Preparation of Ceramsite Based on Waterworks Sludge and Its Application as Matrix in Constructed Wetlands
Abstract
1. Introduction
2. Methods
2.1. The Design Method of the Constructed Wetland
2.2. The Characteristics of Tail Water
2.3. The Detection Method of the Microbiological Indicator
2.4. Analytical Methods
3. Results and Discussion
3.1. Characteristics of Waterworks Sludge Ceramsit
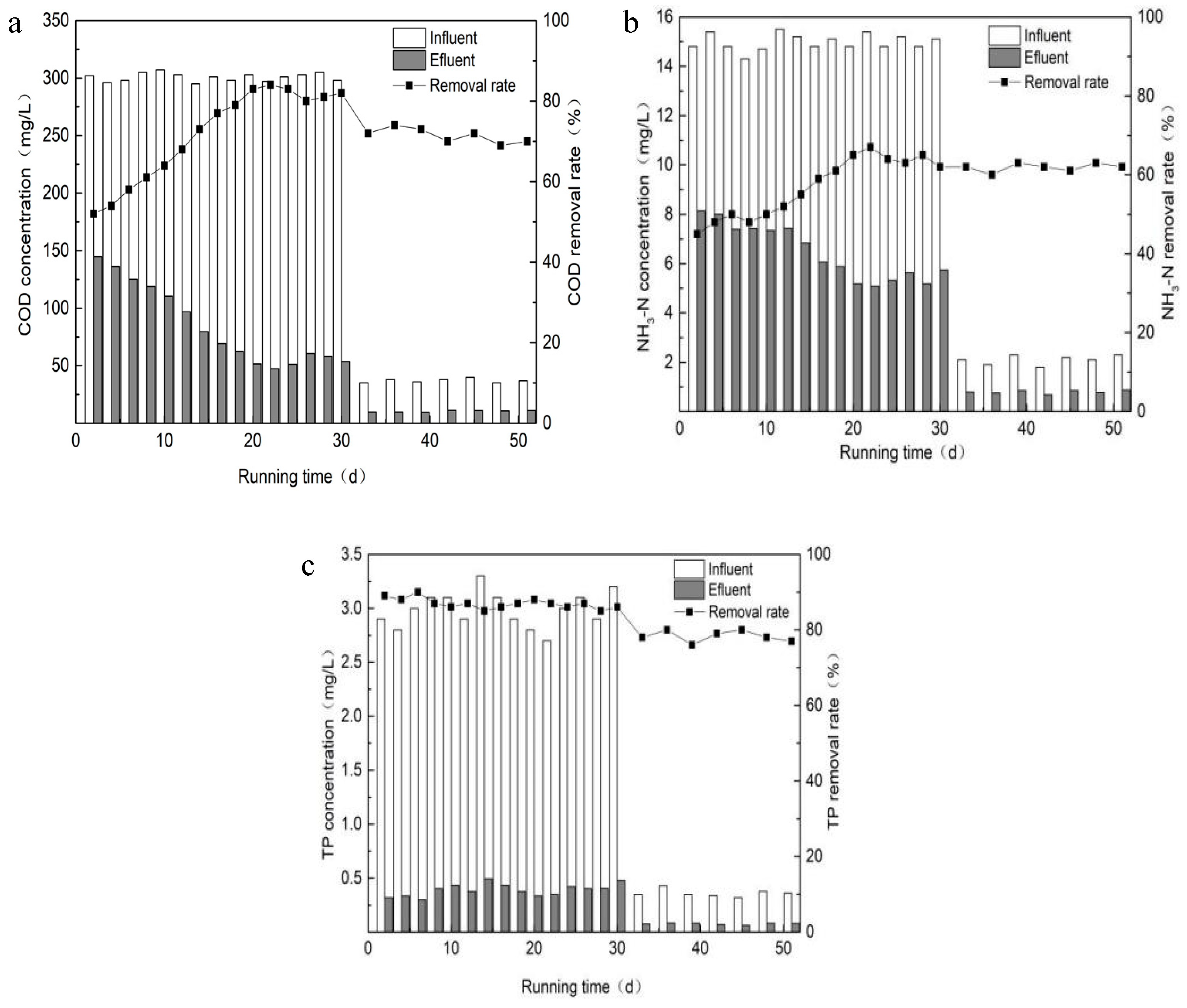
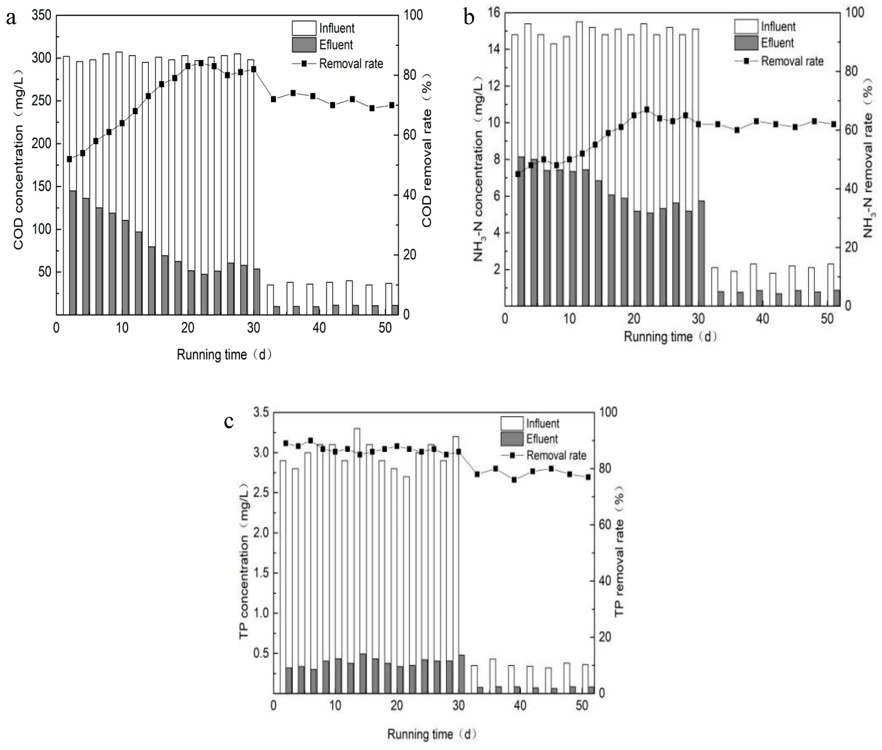
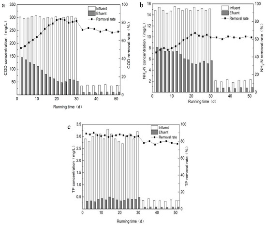
3.2. Evaluation of the Application of the Constructed Wetland
3.3. Analysis of the Removal Mechanism
4. Conclusions
Author Contributions
Funding
Conflicts of Interest
References
- Yang, G.; Zhang, G.M.; Wang, H.C. Current state of sludge production, management, treatment and disposal in China. Water Res. 2015, 78, 60–73. [Google Scholar] [CrossRef] [PubMed]
- Dong, B.; Liu, X.G.; Dai, L.L.; Dai, X.H. Changes of heavy metal speciation during high-solid anaerobic digestion of sewage sludge. Bioresour. Technol. 2013, 131, 152–158. [Google Scholar] [CrossRef] [PubMed]
- Guan, X.H.; Chen, G.H.; Shang, C. Re-use of water treatment works sludge to enhance particulate pollutant removal from sewage. Water Res. 2005, 39, 3433–3440. [Google Scholar] [CrossRef] [PubMed]
- Basibuyuk, M.; Kalat, D.G. The use of waterworks sludge for the treatment of vegetable oil refinery industry wastewater. Environ. Technol. Lett. 2004, 25, 373–380. [Google Scholar] [CrossRef] [PubMed]
- Teixeira, S.R.; Santos, G.T.A.; Souza, A.E.; Alessio, P.; Souza, S.A.; Souza, N.R. The effect of incorporation of a Brazilian water treatment plant sludge on the properties of ceramic materials. Appl. Clay Sci. 2011, 53, 561–565. [Google Scholar] [CrossRef]
- Wang, X.X.; Xu, L.L.; Yang, Y.L. Experiment study on carrier performance of bio-contact oxidation. Shanxi Archit. 2004, 23, 98–99. [Google Scholar]
