Early Childhood Oral Health and Nutrition in Urban and Rural Nepal
Abstract
1. Introduction
2. Materials and Methods
3. Results
3.1. Demographics
3.2. Mothers’ Knowledge of Oral Health and Nutrition
3.3. Mothers’ and Children’s Nutrition Practices
3.4. Mothers’ and Children’s Oral Health Practices
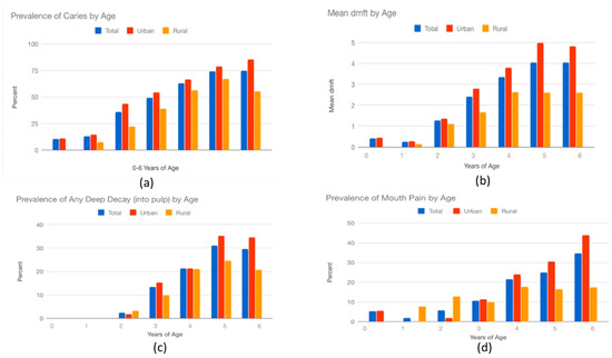
3.5. Children’s Oral Health Status
3.6. Children’s Nutrition Status
3.7. Associations Between Oral Health and Nutrition
4. Discussion
5. Conclusions
Author Contributions
Funding
Acknowledgments
Conflicts of Interest
References
- Popkin, B.M. The nutrition transition in low-income countries; an emerging crisis. Nutr. Rev. 1994, 52, 285–298. [Google Scholar] [CrossRef] [PubMed]
- Huffman, S.L.; Piwoz, E.G.; Vosti, S.A.; Dewey, K.G. Babies, soft drinks and snacks: A concern in low-and middle-income countries? Matern. Child Nutr. 2014, 10, 562–574. [Google Scholar] [CrossRef] [PubMed]
- Pries, A.M.; Huffman, S.L.; Champeny, M.; Adhikary, I.; Benjamin, M.; Coly, A.N.; Diop, E.H.; Mengkheang, K.; Sy, N.Y.; Dhungel, S.; et al. Consumption of commercially produced snack foods and sugar-sweetened beverages during the complementary feeding period in four African and Asian urban contexts. Matern. Child Nutr. 2017, 13, e12412. [Google Scholar] [CrossRef] [PubMed]
- Black, R.E.; Victora, C.G.; Walker, S.P.; Bhutta, Z.A.; Christian, P.; De Onis, M.; Ezzati, M.; Grantham-McGregor, S.; Katz, J.; Martorell, R.; et al. Maternal and child undernutrition and overweight in low-income and middle-income countries. Lancet 2013, 382, 427–451. [Google Scholar] [CrossRef]
- Marcenes, W.; Kassebaum, N.J.; Bernabe, E.; Flaxman, M.; Naghavi, A.; Lopez, A.; Murray, C.J. Global burden of oral conditions in 1990–2010: A systematic analysis. J. Dent. Res. 2013, 92, 592–597. [Google Scholar] [CrossRef] [PubMed]
- Touger-Decker, R.; van Loveren, C. Sugars and dental caries. Am. J. Clin. Nutr. 2003, 78, 881S–892S. [Google Scholar] [CrossRef] [PubMed]
- Ramos-Gomez, F.J.; Weintraub, J.A.; Gansky, S.A.; Hoover, C.I.; Featherstone, J.D. Bacterial, behavioral and environmental factors associated with early childhood caries. J. Clin. Pediatr. Dent. 2002, 26, 165–173. [Google Scholar] [CrossRef] [PubMed]
- Seow, W. Environmental, Maternal, and Child Factors Which Contribute to Early Childhood Caries: A Unifying Conceptual Model. Int. J. Paediatr. Dent. 2011, 22, 157–168. [Google Scholar] [CrossRef] [PubMed]
- Phantumvanit, P.; Makino, Y.; Ogawa, H.; Rugg-Gunn, A.; Moynihan, P.; Petersen, P.E.; Evans, W.; Feldens, C.A.; Lo, E.; Khoshnevisan, M.H.; et al. WHO global consultation on public health intervention against early childhood caries. Community Dent. Oral Epidemiol. 2018, 46, 280–287. [Google Scholar] [CrossRef] [PubMed]
- Edelstein, B.L. The Dental Caries Pandemic and Disparities Problem. BMC Oral Health 2006, 6, S2. [Google Scholar] [CrossRef]
- Oliveira, L.B.; Sheiham, A.; Bonecker, M. Exploring the association of dental caries with social factors and nutritional status in Brazilian preschool children. Eur. J. Oral Sci. 2008, 116, 37–43. [Google Scholar] [CrossRef]
