Improved Isolation Procedures for Okadaic Acid Group Toxins from Shellfish (Mytilus edulis) and Microalgae (Prorocentrum lima)
Abstract
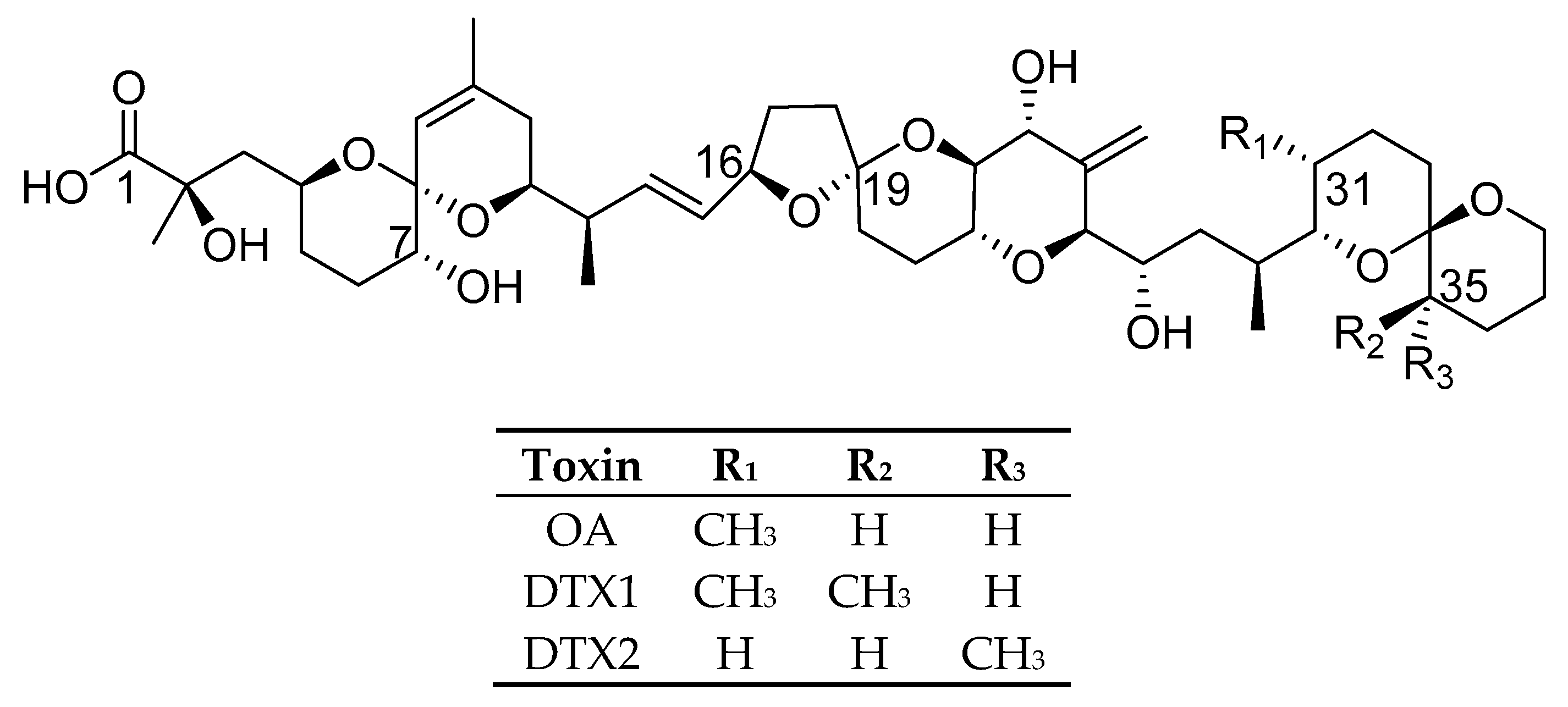
1. Introduction
2. Results and Discussion
2.1. Isolation of DTX2 from Shellfish
2.2. Isolation of OA and DTX1 from Prorocentrum lima
2.2.1. P. lima Culturing
2.2.2. Purification
3. Materials and Methods
3.1. Reagents
3.2. Isolation of DTX2 from Shellfish
19-epi-DTX2 Kinetics
3.3. P. lima Culturing
Culture Sampling
3.4. Isolation OA and DTX1 from P. lima
3.5. LC-HRMS
3.5.1. Acidic Method
3.5.2. Neutral Method
3.6. LC-UV
3.7. NMR Spectroscopy
4. Conclusions
Supplementary Materials
Author Contributions
Funding
Acknowledgments
Conflicts of Interest
References
- Fernandez, J.; Suarez-Gomez, B.; Souto, M.L.; Norte, M. Identification of new okadaic acid derivatives from laboratory cultures of Prorocentrum lima. J. Nat. Prod. 2003, 66, 1294–1296. [Google Scholar] [CrossRef] [PubMed]
- López-Rosales, L.; Gallardo-Rodríguez, J.; Sánchez-Mirón, A.; Cerón-García, M.; Belarbi, E.; García-Camacho, F.; Molina-Grima, E. Simultaneous effect of temperature and irradiance on growth and okadaic acid production from the marine dinoflagellate Prorocentrum belizeanum. Toxins 2014, 6, 229–253. [Google Scholar] [CrossRef] [PubMed]
- Yasumoto, T.; Oshima, Y.; Sugawara, W.; Fukuyo, Y.; Oguri, H.; Igarashi, T.; Fujita, N. Identification of Dinophysis fortii as the causative organism of diarrhetic shellfish poisoning. Bull. Jpn. Soc. Sci. Fish. 1980, 46, 1405–1411. [Google Scholar] [CrossRef]
- Reguera, B.; Riobó, P.; Rodríguez, F.; Díaz, P.A.; Pizarro, G.; Paz, B.; Franco, J.M.; Blanco, J. Dinophysis toxins: Causative organisms, distribution and fate in shellfish. Mar. Drugs 2014, 12, 394–461. [Google Scholar] [CrossRef]
