A Preliminary Study of Pre-Season Taekwondo Preparation Strategy: Personal Isolation Training Effect for Elite Athletes
Abstract
1. Introduction
2. Materials and Methods
2.1. Participants
2.2. Physical Activity Evaluation and Personal Isolation Training/Detraining
2.3. Sport Performances
2.3.1. Flexibility Test
2.3.2. Abalakov Jump (AJ)
2.3.3. Kicking Reaction Time
2.3.4. 10 m (10M) Sprint Test
2.3.5. Aerobic Capacity Test
2.4. Body Composition
2.5. Statistical Analysis
3. Results
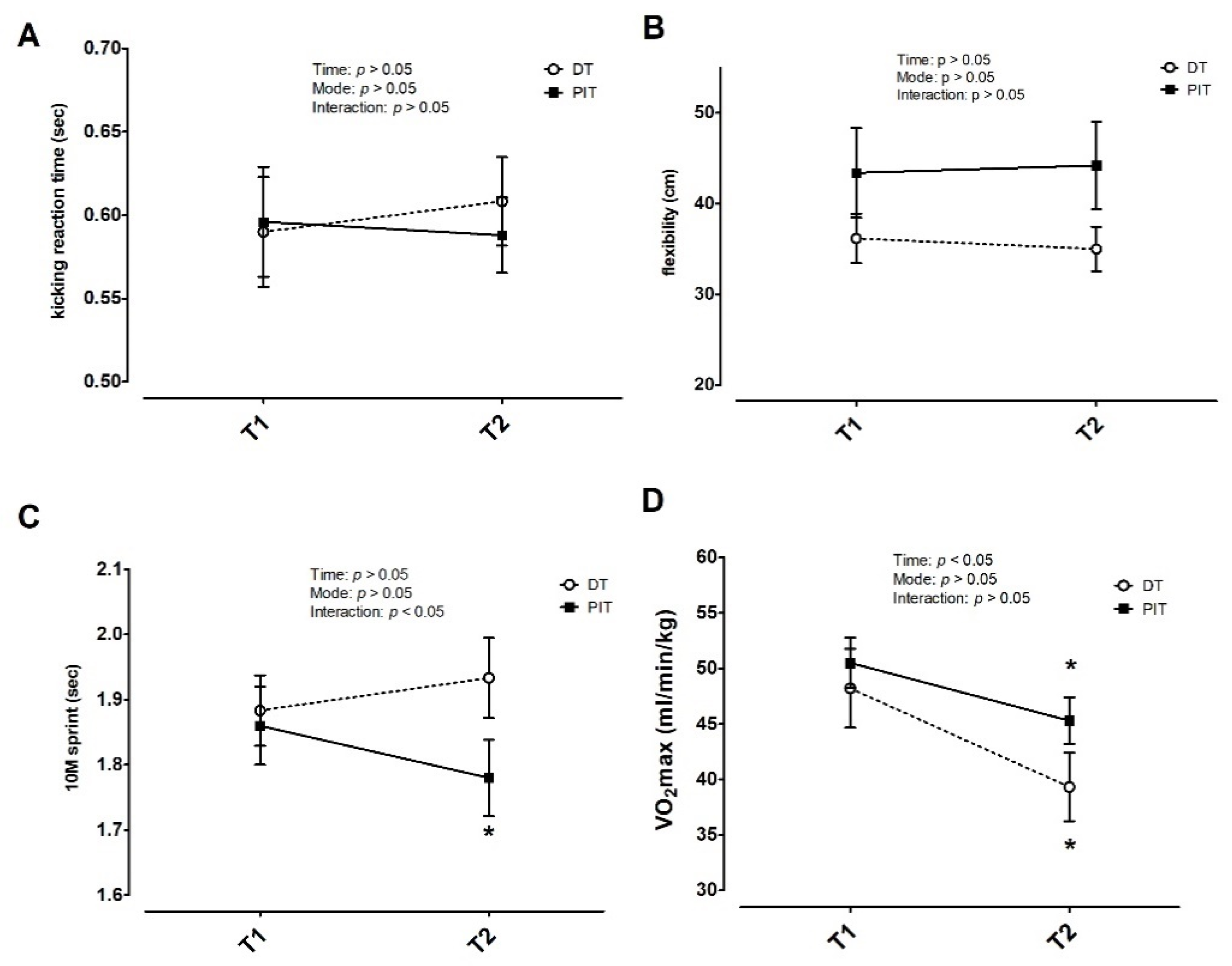
3.1. Sport Performances
3.2. Body Composition
3.3. Physical Activity
4. Discussion
5. Conclusions
Author Contributions
Funding
Institutional Review Board Statement
Informed Consent Statement
Data Availability Statement
Acknowledgments
Conflicts of Interest
References
- Kazemi, M.; de Ciantis, M.G.; Rahman, A. A profile of the youth Olympic taekwondo athlete. J. Can. Chiropr. Assoc. 2013, 57, 293–300. [Google Scholar]
- Turner, A. The science and practice of periodization: A brief review. Strength Cond. J. 2011, 33, 34–46. [Google Scholar] [CrossRef]
- Girardi, M.; Casolo, A.; Nuccio, S.; Gattoni, C.; Capelli, C. Detraining effects prevention: A new rising challenge for athletes. Front. Physiol. 2020, 11. [Google Scholar] [CrossRef]
- Mujika, I.; Padilla, S. Detraining: Loss of training-induced physiological and performance adaptations. Part, I. Sports Med. 2000, 30, 79–87. [Google Scholar] [CrossRef] [PubMed]
- Myer, G.D.; Faigenbaum, A.D.; Cherny, C.E.; Heidt, R.S., Jr.; Hewett, T.E. Did the NFL Lockout expose the Achilles heel of competitive sports? J. Orthop. Sports Phys. Ther. 2011, 41, 702–705. [Google Scholar] [CrossRef] [PubMed]
- Liao, Y.H.; Sung, Y.C.; Chou, C.C.; Chen, C.Y. Eight-week training cessation suppresses physiological stress but rapidly impairs health metabolic profiles and aerobic capacity in elite taekwondo athletes. PLoS ONE 2016, 11, e0160167. [Google Scholar] [CrossRef]
- Sung, Y.C.; Liao, Y.H.; Chen, C.Y.; Chen, Y.L.; Chou, C.C. Acute changes in blood lipid profiles and metabolic risk factors in collegiate elite taekwondo athletes after short-term de-training: A prospective insight for athletic health management. Lipids Health Dis. 2017, 16, 1–10. [Google Scholar] [CrossRef] [PubMed]
- Vetter, R.E.; Symonds, M.L. Correlations between injury, training intensity, and physical and mental exhaustion among college athletes. J. Strength Cond. Res. 2010, 24, 587–596. [Google Scholar] [CrossRef]
- Joo, C.H. The effects of short term detraining and retraining on physical fitness in elite soccer players. PLoS ONE 2018, 13, e0196212. [Google Scholar] [CrossRef]
- Parm, Ü.; Aluoja, A.; Tomingas, T.; Tamm, A.L. Impact of the COVID-19 Pandemic on Estonian Elite Athletes: Survey on Mental Health Characteristics, Training Conditions, Competition Possibilities, and Perception of Supportiveness. Int. J. Environ. Res. Public Health 2021, 18, 4317. [Google Scholar] [CrossRef]
