Bioactive Secondary Metabolites from the Marine Sponge Genus Agelas
Abstract
:1. Introduction
2. Natural Products from Agelas Genus
2.1. Agelas axifera
2.2. Agelas cerebrum
2.3. Agelas ceylonica
2.4. Agelas citrina
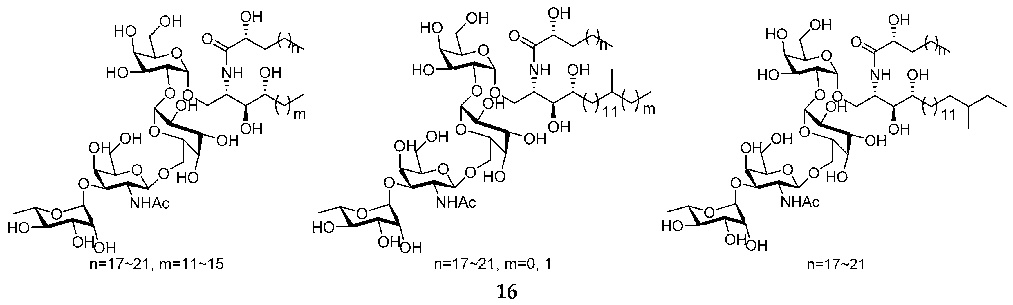
2.5. Agelas clathrodes
2.6. Agelas conifera
2.7. Agelas dendromorpha
2.8. Agelas dispar
2.9. Agelas gracilis
2.10. Agelas linnaei
2.11. Agelas longissima
2.12. Agelas mauritiana
2.13. Agelas nakamurai
2.14. Agelas nemoechinata
2.15. Agelas oroides
2.16. Agelas sceptrum
2.17. Agelas schmidtii
2.18. Agelas sventres
2.19. Agelas wiedenmayeri
2.20. Other Agelas spp.
2.20.1. Ionic Compounds
2.20.2. Non-Ionic Compounds
3. Conclusions
Acknowledgments
Author Contributions
Conflicts of Interest
References
- Rane, R.; Sahu, N.; Shah, C.; Karpoormath, R. Marine bromopyrrole alkaloids: Synthesis and diverse medicinal applications. Curr. Top. Med. Chem. 2014, 14, 253–273. [Google Scholar] [CrossRef] [PubMed]
- Ancheeva, E.; El-Neketi, M.; Song, W.; Lin, W.; Daletos, G.; Ebrahim, W.; Proksch, P. Structurally unprecedented metabolites from marine sponges. Curr. Org. Chem. 2017, 21, 426–449. [Google Scholar] [CrossRef]
- Bickmeyer, U.; Drechsler, C.; Köck, M.; Assmann, M. Brominated pyrrole alkaloids from marine Agelas sponges reduce depolarization-induced cellular calcium elevation. Toxicon 2004, 44, 45–51. [Google Scholar] [CrossRef] [PubMed]
- Pettit, G.R.; Tang, Y.; Zhang, Q.; Bourne, G.T.; Arm, C.A.; Leet, J.E.; Knight, J.C.; Pettit, R.K.; Chapuis, J.C.; Doubek, D.L.; et al. Isolation and structures of axistatins 1-3 from the Republic of Palau marine sponge Agelas axifera Hentschel. J. Nat. Prod. 2013, 76, 420–424. [Google Scholar] [CrossRef] [PubMed]
- Assmann, M.; Soest, R.W.M.; Köck, M. Description of Agelas cerebrum, a new species and redescription of A. dilata. Proc. Biol. Soc. Wash. 2001, 114, 359–366. [Google Scholar]
- Regalado, E.L.; Laguna, A.; Mendiola, J.; Thomas, O.P.; Nogueiras, C. Bromopyrrole alkaloids from the Caribbean sponge Agelas cerebrum. Quim. Nova 2011, 34, 289–291. [Google Scholar] [CrossRef]
- Reddy, N.S.; Venkateswarlu, Y. S-(+)-methyl ester of hanishin from the marine sponge Agelas ceylonica. Biochem. Syst. Ecol. 2000, 28, 1035–1037. [Google Scholar] [CrossRef]
- Umeyama, A.; Ito, S.; Yuasa, E.; Arihara, S.; Yamada, T. A new bromopyrrole alkaloid and the optical resolution of the racemate from the marine sponge Homaxinella sp. J. Nat. Prod. 1998, 61, 1433–1434. [Google Scholar] [CrossRef] [PubMed]
- Stout, E.P.; Yu, L.C.; Molinski, T.F. Antifungal diterpene alkaloids from the Caribbean sponge Agelas citrina: Unified configurational assignments of agelasidines and agelasines. Eur. J. Org. Chem. 2012, 5131–5135. [Google Scholar] [CrossRef] [PubMed]
- Cychon, C.; Lichte, E.; Köck, M. The marine sponge Agelas citrina as a source of the new pyrrole-imidazole alkaloids citrinamines A–D and N-methylagelongine. Beilstein J. Org. Chem. 2015, 11, 2029–2037. [Google Scholar] [CrossRef] [PubMed]
- Costantino, V.; Fattorusso, E.; Imperatore, C.; Mangoni, A. Clarhamnoside, the first rhamnosylated α-galactosylceramide from Agelas clathrodes. Improving spectral strategies for glycoconjugate structure determination. J. Org. Chem. 2004, 69, 1174–1179. [Google Scholar] [CrossRef] [PubMed]
- Costantino, V.; Fattorusso, E.; Imperatore, C.; Mangoni, A. Clathrosides and isoclathrosides, unique glycolipids from the Caribbean sponge Agelas clathrode. J. Nat. Prod. 2006, 69, 73–78. [Google Scholar] [CrossRef] [PubMed]
- Costantino, V.; Fattorusso, E.; Mangoni, A. Glycosyl ceramide composition of the marine sponge Agelas clathrodes. Liebigs Ann. 1995, 1995, 1471–1475. [Google Scholar] [CrossRef]