- Aune, T.; Yndestad, M. Diarrhetic shellfish poisoning. In Algal Toxins in Seafood and Drinking Water; Falconer, I.R., Ed.; Academic Press: London, UK, 1993; pp. 87–104. [Google Scholar]
- Miles, C.O.; Wilkins, A.L.; Munday, R.; Dines, M.H.; Hawkes, A.D.; Briggs, L.R.; Sandvik, M.; Jensen, D.J.; Cooney, J.M.; Holland, P.T. Isolation of pectenotoxin-2 from Dinophysis acuta and its conversion to pectenotoxin-2 seco acid, and preliminary assessment of their acute toxicities. Toxicon 2004, 43, 1–9. [Google Scholar] [CrossRef]
- Miles, C.O.; Wilkins, A.L.; Hawkes, A.D.; Jensen, D.J.; Cooney, J.M.; Larsen, K.; Petersen, D.; Rise, F.; Beuzenberg, V.; Lincoln MacKenzie, A. Isolation and identification of a cis-C8-diol-ester of okadaic acid from Dinophysis acuta in New Zealand. Toxicon 2006, 48, 195–203. [Google Scholar] [CrossRef]
- Pizarro, G.; Paz, B.; Franco, J.M.; Suzuki, T.; Reguera, B. First detection of pectenotoxin-11 and confirmation of OA-D8 diol-ester in Dinophysis acuta from European waters by LC-MS/MS. Toxicon 2008, 52, 889–896. [Google Scholar] [CrossRef]
- Hu, T.M.; Marr, J.; de Freitas, A.S.W.; Quilliam, M.A.; Walter, J.A.; Wright, J.L.C.; Pleasance, S. New diol esters isolated from cultures of the dinoflagellates Prorocentrum lima and Prorocentrum concavum. J. Nat. Prod. 1992, 55, 1631–1637. [Google Scholar] [CrossRef]
- Reguera, B.; Velo-Suarez, L.; Raine, R.; Park, M.G. Harmful Dinophysis species: A review. Harmful Algae 2012, 14, 87–106. [Google Scholar] [CrossRef]
- Regulation (EC) No 853/2004 of the European parliament and of the council of 29 April 2004 laying down specific hygiene rules for food of animal origin. Off. J. Eur. Union 2004, L139. Available online: https://eur-lex.europa.eu/legal-content/EN/ALL/?uri=CELEX%3A32004R0853 (accessed on 22 April 2020).
