Antibacterial Activity against Staphylococcus Aureus of Titanium Surfaces Coated with Graphene Nanoplatelets to Prevent Peri-Implant Diseases. An In-Vitro Pilot Study
Abstract
1. Introduction
2. Materials and Methods
2.1. Synthesis of GNPs and Preparation of GNPs Suspensions
- GNPs from 1 exfoliation cycle of WEG expanded at 1150 °C for 5 s (GNPs 1150°/1).
- GNPs from 2 consecutive exfoliation cycles of WEG expanded at 1150 °C for 5 s (GNPs1150°/2)
- GNPs from 3 consecutive exfoliation cycles of WEG expanded at 1150 °C for 5 s (GNPs1150°/3)
- GNPs from 1 exfoliation cycle of WEG expanded at 1050 °C for 30 s (GNPs1050°/1)
- GNPs from 2 consecutive exfoliation cycles of WEG expanded at 1050 °C for 30 s (GNPs1050°/2)
- GNPs from 3 exfoliation cycles of WEG expanded at 1050 °C for 30 s (GNPs1050°/3) (Table 1).
2.2. Experimental Specimens’ Preparation
2.3. Field Emission-Scanning Electron Microscope Analysis
2.4. Antibacterial Assay
2.5. Statistical Analysis
3. Results
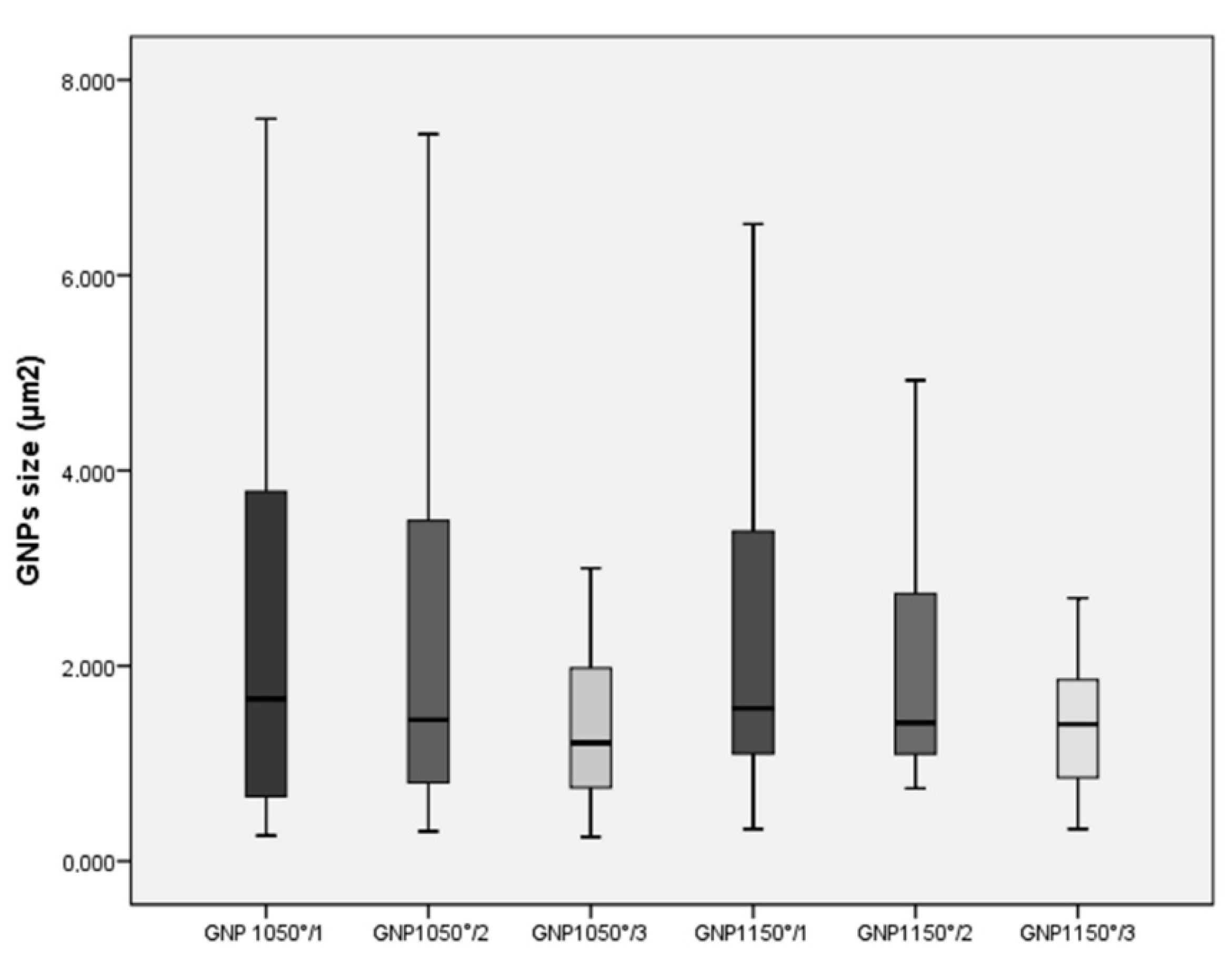
3.1. Morphological Characterization of GNPs
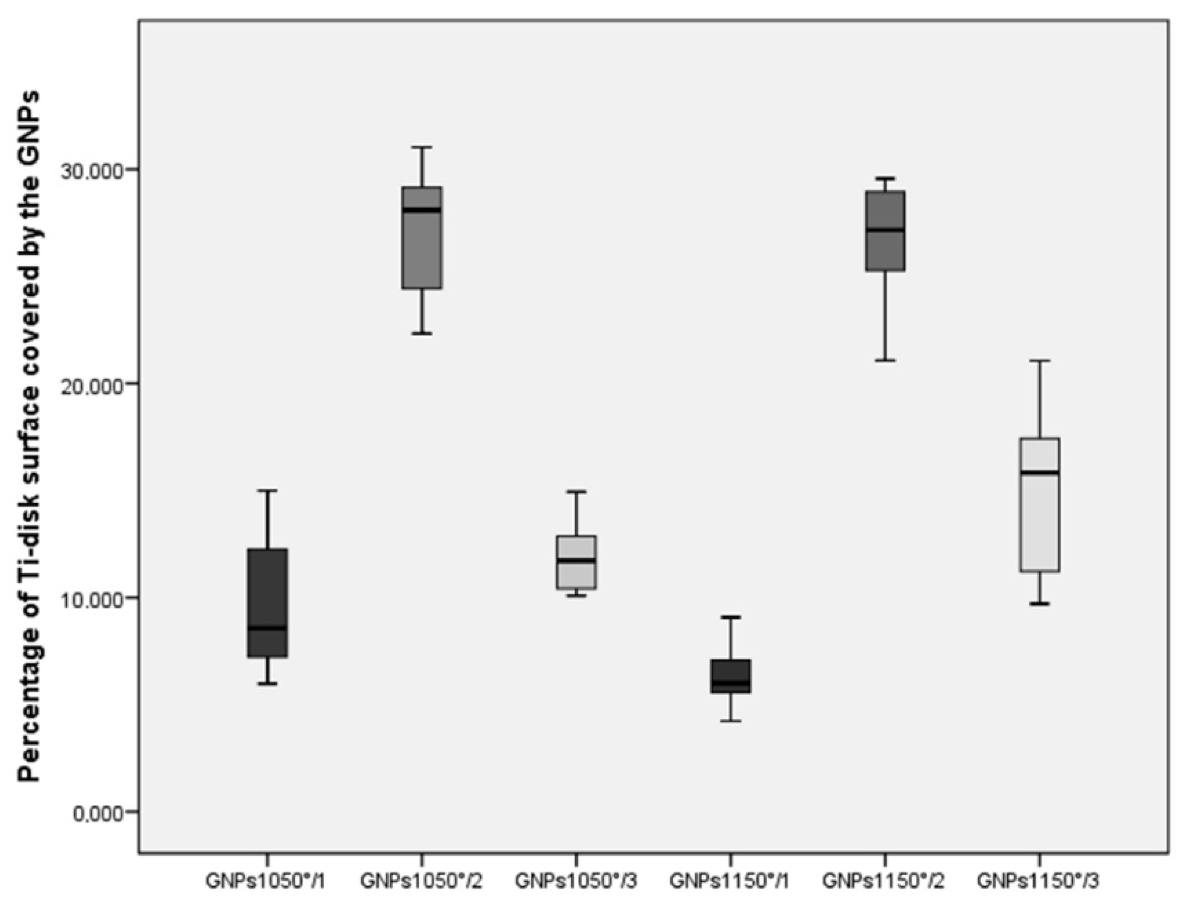
3.2. Morphological Characterization of Ti-Disk Surfaces Coated by GNPs
3.3. Antimicrobial Activity
4. Discussion
5. Conclusions
Author Contributions
Funding
Acknowledgments
Conflicts of Interest
References
- Annibali, S.; Ripari, M.; La Monaca, G.; Tonoli, F.; Cristalli, M.P. Local complications in implant surgery: Prevention and management. Oral Implantol. 2008, 1, 21–33. [Google Scholar]
- Annibali, S.; Ripari, M.; La Monaca, G.; Tonoli, F.; Cristalli, M.P. Local accidents in dental implant surgery: Prevention and management. Int. J. Periodontics Restor. Dent. 2009, 29, 325–331. [Google Scholar]
- Schwarz, F.; Derks, J.; Monje, A.; Wang, H.L. Peri-implantitis. Periodontol. J Periodontol. 2018, 89, S267–S290. [Google Scholar] [CrossRef] [PubMed]
- Lee, C.T.; Huang, Y.W.; Zhu, L.; Weltman, R. Prevalences of peri-implantitis and peri-implant mucositis: Systematic review and meta-analysis. J. Dent. 2017, 62, 1–12. [Google Scholar] [CrossRef] [PubMed]
- Albrektsson, T.; Isidor, F. Consensus report: implant therapy. In Proceedings of the 1st European Workshop on Periodontology; Lang, N.P., Karring, T., Eds.; Quintessence: Berlin, Germany, 1994; pp. 365–369. [Google Scholar]
- Lindhe, J.; Meyle, J. Peri-implant diseases: Consensus report of the Sixth European Workshop on Periodontology. J. Clin. Periodontol. 2008, 35, 282–285. [Google Scholar] [CrossRef] [PubMed]
- Subramani, K.; Wismeijer, D. Decontamination of titanium implant surface and re-osseointegration to treat peri-implantitis: A literature review. Int. J. Oral Maxillofac. Implant. 2012, 27, 1043–1054. [Google Scholar]