- Medeiros, A.M.; Lourenço, A.; Tavares, M.R.; Curto, M.J.M.; Feio, S.S.; Roseiro, J.C. (−)-Agelasidine A from Agelas clathrodes. Z. Naturforsch. 2006, 61, 472–476. [Google Scholar] [CrossRef]
- Morales, J.J.; Rodríguez, A.D. (−)-Agelasidine C and (−)-agelasidine D, two new hypotaurocyamine diterpenoids from the Caribbean Sea sponge Agelas clathrodes. J. Nat. Prod. 1992, 55, 389–394. [Google Scholar] [CrossRef] [PubMed]
- Cafieri, F.; Fattorusso, E.; Mangoni, A.; Taglialatela-Scafati, O. Clathramides, unique bromopyrrole alkaloids from the Caribbean sponge Agelas clathrodes. Tetrahedron 1996, 52, 13713–13720. [Google Scholar] [CrossRef]
- Morales, J.J.; Rodríguez, A.D. The structure of clathrodin, a novel alkaloid isolated from the Caribbean Sea sponge Agelas clathrodes. J. Nat. Prod. 1991, 54, 629–631. [Google Scholar] [CrossRef]
- Yang, F.; Ji, R.H.; Li, J.; Gan, J.H. N-containing metabolites from the marine sponge Agelas clathrodes. Nat. Prod. Commun. 2013, 8, 1713–1714. [Google Scholar] [PubMed]
- Cafieri, F.; Carnuccio, R.; Fattorusso, E.; Taglialatela-Scafati, O.; Vallefuoco, T. Anti-histaminic activity of bromopyrrole alkaloids isolated from Caribbean Agelas sponges. Bioorg. Med. Chem. Lett. 1997, 7, 2283–2288. [Google Scholar] [CrossRef]
- Cafieri, F.; Fattorusso, E.; Mangoni, A.; Taglialatela-Scafati, O. Dispacamides, anti-histamine alkaloids from Caribbean Agelas sponges. Tetrahedron Lett. 1996, 37, 3587–3590. [Google Scholar] [CrossRef]
- Assmann, M.; Köck, M. Bromosceptrin, an alkaloid from the marine sponge Agelas conifera. Z. Naturforsch. C 2002, 57, 157–160. [Google Scholar] [CrossRef] [PubMed]
- Shen, X.; Perry, T.L.; Dunbar, C.D.; Kelly-Borges, M.; Hamann, M.T. Debromosceptrin, an alkaloid from the Caribbean sponge Agelas conifera. J. Nat. Prod. 1998, 61, 1302–1303. [Google Scholar] [CrossRef] [PubMed]
- Keifer, P.A.; Schwartz, R.E.; Koker, M.E.S.; Hughes, R.G.; Rittschof, D.; Rinehart, K. Bioactive bromopyrrole metabolites from the Caribbean sponge Agelas conifera. J. Org. Chem. 1991, 56, 2965–2975. [Google Scholar] [CrossRef]
- Kobayashi, J.; Tsuda, M. Ageliferins, potent actomyosin ATPase activators from the Okinawan marine sponge Agelas sp. Tetrahedron 1990, 46, 5579–5586. [Google Scholar] [CrossRef]
- La Clair, J.J.; Rodríguez, A.D. Isolation of the β-galactosphingolipid coniferoside using a tumor cell proteome reverse affinity protocol. Bioorg. Med. Chem. 2011, 19, 6645–6653. [Google Scholar] [CrossRef] [PubMed]
- Costantino, V.; Fattorusso, E.; Mangoni, A. Glycosyl ceramides from the marine sponge Agelas conifera. Liebigs Ann. 1995, 2, 2133–2136. [Google Scholar] [CrossRef]
- D’Ambrosio, M.; Guerriero, A.; Debitus, C.; Ribes, O.; Pusset, J.; Leroy, S.; Pietra, F. Agelastatin A, a new skeleton cytotoxic alkaloid of the oroidin family. Isolation from the Axinellid sponge Agelas dendromorpha of the Coral Sea. J. Chem. Soc. Chem. Commun. 1993, 16, 1305–1306. [Google Scholar] [CrossRef]
- Tilvi, S.; Moriou, C.; Martin, M.T.; Gallard, J.F.; Sorres, J.; Patel, K.; Petek, S.; Debitus, C.; Ermolenko, L.; Al-Mourabit, A. Agelastatin E, agelastatin F, and benzosceptrin C from the marine sponge Agelas dendromorpha. J. Nat. Prod. 2010, 73, 720–723. [Google Scholar] [CrossRef] [PubMed]
- Piňa, I.C.; White, K.N.; Cabrera, G.; Rivero, E.; Crews, P. Bromopyrrole carboxamide biosynthetic products from the Caribbean sponge Agelas dispar. J. Nat. Prod. 2007, 70, 613–617. [Google Scholar] [CrossRef] [PubMed]
- Cafieri, F.; Fattorusso, E.; Taglialatela-scafati, O. Novel bromopyrrole alkaloids from the sponge Agelas dispar. J. Nat. Prod. 1998, 61, 122–125. [Google Scholar] [CrossRef] [PubMed]