- Commission Regulation (EU) No 15/2011 of 10th January 2011 amending Regulation (EC) No 2074/2005 as regards recognized testing methods for detecting marine biotoxins in live bivalve molluscs. Off. J. Eur. Union 2011, L6, 3–6. Available online: https://eur-lex.europa.eu/LexUriServ/LexUriServ.do?uri=OJ:L:2011:006:0003:0006:EN:PDF (accessed on 22 April 2020).
- Abal, P.; Louzao, C.M.; Suzuki, T.; Watanabe, R.; Vilariño, N.; Carrera, C.; Botana, A.M.; Vieytes, M.R.; Botana, L.M. Toxic action re-evaluation of okadaic acid, dinophysistoxin-1 and dinophysistoxin-2: Toxicity equivalency factors based on the oral toxicity study. Cell Physiol. Biochem. 2018, 49, 743–757. [Google Scholar] [CrossRef] [PubMed]
- Bodero, M.; Bovee, T.F.H.; Wang, S.; Hoogenboom, R.L.A.P.; Klijnstra, M.D.; Portier, L.; Hendriksen, P.J.M.; Gerssen, A. Screening for the presence of lipophilic marine biotoxins in shellfish samples using the neuro-2a bioassay. Food Addit. Contam. Part A Chem. Anal. Control Expo. Risk Assess. 2018, 35, 351–365. [Google Scholar] [CrossRef] [PubMed]
- Lee, T.C.H.; Fong, F.L.Y.; Ho, K.C.; Lee, F.W.F. The mechanism of diarrhetic shellfish poisoning toxin production in Prorocentrum spp.: Physiological and molecular perspectives. Toxins 2016, 8, 272. [Google Scholar] [CrossRef]
- Salas, R.; Clarke, D. Review of DSP toxicity in Ireland: Long-term trend impacts, biodiversity and toxin profiles from a monitoring perspective. Toxins 2019, 11, 61. [Google Scholar] [CrossRef]
- Cohen, P.; Holmes, C.F.B.; Tsukitani, Y. Okadaic acid: A new probe for the study of cellular regulation. TIBS 1990, 15, 98–102. [Google Scholar] [CrossRef]
- Valdiglesias, V.; Prego-Faraldo, M.V.; Pásaro, E.; Méndez, J.; Laffon, B. Okadaic acid: More than a diarrheic toxin. Mar. Drugs 2013, 11, 4328–4349. [Google Scholar] [CrossRef]
- Garcia, A.; Cayla, X.; Guergnon, J.; Dessauge, F.; Hospital, V.; Paz Rebollo, M.; Fleischer, A.; Rebollo, A. Serine/threonine protein phosphatases PP1 and PP2A are key players in apoptosis. Biochemie 2003, 85, 721–726. [Google Scholar] [CrossRef]
- Kamat, P.K.; Rai, S.; Swarnkar, S.; Shukla, R.; Nath, C. Molecular and cellular mechanism of okadaic acid-induced neurotoxicity: A novel tool for Alzheimer’s disease therapeutic application. Mol. Neurobiol. 2014, 50, 852–865. [Google Scholar] [CrossRef]
- Quilliam, M.A.; Hardstaff, W.R.; Ishida, N.; McLachlan, J.L.; Reeves, A.R.; Ross, N.W.; Windust, A.J. Production of diarrhetic shellfish poisoning (DSP) toxins by Prorocentrum lima in culture and development of analytical methods. In Harmful and Toxic Algal Blooms; Yasumoto, T., Ed.; Intergovernmental Oceanograpohic Commission of UNESCO: Sendai, Japan, 1996; pp. 289–292. [Google Scholar]