- Esposito, M.; Grusovin, M.G.; Worthington, H.V. Interventions for replacing missing teeth: Treatment of peri-implantitis. Cochrane Database Syst. Rev. 2012, 18, CD004970. [Google Scholar] [CrossRef]
- Figuero, E.; Graziani, F.; Sanz, I.; Herrera, D.; Sanz, M. Management of peri-implant mucositis and peri-implantitis. Periodontology 2014, 66, 255–273. [Google Scholar] [CrossRef]
- Chan, H.L.; Lin, G.H.; Suarez, F.; MacEachern, M.; Wang, H.L. Surgical management of peri-implantitis: A systematic review and meta-analysis of treatment outcomes. J. Periodontol. 2014, 85, 1027–1041. [Google Scholar] [CrossRef]
- Marotti, J.; Tortamano, P.; Cai, S.; Ribeiro, M.S.; Franco, J.E.; de Campos, T.T. Decontamination of dental implant surfaces by means of photodynamic therapy. Lasers Med. Sci. 2013, 28, 303–309. [Google Scholar] [CrossRef]
- Montedori, A.; Abraha, I.; Orso, M.; D’Errico, P.G.; Pagano, S.; Lombardo, G. Lasers for caries removal in deciduous and permanent teeth. Cochrane Database Syst. Rev. 2016, 9, CD010229. [Google Scholar] [CrossRef] [PubMed]
- Heitz-Mayfield, L.J.; Mombelli, A. The therapy of peri-implantitis: A systematic review. Int. J. Oral Maxillofac. Implant. 2014, 29, 325–345. [Google Scholar] [CrossRef] [PubMed]
- Carcuac, O.; Derks, J.; Charalampakis, G.; Abrahamsson, I.; Wennström, J.L.; Berglundh, T. Adjunctive systemic and local antimicrobial therapy in the surgical treatment of peri-implantitis: A randomized controlled clinical trial. J. Dent. Res. 2016, 95, 50–57. [Google Scholar] [CrossRef] [PubMed]
- Esposito, M.; Grusovin, M.G.; Worthington, H.V. Interventions for replacing missing teeth: Antibiotics at dental implant placement to prevent complications. Cochrane Database Syst. Rev. 2013, 7, CD004152. [Google Scholar] [CrossRef] [PubMed]
- Berglundh, T.; Persson, L.; Klinge, B. A systematic review of the incidence of biological and technical complications in implant dentistry reported in prospective longitudinal studies of at least 5 years. J. Clin. Periodontol. 2002, 29, 197–212. [Google Scholar] [CrossRef] [PubMed]
- Berglundh, T.; Jepsen, S.; Stadlinger, B.; Terheyden, H. Peri-implantitis and its prevention. Clin. Oral. Implant. Res. 2019, 30, 150–155. [Google Scholar] [CrossRef]
- Campoccia, D.; Montanaro, L.; Arciola, C.R. A review of the biomaterials technologies for infection-resistant surfaces. Biomaterials 2013, 34, 8533–8554. [Google Scholar] [CrossRef]
- Choi, S.-H.; Jang, Y.-S.; Jang, J.-H.; Bae, T.-S.; Lee, S.-J.; Lee, M.-H. Enhanced antibacterial activity of titanium by surface modification with polydopamine and silver for dental implant application. J. Appl. Biomater. Funct. Mater. 2019, 17, 1–9. [Google Scholar] [CrossRef]