- Costantino, V.; Fattorusso, E.; Mangoni, A.; DiRosa, M.; Ianaro, A.; Maffia, P. Immunomodulating glycosyl ceramides from the marine sponge Agehs dispar. Tetrahedron 1996, 52, 1573–1578. [Google Scholar] [CrossRef]
- Cafieri, F.; Fattorusso, E.; Taglialatela-scafati, O. Novel betaines from the marine sponge Agelas dispar. J. Nat. Prod. 1998, 61, 1171–1173. [Google Scholar] [CrossRef] [PubMed]
- Cullen, E.; Devlin, J.P. Agelasine: A novel quaternary 9-methyladenine from the sponge Agelas dispar. Can. J. Chem. 1975, 53, 1690–1691. [Google Scholar] [CrossRef]
- Ueoka, R.; Nakao, Y.; Kawatsu, S.; Yaegashi, J.; Matsumoto, Y.; Matsunaga, S.; Furihata, K.; Soest, R.W.M.; Fusetani, N. Gracilioethers A-C, antimalarial metabolites from the marine sponge Agelas gracilis. J. Org. Chem. 2009, 74, 4203–4207. [Google Scholar] [CrossRef] [PubMed]
- Hertiani, T.; Edrada-Ebel, R.; Ortlepp, S.; Soest, R.W.M.; Voogd, N.J.; Wray, V.; Hentschel, U.; Kozytska, S.; Müller, W.E.G.; Proksch, P. From anti-fouling to biofilm inhibition: New cytotoxic secondary metabolites from two Indonesian Agelas sponges. Bioorg. Med. Chem. 2010, 18, 1297–1311. [Google Scholar] [CrossRef] [PubMed]
- Cafieri, F.; Fattorusso, E.; Mangoni, A.; Taglialatela-scafati, O. A novel bromopyrrole alkaloid from the sponge Agelas longissima with antiserotonergic activity. Bioorg. Med. Chem. Lett. 1995, 5, 799–804. [Google Scholar] [CrossRef]
- Cafieri, F.; Fattorusso, E.; Mangoni, A.; Taglialatela-scafati, O. Longamide and 3,7-dimethylisoguanine, two novel alkaloids from the marine sponge Agelas longissima. Tetrahedron Lett. 1995, 36, 7893–7896. [Google Scholar] [CrossRef]
- Cafieri, F.; Fattorusso, E.; Mahajnah, Y.; Mangoni, A. Longiside, a novel digalactosylceramide from the Caribbean sponge Agelas longissima. Liebigs Ann. Chem. 1994, 2, 1187–1189. [Google Scholar] [CrossRef]
- Cafieri, F.; Fattorusso, E.; Mangoni, A.; Taglialatela-scafati, O. Glycosyl ceramide composition of the marine sponge Agelas longissima. Liebigs Ann. 1995, 1995, 1477–1481. [Google Scholar] [CrossRef]
- Hong, L.L.; Sun, J.B.; Yang, F.; Liu, M.; Tang, J.; Sun, F.; Jiao, W.H.; Wang, S.P.; Zhang, W.; Lin, H.W. New diterpene alkaloids from the marine sponge Agelas mauritiana. RSC Adv. 2017, 7, 23970–23976. [Google Scholar] [CrossRef]
- Yang, F.; Hamann, M.T.; Zou, Y.; Zhang, M.Y.; Gong, X.B.; Xiao, J.R.; Chen, W.S.; Lin, H.W. Antimicrobial metabolites from the Paracel Islands sponge Agelas mauritiana. J. Nat. Prod. 2012, 75, 774–778. [Google Scholar] [CrossRef] [PubMed]
- Fathi-Afshar, R.; Allen, T.M.; Krueger, C.A.; Cook, D.K.; Clanachan, A.S.; Vriend, R.; Baer, H.P. Some pharmacological activities of novel adenine-related compounds isolated from a marine sponge Agelas mauritiana. Can. J. Physiol. Pharmacol. 1989, 67, 276–281. [Google Scholar] [CrossRef] [PubMed]
- Nakatsu, T.; Faulkner, D.J.; Matsumoto, G.K.; Clardy, J. Structure of the diterpene portion of a novel base from the sponge Agelas mauritiana. Tetrahedron Lett. 1984, 25, 935–938. [Google Scholar] [CrossRef]
- Hattori, T.; Adachi, K.; Shizuri, Y. New agelasine compound from the marine sponge Agelas mauritiana as an antifouling substance against macroalgae. J. Nat. Prod. 1997, 60, 411–413. [Google Scholar] [CrossRef]
- Appenzeller, J.; Mihci, G.; Martin, M.T.; Gallard, J.F.; Menou, J.L.; Boury-Esnault, N.; Hooper, J.; Petek, S.; Chevalley, S.; Valentin, A.; et al. Agelasines J, K, and L from the Solomon Islands marine sponge Agelas cf. mauritiana. J. Nat. Prod. 2008, 71, 1451–1454. [Google Scholar] [CrossRef] [PubMed]