- Khanh, L.N.; Ivey, S.L.; Sokal-Gutierrez, K.; Barkan, H. Early childhood caries, mouth pain, and nutritional threats in Vietnam. Am. J. Public Health 2015, 105, 2510–2517. [Google Scholar] [CrossRef] [PubMed]
- So, M.; Ellenikiotis, Y.; Husby, H.; Paz, C.; Seymour, B.; Sokal-Gutierrez, K. Early childhood dental caries, mouth pain, and malnutrition in the Ecuadorian Amazon region. Int. J. Environ. Res. Public Health 2017, 14, 550. [Google Scholar] [CrossRef] [PubMed]
- Ministry of Health; Population Division MOHAPNEII. Nepal Demographic and Health Survey. 2012; pp. 1–421. Available online: https://dhsprogram.com/pubs/pdf/fr257/fr257%5B13april2012%5D.pdf (accessed on 12 June 2019).
- Dixit, L.P.; Shakya, A.; Shrestha, M.; Shrestha, A. Dental caries prevalence, oral health knowledge and practice among indigenous Chepang school children of Nepal. BMC Oral Health 2013, 13, 20. [Google Scholar] [CrossRef]
- Thapa, P.K.; Aryal, K.K.; Dhimal, M.; Mehata, S.; Pokhrel, A.U.; Pandit, A.; Pandey, A.R.; Bista, B.; Dhakal, P.; Karki, K.B.; et al. Oral Health Condition of School Children in Nawalparasi District, Nepal. J. Nepal. Health Res. Council. 2015, 13, 7–13. [Google Scholar]
- Subedi, B.; Shakya, P.; Kc, U.; Jnawali, M.; Paudyal, B.D.; Acharya, A.; Koirala, S.; Singh, A. Prevalence of dental caries in 5-6 years and 12-13 years age group of school children of Kathmandu valley. J. Nepal. Med. Assoc. 2011, 51, 176–181. [Google Scholar] [CrossRef]
- Yee, R.; McDonald, N. Caries experience of 5–6 year old and 12–13 year old schoolchildren in central and western Nepal. Int. Dent. J. 2002, 52, 453–460. [Google Scholar] [CrossRef] [PubMed]
- Karki, S.; Laitala, M.L.; Humagain, M.; Seppänen, M.; Päkkila, J.; Anttonen, V. Oral health status associated with sociodemographic factors of Nepalese schoolchildren: A population-based study. Int. Dent. J. 2018, 68, 348–358. [Google Scholar] [CrossRef] [PubMed]
- World Health Organization. Oral Health Surveys: Basic Methods, 4th ed.; World Health Organization: Geneva, Switzerland, 1997; Available online: http://www.who.int/iris/handle/10665/41905 (accessed on 1 July 2019).
- WHO Multicentre Growth Reference Study Group. WHO Child Growth Standards: Length/Height-for-Age, Weight-for-Age, Weight-for-Length, Weight-for-Height and Body Mass Index-for-Age: Methods and Development. Available online: https://www.who.int/childgrowth/standards/technical_report/en/ (accessed on 12 June 2019).
- WHO. Growth Reference 5–19 Years. Application Tools: WHO AnthroPlus Software; WHO: Geneva, Switzerland, 2007; Available online: https://www.who.int/growthref/tools/en/ (accessed on 12 June 2019).
- Almy, J.; Wootan, M. Temptation at Checkout: The Food Industry’s Sneaky Strategy for Selling More; Center for Science in the Public Interest: Washington, DC, USA, 2015; Available online: https://cspinet.org/sites/default/files/attachment/report.pdf (accessed on 12 June 2019).
