Want to Impact Physical, Technical, and Tactical Performance during Basketball Small-Sided Games in Youth Athletes? Try Differential Learning Beforehand
Abstract
1. Introduction
2. Materials and Methods
2.1. Sample
2.2. Study Design
2.3. External and Internal Load Analyses
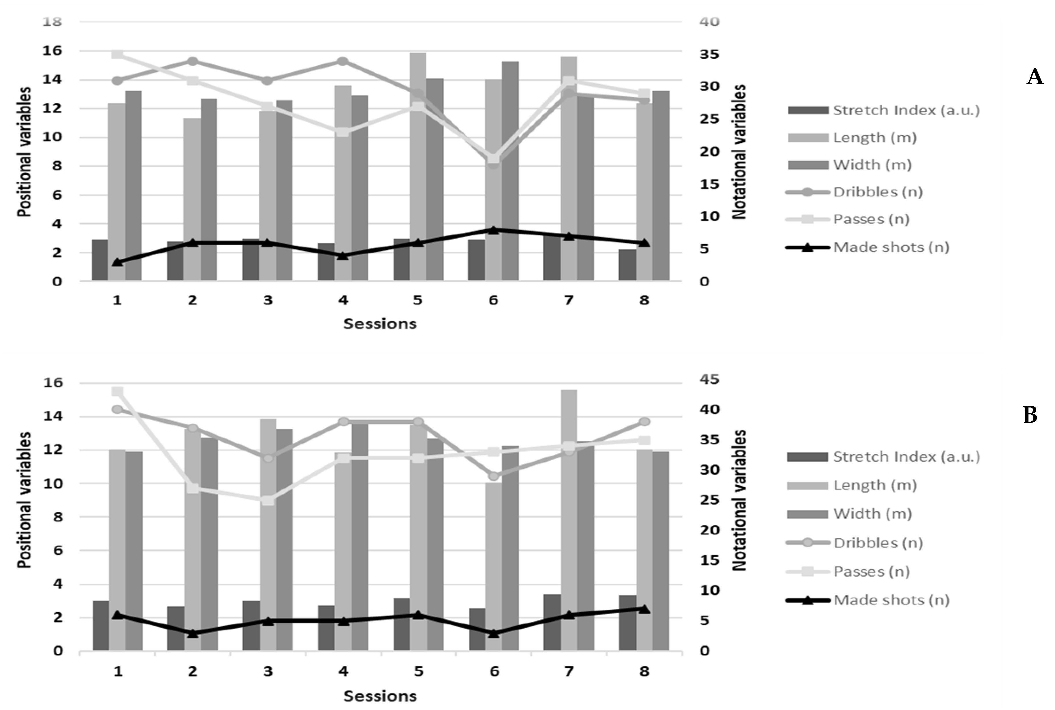
2.4. Notational and Positional Analyses
2.5. Statistical Analyses
3. Results
4. Discussion
5. Conclusions
Author Contributions
Funding
Acknowledgments
Conflicts of Interest
References
- Bompa, T.O.; Calcina, O. Theory and Methodology of Training: The Key to Athletic Performance; Kendall/Hunt Pub. Co.: Dubuque, IA, USA, 1994. [Google Scholar]
- Dietrich, K. Zur Methodik Der Sportspiele. In Methodik der Leibesübungen; Recla, J., Ed.; Institut für Leibeserziehung der Universität Graz: Graz, Austria, 1969. [Google Scholar]
- Mahlo, F. Theoretische Probleme der taktischen Ausbildung in den Sportspielen. Theorie und Praxis der Körperkultur 1965, 14, 809–816. [Google Scholar]
- Mester, L. Gemeinschaftserziehung Und Mannschaftsspiel. In Kongressbericht, Das Spiel; Frankfurt a.M.: Brandenburg, Germany, 1959. [Google Scholar]
- Gabbett, T.; Jenkins, D.; Abernethy, B. Game-Based Training for Improving Skill and Physical Fitness in Team Sport Athletes. Int. J. Sports Sci. Coach. 2009, 4, 273–283. [Google Scholar] [CrossRef]
- Hill-Haas, S.V.; Dawson, B.; Impellizzeri, F.M.; Coutts, A.J. Physiology of Small-Sided Games Training in Football: A Systematic Review. Sports Med. 2011, 41, 199–220. [Google Scholar] [CrossRef]
- Sampaio, J.; Abrantes, C.; Leite, N. Power, Heart Rate and Perceived Exertion Responses to 3 × 3 and 4 × 4 Basketball Small-Sided Games. Rev. Psicol. Deporte 2009, 18, 443–467. [Google Scholar]
- Carlo, C.; Impellizzeri, F.M.; Chaouachi, A.; Ben Abdelkrim, N.; Manzi, V. Physiological responses to ball-drills in regional level male basketball players. J. Sports Sci. 2011, 29, 1329–1336. [Google Scholar] [CrossRef]
- Serra-Olivares, J.; González-Víllora, S.; García-López, L.M.; Araújo, D. Game-Based Approaches’ Pedagogical Principles: Exploring Task Constraints in Youth Soccer. J. Hum. Kinet. 2015, 46, 251–261. [Google Scholar] [CrossRef]
- Davids, K.; Araújo, D.; Correia, V.; Vilar, L. How Small-Sided and Conditioned Games Enhance Acquisition of Movement and Decision-Making Skills. Exerc. Sport Sci. Rev. 2013, 41, 154–161. [Google Scholar] [CrossRef] [PubMed]
- Klusemann, M.J.; Pyne, D.B.; Foster, C.; Drinkwater, E.J. Optimising technical skills and physical loading in small-sided basketball games. J. Sports Sci. 2012, 30, 1463–1471. [Google Scholar] [CrossRef] [PubMed]
- Canton, A.; Torrents, C.; Ric, A.; Gonçalves, B.; Sampaio, J.; Hristovski, R. Effects of Temporary Numerical Imbalances on Collective Exploratory Behavior of Young and Professional Football Players. Front. Psychol. 2019, 10, 1–9. [Google Scholar] [CrossRef] [PubMed]
