yang, J. Numerical simulations of heat transfer with ice–water phase change occurring in porous media and application to a cold-region tunnel. Tunn. Undergr. Space Technol. 2013, 38, 170–179. [Google Scholar] [CrossRef]
- Lunardini, V.J. Heat Transfer with Freezing and Thawing; Elsevier: Amsterdam, The Netherlands, 1991. [Google Scholar]
- Hall, K. Freeze-thaw simulations on quartz-micaschist and their implications for weathering studies on Signy Island, Antarctica. Br. Antarct. Surv. Bull. 1986, 73, 19–30. [Google Scholar]
- Rempel, A.W. Formation of ice lenses and frost heave. J. Geophys. Res. Space Phys. 2007, 112, 2. [Google Scholar] [CrossRef]
- Konrad, J.-M.; Duquennoi, C. A model for water transport and ice lensing in freezing soils. Water Resour. Res. 1993, 29, 3109–3124. [Google Scholar] [CrossRef]
- Konrad, J.-M.; Morgenstern, N.R. The segregation potential of a freezing soil. Can. Geotech. J. 1981, 18, 482–491. [Google Scholar] [CrossRef]
- Akagawa, S. Experimental study of frozen fringe characteristics. Cold Reg. Sci. Technol. 1988, 15, 209–223. [Google Scholar] [CrossRef]
- Drnevich, V.; Konrad, J.-M. Procedure for determining the segregation potential of freezing soils. Geotech. Test. J. 1987, 10, 51. [Google Scholar] [CrossRef]
- Lang, P.S.; Paluszny, A.; Zimmerman, R.W. Permeability tensor of three-dimensional fractured porous rock and a comparison to trace map predictions. J. Geophys. Res. 2014, 119, 6288–6307. [Google Scholar] [CrossRef] [Green Version]
- Arrarás, A.; Gaspar, F.J.; Portero, L.; Rodrigo, C. Geometric multigrid methods for Darcy–Forchheimer flow in fractured porous media. Comput Math. Appl. 2019, 78, 3139–3151. [Google Scholar] [CrossRef] [Green Version]
- Beskow, G. Soil Freezing and Frost Heaving with Special Application to Roads and Railroads; Northwestern University: Evanston, IL, USA, 1947. [Google Scholar]
- Konrad, J.M.; Morgenstern, N.R. A mechanistic theory of ice lens formation in fine-grained soils. Can. Geotech. J. 1980, 17, 473–486. [Google Scholar] [CrossRef]
- Scherer, G.W. Crystallization in pores. Cem. Concr. Res. 1999, 29, 1347–1358. [Google Scholar] [CrossRef]
- van Genuchten, M.T. A Closed-form equation for predicting the hydraulic conductivity of unsaturated soils. Soil Sci. Soc. Am. J. 1980, 44, 892–898. [Google Scholar] [CrossRef] [Green Version]
- Brooks, R.H.; Corey, A.T. Hydraulic properties of porous media and their relation to drainage design. Trans. ASAE 1964, 7, 26–28. [Google Scholar]








| t (min) | Water Content | 8.76% | 4.23% | 0% |
|---|---|---|---|---|
| 1 | T (K) | 279.80032 | 278.32099 | 278.35563 |
| 2 | 274.69999 | 275.06943 | 276.39199 | |
| 3 | 269.47052 | 271.77736 | 274.42745 | |
| 4 | 263.21491 | 268.47143 | 272.46344 | |
| 5 | 259.01736 | 265.17487 | 270.50139 | |
| 6 | 253.94367 | 263.0076 | 268.54269 | |
| 7 | 249.04281 | 258.68637 | 266.58876 | |
| 8 | 244.34906 | 255.52502 | 264.64099 | |
| 9 | 239.88443 | 252.43473 | 263.00075 | |
| 10 | 235.66102 | 249.4243 | 260.76939 |
| Water Content | 8.76% | 4.23% | 0% | |
|---|---|---|---|---|
| t (min) | Pre-phase | 5.10033 | 6.54363 | 5.89219 |
| Mid-term | 5.22947 | 6.59800 | 5.89060 | |
| Late | 6.25561 | 6.60249 | 5.88476 | |
| T (K) | Water Content | 8.76% | 4.23% | 0% |
|---|---|---|---|---|
| 277–263 | t (min) | 4 | 6 | 9 |
| 263–249 | 3 | 5 | 9 | |
| 249–235 | 4 | 6 | 9 | |
| 235–221 | 5 | 8 | 9 | |
| 221–207 | 6 | 10 | 12 | |
| 207–193 | 10 | 15 | 17 | |
| 193–179 | 21 | 40 | 31 |
Publisher’s Note: MDPI stays neutral with regard to jurisdictional claims in published maps and institutional affiliations. |
© 2021 by the authors. Licensee MDPI, Basel, Switzerland. This article is an open access article distributed under the terms and conditions of the Creative Commons Attribution (CC BY) license (https://creativecommons.org/licenses/by/4.0/).
Share and Cite
Li, B.; Li, L.; Huang, L.; Lv, X. The Temperature Field Evolution and Water Migration Law of Coal under Low-Temperature Freezing Conditions. Int. J. Environ. Res. Public Health 2021, 18, 13188. https://doi.org/10.3390/ijerph182413188
Li B, Li L, Huang L, Lv X. The Temperature Field Evolution and Water Migration Law of Coal under Low-Temperature Freezing Conditions. International Journal of Environmental Research and Public Health. 2021; 18(24):13188. https://doi.org/10.3390/ijerph182413188
Chicago/Turabian StyleLi, Bo, Li Li, Laisheng Huang, and Xiaoquan Lv. 2021. "The Temperature Field Evolution and Water Migration Law of Coal under Low-Temperature Freezing Conditions" International Journal of Environmental Research and Public Health 18, no. 24: 13188. https://doi.org/10.3390/ijerph182413188
APA StyleLi, B., Li, L., Huang, L., & Lv, X. (2021). The Temperature Field Evolution and Water Migration Law of Coal under Low-Temperature Freezing Conditions. International Journal of Environmental Research and Public Health, 18(24), 13188. https://doi.org/10.3390/ijerph182413188