- Vergne, C.; Appenzeller, J.; Ratinaud, C.; Martin, M.T.; Debitus, C.; Zaparucha, A.; Al-Mourabit, A. Debromodispacamides B and D: Isolation from the marine sponge Agelas mauritiana and stereoselective synthesis using a biomimetic proline route. Org. Lett. 2008, 10, 493–496. [Google Scholar] [CrossRef] [PubMed]
- Fathi-Afshar, R.; Allen, T.M. Biologically active metabolites from Agelas mauritiana. Can. J. Chem. 1988, 66, 45–50. [Google Scholar] [CrossRef]
- Jiménez, C.; Crews, P. Mauritamide A and accompanying oroidin alkaloids from the sponge Agelas mauritiana. Tetrahedron Lett. 1994, 35, 1375–1378. [Google Scholar] [CrossRef]
- Tsukamoto, S.; Kato, H.; Hirota, H.; Fusetani, N. Mauritiamine, a new antifouling oroidin dimer from the marine sponge Agelas mauritiana. J. Nat. Prod. 1996, 59, 501–503. [Google Scholar] [CrossRef]
- Schroif-Grégoire, C.; Appenzeller, J.; Debitus, C.; Zaparucha, A.; Al-Mourabit, A. Debromokeramadine from the marine sponge Agelas cf. mauritiana: Isolation and short regioselective and flexible synthesis. Tetrahedron 2015, 71, 3609–3613. [Google Scholar]
- Appenzeller, J.; Tilvi, S.; Martin, M.T.; Gallard, J.F.; El-bitar, H.; Dau, E.T.H.; Debitus, C.; Laurent, D.; Moriou, C.; Al-Mourabit, A. Benzosceptrins A and B with a unique benzocyclobutane skeleton and nagelamide S and T from Pacific sponges. Org. Lett. 2009, 11, 4874–4877. [Google Scholar] [CrossRef] [PubMed]
- Natori, T.; Koezuka, Y.; Higa, T. Agelasphins, novel α-galactosylceramides from the marine sponge Agelas mauritianus. Tetrahedron Lett. 1993, 34, 5591–5592. [Google Scholar] [CrossRef]
- Natori, T.; Morita, M.; Akimoto, K.; Koezuka, Y. Agelasphins, novel antitumor and immunostimulatory cerebrosides from the marine sponge Agelas mauritianus. Tetrahedron 1994, 50, 2771–2784. [Google Scholar] [CrossRef]
- Tanaka, Y.; Katayama, T. The structures of isotedanin and isoclathriaxanthin in sea sponge Agelas mauritiana. Bull. Jpn. Soc. Sci. Fish. 1982, 48, 531–533. [Google Scholar] [CrossRef]
- Nakamura, H.; Wu, H.; Kobayashi, J.; Kobayashi, M.; Ohizumi, Y.; Hirata, Y. Agelasidines. Novel hypotaurocyamine derivatives from the Okinawan Sea sponge Agelas nakamurai Hoshino. J. Org. Chem. 1985, 50, 2494–2497. [Google Scholar] [CrossRef]
- Shoji, N.; Umeyama, A.; Teranaka, M.; Arihara, S. Four novel diterpenoids, including nakamurol A with a unique thelepogane skeleton, from the marine sponge Agelas nakamurai. J. Nat. Prod. 1996, 59, 448–450. [Google Scholar] [CrossRef]
- Abdjul, D.B.; Yamazaki, H.; Kanno, S.; Takahashi, O.; Kirikoshi, R.; Ukai, K.; Namikoshi, M. Structures and Biological evaluations of agelasines isolated from the Okinawan marine sponge Agelas nakamurai. J. Nat. Prod. 2015, 78, 1428–1433. [Google Scholar] [CrossRef] [PubMed]
- Wu, H.; Nakamura, H.; Kobayashi, J.; Ohizumi, Y. Agelasine-E and -F, novel monocyclic diterpenoids with 9-methyladeninium unit possessing inhibitory effects on Na, K-ATPase isolated from the Okinawan Sea sponge Agelas nakamurai Hoshino. Tetrahedron Lett. 1984, 25, 3719–3722. [Google Scholar] [CrossRef]
- Chu, M.J.; Tang, X.L.; Qin, G.F.; Sun, Y.T.; Li, L.; Voogd, N.J.; Li, P.L.; Li, G.Q. Pyrrole derivatives and diterpene alkaloids from the South China Sea sponge Agelas nakamurai. Chem. Biodivers. 2017, 14, e1600446. [Google Scholar] [CrossRef] [PubMed]
- Iwagawa, T.; Kaneko, M.; Okamura, H.; Nakatani, M.; Soest, R.W.M. New alkaloids from the Papua New Guinean sponge Agelas nakamurai. J. Nat. Prod. 1998, 61, 1310–1312. [Google Scholar] [CrossRef] [PubMed]
- Chu, M.J.; Tang, X.L.; Qin, G.F.; Voogd, N.J.; Li, P.L.; Li, G.Q. Three new non-brominated pyrrole alkaloids from the South China Sea sponge Agelas nakamurai. Chin. Chem. Lett. 2017, 28, 1210–1213. [Google Scholar] [CrossRef]