- Nunes, N.A.; Gonçalves, B.; Coutinho, D.; Travassos, B. How Numerical Unbalance Constraints Physical and Tactical Individual Demands of Ball Possession Small-Sided Soccer Games. Front. Psychol. 2020, 11, 1464. [Google Scholar] [CrossRef]
- Conte, D.; Favero, T.G.; Niederhausen, M.; Capranica, L.; Tessitore, A. Physiological and Technical Demands of No Dribble Game Drill in Young Basketball Players. J. Strength Cond. Res. 2015, 29, 3375–3379. [Google Scholar] [CrossRef] [PubMed]
- Torres-Ronda, L.; Ric, A.; Llabres-Torres, I.; de Las Heras, B.; Schelling i del Alcazar, X. Position-dependent cardiovascular response and time-motion analysis during training drills and friendly matches in elite male basketball players. J. Strength Cond. Res. 2016, 30, 60–70. [Google Scholar] [CrossRef] [PubMed]
- Conte, D.; Favero, T.G.; Niederhausen, M.; Capranica, L.; Tessitore, A. Effect of different number of players and training regimes on physiological and technical demands of ball-drills in basketball. J. Sports Sci. 2016, 34, 780–786. [Google Scholar] [CrossRef]
- Dietrich, D.; Dürrwächter, G.; Schaller, H.J. Die Großen Spiele; Putty: Wuppertal, Germany, 1978. [Google Scholar]
- Frankfurter Arbeitsgruppe. Offener Sportunterricht—Analysieren und Planen (Open Physical Education—Analysing and Planing); Rowohlt: Hamburg, Germany, 1982. [Google Scholar]
- Memmert, D. Tactical Creativity In Team Sports (v. 3); Research in Physical Education, Sport and Health: Skopje, Macedonia, 2014; pp. 13–18. [Google Scholar]
- Jarrett, K.; Harvey, S. Similar, but not the same: Comparing the game based approaches of Teaching Games for Understanding (TGfU) and Game Sense. eJRIEPS 2016. [Google Scholar] [CrossRef]
- Chen, G.; Kanfer, R. Toward a Systems Theory of Motivated Behavior in Work Teams. Res. Organ. Behav. 2006, 27, 223–267. [Google Scholar] [CrossRef]
- Furley, P.; Memmert, D. “Whom Should I Pass To?” The More Options the More Attentional Guidance from Working Memory. PLoS ONE 2013, 8, e62278. [Google Scholar] [CrossRef] [PubMed]
- Santos, S.; Jiménez, S.; Sampaio, J.; Leite, N. Effects of the Skills4Genius sports-based training program in creative behavior. PLoS ONE 2017, 12, e0172520. [Google Scholar] [CrossRef]
- Mosston, M. Teaching Physical Education; Merrill: Columbus, OH, USA, 1966. [Google Scholar]
- Goldberger, M.; Ashworth, S.; Byra, M. Spectrum of Teaching Styles Retrospective 2012. Quest 2012, 64, 268–282. [Google Scholar] [CrossRef]
- Schöllhorn, W.I.; Mayer-Kress, G.; Newell, K.; Michelbrink, M. Time scales of adaptive behavior and motor learning in the presence of stochastic perturbations. Hum. Mov. Sci. 2009, 28, 319–333. [Google Scholar] [CrossRef]
- Schöllhorn, W.I.; Michelbrink, M.; Welminsiki, D.; Davids, K. Increasing Stochastic Perturbations Enhances Acquisition and Learning of Complex Sport Movements. In Perspectives on Cognition and Action in Sport; Nova Science Publishers: Hauppauge, NY, USA, 2009; pp. 59–73. [Google Scholar]
- Jäger, J.M.; Schöllhorn, W.I. Identifying individuality and variability in team tactics by means of statistical shape analysis and multilayer perceptrons. Hum. Mov. Sci. 2012, 31, 303–317. [Google Scholar] [CrossRef]