- Toresdahl, B.G.; Asif, M. Coronavirus disease 2019 (COVID-19): Considerations for the competitive athlete. Sports Health 2020, 12, 221–224. [Google Scholar] [CrossRef]
- Bosquet, L.; Berryman, N.; Dupuy, O.; Mekary, S.; Arvisais, D.; Bherer, L.; Mujika, I. Effect of training cessation on muscular performance: A meta-analysis. Scand. J. Med. Sci. Sports 2013, 23, 140–149. [Google Scholar] [CrossRef]
- Koundourakis, N.E.; Androulakis, N.E.; Malliaraki, N.; Tsatsanis, C.; Venihaki, M.; Margioris, A.N. Discrepancy between exercise performance, body composition, and sex steroid response after a six-week detraining period in professional soccer players. PLoS ONE 2014, 9, e87803. [Google Scholar] [CrossRef]
- Gavanda, S.; Geisler, S.; Quitmann, O.J.; Bauhaus, H.; Schiffer, T. Three weeks of detraining does not decrease muscle thickness, strength or sport performance in adolescent athletes. Int. J. Exerc. Sci. 2020, 13, 633–644. [Google Scholar] [PubMed]
- Ouergui, I.; Franchini, E.; Messaoudi, H.; Chtourou, H.; Bouassida, A.; Bouhlel, E.; Ardigò, L.P. Effects of adding small combat games to regular taekwondo training on physiological and performance outcomes in male young athletes. Front. Physiol. 2021, 12. [Google Scholar] [CrossRef]
- Rico-González, M.; Pino-Ortega, J.; Ardigò, L.P. Playing Non-Professional Football in COVID-19 Time: A Narrative Review of Recommendations, Considerations, and Best Practices. Int. J. Environ. Res. Public Health 2021, 18, 568. [Google Scholar] [CrossRef] [PubMed]
- Bouchard, C.; Tremblay, A.; Leblanc, C.; Lortie, G.; Savard, R.; Theriault, G. A method to assess energy expenditure in children and adults. Am. J. Clin. Nutr. 1983, 37, 461–467. [Google Scholar] [CrossRef]
- Argiropoulou, E.C.; Michalopoulou, M.; Aggeloussis, N.; Avgerinos, A. Validity and reliability of physical activity measures in Greek high school age children. J. Sports Sci. Med. 2004, 3, 147–159. [Google Scholar]
- Agostinho, M.F.; Moreira, A.; Julio, U.F.; Marcolino, G.S.; Antunes, B.M.; Lira, F.S.; Franchini, E. Monitoring internal training load and salivary immune-endocrine responses during an annual judo training periodization. J. Exerc. Rehabil. 2017, 13, 68–75. [Google Scholar] [CrossRef] [PubMed]
- Ayala, F.; de Baranda, P.S.; Croix, M.D.S.; Santonja, F. Reproducibility and criterion-related validity of the sit and reach test and toe touch test for estimating hamstring flexibility in recreationally active young adults. Phys. Ther. Sport 2012, 13, 219–226. [Google Scholar] [CrossRef]
- González-Ravé, J.M.; Arija, A.; Clemente-Suarez, V. Seasonal changes in jump performance and body composition in women volleyball players. J. Strength Cond. Res. 2011, 25, 1492–1501. [Google Scholar] [CrossRef] [PubMed]