- Dubey, N.; Ellepola, K.; Decroix, F.E.D.; Morin, J.L.P.; Castro Neto, A.H.; Seneviratne, C.J.; Rosa, V. Graphene onto medical grade titanium: An atom-thick multimodal coating that promotes osteoblast maturation and inhibits biofilm formation from distinct species. Nanotoxicology 2018, 12, 274–289. [Google Scholar] [CrossRef]
- Gunputh, U.F.; Le, H.; Lawton, K.; Besinis, A.; Tredwin, C.; Handy, R.D. Antibacterial properties of silver nanoparticles grown in situ and anchored to titanium dioxide nanotubes on titanium implant against Staphylococcus aureus. Nanotoxicology 2019, 30, 1–14. [Google Scholar] [CrossRef]
- Lampé, I.; Beke, D.; Biri, S.; Csarnovics, I.; Csik, A.; Dombrádi, S.; Hajdu, P.; Hegedűs, V.; Rácz, R.; Varga, I.; et al. Investigation of silver nanoparticles on titanium surface created by ion implantation technology. Int. J. Nanomed. 2019, 14, 4709–4721. [Google Scholar] [CrossRef] [PubMed]
- Guazzo, R.; Gardin, C.; Bellin, G.; Sbricoli, L.; Ferroni, L.; Ludovichetti, F.S.; Piattelli, A.; Antoniac, I.; Bressan, E.; Zavan, B. Graphene-Based Nanomaterials for Tissue Engineering in the Dental Field. Nanomaterials 2018, 8, 349. [Google Scholar] [CrossRef] [PubMed]
- Jastrzebska, A.M.; Kurtycz, P.; Olszyna, A.R. Recent advances in graphene family materials toxicity investigations. J. Nanopart. Res. 2012, 14, 1320–1340. [Google Scholar] [CrossRef] [PubMed]
- Zou, X.; Zhang, L.; Wang, Z.; Luo, Y. Mechanisms of the Antimicrobial Activities of Graphene Materials. J. Am. Chem. Soc. 2016, 138, 2064–2077. [Google Scholar] [CrossRef] [PubMed]
- Pham, V.T.H.; Truong, V.K.; Quinn, M.D.J.; Notley, S.M.; Guo, Y.; Baulin, V.A.; Al Kobaisi, M.; Crawford, R.J.; Ivanova, E.P. Graphene induces formation of pores that kill spherical and rod-shaped bacteria. ACS Nano 2015, 9, 8458–8467. [Google Scholar] [CrossRef] [PubMed]
- Akhavan, O.; Ghaderi, E. Toxicity of graphene and graphene oxide nanowalls against bacteria. ACS Nano 2010, 4, 5731–5736. [Google Scholar] [CrossRef]
- Al-Jumaili, A.; Alancherry, S.; Bazaka, K.; Jacob, M.V. Review on the Antimicrobial Properties of Carbon Nanostructures. Materials 2017, 10, 1066. [Google Scholar] [CrossRef]
- Akhavan, O.; Ghaderi, E.; Esfandiar, A. Wrapping bacteria by graphene nanosheets for isolation from environment, reactivation by sonication, and inactivation by near-infrared irradiation. J. Phys. Chem. B 2011, 115, 6279–6288. [Google Scholar] [CrossRef]