- Henz, D.; John, A.; Merz, C.; Schöllhorn, W.I. Post-task Effects on EEG Brain Activity Differ for Various Differential Learning and Contextual Interference Protocols. Front. Hum. Neurosci. 2018, 12, 19. [Google Scholar] [CrossRef] [PubMed]
- Henz, D.; Schöllhorn, W.I. Differential Training Facilitates Early Consolidation in Motor Learning. Front. Behav. Neurosci. 2016, 10. [Google Scholar] [CrossRef] [PubMed]
- Schöllhorn, W.I.; Fabian, H. Erratum: Effects of complex movements on the brain as a result of increased decision-making. J. Complex. Health Sci. 2020, 3, 117. [Google Scholar] [CrossRef]
- Burdack, J.; Horst, F.; Aragonés, D.; Eekhoff, A.; Schöllhorn, W.I. Fatigue-Related and Timescale-Dependent Changes in Individual Movement Patterns Identified Using Support Vector Machine. Front. Psychol. 2020, 11. [Google Scholar] [CrossRef] [PubMed]
- Horst, F.; Janssen, D.; Beckmann, H.; Schöllhorn, W.I. Can Individual Movement Characteristics Across Different Throwing Disciplines Be Identified in High-Performance Decathletes? Front. Psychol. 2020, 11. [Google Scholar] [CrossRef]
- Schöllhorn, W.I. The Nonlinear Nature of Learning - A Differential Learning Approach. Open Sports Sci. J. 2012, 5, 100–112. [Google Scholar] [CrossRef]
- Schöllhorn, W.I. Differenzielles Lehren Und Lernen von Bewegung—Durch Veränderte Annahmen Zu Neuen Konsequenzen. In Zur Vernetzung von Forschung und Lehre in Biomechanik, Sportmotorik und Trainingswissenschaft; Czwalina: Hamburg, Germany, 2005; pp. 125–135. [Google Scholar]
- Wagner, H.; Müller, E. The effects of differential and variable training on the quality parameters of a handball throw. Sports Biomech. 2008, 7, 54–71. [Google Scholar] [CrossRef]
- Okazaki, V.H.A.; Rodacki, A.L.F. Increased Distance of Shooting on Basketball Jump Shot. J. Sports Sci. Med. 2012, 11, 231–237. [Google Scholar]
- Nakano, N.; Fukashiro, S.; Yoshioka, S. The effect of increased shooting distance on energy flow in basketball jump shot. Sports Biomech. 2020, 19, 366–381. [Google Scholar] [CrossRef]
- Coutinho, D.; Santos, S.; Gonçalves, B.; Travassos, B.; Wong, D.P.; Schöllhorn, W.; Sampaio, J. The effects of an enrichment training program for youth football attackers. PLoS ONE 2018, 13, e0199008. [Google Scholar] [CrossRef]
- Santos, S.; Coutinho, D.; Gonçalves, B.; Schöllhorn, W.; Sampaio, J.; Leite, N. Differential Learning as a Key Training Approach to Improve Creative and Tactical Behavior in Soccer. Res. Q. Exerc. Sport 2018, 89, 11–24. [Google Scholar] [CrossRef] [PubMed]
- Stegmüller, W. Personelle Und Statistische Wahrscheinlichkeit. Reihe: Probleme und Resultate der Wissenschaftstheorie und Analytischen Philosophie, Teil 4/1; Springer: Berlin, Germany, 1973. [Google Scholar]
- Gigerenzer, G. Mindless statistics. J. Socio-Econ. 2004, 33, 587–606. [Google Scholar] [CrossRef]