- Hawkes, C.; Jewell, J.; Allen, K. The NOURISHING framework. Obes. Rev. 2013, 14, 159–168. [Google Scholar] [CrossRef]
- American Academy of Pediatrics. A Pediatric Guide to Children’s Oral Health; American Academy of Pediatrics: Itasca, IL, USA, 2009; Available online: https://www.aap.org/en-us/advocacy-and-policy/aap-health-initiatives/Oral-Health/Documents/OralHealthFCpagesF2_2_1.pdf (accessed on 1 July 2019).
- Watt, R.G.; Listl, S.; Peres, M.; Heilmann, A. Social Inequalities in Oral Health: From Evidence to Action; International Centre for Oral Health Inequalities Research and Policy: London, UK, 2015. [Google Scholar]
- Levin, A.; Sokal-Gutierrez, K.; Hargrave, A.; Funsch, E.; Hoeft, K.S. Maintaining Traditions: A Qualitative Study of Early Childhood Caries Risk and Protective Factors in an Indigenous Community. Int. J. Environ. Res. Public Health 2017, 14, 907. [Google Scholar] [CrossRef] [PubMed]
- Zhou, Y.; Yang, J.Y.; Lo, E.C.M. The Contribution of Life Course Determinants to Early Childhood Caries: A 2-Year Cohort Study. Caries Res. 2012, 46, 87–94. [Google Scholar] [CrossRef] [PubMed]
- Jigjid, B.; Ueno, M.; Shinada, K.; Kawaguchi, Y. Early childhood caries and related risk factors in Mongolian children. Community Dent. Health 2009, 26, 121–128. [Google Scholar] [CrossRef] [PubMed]
- Feldens, C.A.; Giugliani, E.R.; Duncan, B.B.; Drachler, M.L.; Vítolo, M.R. Long-term effectiveness of a nutritional program in reducing early childhood caries: A randomized trial. Community Dent. Oral Epidemiol. 2010, 38, 324–332. [Google Scholar] [CrossRef] [PubMed]
- Ismail, A. Prevention of Early Childhood Caries. Community Dent. Oral Epidemiol. 2013, 26, 49–61. [Google Scholar] [CrossRef]
- Donoff, B.; McDonough, J.R.; Riedy, C.A. Integrating oral and general health care. N. Engl. J. Med. 2014, 371, 2247–2249. [Google Scholar] [CrossRef] [PubMed]

| Family Demographics (Sample Size n = 836 Children, 632 Mothers) | Overall Population Mean/Frequency | Urban Population Mean/Frequency | Rural Population Mean/Frequency | Difference p-Value 1 |
|---|---|---|---|---|
| Child mean age (years) | 4.4 | 4.3 | 5.1 | <0.001 |
| Child Gender (female/male) | 52.2% female 46.9% male | 53.5% female 44.9% male | 51.1% female 48.9% male | NS |
| Mother mean age (years) | 29.7 | 29.5 | 29.9 | NS |
| Mother mean education (years) | 4.9 | 6.1 | 2.5 | <0.001 |
| Mean number of children | 2.2 | 2.0 | 2.7 | <0.001 |
| Mean number in household | 5.2 | 5.0 | 5.7 | <0.001 |
| Potable water at home | 83.8% | 87.9% | 75.5% | <0.001 |
| Cooking fuel other than wood (gas) | 52.8% | 77.7% | 1.6% | <0.001 |
Time to walk from home to a store that sells junk food:
| 73.4% 18.0% 8.6% | 87.6% 6.1% 6.3% | 46.8% 41.6% 11.6% | <0.001 <0.001 <0.001 |
| Family Demographics (n = 836 Children, 632 Mothers) | Overall Population Mean/Frequency | Urban Population Mean/Frequency | Rural Population Mean/Frequency | Difference p-Value 1 |
|---|---|---|---|---|
| Maternal Knowledge on Caries Risk | ||||
| Eating sweets causes caries | 85.5% | 84.7% | 87.0% | NS |