- Mangadlao, J.D.; Santos, C.M.; Felipe MJ, L.; de Leon AC, C.; Rodriguesb, D.F.; Advincula, R.C. On the antibacterial mechanism of graphene oxide (GO) Langmuir-Blodgett films. Chem. Commun. 2015, 51, 2886–2889. [Google Scholar] [CrossRef]
- Perreault, F.; de Faria, A.F.; Nejati, S.; Elimelech, M. Antimicrobial proper ties of graphene oxide nanosheets: Why size matters. ACS Nano 2015, 9, 7226–7236. [Google Scholar] [CrossRef]
- Liao, K.H.; Lin, Y.S.; Macosko, C.W.; Haynes, C.L. Cytotoxicity of graphene oxide and graphene in human erythrocytes and skin fibroblasts. ACS Appl. Mater. Interfaces 2011, 3, 2607–2615. [Google Scholar] [CrossRef] [PubMed]
- Ou, L.; Song, B.; Liang, H.; Liu, J.; Feng, X.; Deng, B.; Sun, T.; Shao, L. Toxicity of graphene-family nanoparticles: A general review of the origins and mechanisms. Part. Fibre Toxicol. 2016, 13, 57. [Google Scholar] [CrossRef] [PubMed]
- Liao, C.; Li, Y.; Tjong, S.C. Graphene Nanomaterials: Synthesis, Biocompatibility, and Cytotoxicity. Int. J. Mol. Sci. 2018, 19, E3564. [Google Scholar] [CrossRef] [PubMed]
- Zanni, E.; De Bellis, G.; Bracciale, M.P.; Broggi, A.; Santarelli, M.L.; Sarto, M.S.; Palleschi, C.; Uccelletti, D. Graphite Nanoplatelets and Caenorhabditis elegans: Insights from an in Vivo Model. Nano Lett. 2012, 12, 2740–2744. [Google Scholar] [CrossRef] [PubMed]
- Bregnocchi, A.; Zanni, E.; Uccelletti, D.; Marra, F.; Cavallini, D.; De Angelis, F.; De Bellis, G.; Bossù, M.; Ierardo, G.; Polimeni, A.; et al. Graphene-based dental adhesive with anti-biofilm activity. J. Nanobiotechnol. 2017, 15, 89. [Google Scholar] [CrossRef] [PubMed]
- Rago, I.; Bregnocchi, A.; Zanni, E.; D’Aloia, A.G.; De Angelis, F.; Bossù, M.; De Bellis, G.; Polimeni, A.; Uccelletti, D.; Sarto, M.S. Antimicrobial Activity of Graphene Nanoplatelets Against Streptococcus Mutans. In Proceedings of the 15th IEEE International Conference on Nanotechnology, Rome, Italy, 27–30 July 2015. [Google Scholar]
- Govindaraj, S.; Muthuraman, M. Systematic Review on Sterilization Methods of Implants and Medical Devices. Int. J. ChemTech Res. 2015, 8, 974–4290. [Google Scholar]
- Farrugia, C.; Cassar, G.; Valdramidis, V.; Camilleri, J. Effect of sterilization techniques prior to antimicrobial testing on physical properties of dental restorative materials. J. Dent. 2015, 43, 703–714. [Google Scholar] [CrossRef]
- Zanni, E.; Bruni, E.; Chandraiahgari, C.R.; De Bellis, G.; Santangelo, M.G.; Leone, M.; Bregnocchi, A.; Mancini, P.; Sarto, M.S.; Uccelletti, D. Evaluation of the antibacterial power and biocompatibility of zinc oxide nanorods decorated graphene nanoplatelets: New perspectives for antibiodeteriorative approaches. J. Nanobiotechnol. 2017, 15, 57. [Google Scholar] [CrossRef]