- Nuzzo, R. Scientific method: Statistical errors. Nature 2014, 506, 150–152. [Google Scholar] [CrossRef] [PubMed]
- Arede, J.; Ferreira, A.P.; Esteves, P.; Gonzalo-Skok, O.; Leite, N. Train Smarter, Play More: Insights about Preparation and Game Participation in Youth National Team. Res. Q. Exerc. Sport 2020, 91, 583–593. [Google Scholar] [CrossRef] [PubMed]
- Delaney, J.A.; Duthie, G.; Thornton, H.R.; Pyne, D.B. Quantifying the relationship between internal and external work in team sports: Development of a novel training efficiency index. Sci. Med. Footb. 2018, 2, 149–156. [Google Scholar] [CrossRef]
- Fox, J.L.; Stanton, R.; Scanlan, A.T. A Comparison of Training and Competition Demands in Semiprofessional Male Basketball Players. Res. Q. Exerc. Sport 2018, 89, 103–111. [Google Scholar] [CrossRef] [PubMed]
- Folgado, H.; Duarte, R.; Fernandes, O.; Sampaio, J. Competing with Lower Level Opponents Decreases Intra-Team Movement Synchronization and Time-Motion Demands during Pre-Season Soccer Matches. PLoS ONE 2014, 9, e97145. [Google Scholar] [CrossRef]
- Gonçalves, B. Collective Movement Behaviour in Association Football. Ph.D. Thesis, Universidade de Évora, Évora, Portugal, December 2017. [Google Scholar] [CrossRef]
- Bourbousson, J.; Poizat, G.; Saury, J.; Sève, C. Team Coordination in Basketball: Description of the Cognitive Connections Among Teammates. J. Appl. Sport Psychol. 2010, 22, 150–166. [Google Scholar] [CrossRef]
- Bourbousson, J.; Sève, C.; McGarry, T. Space–time coordination dynamics in basketball: Part 2. The interaction between the two teams. J. Sports Sci. 2010, 28, 349–358. [Google Scholar] [CrossRef]
- Neyman, J.; Pearson, E.S. On the Problem of the Most Efficient Tests of Statistical Hypotheses. In Breakthroughs in Statistics; Springer Series in Statistics (Perspectives in Statistics); Springer: New York, NY, USA, 1992. [Google Scholar] [CrossRef]
- Hopkins, W. A Spreadsheet to Compare Means of Two Groups. Sportscience 2007, 11, 22–23. [Google Scholar]
- Ferguson, C.J. An effect size primer: A guide for clinicians and researchers. Prof. Psychol. Res. Pract. 2009, 40, 532–538. [Google Scholar] [CrossRef]
- Gonçalves, B.; Esteves, P.; Folgado, H.; Ric, A.; Torrents, C.; Sampaio, J. Effects of Pitch Area-Restrictions on Tactical Behavior, Physical, and Physiological Performances in Soccer Large-Sided Games. J. Strength Cond. Res. 2017, 31, 2398–2408. [Google Scholar] [CrossRef] [PubMed]
- Esteves, P.; De Oliveira, R.F.; Araújo, D. Posture-related affordances guide attacks in basketball. Psychol. Sport Exerc. 2011, 12, 639–644. [Google Scholar] [CrossRef]
- Klostermann, A.; Vater, C.; Kredel, R.; Hossner, E.-J. Perception and Action in Sports. On the Functionality of Foveal and Peripheral Vision. Front. Sports Act. Living 2020, 1, 1–5. [Google Scholar] [CrossRef]
- Vázquez-Guerrero, J.; Jones, B.; Fernández-Valdés, B.; Moras, G.; Reche-Royo, X.; Sampaio, J. Physical demands of elite basketball during an official U18 international tournament. J. Sports Sci. 2019, 37, 2530–2537. [Google Scholar] [CrossRef]