- Winkelman, N.C.; Clark, K.P.; Ryan, L.J. Experience level influences the effect of attentional focus on sprint performance. Hum. Mov. Sci. 2017, 52, 84–95. [Google Scholar] [CrossRef] [PubMed]
- Ramsbottom, R.; Brewer, J.; Williams, C. A progressive shuttle run test to estimate maximal oxygen uptake. Br. J. Sports Med. 1988, 22, 141–144. [Google Scholar] [CrossRef] [PubMed]
- Leger, L.; Mercier, D.; Gadoury, C.; Lambert, J. The multistage 20 meter shuttle run test for aerobic fitness. J. Sports Sci. 1988, 6, 93–101. [Google Scholar] [CrossRef] [PubMed]
- García-Pallarés, J.; Carrasco, L.; Díaz, A.; Sánchez-Medina, L. Post-season detraining effects on physiological and performance parameters in top-level kayakers: Comparison of two recovery strategies. J. Sport Sci. Med. 2009, 8, 622–628. [Google Scholar] [CrossRef]
- García-Pallarés, J.; Sanchez-Medina, L.; Pérez, C.E.; Izquierdo-Gabarren, M.; Izquierdo, M. Physiological effects of tapering and detraining in world-class kayakers. Med. Sci. Sports Exerc. 2010, 42, 1209–1214. [Google Scholar] [CrossRef]
- Coyle, E.F.; Martin, W.H., 3rd; Sinacore, D.R.; Joyner, M.J.; Hagberg, J.M.; Holloszy, J.O. Time course of loss of adaptations after stopping prolonged intense endurance training. J. Appl. Physiol. 1984, 57, 1857–1864. [Google Scholar] [CrossRef]
- Melchiorri, G.; Ronconi, M.; Triossi, T.; Viero, V.; De Sanctis, D.; Tancredi, V.; Salvati, A.; Padua, E.; Cruz, J.R.A. Detraining in young soccer players. J. Sports Med. Phys. Fit. 2014, 54, 27–33. [Google Scholar]
- Elloumi, M.; Makni, E.; Moalla, W.; Bouaziz, T.; Tabka, Z.; Lac, G.; Chamari, K. Monitoring training load and fatigue in rugby sevens players. Asian J. Sports Med. 2012, 3, 175–184. [Google Scholar] [CrossRef]
- Mujika, I.; Padilla, S. Detraining: Loss of training-induced physiological and performance adaptations. Part II. Sports Med. 2000, 30, 145–154. [Google Scholar] [CrossRef]
- De Lacey, J.; Brughelli, M.; McGuigan, M.; Hansen, K.; Samozino, P.; Morin, J.B. The effects of tapering on power-force-velocity profiling and jump performance in professional rugby league players. J. Strength Cond. Res. 2014, 28, 3567–3570. [Google Scholar] [CrossRef]
- Rønnestad, B.R.; Nymark, B.S.; Raastad, T. Effects of in-season strength maintenance training frequency in professional soccer players. J. Strength Cond. Res. 2011, 25, 2653–2660. [Google Scholar] [CrossRef]
- Hermassi, S.; Ghaith, A.; Schwesig, R.; Shephard, R.J.; Souhaiel Chelly, M. Effects of short-term resistance training and tapering on maximal strength, peak power, throwing ball velocity, and sprint performance in handball players. PLoS ONE 2019, 14, e0214827. [Google Scholar] [CrossRef]