- Chouirfa, H.; Bouloussa, H.; Migonney, V.; Falentin-Daudré, C. Review of titanium surface modification techniques and coatings for antibacterial applications. Acta Biomater. 2019, 83, 37–54. [Google Scholar] [CrossRef]
- Wang, Z.; Shen, Y.; Haapasalo, M. Dental materials with antibiofilm properties. Dent. Mater. 2014, 30, e1–e16. [Google Scholar] [CrossRef]
- Gu, M.; Lv, L.; Du, F.; Niu, T.; Chen, T.; Xia, D.; Wang, S.; Zhao, X.; Liu, J.; Liu, Y.; et al. Effects of thermal treatment on the adhesion strength and osteoinductive activity of single-layer graphene sheets on titanium substrates. Sci. Rep. 2018, 8, 8141. [Google Scholar] [CrossRef]
- Jin, J.; Zhang, L.; Shi, M.; Zhang, Y.; Wang, Q. Ti-GO-Ag nanocomposite: The effect of content level on the antimicrobial activity and cytotoxicity. Int. J. Nanomed. 2017, 12, 4209–4224. [Google Scholar] [CrossRef] [PubMed]
- Jia, Z.; Shi, Y.; Xiong, P.; Zhou, W.; Cheng, Y.; Zheng, Y.; Xi, T.; Wei, S. From Solution to Biointerface: Graphene Self-Assemblies of Varying Lateral Sizes and Surface Properties for Biofilm Control and Osteo-Differentiation. ACS Appl. Mater. Interfaces 2016, 8, 17151–17165. [Google Scholar] [CrossRef] [PubMed]
- Qiu, J.; Geng, H.; Wang, D.; Qian, S.; Zhu, H.; Qiao, Y.; Qian, W.; Liu, X. Layer-Number Dependent Antibacterial and Osteogenic Behaviors of Graphene Oxide Electrophoretic Deposited on Titanium. ACS Appl. Mater. Interfaces 2017, 9, 12253–12263. [Google Scholar] [CrossRef] [PubMed]
- De Bellis, G.; Tamburrano, A.; Dinescu, A.; Santarelli, M.L.; Sarto, M.S. Electromagnetic properties of composites containing graphite nanoplatelets at radio frequency. Carbon 2011, 49, 4291–4300. [Google Scholar] [CrossRef]
- Morin, J.L.P.; Dubey, N.; Decroix, F.E.D.; Luong-Van, E.K.; Castro Neto, A.H.; Rosa, V. Graphene transfer to 3-dimensional surfaces: A vacuum-assisted dry transfer method. 2D Mater. 2017, 4, 1–15. [Google Scholar] [CrossRef]
- Fürst, M.M.; Salvi, G.E.; Lang, N.P.; Persson, G.R. Bacterial colonization immediately after installation on oral titanium implants. Clin. Oral. Impl. Res. 2007, 18, 501–508. [Google Scholar] [CrossRef]
- Persson, G.R.; Renvert, S. Cluster of bacteria associated with peri-implantitis. Clin. Implant Dent. Relat. Res. 2014, 16, 783–793. [Google Scholar] [CrossRef]
- Lafaurie, G.I.; Sabogal, M.A.; Castillo, D.M.; Rincón, M.V.; Gómez, L.A.; Lesmes, Y.A.; Chambrone, L. Microbiome and Microbial Biofilm Profiles of Peri-Implantitis: A Systematic Review. J. Periodontol. 2017, 88, 1066–1089. [Google Scholar] [CrossRef]