- García-Portela, M.; Reguera, B.; Sibat, M.; Altenburger, A.; Rodríguez, F.; Hess, P. Metabolomic profiles of Dinophysis acuminata and Dinophysis acuta using non-targeted high-resolution mass spectrometry: Effect of nutritional status and prey. Mar. Drugs 2018, 16, 143. [Google Scholar] [CrossRef]
- Park, M.G.; Kim, S.; Kim, H.S.; Myung, G.; Kang, Y.G.; Yih, W. First successful culture of the marine dinoflagellate Dinophysis acuminata. Aquat. Microb. Ecol. 2006, 45, 101–106. [Google Scholar] [CrossRef]
- Hwang, B.S.; Kim, H.S.; Yih, W.; Jeong, E.J.; Rho, J.R. Acuminolide A: Structure and bioactivity of a new polyether macrolide from dinoflagellate Dinophysis acuminata. Org. Lett. 2014, 16, 5362–5365. [Google Scholar] [CrossRef] [PubMed]
- Hu, T.; Doyle, J.; Jackson, D.; Marr, J.; Nixon, E.; Pleasance, S.; Quilliam, M.A.; Walter, J.A.; Wright, J.L.C. Isolation of a new diarrhetic shellfish poison from Irish mussels. J. Chem. Soc. Chem. Commun. 1992, 30, 39–41. [Google Scholar] [CrossRef]
- Beach, D.G.; Crain, S.; Lewis, N.; LeBlanc, P.; Hardstaff, W.R.; Perez, R.; Giddings, S.D.; Martinez-Farina, C.F.; Stefanova, R.; Burton, I.W.; et al. Development of certified reference materials for diarrhetic shellfish poisoning toxins, part 1: Calibration solutions. J. AOAC Int. 2016, 99, 1–12. [Google Scholar] [CrossRef] [PubMed]
- Larsen, K.; Petersen, D.; Wilkins, A.L.; Samdal, I.A.; Sandvik, M.; Rundberget, T.; Goldstone, D.; Arcus, V.; Hovgaard, P.; Rise, F.; et al. Clarification of the C-35 stereochemistries of dinophysistoxin-1 and dinophysistoxin-2, and its consequences for binding to protein phosphatase. Chem. Res. Toxicol. 2007, 20, 868–875. [Google Scholar] [CrossRef] [PubMed]
- Rundberget, T.; Sandvik, M.; Larsen, K.; Pizzaro, G.; Reguera, B.; Castberg, T.; Gustad, E.; Loader, J.I.; Rise, F.; Wilkins, A.L.; et al. Extraction of microalgal toxins by large-scale pumping of seawater in Spain and Norway, and isolation of okadaic acid and dinophysistoxin-2. Toxicon 2007, 50, 960–970. [Google Scholar] [CrossRef]
- Isobe, M.; Ichikawa, Y. Total synthesis of a marine toxic polyether okadaic acid. Yuki Gosei Kagaku Kyokaishi 1986, 44, 1155–1168. [Google Scholar] [CrossRef]
- Pang, Y.; Fang, C.; Twiner, M.J.; Miles, C.O.; Forysth, C.J. Total synthesis of dinophysistoxin-2 and 2-epi-dinophysistoxin-2 and their PPase inhibition. Angew. Chem. Int. Ed. 2011, 50, 7631–7635. [Google Scholar] [CrossRef]
- Wilkins, A.L.; Rehmann, N.; Torgersen, T.; Rundberget, T.; Keogh, M.; Petersen, D.; Hess, P.; Rise, F.; Miles, C.O. Identification of fatty acid esters of pectenotoxin-2 seco acid in blue mussels (Mytilus edulis) from Ireland. J. Agric. Food Chem. 2006, 54, 5672–5678. [Google Scholar] [CrossRef]
- MARBioFEED. Available online: https://www.marine.ie/Home/site-area/research-funding/marine-biotechnology/marbiofeed-project (accessed on 22 April 2020).