- Tanaka, N.; Kusama, T.; Kashiwada, Y.; Kobayashi, J. Bromopyrrole alkaloids from Okinawan marine sponges Agelas spp. Chem. Pharm. Bull. 2016, 64, 691–694. [Google Scholar] [CrossRef] [PubMed]
- Fujita, M.; Nakao, Y.; Matsunaga, S.; Seiki, M.; Itoh, Y.; Yamashita, J.; Soest, R.W.M.; Fusetani, N. Ageladine A: An antiangiogenic matrixmetalloproteinase inhibitor from the marine sponge Agelas nakamurai. J. Am. Chem. Soc. 2003, 125, 15700–15701. [Google Scholar] [CrossRef] [PubMed]
- Eder, C.; Proksch, P.; Wray, V.; Soest, R.W.M.; Ferdinandus, E.; Pattisina, L.A.; Sudarsono. New bromopyrrole alkaloids from the Indopacific sponge Agelas nakamurai. J. Nat. Prod. 1999, 62, 1295–1297. [Google Scholar] [CrossRef] [PubMed]
- Tsuda, M.; Uemoto, H.; Kobayashi, J. Slagenins A-C, novel bromopyrrole alkaloids from marine sponge Agelas nakamurai. Tetrahedron Lett. 1999, 40, 5709–5712. [Google Scholar] [CrossRef]
- Uemoto, H.; Tsuda, M.; Kobayashi, J. Mukanadins A−C, new bromopyrrole alkaloids from marine sponge Agelas nakamurai. J. Nat. Prod. 1999, 62, 1581–1583. [Google Scholar] [CrossRef] [PubMed]
- An, L.; Song, W.; Tang, X.; Voogd, N.J.; Wang, Q.; Chu, M.; Li, P.; Li, G. Alkaloids and polyketides from the South China Sea sponge Agelas aff. nemoechinata. RSC Adv. 2017, 7, 14323–14329. [Google Scholar] [CrossRef]
- Li, T.; Wang, B.; Voogd, N.J.; Tang, X.L.; Wang, Q.; Chu, M.J.; Li, P.L.; Li, G.Q. Two new diterpene alkaloids from the South China Sea sponge Agelas aff. nemoechinata. Chin. Chem. Lett. 2016, 27, 1048–1051. [Google Scholar] [CrossRef]
- Kobayashi, J.; Tsuda, M.; Ohizumi, Y. A potent actomyosin ATPase activator from the Okinawan marine sponge Agelas cf. nemoechinata. Experientia 1991, 47, 301–304. [Google Scholar] [CrossRef] [PubMed]
- König, G.M.; Wright, A.D. Agelorins A and B and 11-Epi-fistularin-3, three new antibacterial fistularin-3 derivatives from the tropical marine sponge Agelas oroides. Heterocycles 1993, 36, 1351–1358. [Google Scholar]
- König, G.M.; Wright, A.D. Two new naturally occurring pyrrole derivatives from the tropical marine sponge Agelas oroides. Nat. Prod. Lett. 1994, 5, 141–146. [Google Scholar] [CrossRef]
- König, G.M.; Wright, A.D. An unprecedented compound from the dichloromethane solubles of the tropical marine sponge Agelas oroides. Planta Med. 1998, 64, 88–89. [Google Scholar] [CrossRef] [PubMed]
- Fattorusso, E.; Taglialatela-Scafati, O. Two novel pyrrole-imidazole alkaloids from the Mediterranean sponge Agelas oroides. Tetrahedron Lett. 2000, 41, 9917–9922. [Google Scholar] [CrossRef]
- Sauleau, P.; Moriou, C.; Al Mourabit, A. Metabolomics approach to chemical diversity of the Mediterranean marine sponge Agelas oroides. Nat. Prod. Res. 2017, 31, 1625–1632. [Google Scholar] [CrossRef] [PubMed]
- Forenza, S.; Minale, L.; Riccio, R. New bromo-pyrrole derivatives from the sponge Agelas oroides. Chem. Commun. 1971, 18, 1129–1130. [Google Scholar] [CrossRef]
- Giacomo, G.D.; Dini, A.; Falco, B.; Marino, A.; Sica, D. Sterols from the sponge Agelas oroides. Comp. Biochem. Physiol. 1983, 74B, 499–501. [Google Scholar]
- Tasdemir, D.; Topaloglu, B.; Perozzo, R.; Brun, R.; O’Neill, R.; Carballeira, N.M.; Zhang, X.; Tonge, P.J.; Linden, A.; Rüedi, P. Marine natural products from the Turkish sponge Agelas oroides that inhibit the enoyl reductases from Plasmodium falciparum, Mycobacterium tuberculosis and Escherichia coli. Bioorg. Med. Chem. 2007, 15, 6834–6845. [Google Scholar] [CrossRef] [PubMed]
- Hu, J.F.; Kelly, M.; Hamann, M.T. 26-Nor-25-isopropyl-ergosta-5,7,22E-trien-3β-ol: A new C29 sterol from the sponge Agelas sceptrum from Jamaica. Steroids 2002, 67, 743–747. [Google Scholar] [CrossRef]
