New 2-Methoxy Acetylenic Acids and Pyrazole Alkaloids from the Marine Sponge Cinachyrella sp.
Abstract
1. Introduction
2. Results
2.1. Cinachylenic Acid B (1)
2.2. Cinachylenic Acid C (2)
2.3. Cinachylenic Acid D (3)
2.4. Cinachylenic Acid A (4)
2.5. Absolute Configuration of Cinachylenic Acids A–D (1–4)
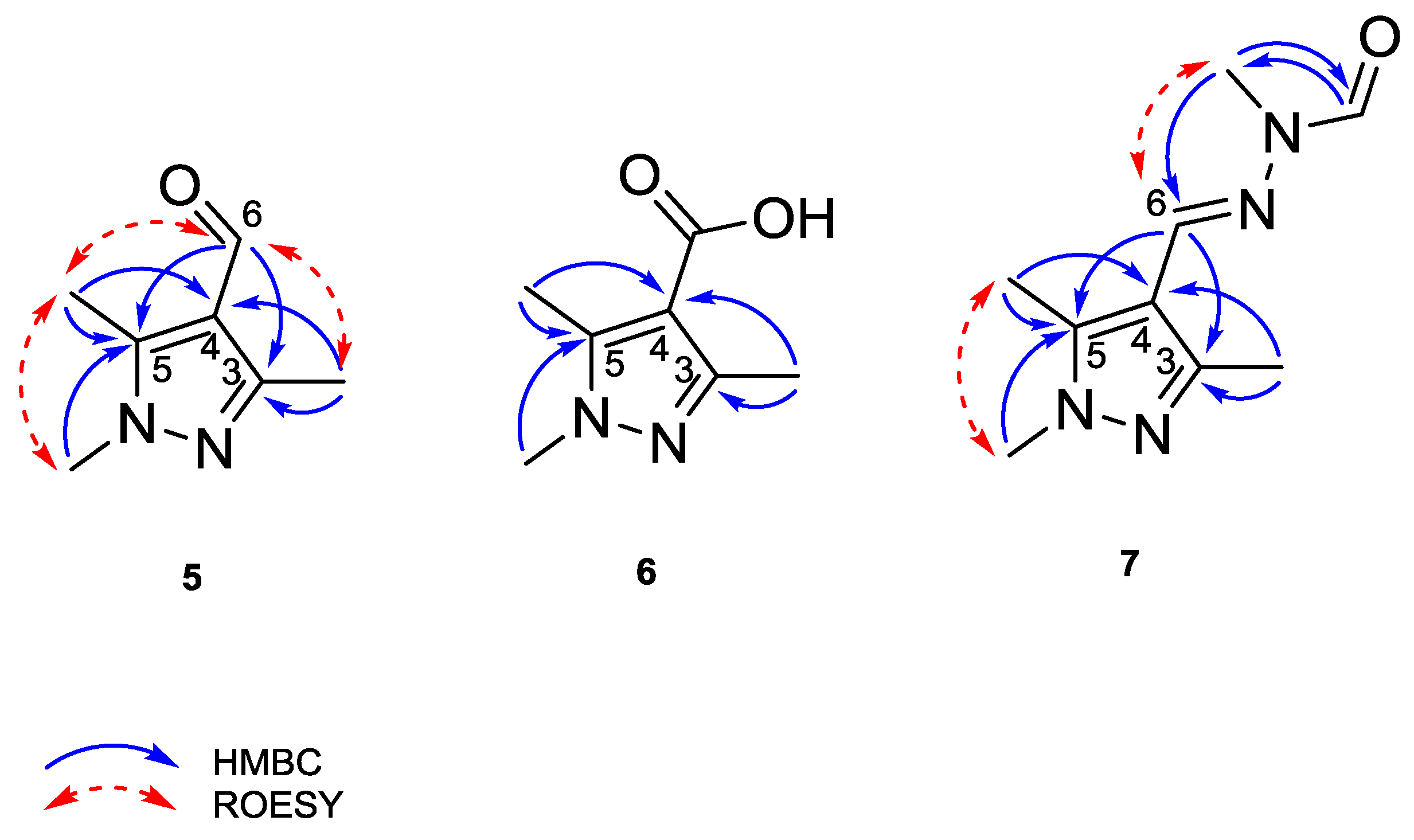
2.6. Cinachyrazole A (5)
2.7. Cinachyrazole B (6)
2.8. Cinachyrazole C (7)
2.9. Proposed Biosynthetic Pathway for 5–7
2.10. Bioactivity
3. Discussion
4. Materials and Methods
4.1. General Procedures
4.2. Sponge Material
4.3. Extraction and Isolation
5. Conclusions
Supplementary Materials
Acknowledgments
Author contributions
Conflicts of Interest
References
- Mehbub, M.F.; Lei, J.; Franco, C.; Zhang, W. Marine sponge derived natural products between 2001 and 2010: Trends and opportunities for discovery of bioactives. Mar. Drugs 2014, 12, 4539–4577. [Google Scholar] [CrossRef] [PubMed]
- Simmons, T.L.; Andrianasolo, E.; McPhail, K.; Flatt, P.; Gerwick, W.H. Marine natural products as anticancer drugs. Mol. Cancer Ther. 2005, 4, 333–342. [Google Scholar] [PubMed]
- Barnathan, G.; Miralles, J.; Njinkoue, J.-M.; Mangoni, A.; Fattorusso, E.; Debitus, C.; Boury-Esnault, N.; Kornprobst, J.M. Sterol composition of three marine sponge species from the genus Cinachyrella. Comp. Biochem. Physiol. Part B: Comp. Biochem. 1992, 103, 1043–1047. [Google Scholar] [CrossRef]
- Li, L.Y.; Deng, Z.W.; Li, J.; Fu, H.Z.; Lin, W.H. Chemical constituents from chinese marine sponge Cinachyrella australiensis. Beijing Da Xue Xue Bao 2004, 36, 7–12. [Google Scholar]
- Barnathan, G.; Miralles, J.; Kornprobst, J.M. Sponge fatty acids-4. Co-occurrence of two isoprenoid fatty acids (4,8,12-trimethyltridecanoic and 5,9,13-trimethyltetradecanoic) in phospholipids of marine sponges from the genus Cinachrella. Nat. Prod. Lett. 1993, 3, 113–118. [Google Scholar] [CrossRef]
- Barnathan, G.; Doumenq, P.; Njinkoué, J.M.; Mirallès, J.; Debitus, C.; Lévi, C.; Komprobst, J.M. Sponge fatty acids. 3. Occurrence of series of n-7 monoenoic andiso-5,9 dienoic long-chain fatty acids in the phospholipids of the marine sponge Cinachyrella aff. schulzei keller. Lipids 1994, 29, 297. [Google Scholar] [CrossRef]
- Wahidullah, S.; Naik, B.G.; Al-Fadhli, A.A. Chemotaxonomic study of the demosponge Cinachyrella cavernosa (lamarck). Biochem. Syst. Ecol. 2015, 58, 91–96. [Google Scholar] [CrossRef]