- Asakura, H.; Endo, K.; Yamada, M.; Inoue, Y.; Onoet, Y. Improvement of permeability of waste sludge by mixing with slag or construction and demolition waste. Waste Manag. 2009, 29, 1877–1884. [Google Scholar] [CrossRef] [PubMed]
- Han, S.; Yue, Q.; Yue, M.; Han, S.X.; Yue, Q.Y.; Yue, M.; Gao, B.Y.; Zhao, Y.Q.; Cheng, W.J. Effect of sludge-fly ash ceramic particles (SFCP) on synthetic wastewater treatment in an A/O combined biological aerated filter. Bioresour. Technol. 2009, 100, 1149–1155. [Google Scholar] [CrossRef]
- Tanner, C.C. Plants as ecosystem engineers in subsurface-flow treatment wetlands. Water Sci. Technol. 2001, 44, 9–17. [Google Scholar] [CrossRef]
- Huang, L.; Gao, X.; Liu, M.; Du, G.; Guo, J.S.; Ntakirutimana, T. Correlation among soil microorganisms, soil enzyme activities, and removal rates of pollutants in three constructed wetlands purifying micro-polluted river water. Ecol. Eng. 2012, 46, 98–106. [Google Scholar] [CrossRef]
- Vohla, C.; Kõiv, M.; Bavor, H.J.; Chazarenc, F.; Mander, Ü. Filter materials for phosphorus removal from wastewater in treatment wetlands—A review. Ecol. Eng. 2011, 37, 70–89. [Google Scholar] [CrossRef]
- Wang, R.Y.; Korboulewsky, N.; Prudent, P.; Domeizel, M.; Rolando, C.; Bonin, G. Feasibility of using an organic substrate in a wetland system treating sewage sludge: Impact of plant species. Bioresour. Technol. 2010, 101, 51–57. [Google Scholar] [CrossRef] [PubMed]
- Zhou, L.C. Study on the Development and Assessment of a Novel Vertical Flow Constructed Wetland System Using Ceramsiteas Substrate. Master’s Thesis, Xi’an University of Architecture and Technology, Xi’an, China, 2013. [Google Scholar]
- Discharge standard of pollutants for municipal wastewater treatment plant, State Environmental Protection Administration, GB 18918-2002.