- Haugen, T.; Seiler, S.; Sandbakk, Ø.; Tønnessen, E. The training and development of elite sprint performance: An integration of scientific and best practice literature. Sports Med. 2019, 5, 1–16. [Google Scholar] [CrossRef] [PubMed]
- Sotiropoulos, A.; Travlos, A.K.; Gissis, I.; Souglis, A.G.; Grezios, A. The effect of a 4-week training regimen on body fat and aerobic capacity of professional soccer players during the transition period. J. Strength Cond. Res. 2009, 23, 1697–1703. [Google Scholar] [CrossRef] [PubMed]
- Rietjens, G.; Keizer, H.; Kuipers, H.; Saris, W. A reduction in training volume and intensity for 21 days does not impair performance in cyclists. Br. J. Sports Med. 2001, 35, 431–434. [Google Scholar] [CrossRef] [PubMed][Green Version]
- Pereira, L.A.; Freitas, T.T.; Pivetti, B.; Alcaraz, P.E.; Jeffreys, I.; Loturco, I. Short-term detraining does not impair strength, speed, and power performance in elite young soccer players. Sports 2020, 8, 141. [Google Scholar] [CrossRef]
- Afroundeh, R.; Papi, S.M.; Seifi, S.F. Effect of detraining on physical fitness and lactate response in taekwondo teenage girls. JPSBS 2020, 8, 86–97. [Google Scholar] [CrossRef]
- Schneider, V.; Arnold, B.; Martin, K.; Bell, D.; Crocker, P. Detraining effects in college football players during the competitive season. J. Strength Cond. Res. 1998, 12, 42–45. [Google Scholar] [CrossRef]
- Kim, J.W.; Kwon, M.S.; Yenuga, S.S.; Kwon, Y.H. The effects of target distance on pivot hip, trunk, pelvis, and kicking leg kinematics in Taekwondo roundhouse kicks. Sports Biomech. 2010, 9, 98–114. [Google Scholar] [CrossRef]
- Ambroży, T.; Rydzik, Ł.; Obmiński, Z.; Klimek, A.T.; Serafin, N.; Litwiniuk, A.; Czaja, R.; Czarny, W. The impact of reduced training activity of elite kickboxers on physical fitness, body build, and performance during competitions. Int. J. Environ. Res. Public Health 2021, 18, 4342. [Google Scholar] [CrossRef]
- Vassilis, S.; Yiannis, M.; Athanasios, M.; Dimitrios, M.; Ioannis, G.; Thomas, M. Effect of a 4-week detraining period followed by a 4-week strength program on isokinetic strength in elite youth soccer players. J. Exerc. Rehabil. 2019, 15, 67–73. [Google Scholar] [CrossRef] [PubMed]
- Chatzinikolaou, A.; Michaloglou, K.; Avloniti, A.; Leontsini, D.; Deli, C.K.; Vlachopoulos, D.; Gracia-Marco, L.; Arsenis, S.; Athanailidis, I.; Draganidis, D. The trainability of adolescent soccer players to brief periodized complex training. Int. J. Sport Physiol. 2018, 13, 645–655. [Google Scholar] [CrossRef] [PubMed]







| Competition Phase | 12 Weeks of Personal Isolation Training or Detraining | ||
|---|---|---|---|
| PIT | DT | ||