- Oku, N.; Takada, K.; Fuller, R.W.; Wilson, J.A.; Peach, M.L.; Pannell, L.K.; McMahon, J.B.; Gustafson, K.R. Isolation, structural elucidation, and absolute stereochemistry of Enigmazole A, a cytotoxic phosphomacrolide from the papua new guinea marine sponge Cinachyrella enigmatica. J. Am. Chem. Soc. 2010, 132, 10278–10285. [Google Scholar] [CrossRef] [PubMed]
- Zhao, Q.; Lee, S.Y.; Hong, J.; Lee, C.-O.; Im, K.S.; Sim, C.J.; Lee, D.S.; Jung, J.H. New acetylenic acids from the marine sponge Stelletta species. J. Nat. Prod. 2003, 66, 408–411. [Google Scholar] [CrossRef] [PubMed]
- Patocka, J.; Pita, R.; Kuca, K. Gyromitrin, mushroom toxin of Gyromitra spp. Mil. Med. Sci. Lett. (Voj. Zdrav. Listy) 2012, 81, 61. [Google Scholar]
- Le Goff, G.; Ouazzani, J. Natural hydrazine-containing compounds: Biosynthesis, isolation, biological activities and synthesis. Bioorganic Med. Chem. 2014, 22, 6529–6544. [Google Scholar] [CrossRef] [PubMed]
- Shimogawa, H.; Kuribayashi, S.; Teruya, T.; Suenaga, K.; Kigoshi, H. Cinachyramine, the novel alkaloid possessing a hydrazone and two aminals from Cinachyrella sp. Tetrahedron Lett. 2006, 47, 1409–1411. [Google Scholar] [CrossRef]
- Ishiyama, H.; Ishibashi, M.; Ogawa, A.; Yoshida, S.; Kobayashi, J. Taurospongin a, a novel acetylenic fatty acid derivative inhibiting DNA polymerase β and HIV reverse transcriptase from sponge Hippospongia sp. J. Org. Chem. 1997, 62, 3831–3836. [Google Scholar] [CrossRef]
- Piña, I.C.; Gautschi, J.T.; Wang, G.Y.S.; Sanders, M.L.; Schmitz, F.J.; France, D.; Cornell-Kennon, S.; Sambucetti, L.C.; Remiszewski, S.W.; Perez, L.B. Psammaplins from the sponge Pseudoceratina purpurea: Inhibition of both histone deacetylase and DNA methyltransferase. J. Org. Chem. 2003, 68, 3866–3873. [Google Scholar] [CrossRef] [PubMed]
- Attaryan, O.S.; Antanosyan, S.K.; Panosyan, G.A.; Asratyan, G.V.; Matsoyan, S.G. Vilsmeier-Haak formylation of 3,5-dimethylpyrazoles. Rus. J. Gen. Chem. 2006, 76, 1817–1819. [Google Scholar] [CrossRef]
- Chiriac, C.I. The direct carboxylation of pyrazoles. Synthesis 1986, 9, 753–755. [Google Scholar] [CrossRef]




| Position | 13C, Type 1 | 1H, m (J in Hz) | COSY | HMBC |
|---|---|---|---|---|
| 1 | 176.0, C | - 3 | - 3 | - 3 |
| 2 | 80.9, CH | 3.76, dd (7.6, 4.6) | 3-H | C-1/3/4/19 |
| 3 | 32.8, CH2 | 1.74, m; 1.68, m | 2/4-H | C-1/2/4/5 |
| 4 | 25.3, CH2 | 1.50 2 | 3/5-H | C-2/5/6 |