- State Environmental Protection Administration, Water and Wastewater Monitoring and Analysis Method, 4th ed.; China Environmental Science Press: Beijing, China, 2009.
- Naushad, M.; Ahamad, T.; Al-Maswari, B.M.; Alqadami, A.A.; Alshehri, S.M. Nickel ferrite bearing nitrogen-doped mesoporous carbon as efficient adsorbent for the removal of highly toxic metal ion from aqueous medium. Chem. Eng. J. 2017, 330, 1351–1360. [Google Scholar] [CrossRef]
- Kenneth, S. The use of nitrogen adsorption for the characterisation of porous materials. Colloids Surf. A Physicochem. Eng. Asp. 2001, 187–188, 3–9. [Google Scholar]
- Alejandro, R.; Ligia, S.; Mónica, M.; Johans, R. Simulation of nitrogen adsorption–desorption isotherms. Hysteresis as an effect of pore connectivity. Chem. Eng. Sci. 2005, 60, 4702–4708. [Google Scholar]
- Alqadami, A.A.; Naushad, M.; Abdalla, M.A.; Khan, M.R.; Alothman, Z.A. Adsorptive Removal of Toxic Dye Using Fe3O4–TSC Nanocomposite: Equilibrium, Kinetic, and Thermodynamic Studies. J. Chem. Eng. Data 2016, 61, 3806–3813. [Google Scholar] [CrossRef]
- The state environmental protection sdministration and the state administration of quality supervision, Inspection and quarantine promulgated surface water environmental quality standards. China’s Environ. Prot. Ind. 2002, 6, 5–6.
- Alqadami, A.A.; Naushad, M.; Alothman, Z.A.; Ghfar, A.A. Novel Metal–Organic Framework (MOF) Based Composite Material for the Sequestration of U(VI) and Th(IV) Metal Ions from Aqueous Environment. ACS Appl. Mater. Interfaces 2017, 9, 36026–36037. [Google Scholar] [CrossRef] [PubMed]
- Naushada, M.; Sharmab, G.; Kumarb, A.; Sharmab, S.; Ghfara, A.A.; Bhatnagarc, A.; Stadlerd, F.J.; Khana, M.R. Efficient removal of toxic phosphate anions from aqueous environment using pectin based quaternary amino anion exchanger. Int. J. Biol. Macromol. 2018, 106, 1–10. [Google Scholar] [CrossRef] [PubMed]
- Zhao, G.Y. Screening and Adsorption Mechanisms on Substrates for Phosphorus Removal in Constructed Wetlands. Ph.D. Thesis, Tongji University, Shanghai, China, 2007. [Google Scholar]
- Li, Y. The Study on Ceramsition Dewatered Sludge as Filters in Constructed Wetlands. Master’s Thesis, Fujian Normal University, Fuzhou, China, 2015. [Google Scholar]
- Vymazal, J. Constructed wetlands for treatment of industrial wastewaters: A review. Ecol. Eng. 2014, 73, 724–751. [Google Scholar] [CrossRef]
- Huang, Z.; Zhang, X.; Cui, L.; Cui, L.H.; Yu, G.W. Optimization of operating parameters of hybrid vertical down-flow constructed wetland systems for domestic sewerage treatment. J. Environ. Manag. 2016, 180, 384–389. [Google Scholar] [CrossRef] [PubMed]
- Bojcevska, H.; Tonderski, K. Impact of loads, season, and plant species on the performance of a tropical constructed wetland polishing effluent from sugar factory stabilization ponds. Ecol. Eng. 2007, 29, 66–76. [Google Scholar] [CrossRef]
- Liu, H.M. Study on Treatment of Landscape River by Constructed Wetlands with Functional Substrates. Master’s Thesis, Shanghai Jiao Tong University, Shanghai, China, 2013. [Google Scholar]
- Dunne, E.J.; Coveney, M.F.; Hoge, V.R.; Conrow, R.; Naleway, R.; Lowe, E.F.; Battoe, L.E.; Wang, Y.P. Phosphorus removal performance of a large-scale constructed treatment wetland receiving eutrophic lake water. Ecol. Eng. 2015, 79, 132–142. [Google Scholar] [CrossRef]