- Kilcoyne, J.; Keogh, A.; Clancy, G.; LeBlanc, P.; Burton, I.; Quilliam, M.A.; Hess, P.; Miles, C.O. Improved isolation procedure for azaspiracids from shellfish, structural elucidation of azaspiracid-6, and stability studies. J. Agric. Food Chem. 2012, 60, 2447–2455. [Google Scholar] [CrossRef]
- Kilcoyne, J.; McCarron, P.; Twiner, M.J.; Nulty, C.; Wilkins, A.L.; Rise, F.; Quilliam, M.A.; Miles, C.O. Epimers of azaspiracids: Isolation, structural elucidation, relative LC-MS response, and in vitro toxicity of 37-epi-azaspiracid-1. Chem. Res. Toxicol. 2014, 27, 587–600. [Google Scholar] [CrossRef] [PubMed]
- Kilcoyne, J.; McCoy, A.; Burrell, S.; Krock, B.; Tillmann, U. Effects of temperature, growth media, and photoperiod on growth and toxin production of Azadinium spinosum. Mar. Drugs 2019, 17, 489. [Google Scholar] [CrossRef]
- Takai, A.; Murata, M.; Torigoe, K.; Isobe, M.; Mieskes, G.; Yasumoto, T. Inhibitory effect of okadaic acid derivatives on protein phosphatases. Biochem. J. 1992, 284, 539–544. [Google Scholar] [CrossRef]
- Nagai, H.; Satake, M.; Yasumoto, T. Antimicrobial activities of polyether compounds of dinoflagellate origins. J. Appl. Phycol. 1990, 2, 305–308. [Google Scholar] [CrossRef]
- Guillard, R.R.L.; Hargraves, P.E. Stichochrysis immobilis is a diatom, not a chrysophyte. Phycology 1993, 32, 234–236. [Google Scholar] [CrossRef]





| Weight (mg) | Clean-up (100 × (Wi − Wf)/Wi) (%) | DTX2 (mg) | Step Recovery (%) | Purity (%) | |
|---|---|---|---|---|---|
| Wet weight (g) | 422,000 | ^ 10.7 | |||
| Dry weight (g) | 118,000 | ^ 10.7 | |||
| Step 1 (hydrolysis/extraction) | 53,000 | 10.5 | 0.02 | ||
| Step 2 (hexane partitioning) | 28,000 | 47.2 | 10.3 | 98.1 | 0.04 |
| Step 3 (EtOAc partitioning) | 3300 | 88.2 | 9.9 | 96.1 | 0.30 |
| Step 4 (SAX chromatography) | 200 | 95.6 | 8.4 | 84.8 | 4.20 |
| Step 5 (semi-prep HPLC) | 7.3 | 86.9 | * 96.7 | ||
| % Recovery | 68.2 |
| Toxin | OA + H2O | OA + MeOH | DTX2 + CD3OH | 19-epi-DTX2 | DTX2 | |
|---|---|---|---|---|---|---|
| Accurate mass (m/z) * | 821.4700 | 821.4716 | 835.4857 | 838.5030 | 803.4590 | 803.4587 |
| Δ m/z (ppm) | 0.9 | 2.8 | 0.9 | −0.9 | 0.4 | 0.0 |
| Retention time (min) | 3.58 | 3.95 | 4.1–4.65 | 4.2–4.4 | 4.64 | 4.77 |
| Percentage | 0.83 | 0.06 | 2.33 | 0.33 | 2.38 | 94.08 |
| Weight (mg) | Clean-up (100 × (Wi − Wf)/Wi) (%) | OA (mg) | Step Recovery (%) | Purity (%) | DTX1 (mg) | Step Recovery (%) | Purity (%) | |
|---|---|---|---|---|---|---|---|---|
| Culture (4.5 L) | 3.3 | 10.5 | ||||||
| Step 1 (HP-20 resin extract) | 322 | 3.2 | 1.0 | 10.2 | 3.2 | |||