- Walker, R.P.; Faulkner, D.J. Sceptrin, an antimicrobial agent from the sponge Agelas sceptrum. J. Am. Chem. Soc. 1981, 103, 6772–6773. [Google Scholar] [CrossRef]
- Muûoz, J.; Köck, M. Hybrid pyrrole-imidazole alkaloids from the sponge Agelas sceptrum. J. Nat. Prod. 2016, 79, 434–437. [Google Scholar]
- Duque, C.; Castillo, G.; Buitrago, S.; Zea, O.O.S. Three monohydroxyl sterols from Agelas schmidti (Wilson, 1902). Rev. Colomb. Quim. 1994, 23, 63–72. [Google Scholar]
- Buchecker, R.; Eugster, C.H.; Litchfield, C. Carotenoids from marine sponges (Porifera): Isolation and structure of the seven main carotenoids from Agelas schmidtii. Helv. Chim. Acta 1977, 60, 2780–2788. [Google Scholar] [CrossRef]
- Assmann, M.; Zea, S.; Köck, M. Sventrin, a new bromopyrrole alkaloid from the Caribbean sponge Agelas sventres. J. Nat. Prod. 2001, 64, 1593–1595. [Google Scholar] [CrossRef] [PubMed]
- Assmann, M.; Lichte, E.; Soest, R.W.M.; Köck, M. New bromopyrrole alkaloid from the marine sponge Agelas wiedenmayeri. Org. Lett. 1999, 1, 455–457. [Google Scholar] [CrossRef]
- Fedoreev, S.A.; Ilyin, S.G.; Utkina, N.K.; Maxtmov, O.B.; Reshetnyak, M.V. The structure of dibromoagelaspongin—A novel bromine-containing guanidine derivative from the marine sponge Agelas sp. Tetrahedron 1989, 45, 3487–3492. [Google Scholar] [CrossRef]
- Kusama, T.; Tanaka, N.; Sakai, K.; Gonoi, T.; Fromont, J.; Kashiwada, Y.; Kobayashi, J. Agelamadins A and B, dimeric bromopyrrole alkaloids from a marine sponge Agelas sp. Org. Lett. 2014, 16, 3916–3918. [Google Scholar] [CrossRef] [PubMed]
- Kusama, T.; Tanaka, N.; Sakai, K.; Gonoi, T.; Fromont, J.; Kashiwada, Y.; Kobayashi, J. Agelamadins C–E, bromopyrrole alkaloids comprising oroidin and 3-hydroxykynurenine from a marine sponge Agelas sp. Org. Lett. 2014, 16, 5176–5179. [Google Scholar] [CrossRef] [PubMed]
- Kusama, T.; Tanaka, N.; Kashiwada, Y.; Kobayashi, J. Agelamadin F and tauroacidin E, bromopyrrole alkaloids from an Okinawan marine sponge Agelas sp. Tetrahedron Lett. 2015, 56, 4502–4504. [Google Scholar] [CrossRef]
- Endo, T.; Tsuda, M.; Okada, T.; Mitsuhashi, S.; Shima, H.; Kikuchi, K.; Mikami, Y.; Fromont, J.; Kobayashi, J. Nagelamides A–H, new dimeric bromopyrrole alkaloids from marine sponge Agelas Species. J. Nat. Prod. 2004, 67, 1262–1267. [Google Scholar] [CrossRef] [PubMed]
- Yasuda, T.; Araki, A.; Kubota, T.; Ito, J.; Mikami, Y.; Fromont, J.; Kobayashi, J. Bromopyrrole alkaloids from marine sponges of the genus Agelas. J. Nat. Prod. 2009, 72, 488–491. [Google Scholar] [CrossRef] [PubMed]
- Araki, A.; Kubota, T.; Tsuda, M.; Mikami, Y.; Fromont, J.; Kobayashi, J. Nagelamides K and L, dimeric bromopyrrole alkaloids from sponge Agelas Species. Org. Lett. 2008, 10, 2099–2102. [Google Scholar] [CrossRef] [PubMed]
- Kubota, T.; Araki, A.; Ito, J.; Mikami, Y.; Fromont, J.; Kobayashi, J. Nagelamides M and N, new bromopyrrole alkaloids from sponge Agelas species. Tetrahedron 2008, 64, 10810–10813. [Google Scholar] [CrossRef]
- Araki, A.; Kubota, T.; Aoyama, K.; Mikami, Y.; Fromont, J.; Kobayashi, J. Nagelamides Q and R, novel dimeric bromopyrrole alkaloids from sponges Agelas sp. Org. Lett. 2009, 11, 1785–1788. [Google Scholar] [CrossRef] [PubMed]
- Tanaka, N.; Kusama, T.; Takahashi-Nakaguchi, A.; Gonoi, T.; Fromont, J.; Kobayashi, J. Nagelamides U–W, bromopyrrole alkaloids from a marine sponge Agelas sp. Tetrahedron Lett. 2013, 54, 3794–3796. [Google Scholar] [CrossRef]
- Tanaka, N.; Kusama, T.; Takahashi-Nakaguchi, A.; Gonoi, T.; Fromont, J.; Kobayashi, J. Nagelamides X–Z, dimeric bromopyrrole alkaloids from a marine sponge Agelas sp. Org. Lett. 2013, 15, 3262–3265. [Google Scholar] [CrossRef] [PubMed]