- Schlafer, S.; Meyer, R.L. Confocal microscopy imaging of the biofilm matrix. J. Microbiol. Methods 2017, 138, 50–59. [Google Scholar] [CrossRef]
- Sommerfeld Ross, S.; Tu, M.H.; Falsetta, M.L.; Ketterer, M.R.; Kiedrowski, M.R.; Horswill, A.R.; Apicella, M.A.; Reinhardt, J.M.; Fiegel, J. Quantification of confocal images of biofilms grown on irregular surfaces. J. Microbiol. Methods 2014, 100, 111–120. [Google Scholar] [CrossRef] [PubMed][Green Version]
- Massa, M.A.; Covarrubias, C.; Bittner, M.; Fuentevilla, I.A.; Capetillo, P.; Von Marttens, A.; Carvajal, J.C. Synthesis of new antibacterial composite coating for titanium based on highly ordered nanoporous silica and silver nanoparticles. Mater. Sci. Eng. C 2014, 45, 146–153. [Google Scholar] [CrossRef] [PubMed]





| Name of GNP Suspensions | Temperature of Expansion (°C) | Duration of Thermal Shock (s) | Number of Sonication Cycles | Duration of Each Sonication Cycle (min) |
|---|---|---|---|---|
| GNPs1150°/1 | 1150 | 5 | 1 | 20 |
| GNPs1150°/2 | 1150 | 5 | 2 | 20 |
| GNPs1150°/3 | 1150 | 5 | 3 | 20 |
| GNPs1050°/1 | 1050 | 30 | 1 | 20 |
| GNPs1050°/2 | 1050 | 30 | 2 | 20 |
| GNPs1050°/3 | 1050 | 30 | 3 | 20 |
| Multiple Comparisons | ||||||
|---|---|---|---|---|---|---|
| Dependent Variable: GNPs size (µm2) Tukey HSD | ||||||
| (I) | (J) | Mean Difference (I−J) | Std. Error | Sig. | 95% Confidence Interval | |
| Lower Bound | Upper Bound | |||||
| GNP1050°/1 | GNP1050°/2 | 0.308175 | 0.341085 | 0.945 | −0.67193 | 1.28828 |
| GNP1050°/3 | 1.179900 * | 0.341085 | 0.008 | 0.19980 | 2.16000 | |
| GNP1150°/1 | 0.324350 | 0.341085 | 0.933 | −0.65575 | 1.30445 | |
| GNP1150°/2 | 0.485100 | 0.341085 | 0.714 | −0.49500 | 1.46520 | |
| GNP1150°/3 | 1.138875 * | 0.341085 | 0.012 | 0.15877 | 2.11898 | |
| GNP1050°/2 | GNP1050°/1 | −0.308175 | 0.341085 | 0.945 | −1.28828 | 0.67193 |
| GNP1050°/3 | 0.871725 | 0.341085 | 0.113 | −0.10838 | 1.85183 | |
| GNP1150°/1 | 0.016175 | 0.341085 | 1.000 | −0.96393 | 0.99628 | |
| GNP1150°/2 | 0.176925 | 0.341085 | 0.995 | −0.80318 | 1.15703 | |
| GNP1150°/3 | 0.830700 | 0.341085 | 0.148 | −0.14940 | 1.81080 | |
| GNP1050°/3 | GNP1050°/1 | −1.179900 * | 0.341085 | 0.008 | −2.16000 | −0.19980 |
| GNP1050°/2 | −0.871725 | 0.341085 | 0.113 | −1.85183 | 0.10838 | |
| GNP1150°/1 | −0.855550 | 0.341085 | 0.126 | −1.83565 | 0.12455 | |
| GNP1150°/2 | −0.694800 | 0.341085 | 0.325 | −1.67490 | 0.28530 | |
| GNP1150°/3 | −0.041025 | 0.341085 | 1.000 | −1.02113 | 0.93908 | |
| GNP1150°/1 | GNP1050°/1 | −0.324350 | 0.341085 | 0.933 | −1.30445 | 0.65575 |
| GNP1050°/2 | −0.016175 | 0.341085 | 1.000 | −0.99628 | 0.96393 | |
| GNP1050°/3 | 0.855550 | 0.341085 | 0.126 | −0.12455 | 1.83565 | |