- Van Maarseveen, M.J.; Savelsbergh, G.J.; Oudejans, R.R.D. In situ examination of decision-making skills and gaze behaviour of basketball players. Hum. Mov. Sci. 2018, 57, 205–216. [Google Scholar] [CrossRef]
- Michael, S.; Graham, K.S.; Davis, G.M.O. Cardiac Autonomic Responses during Exercise and Post-exercise Recovery Using Heart Rate Variability and Systolic Time Intervals—A Review. Front. Physiol. 2017, 8, 301. [Google Scholar] [CrossRef]
- John, A.; Schöllhorn, W.I. Acute Effects of Instructed and Self-Created Variable Rope Skipping on EEG Brain Activity and Heart Rate Variability. Front. Behav. Neurosci. 2018, 12. [Google Scholar] [CrossRef]
- Erčulj, F.; Štrumbelj, E. Basketball Shot Types and Shot Success in Different Levels of Competitive Basketball. PLoS ONE 2015, 10, e0128885. [Google Scholar] [CrossRef]
- Esteves, P.; Silva, P.; Vilar, L.; Travassos, B.; Duarte, R.; Arede, J.; Sampaio, J. Space occupation near the basket shapes collective behaviours in youth basketball. J. Sports Sci. 2016, 34, 1557–1563. [Google Scholar] [CrossRef]
- Sansone, P.; Tessitore, A.; Lukonaitiene, I.; Paulauskas, H.; Tschan, H.; Conte, D. Technical-tactical profile, perceived exertion, mental demands and enjoyment of different tactical tasks and training regimes in basketball small-sided games. Biol. Sport 2020, 37, 15–23. [Google Scholar] [CrossRef] [PubMed]
- Horst, F.; Rupprecht, C.; Schmitt, M.; Hegen, P.; Schöllhorn, W.I. Muscular Activity in Conventional and Differential Back Squat Exercise. In Proceedings of the 21st Annual Congress of the European College of Sport Science, Vienna, Austria, 6–9 July 2016; p. 516. [Google Scholar]
- Esteves, P.; Araújo, D.; Vilar, L.; Travassos, B.; Davids, K.; Esteves, C. Angular relationships regulate coordination tendencies of performers in attacker–defender dyads in team sports. Hum. Mov. Sci. 2015, 40, 264–272. [Google Scholar] [CrossRef]
- Santos, S. Exploring the Differential Learning Routes on Creative and Tactical Behaviour in Association Football Players. In Proceedings of the Complex Systems in Sport, International Congress. Linking Theory and Practice, Barcelona, Spain, 5–6 October 2017. [Google Scholar]
- Duarte, R.; Araújo, D.; Davids, K.; Travassos, B.; Gazimba, V.; Sampaio, J. Interpersonal coordination tendencies shape 1-vs-1 sub-phase performance outcomes in youth soccer. J. Sports Sci. 2012, 30, 871–877. [Google Scholar] [CrossRef] [PubMed]
- Ric, A.; Hristovski, R.; Gonçalves, B.; Torres, L.; Sampaio, J.; Torrents, C. Timescales for exploratory tactical behaviour in football small-sided games. J. Sports Sci. 2016, 34, 1723–1730. [Google Scholar] [CrossRef] [PubMed]
- Stegmüller, W. Probleme Und Resultate Der Wissenschaftstheorie Und Analytischen Philosophie: Theorie Und Erfahrung. Erfahrung, Festsetzung, Hypothese Und Einfachheit in Der Wissenschaftlichen Begriffs-Und Theorienbildung. Bd. 2. Teil A; Springer Science & Business Media: Berlin, Germany, 1970. [Google Scholar]