| 5 | 33.1, CH2 | 2.10, br qt (7.2, 1.9) | 4/6-H | C-3/4/6/7 |
| 6 | 142.7, CH | 5.95, dt (15.8, 7.1) | 5/7-H | C-5/8 |
| 7 | 111.4, CH | 5.46, dt (15.8, 1.9) | 6-H | - 3 |
| 8 | 79.9, C | - 3 | - 3 | - 3 |
| 9 | 89.2, C | - 3 | - 3 | - 3 |
| 10 | 19.6, CH2 | 2.26, br td (7.0, 2.1) | 11-H | C-7/8/9/11/12 |
| 11 | 29.5, CH2 | 1.49 2; 1.40, m | 10/12-H | C-9/10/13 |
| 12 | 29.5, CH2 | 1.30 2 | 11/13-H | - 3 |
| 13 | 30.4, CH2 | 1.30 2 | 12/14-H | - 3 |
| 14 | 30.4, CH2 | 1.30 2 | 13/15-H | - 3 |
| 15 | 30.4, CH2 | 1.30 2 | 14/16-H | - 3 |
| 16 | 32.9, CH2 | 1.30 2 | 15/17-H | - 3 |
| 17 | 23.5, CH2 | 1.33 2 | 16/18-H | C-16/18 |
| 18 | 14.0, CH3 | 0.90, t (7.0) | 17-H | C-16/17 |
| 19 | 57.9, CH3 | 3.36, s | - 3 | C-2 |
| Position | 13C, Type 1 | 1H, m (J in Hz) | COSY | HMBC |
|---|---|---|---|---|
| 1 | – 2 | - 3 | - 3 | - 3 |
| 2 | 80.9, CH | 3.76, dd (7.6, 4.6) | 3-H | C-4/5/19 |
| 3 | 32.8, CH2 | 1.74, m; 1.68, m | 2/4-H | - 3 |
| 4 | 25.3, CH2 | 1.50, m | 3/5-H | C-2/5/6 |
| 5 | 33.1, CH2 | 2.10, br qt (7.3, 2.0) | 4/6-H | C-3/4/6/7 |
| 6 | 142.8, CH | 5.95, dt (15.7, 7.3) | 5/7-H | C-8 |
| 7 | 111.4, CH | 5.46, d (15.7) | 6-H | - 3 |
| 8 | 80.0, C | - 3 | - 3 | - 3 |
| 9 | 88.6, C | - 3 | - 3 | - 3 |
| 10 | 20.6, CH2 | 2.28, td (7.1, 2.1) | 11-H | C-8/9/11/12 |
| 11 | 32.7, CH2 | 2.16, br q (6.5) | 10/12-H | C-9/12/13 |
| 12 | 129.8, CH | 5.45 dt (15.3, 6.5) | 11/13-H | - 3 |
| 13 | 132.3, CH | 5.48 dt (15.3, 6.0) | 12/14-H | - 3 |
| 14 | 32.5, CH2 | 2.00, br q (6.0) | 13/15-H | C-12/13/16 |
| 15 | 30.4, CH2 | 1.36, m | 14/16-H | - 3 |
| 16 | 31.9, CH2 | 1.30, m | 15/17-H | C-15 |
| 17 | 23.3, CH2 | 1.33, m | 16/18-H | C-16 |
| 18 | 14.0, CH3 | 0.90, t (6.9) | 17-H | C-16/17 |
| 19 | 58.0, CH3 | 3.36, s | - 3 | C-2 |
| Position | 13C, Type 1 | 1H, m (J in Hz) | COSY | HMBC |
|---|---|---|---|---|
| 1 | – 2 | - 4 | - 4 | - 4 |
| 2 | 81.2, CH | 3.74, dd (8.1, 4.7) | 3-H | |
| 3 | 32.6, CH2 | 1.74, m; 1.67, m | 2/4-H | C-2/4/5 |
| 4 | 25.4, CH2 | 1.50 3 | 3/5-H | C-2/5/6 |
| 5 | 33.2, CH2 | 2.10, br qt (7.2, 1.9) | 4/6-H | C-3/4/6/7 |
| 6 | 142.8, CH | 5.95, dt (15.9, 7.1) | 5/7-H | C-5/8 |
| 7 | 111.4, CH | 5.46, d (15.9) | 6-H | - 4 |
| 8 | 79.8, C | - 4 | - 4 | - 4 |
| 9 | 88.9, C | - 4 | - 4 | - 4 |
| 10 | 19.5, CH2 | 2.25, td (7.0, 2.2) | 11-H | C-8/9/11/12 |
| 11 | 29.8, CH2 | 1.49 3 | 10/12-H | C-9/10 |
| 12 | 29.1, CH2 | 1.30, m | 11/13-H | - 4 |