| GNP1150°/2 | 0.160750 | 0.341085 | 0.997 | −0.81935 | 1.14085 | |
| GNP1150°/3 | 0.814525 | 0.341085 | 0.165 | −0.16558 | 1.79463 | |
| GNP1150°/2 | GNP1050°/1 | −0.485100 | 0.341085 | 0.714 | −1.46520 | 0.49500 |
| GNP1050°/2 | −0.176925 | 0.341085 | 0.995 | −1.15703 | 0.80318 | |
| GNP1050°/3 | 0.694800 | 0.341085 | 0.325 | −0.28530 | 1.67490 | |
| GNP1150°/1 | −0.160750 | 0.341085 | 0.997 | −1.14085 | 0.81935 | |
| GNP1150°/3 | 0.653775 | 0.341085 | 0.395 | −0.32633 | 1.63388 | |
| GNP1150°/3 | GNP1050°/1 | −1.138875 * | 0.341085 | 0.012 | −2.11898 | −0.15877 |
| GNP1050°/2 | −0.830700 | 0.341085 | 0.148 | −1.81080 | 0.14940 | |
| GNP1050°/3 | 0.041025 | 0.341085 | 1.000 | −0.93908 | 1.02113 | |
| GNP1150°/1 | −0.814525 | 0.341085 | 0.165 | −1.79463 | 0.16558 | |
| GNP1150°/2 | −0.653775 | 0.341085 | 0.395 | −1.63388 | 0.32633 | |
| Multiple Comparisons | ||||||
|---|---|---|---|---|---|---|
| Dependent Variable: Percentage of Ti-disks Surface Covered by the GNPs Tukey HSD | ||||||
| (I) | (J) | Mean Difference (I−J) | Std. Error | Sig. | 95% Confidence Interval | |
| Lower Bound | Upper Bound | |||||
| GNP1050°/1 | GNP1050°/2 | −17.756200 * | 1.228707 | 0.000 | −2.138639 | −1.412601 |
| GNP1050°/3 | −2.455500 | 1.228707 | 0.357 | −608.569 | 117.469 | |
| GNP1150°/1 | 3.029000 | 1.228707 | 0.153 | −60.119 | 665.919 | |
| GNP1150°/2 | −17.160200 * | 1.228707 | 0.000 | −2.079039 | −1.353001 | |
| GNP1150°/3 | −5.493000 * | 1.228707 | 0.001 | −912.319 | −186.281 | |
| GNP1050°/2 | GNP1050°/1 | 17.756200 * | 1.228707 | 0.000 | 1.412601 | 2.138639 |
| GNP1050°/3 | 15.300700 * | 1.228707 | 0.000 | 1.167051 | 1.893089 | |
| GNP1150°/1 | 20.785200 * | 1.228707 | 0.000 | 1.715501 | 2.441539 | |
| GNP1150°/2 | 0.596000 | 1.228707 | 0.997 | −303.419 | 422.619 | |
| GNP1150°/3 | 12.263200 * | 1.228707 | 0.000 | 863.301 | 1.589339 | |
| GNP1050°/3 | GNP1050°/1 | 2.455500 | 1.228707 | 0.357 | −117.469 | 608.569 |
| GNP1050°/2 | −15.300700 * | 1.228707 | 0.000 | −1.893089 | −1.167051 | |
| GNP1150°/1 | 5.484500 * | 1.228707 | 0.001 | 185.431 | 911.469 | |
| GNP1150°/2 | −14.704700 * | 1.228707 | 0.000 | −1.833489 | −1.107451 | |
| GNP1150°/3 | −3.037500 | 1.228707 | 0.151 | −666.769 | 59.269 | |
| GNP1150°/1 | GNP1050°/1 | −3.029000 | 1.228707 | 0.153 | −665.919 | 60.119 |
| GNP1050°/2 | −20.785200 * | 1.228707 | 0.000 | −2.441539 | −1.715501 | |
| GNP1050°/3 | −5.484500 * | 1.228707 | 0.001 | −911.469 | −185.431 | |
| GNP1150°/2 | −20.189200 * | 1.228707 | 0.000 | −2.381939 | −1.655901 | |
| GNP1150°/3 | −8.522000 * | 1.228707 | 0.000 | −1.215219 | −489.181 | |