| Variable | Repeated Measures ANOVA | ||||||||
|---|---|---|---|---|---|---|---|---|---|
| FSESSION | η2p | p | FSSG | η2p | p | FSESSION X SSG | η2p | p | |
| Distance covered (m∙min−1) | 5.13 | 0.39 | 0.000 | 16.50 | 0.23 | 0.000 | 6.57 | 0.45 | 0.000 |
| Accelerations (n∙min−1) | 1.68 | 0.17 | 0.132 | 0.94 | 0.02 | 0.337 | 3.51 | 0.31 | 0.003 |
| Decelerations (n∙min−1) | 1.65 | 0.17 | 0.140 | 0.44 | 0.01 | 0.510 | 3.65 | 0.31 | 0.003 |
| Peak acceleration (m∙s−2) | 3.96 | 0.33 | 0.001 | 15.02 | 0.21 | 0.000 | 1.57 | 0.16 | 0.163 |
| Peak deceleration (m∙s−2) | 2.40 | 0.23 | 0.032 | 6.81 | 0.11 | 0.012 | 2.30 | 0.22 | 0.039 |
| Average speed (km∙h−1) | 4.12 | 0.34 | 0.001 | 13.39 | 0.19 | 0.001 | 2.55 | 0.24 | 0.024 |
| Peak speed (km∙h−1) | 3.97 | 0.33 | 0.001 | 3.57 | 0.06 | 0.064 | 1.02 | 0.11 | 0.429 |
| Player load (a.u./min.) | 3.00 | 0.27 | 0.010 | 5.05 | 0.08 | 0.290 | 7.31 | 0.48 | 0.000 |
| Peak Heart rate (bpm) | 2.30 | 0.22 | 0.039 | 2.83 | 0.05 | 0.098 | 2.90 | 0.27 | 0.012 |
| TRIMP (a.u.) | 1.06 | 0.12 | 0.404 | 6.77 | 0.11 | 0.012 | 2.08 | 0.21 | 0.061 |
| Spatial Exploration Index (a.u.) | 6.63 | 0.45 | 0.000 | 4.85 | 0.08 | 0.032 | 5.23 | 0.40 | 0.000 |
Publisher’s Note: MDPI stays neutral with regard to jurisdictional claims in published maps and institutional affiliations. |
© 2020 by the authors. Licensee MDPI, Basel, Switzerland. This article is an open access article distributed under the terms and conditions of the Creative Commons Attribution (CC BY) license (http://creativecommons.org/licenses/by/4.0/).
Share and Cite
Poureghbali, S.; Arede, J.; Rehfeld, K.; Schöllhorn, W.; Leite, N. Want to Impact Physical, Technical, and Tactical Performance during Basketball Small-Sided Games in Youth Athletes? Try Differential Learning Beforehand. Int. J. Environ. Res. Public Health 2020, 17, 9279. https://doi.org/10.3390/ijerph17249279
Poureghbali S, Arede J, Rehfeld K, Schöllhorn W, Leite N. Want to Impact Physical, Technical, and Tactical Performance during Basketball Small-Sided Games in Youth Athletes? Try Differential Learning Beforehand. International Journal of Environmental Research and Public Health. 2020; 17(24):9279. https://doi.org/10.3390/ijerph17249279
Chicago/Turabian StylePoureghbali, Sogand, Jorge Arede, Kathrin Rehfeld, Wolfgang Schöllhorn, and Nuno Leite. 2020. "Want to Impact Physical, Technical, and Tactical Performance during Basketball Small-Sided Games in Youth Athletes? Try Differential Learning Beforehand" International Journal of Environmental Research and Public Health 17, no. 24: 9279. https://doi.org/10.3390/ijerph17249279
APA StylePoureghbali, S., Arede, J., Rehfeld, K., Schöllhorn, W., & Leite, N. (2020). Want to Impact Physical, Technical, and Tactical Performance during Basketball Small-Sided Games in Youth Athletes? Try Differential Learning Beforehand. International Journal of Environmental Research and Public Health, 17(24), 9279. https://doi.org/10.3390/ijerph17249279