- Granel, C.; Teyssie, P.; Jerome, R. Controlled polymerization and copolymerization process of methacrylic and vinylic monomers and products therefrom. JPH107720A. 13 January 1998. [Google Scholar]
- Li, R.B. Study on the Preparation of Sludge Ceramsite and Application in Wastewater Treatment. Master’s Thesis, Shandong University, Qingdao, China, 2008. [Google Scholar]
- Li, T.; Long, M.; Gatesoupe, F.J.; Zhang, Q.; Li, A.; Gong, X. Comparative Analysis of the Intestinal Bacterial Communities in Different Species of Carp by Pyrosequencing. Microb. Ecol. 2014, 69, 25–36. [Google Scholar] [CrossRef] [PubMed]
- Allen, B.; Kon, M.; Bar, Y.Y. A New Phylogenetic Diversity Measure Generalizing the Shannon Index and Its Application to Phyllostomid Bats. Am. Nat. 2009, 174, 236–243. [Google Scholar] [CrossRef] [PubMed]
- Velasco, G.V.; Probanza, A.; Mañero, F.J.G.; Treviño, A.C.; Moreno, J.M.; Garciaet, J.A.L. Effect of fire and retardant on soil microbial activity and functional diversity in a Mediterranean pasture. Geoderma 2009, 153, 186–193. [Google Scholar] [CrossRef]
- Chakraborty, A.; Picardal, F. Induction of Nitrate-Dependent Fe(II) Oxidation by Fe(II) in Dechloromonas sp. Strain UWNR4 and Acidovorax sp. Strain 2AN. Appl. Environ. Microbiol. 2013, 79, 748–752. [Google Scholar] [CrossRef] [PubMed]








| pH | COD (mg/L) | NH3-N (mg/L) | NO3-N (mg/L) | NO2-N (mg/L) | TN (mg/L) | TP (mg/L) |
|---|---|---|---|---|---|---|
| 7.4 | 38.24 | 2.19 | 9.35 | 0.67 | 13.06 | 0.35 |
| Samples | Specific Surface Areas (m2/g) | Average Pore Size (nm) | Pore Volume (cm3/g) |
|---|---|---|---|
| Raw ceramsite | 6.07 | 6.22 | 1.31 |
| Roasted ceramsite | 8.15 | 8.53 | 1.88 |
| Index | OTU | Shannon | Simpson | Coverage | ACE | Chao1 |
|---|---|---|---|---|---|---|
| Number | 3034 | 3.04 | 0.18 | 0.95 | 125,197.23 | 41,587.38 |
© 2019 by the authors. Licensee MDPI, Basel, Switzerland. This article is an open access article distributed under the terms and conditions of the Creative Commons Attribution (CC BY) license (http://creativecommons.org/licenses/by/4.0/).
Share and Cite
Wang, Y.; Yang, J.; Xu, H.; Liu, C.; Shen, Z.; Hu, K. Preparation of Ceramsite Based on Waterworks Sludge and Its Application as Matrix in Constructed Wetlands. Int. J. Environ. Res. Public Health 2019, 16, 2637. https://doi.org/10.3390/ijerph16152637
Wang Y, Yang J, Xu H, Liu C, Shen Z, Hu K. Preparation of Ceramsite Based on Waterworks Sludge and Its Application as Matrix in Constructed Wetlands. International Journal of Environmental Research and Public Health. 2019; 16(15):2637. https://doi.org/10.3390/ijerph16152637
Chicago/Turabian StyleWang, Yaning, Jinhu Yang, Hang Xu, Chenwei Liu, Zhen Shen, and Kai Hu. 2019. "Preparation of Ceramsite Based on Waterworks Sludge and Its Application as Matrix in Constructed Wetlands" International Journal of Environmental Research and Public Health 16, no. 15: 2637. https://doi.org/10.3390/ijerph16152637
APA StyleWang, Y., Yang, J., Xu, H., Liu, C., Shen, Z., & Hu, K. (2019). Preparation of Ceramsite Based on Waterworks Sludge and Its Application as Matrix in Constructed Wetlands. International Journal of Environmental Research and Public Health, 16(15), 2637. https://doi.org/10.3390/ijerph16152637