| Training Content | Taekwondo-specific skill training, strength and conditioning training, stretching and flexibility training, and agility training | (1) Taekwondo-specific basic skills training: single kicking (2 h), combination kicking (2 h), intermittent kicking (1 h) (2) No-equipment strength and conditioning training: squat, jump, push-up, core muscle training (1.5 h) (3) Stretching and flexibility training (0.5 h) | No |
| Training Volume | 14–15 h per week | 7 h per week | No structured training |
| Measurements | PIT | DT | PIT Δ% | DT Δ% | ||
|---|---|---|---|---|---|---|
| T1 | T2 | T1 | T2 | |||
| Weight (kg) | 68.7 ± 3.4 | 70.1 ± 3.0 | 69.1 ± 0.5 | 70.5 ± 5.1 | +2.3% | +1.8% |
| BMI (kg/m2) | 22.2 ± 0.8 | 22.7 ± 0.7 | 23.1 ± 1.0 | 23.5 ± 1.1 | +2.2% | +1.8% |
| LBM (kg) | 58.6 ± 3.1 | 58.6 ± 3.3 | 56.9 ± 4.3 | 55.63 ± 4.6 | +0.0% | −2.5% |
| Fat mass (%) | 14.6 ± 2.3 | 16.5 ± 2.6 * | 17.6 ± 2.2 | 21.1 ± 2.7 * | +16.5% | +20.5% |
| Muscle mass | ||||||
| right arm (kg) | 3.0 ± 0.2 | 3.1 ± 0.2 | 2.9 ± 0.3 | 2.8 ± 0.3 * | +2.9% # | −3.8% |
| left arm (kg) | 3.0 ± 0.2 | 3.1 ± 0.2 | 2.9 ± 0.3 | 2.8 ± 0.3 | +3.0% | −3.2% |
| trunk (kg) | 24.3 ± 1.4 | 24.8 ± 1.3 | 23.9 ± 1.6 | 23.5 ± 1.8 | +2.2% # | −1.9% |
| right leg (kg) | 9.7 ± 0.6 | 9.6 ± 0.5 | 8.9 ± 0.7 | 8.8 ± 0.7 | −1.0% | −1.1% |
| left leg (kg) | 9.6 ± 0.6 | 9.5 ± 0.5 | 8.9 ± 0.7 | 8.7 ± 0.7 | −1.2% | −1.5% |
Publisher’s Note: MDPI stays neutral with regard to jurisdictional claims in published maps and institutional affiliations. |
© 2021 by the authors. Licensee MDPI, Basel, Switzerland. This article is an open access article distributed under the terms and conditions of the Creative Commons Attribution (CC BY) license (https://creativecommons.org/licenses/by/4.0/).
Share and Cite
Sung, Y.-C.; Yang, Y.-Z.; Chang, C.-C.; Chou, C.-C. A Preliminary Study of Pre-Season Taekwondo Preparation Strategy: Personal Isolation Training Effect for Elite Athletes. Int. J. Environ. Res. Public Health 2021, 18, 10570. https://doi.org/10.3390/ijerph182010570
Sung Y-C, Yang Y-Z, Chang C-C, Chou C-C. A Preliminary Study of Pre-Season Taekwondo Preparation Strategy: Personal Isolation Training Effect for Elite Athletes. International Journal of Environmental Research and Public Health. 2021; 18(20):10570. https://doi.org/10.3390/ijerph182010570
Chicago/Turabian StyleSung, Yu-Chi, Yi-Zhen Yang, Che-Chia Chang, and Chun-Chung Chou. 2021. "A Preliminary Study of Pre-Season Taekwondo Preparation Strategy: Personal Isolation Training Effect for Elite Athletes" International Journal of Environmental Research and Public Health 18, no. 20: 10570. https://doi.org/10.3390/ijerph182010570
APA StyleSung, Y.-C., Yang, Y.-Z., Chang, C.-C., & Chou, C.-C. (2021). A Preliminary Study of Pre-Season Taekwondo Preparation Strategy: Personal Isolation Training Effect for Elite Athletes. International Journal of Environmental Research and Public Health, 18(20), 10570. https://doi.org/10.3390/ijerph182010570