| Not brushing causes caries | 26.1% | 29.5% | 20.0% | 0.006 |
| Drinking soda/juice causes caries | 5.0% | 6.4% | 2.3% | 0.043 |
| Bottle-feeding causes caries | 0.2% | 0.0% | 0.5% | NS |
| Maternal Nutrition Practices | ||||
| Daily milk consumption | 34.1% | 29.5% | 42.9% | <0.001 |
| Daily soda consumption | 1.9% | 2.5% | 0.7% | NS |
| Daily junk food consumption | 2.2% | 2.9% | 0.7% | 0.045 |
| Child Nutrition Practices | ||||
| Breastfed | 98.5% | 99.0% | 97.4% | NS |
| Mean duration of breastfeeding (months) | 28.6 | 27.3 | 30.9 | <0.001 |
| Bottle-fed | 16.8% | 22.2% | 7.9% | <0.001 |
| Mean duration of bottle-feeding (months) | 15.8 | 16.1 | 14.5 | <0.001 |
| Bottle-fed with sugary drink | 9.6% | 10.7% | 4.3% | NS |
| Bottle during sleep (occasionally/frequently) | 33.6% | 27.3% | 63.6% | <0.001 |
Daily consumption of milk by age
| 68.2% 73.0% 66.9% | 65.9% 75.4% 63.1% | 72.5% 66.7% 73.7% | NS NS <0.001 |
Daily consumption of soda/juice by age
| 1.3% 0.6% 1.4% | 1.4% 0.8% 1.5% | 1.1% 0.0% 1.3% | NS NS NS |
Daily consumption of sweets by age
| 50.8% 34.4% 55.1% | 62.0% 36.4% 69.6% | 29.7% 28.9% 29.8% | <0.001 NS <0.001 |
Daily consumption of junk food by age
| 24.0% 12.9% 26.8% | 31.2% 14.4% 36.2% | 10.3% 8.9% 10.5% | <0.001 NS <0.001 |
| Maternal Oral Health Practices | ||||
| Has her own toothbrush | 92.8% | 95.5% | 86.4% | <0.001 |
| Has been to the dentist | 50.3% | 53.2% | 43.1% | <0.001 |
| Received prenatal care; mean number of visits | 80.6%; 5.3 | 86.3%; 5.9 | 70.3%; 4.0 | <0.001 |
| Child Oral Health Practices | ||||
| Has his/her own toothbrush | 74.4% | 84.4% | 56.0% | <0.001 |
| Has toothpaste | 90.4% | 93.7% | 84.2% | <0.001 |
| Mother helps with brushing frequently/almost always | 21.9% | 25.6% | 15.5% | <0.001 |
| Mother does nothing to care for child’s teeth | 14.1% | 10.6% | 20.6% | <0.001 |
| Has been to the dentist | 10.3% | 12.4% | 6.3% | 0.007 |
| Up-to-date immunizations | 97.4% | 96.2% | 99.6% | <0.001 |
| Overall Population Mean/Frequency | Urban Population Mean/Frequency | Rural Population Mean/Frequency | Difference p-Value 1 | |
|---|---|---|---|---|
| Oral Health Status | ||||
| Prevalence of caries | 58.2% | 62.2% | 51.2% | 0.002 |
| Mean proportion of untreated caries (decayed teeth/ decayed, missing, or filled teeth = d/dmft) | 93.6% | 94.8% | 90.9% | NS |
| Range in number of dmft | 0–19 | 0–17 | 0–19 | NS |
| Mean number of dmft for all children | 2.9 | 3.3 | 2.1 | <0.001 |
| Mean number of dmft for children with caries | 4.3 | 5.3 | 2.7 | <0.001 |
Distribution of number of decayed teeth
| 50.1% 35.3% 14.6% | 51.6% 34.1% 14.4% | 47.8% 37.3% 14.8% | NS NS NS |
| Prevalence of deep decay into the pulp | 19.6% | 21.1% | 16.8% | NS |
Prevalence of mouth pain
| 20.0% 1.9% | 22.7% 2.1% | 15.0% 1.5% | <0.001 <0.001 |
| Mother’s assessment of child’s oral health as “bad” | 19.7% | 20.8% | 25.0% | <0.001 |
| Mother’s assessment of child’s overall health as “bad” | 4.4% | 6.0% | 1.5% | 0.006 |
| Nutrition Status | ||||
| Mean Z-score Height-for-Age (HAZ) < −2 (stunting) | 34.2% | 29.5% | 42.7% | <0.001 |