- Kusama, T.; Tanaka, N.; Takahashi-Nakaguchi, A.; Gonoi, T.; Fromont, J.; Kobayashi, J. Bromopyrrole alkaloids from a marine sponge Agelas sp. Chem. Pharm. Bull. 2014, 62, 499–503. [Google Scholar] [CrossRef] [PubMed]
- Nakamura, K.; Kusama, T.; Tanaka, N.; Sakai, K.; Gonoi, T.; Fromont, J.; Kobayashi, J. 2-Debromonagelamide U, 2-debromomukanadin G, and 2-debromonagelamide P from marine sponge Agelas sp. Heterocycles 2015, 90, 425–431. [Google Scholar]
- Nakamura, H.; Ohizumi, Y.; Kobayashi, J. Keramadine, a novel antagonist of serotonergic receptors isolated from the Okinawan Sea sponge Agelas sp. Tetrahedron Lett. 1984, 25, 2475–2478. [Google Scholar] [CrossRef]
- Ishida, K.; Ishibashi, M.; Shigemori, H.; Sasaki, T.; Kobayashi, J. Agelasine G, a new antileukemic alkaloid from the Okinawan marine sponge Agelas sp. Chem. Pharm. Bull. 1992, 40, 766–767. [Google Scholar] [CrossRef] [PubMed]
- Nakamura, H.; Wu, H.; Ohizumi, Y.; Hirata, Y. Agelasine-A, -B, -C and -D, novel bicyclic diterpenoids with a 9-methyladeninium unit possessing inhibitory effects on Na, K-ATPase from the Okinawa Sea sponge Agelas sp. Tetrahedron Lett. 1984, 25, 2989–2992. [Google Scholar] [CrossRef]
- Kubota, T.; Iwai, T.; Takahashi-Nakaguchi, A.; Fromont, J.; Gonoi, T.; Kobayashi, J. Agelasines O–U, new diterpene alkaloids with a 9-N-methyladenine unit from a marine sponge Agelas sp. Tetrahedron 2012, 68, 9738–9744. [Google Scholar] [CrossRef]
- Fu, X.; Schmiz, F.J.; Tanner, R.S.; Kelly-Borges, M. Agelasines H and I, 9-methyladenine-containing diterpenoids from an Agelas sponge. J. Nat. Prod. 1998, 61, 548–550. [Google Scholar] [CrossRef] [PubMed]
- Calcul, L.; Tenney, K.; Ratnam, J.; Mckerrow, J.H.; Crews, P. Structural variations to the 9-N-methyladeninium diterpenoid hybrid commonly isolated from Agelas sponges. Aust. J. Chem. 2010, 63, 915–921. [Google Scholar] [CrossRef]
- Capon, R.J.; Faulkner, D.J. Antimicrobial metabolites from a Pacific sponge, Agelas sp. J. Am. Chem. Soc. 1984, 106, 1819–1822. [Google Scholar] [CrossRef]
- Tsuda, M.; Yasuda, T.; Fukushi, E.; Kawabata, J.; Sekiguchi, M.; Fromont, J.; Kobayashi, J. Agesamides A and B, bromopyrrole alkaloids from sponge Agelas Species: Application of DOSY for chemical screening of new metabolites. Org. Lett. 2006, 8, 4235–4238. [Google Scholar] [CrossRef] [PubMed]
- Kubota, T.; Araki, A.; Yasuda, T.; Tsuda, M.; Fromont, J.; Aoyama, K.; Mikami, Y.; Wälchli, M.R.; Kobayashi, J. Benzosceptrin C, a new dimeric bromopyrrole alkaloid from sponge Agelas sp. Tetrahedron Lett. 2009, 50, 7268–7270. [Google Scholar] [CrossRef]
- Araki, A.; Tsuda, M.; Kubota, T.; Mikami, Y.; Fromont, J.; Kobayashi, J. Nagelamide J, a novel dimeric bromopyrrole alkaloid from a sponge Agelas species. Org. Lett. 2007, 9, 2369–2371. [Google Scholar] [CrossRef] [PubMed]
- Iwai, T.; Kubota, T.; Fromont, J.; Kobayashi, J. Nagelamide I and 2,2′-didebromonagelamide B, new dimeric bromopyrrole-imidazole alkaloids from a marine sponge Agelas sp. Chem. Pharm. Bull. 2014, 62, 213–216. [Google Scholar] [CrossRef] [PubMed]
- Zhu, Y.; Wang, Y.; Gu, B.B.; Yang, F.; Jiao, W.H.; Hu, G.H.; Yu, H.B.; Han, B.N.; Zhang, W.; Shen, Y.; Lin, H.W. Antifungal bromopyrrole alkaloids from the South China Sea sponge Agelas sp. Tetrahedron 2016, 72, 2964–2971. [Google Scholar] [CrossRef]
- Sun, Y.T.; Lin, B.; Li, S.G.; Liu, M.; Zhou, Y.J.; Xu, Y.; Hua, H.M.; Lin, H.W. New bromopyrrole alkaloids from the marine sponge Agelas sp. Tetrahedron 2017, 73, 2786–2792. [Google Scholar] [CrossRef]
- Assmann, M.; Köck, M. Monobromoisophakellin, a new bromopyrrole alkaloid from the Caribbean sponge Agelas sp. Z. Naturforsch. 2002, 57, 153–156. [Google Scholar] [CrossRef]