| GNP1150°/2 | GNP1050°/1 | 17.160200 * | 1.228707 | 0.000 | 1.353001 | 2.079039 |
| GNP1050°/2 | −596.000 | 1.228707 | 0.997 | −422.619 | 303.419 | |
| GNP1050°/3 | 14.704700 * | 1.228707 | 0.000 | 1.107451 | 1.833489 | |
| GNP1150°/1 | 20.189200 * | 1.228707 | 0.000 | 1.655901 | 2.381939 | |
| GNP1150°/3 | 11.667200 * | 1.228707 | 0.000 | 803.701 | 1.529739 | |
| GNP1150°/3 | GNP1050°/1 | 5.493000 * | 1.228707 | 0.001 | 186.281 | 912.319 |
| GNP1050°/2 | −12.263200 * | 1.228707 | 0.000 | −1.589339 | −863.301 | |
| GNP1050°/3 | 3.037500 | 1.228707 | 0.151 | −59.269 | 666.769 | |
| GNP1150°/1 | 8.522000 * | 1.228707 | 0.000 | 489.181 | 1.215219 | |
| GNP1150°/2 | −11.667200 * | 1.228707 | 0.000 | −1.529739 | −803.701 | |
© 2020 by the authors. Licensee MDPI, Basel, Switzerland. This article is an open access article distributed under the terms and conditions of the Creative Commons Attribution (CC BY) license (http://creativecommons.org/licenses/by/4.0/).
Share and Cite
Pranno, N.; La Monaca, G.; Polimeni, A.; Sarto, M.S.; Uccelletti, D.; Bruni, E.; Cristalli, M.P.; Cavallini, D.; Vozza, I. Antibacterial Activity against Staphylococcus Aureus of Titanium Surfaces Coated with Graphene Nanoplatelets to Prevent Peri-Implant Diseases. An In-Vitro Pilot Study. Int. J. Environ. Res. Public Health 2020, 17, 1568. https://doi.org/10.3390/ijerph17051568
Pranno N, La Monaca G, Polimeni A, Sarto MS, Uccelletti D, Bruni E, Cristalli MP, Cavallini D, Vozza I. Antibacterial Activity against Staphylococcus Aureus of Titanium Surfaces Coated with Graphene Nanoplatelets to Prevent Peri-Implant Diseases. An In-Vitro Pilot Study. International Journal of Environmental Research and Public Health. 2020; 17(5):1568. https://doi.org/10.3390/ijerph17051568
Chicago/Turabian StylePranno, Nicola, Gerardo La Monaca, Antonella Polimeni, Maria Sabrina Sarto, Daniela Uccelletti, Erika Bruni, Maria Paola Cristalli, Domenico Cavallini, and Iole Vozza. 2020. "Antibacterial Activity against Staphylococcus Aureus of Titanium Surfaces Coated with Graphene Nanoplatelets to Prevent Peri-Implant Diseases. An In-Vitro Pilot Study" International Journal of Environmental Research and Public Health 17, no. 5: 1568. https://doi.org/10.3390/ijerph17051568
APA StylePranno, N., La Monaca, G., Polimeni, A., Sarto, M. S., Uccelletti, D., Bruni, E., Cristalli, M. P., Cavallini, D., & Vozza, I. (2020). Antibacterial Activity against Staphylococcus Aureus of Titanium Surfaces Coated with Graphene Nanoplatelets to Prevent Peri-Implant Diseases. An In-Vitro Pilot Study. International Journal of Environmental Research and Public Health, 17(5), 1568. https://doi.org/10.3390/ijerph17051568