| 13 | 29.9, CH2 | 1.38, m | 12/14-H | C-14 |
| 14 | 30.3, CH2 | 1.99 3 | 13/15-H | C-12/13 |
| 15 | – 2 | 5.43 3 | 14/16-H | - 4 |
| 16 | 132.9, CH | 5.39, dt (15.3, 6.3) | 15/17-H | - 4 |
| 17 | 26.3, CH2 | 1.99 3 | 16/18-H | C-18 |
| 18 | 14.2, CH3 | 0.96, t (7.5) | 17-H | C-16/17 |
| 19 | 58.0, CH3 | 3.36, s | - 4 | C-2 |
| Position | 5 | 6 | 7 | |||
|---|---|---|---|---|---|---|
| 1H, m | 13C, Type 1 | 1H, m | 13C, Type 1 | 1H, m | 13C, Type 1 | |
| 3 | - 3 | 151.7, C | - 3 | 151.2, C | - 3 | 147.9, C |
| 4 | - 3 | 119.0, C | - 3 | 110.5, C | - 3 | 113.1, C |
| 5 | - 3 | 147.1, C | - 3 | 145.7, C | - 3 | 141.4, C |
| 6 | 9.85, s | 186.8, CH | - 3 | – 2 | 7.95, s | 138.0, CH |
| 7 | 3.74, s | 35.7, CH3 | 3.72, s | 35.8, CH3 | 3.73, s | 35.5, CH3 |
| 8 | 2.38, s | 12.4, CH3 | 2.35, s | – 2 | 2.35, s | 13.0, CH3 |
| 9 | 2.51, s | 9.7, CH3 | 2.50, s | 11.5, CH3 | 2.45, s | 9.9, CH3 |
| N′-CHO | - 3 | - 3 | - 3 | - 3 | 8.69, s | 166.1, CH |
| N′-CH3 | - 3 | - 3 | - 3 | - 3 | 3.29, s | 26.4, CH3 |
© 2017 by the authors. Licensee MDPI, Basel, Switzerland. This article is an open access article distributed under the terms and conditions of the Creative Commons Attribution (CC BY) license (http://creativecommons.org/licenses/by/4.0/).
Share and Cite
Mokhlesi, A.; Hartmann, R.; Kurtán, T.; Weber, H.; Lin, W.; Chaidir, C.; Müller, W.E.G.; Daletos, G.; Proksch, P. New 2-Methoxy Acetylenic Acids and Pyrazole Alkaloids from the Marine Sponge Cinachyrella sp. Mar. Drugs 2017, 15, 356. https://doi.org/10.3390/md15110356
Mokhlesi A, Hartmann R, Kurtán T, Weber H, Lin W, Chaidir C, Müller WEG, Daletos G, Proksch P. New 2-Methoxy Acetylenic Acids and Pyrazole Alkaloids from the Marine Sponge Cinachyrella sp. Marine Drugs. 2017; 15(11):356. https://doi.org/10.3390/md15110356
Chicago/Turabian StyleMokhlesi, Amin, Rudolf Hartmann, Tibor Kurtán, Horst Weber, Wenhan Lin, Chaidir Chaidir, Werner E. G. Müller, Georgios Daletos, and Peter Proksch. 2017. "New 2-Methoxy Acetylenic Acids and Pyrazole Alkaloids from the Marine Sponge Cinachyrella sp." Marine Drugs 15, no. 11: 356. https://doi.org/10.3390/md15110356
APA StyleMokhlesi, A., Hartmann, R., Kurtán, T., Weber, H., Lin, W., Chaidir, C., Müller, W. E. G., Daletos, G., & Proksch, P. (2017). New 2-Methoxy Acetylenic Acids and Pyrazole Alkaloids from the Marine Sponge Cinachyrella sp. Marine Drugs, 15(11), 356. https://doi.org/10.3390/md15110356