| Mean Z-score Weight-for-Age (WAZ) < −2 (underweight) | 14.8% | 13.2% | 17.6% | NS |
| Mean Z-score BMI-for-Age (BAZ) < −2 (wasting) | 2.1% | 2.1% | 2.0% | NS |
| Predictive Variable | Outcome Variable | Correlation Coefficient B | Odds Ratio Exp (B)/F (df) | Correlation Factor R Square | p-Value 1 |
Mother’s Frequent Consumption of
| Child’s Frequent Consumption of
| 2.472 −16.640 2.032 | 11.848 0.000 7.633 | 0.243 0.003 0.031 | <0.001 no significance <0.001 |
Child’s Frequent Consumption of
| Caries Severity (dmft) | 1.778 +1.05 (soda) +0.21 (sweets) −0.20 (junk food) | 5.391 (3, 329) | 0.038 | <0.001 |
| Caries Severity (dmft) | Any mouth pain | 0.225 | 1.253 | 0.188 | <0.001 |
| Predictive Variable | Outcome Variable | Estimate | Standard Error | p-Value | n 2 |
| Caries Severity (dmft) | Overall Population Weight-for-Age (WAZ) < −2 Height-for-Age (HAZ) < −2 BMI-for-Age (BAZ) < −2 | −0.33 −0.30 −0.36 | 0.06 0.04 0.16 | <0.0001 <0.0001 0.0298 | 836 836 836 |
| Caries (Deep Decay into the Pulp) | Overall Population WAZ < −2 HAZ < −2 BAZ < −2 Urban Population WAZ < −2 HAZ < −2 BAZ < −2 Rural Population WAZ < −2 HAZ < −2 BAZ < −2 | −0.57 −0.74 0.22 −0.3 −0.46 −0.2 −1.06 −1.1839 0.89 | 0.28 0.21 0.59 0.33 0.25 0.8 0.54 0.36 0.88 | 0.04 <0.001 NS NS NS NS 0.05 <0.001 NS | 122 281 17 70 155 11 52 126 6 |
| Any mouth pain | Overall Population WAZ < −2 HAZ < −2 BAZ < −2 | −0.0154 −0.4205 0.17 | 0.11 0.19 0.58 | NS 0.03 NS | 122 281 17 |
© 2019 by the authors. Licensee MDPI, Basel, Switzerland. This article is an open access article distributed under the terms and conditions of the Creative Commons Attribution (CC BY) license (http://creativecommons.org/licenses/by/4.0/).
Share and Cite
Tsang, C.; Sokal-Gutierrez, K.; Patel, P.; Lewis, B.; Huang, D.; Ronsin, K.; Baral, A.; Bhatta, A.; Khadka, N.; Barkan, H.; et al. Early Childhood Oral Health and Nutrition in Urban and Rural Nepal. Int. J. Environ. Res. Public Health 2019, 16, 2456. https://doi.org/10.3390/ijerph16142456
Tsang C, Sokal-Gutierrez K, Patel P, Lewis B, Huang D, Ronsin K, Baral A, Bhatta A, Khadka N, Barkan H, et al. Early Childhood Oral Health and Nutrition in Urban and Rural Nepal. International Journal of Environmental Research and Public Health. 2019; 16(14):2456. https://doi.org/10.3390/ijerph16142456
Chicago/Turabian StyleTsang, Chloe, Karen Sokal-Gutierrez, Priya Patel, Brett Lewis, Debbie Huang, Kristina Ronsin, Ashmita Baral, Aparna Bhatta, Nehaa Khadka, Howard Barkan, and et al. 2019. "Early Childhood Oral Health and Nutrition in Urban and Rural Nepal" International Journal of Environmental Research and Public Health 16, no. 14: 2456. https://doi.org/10.3390/ijerph16142456
APA StyleTsang, C., Sokal-Gutierrez, K., Patel, P., Lewis, B., Huang, D., Ronsin, K., Baral, A., Bhatta, A., Khadka, N., Barkan, H., & Gurung, S. (2019). Early Childhood Oral Health and Nutrition in Urban and Rural Nepal. International Journal of Environmental Research and Public Health, 16(14), 2456. https://doi.org/10.3390/ijerph16142456