| Step 2 (alumina/SPE) | 47.2 | 85.3 | 2.9 | 90.6 | 6.1 | 8.9 | 87.3 | 18.9 |
| Step 3 (LH-20) | 19.5 | 58.7 | 2.8 | 96.6 | 14.4 | 8.5 | 95.5 | 43.6 |
| Step 4 (semi-prep HPLC) | 2.5 | 89.3 | * 98.5 | 8.0 | 94.1 | ^ 97.3 | ||
| % Recovery | 75.8 | 76.2 |
| Toxin | OA + MeOH | DTX1 Isomer | DTX1 | OA Isomer | 19-epi-OA | OA | |
|---|---|---|---|---|---|---|---|
| Accurate mass (m/z) * | 835.4822 | 817.4744 | 817.4744 | 803.4577 | 803.4587 | 803.4588 | |
| Δ m/z (ppm) | −3.3 | 0.0 | 0.0 | −1.3 | 0.0 | 0.1 | |
| Retention time (min) | 3.95 | 4.36 | 4.65 | 5.32 | 4.34 | 4.43 | 4.54 |
| Percentage | 0.08 | 0.04 | 0.07 | 0.18 | 0.33 | 1.38 | 97.91 |
| Toxin | DTX1 + MeOH | 7-deoxyOA | DTX1 Isomer | 19-epi-DTX1 | DTX1 |
|---|---|---|---|---|---|
| Accurate mass (m/z) * | 849.5032 | 787.4612 | 817.4731 | 817.4757 | 817.4746 |
| Δ m/z (ppm) | 3.0 | −3.3 | −1.5 | 1.6 | 0.3 |
| Retention time (min) | 4.46 | 5.39 | 4.60 | 5.07 | 5.31 |
| Percentage | 0.08 | 0.09 | 0.60 | 2.04 | 97.19 |
Publisher’s Note: MDPI stays neutral with regard to jurisdictional claims in published maps and institutional affiliations. |
© 2020 by the authors. Licensee MDPI, Basel, Switzerland. This article is an open access article distributed under the terms and conditions of the Creative Commons Attribution (CC BY) license (http://creativecommons.org/licenses/by/4.0/).
Share and Cite
Kilcoyne, J.; Burrell, S.; Nulty, C.; Salas, R.; Wright, E.J.; Rajotte, I.; Miles, C.O. Improved Isolation Procedures for Okadaic Acid Group Toxins from Shellfish (Mytilus edulis) and Microalgae (Prorocentrum lima). Mar. Drugs 2020, 18, 647. https://doi.org/10.3390/md18120647
Kilcoyne J, Burrell S, Nulty C, Salas R, Wright EJ, Rajotte I, Miles CO. Improved Isolation Procedures for Okadaic Acid Group Toxins from Shellfish (Mytilus edulis) and Microalgae (Prorocentrum lima). Marine Drugs. 2020; 18(12):647. https://doi.org/10.3390/md18120647
Chicago/Turabian StyleKilcoyne, Jane, Stephen Burrell, Cíara Nulty, Rafael Salas, Elliott J. Wright, Isabelle Rajotte, and Christopher O. Miles. 2020. "Improved Isolation Procedures for Okadaic Acid Group Toxins from Shellfish (Mytilus edulis) and Microalgae (Prorocentrum lima)" Marine Drugs 18, no. 12: 647. https://doi.org/10.3390/md18120647
APA StyleKilcoyne, J., Burrell, S., Nulty, C., Salas, R., Wright, E. J., Rajotte, I., & Miles, C. O. (2020). Improved Isolation Procedures for Okadaic Acid Group Toxins from Shellfish (Mytilus edulis) and Microalgae (Prorocentrum lima). Marine Drugs, 18(12), 647. https://doi.org/10.3390/md18120647