- Gautschi, J.T.; Whitman, S.; Holman, T.R.; Crews, P. An analysis of phakellin and oroidin structures stimulated by further study of an Agelas sponge. J. Nat. Prod. 2004, 67, 1256–1261. [Google Scholar] [CrossRef] [PubMed]
- Abdjul, D.B.; Yamazaki, H.; Kanno, S.I.; Tomizawa, A.; Rotinsulu, H.; Wewengkang, D.S.; Sumilat, D.A.; Ukai, K.; Kapojos, M.M.; Namikoshi, M. An anti-mycobacterial bisfunctionalized sphingolipid and new bromopyrrole alkaloid from the Indonesian marine sponge Agelas sp. J. Nat. Med. 2017, 71, 531–536. [Google Scholar] [CrossRef] [PubMed]
- Tada, H.; Tozyo, T. Two bromopyrroles from a marine sponge Agelas sp. Chem. Lett. 1988, 117, 803–804. [Google Scholar] [CrossRef]
- Carballeira, N.M.; Emiliano, A. Novel brominated phospholipid fatty acids from the Caribbean sponge Agelas sp. Lipids 1993, 28, 763–766. [Google Scholar] [CrossRef] [PubMed]
- Nakamura, H.; Wu, H.; Kobayashi, J.; Ohizumi, Y. Agelasidine-A, a novel sesquiterpene possessing antispasmodic activity from the Okinawa Sea sponge Agelas sp. Tetrahedron Lett. 1983, 24, 4105–4108. [Google Scholar] [CrossRef]
- Pettit, G.R.; Xu, J.P.; Gingrich, D.E.; Williams, M.D.; Doubek, D.L.; Chapuis, J.C.; Schmidt, J.M. Isolation and structure of agelagalastatin from the Papua New Guinea marine sponge Agelas sp. Chem. Commun. 1999, 30, 915–916. [Google Scholar] [CrossRef]
- Zhang, H.W.; Zhao, Z.P.; Wang, H. Cytotoxic natural products from marine sponge-derived microorganisms. Mar. Drugs 2017, 15, 68. [Google Scholar] [CrossRef] [PubMed]






































| Organism | Locality | Secondary Metabolite | References | 
|---|---|---|---|
| Agelas axifera | the Republic of Palau | axistatins 1 (1), 2 (2), 3 (3) | [4] | 
| A. cerebrum | Caribbean | 5-bromopyrrole-2-carboxylic acid (4), 4-bromopyrrole-2-carboxylic acid (5), 3,4-bromopyrrole-2-carboxylic acid (6) | [6] | 
| A. ceylonica | the Mandapam coast | hanishin (7) | [7] | 
| A. citrina | Caribbean | (−)-agelasidine E (8), (−)-agelasidine F (9), agelasine N (10), citrinamines A–D (11–14), N-methylagelongine (15) | [9,10] | 
| A. clathrodes | Grand Bahamas Island | clarhamnoside (16) | [11] | 
| Caribbean | clathrosides A–C (17–19), isoclathrosides A–C (20–22), glycosphingolipid (23), (−)-agelasidine A (24), (−)-agelasidine C (25), (−)-agelasidine D (26), clathramides A (27) and B (28), clathrodin (29), dispacamides A–D (31–34) | [12,13,14,15,16,17,19,20] | |
| South China Sea | 3,3-bis(uracil-l-yl)-propan-1-aminium (30) | [18] | |
| A. conifera | Florida Keys | bromosceptrin (35) | [21] | 
| Belize | debromosceptrin (36) | [22] | |
| Caribbean | bromopyrroles (37–43), glycosphingolipid (45) | [23,24,26] | |
| Puerto Rico | coniferoside (44) | [25] | |
| A. dendromorpha | the Coral Sea | agelastatin A (46) | [27] | 
| the New Caledonia | agelastatins E (47) and F (48) | [28] | |
| A. dispar | Caribbean | dispyrin (49), dibromoagelaspongin methyl ether (50), longamide B (51), clathramides C (52) and D (53), aminozooanemonin (55), pyridinebetaines A (56) and B (57) | [29,30,32] | 
| San Salvador Island | triglycosylceramide (54) | [31] | |
| agelasine (58) | [33] | ||
| A. gracilis | South Japan | gracilioethers A–C (59–61) | [34] | 
| A. linnaei | Indonesia | brominated pyrrole derivatives (62–72) | [35] | 
| A. longissima | Caribbean | agelongine (73), 3,7-dimethylisoguanine (74), longamide (75), glycosphingolipids (76 and 77) | [36,37,38,39] | 
| A. mauritiana | South China Sea | (−)-80-oxo-agelasine B (78), (+)-agelasine B (79), (+)-8’-oxo-agelasine C (80), agelasine V (81), (+)-8’-oxo-agelasine E (82), 8’-oxo-agelasine D (83), ageloxime B (84), (+)-2-oxo-agelasidine C (85), 4-bromo-N-(butoxymethyl)-1H-pyrrole-2-carboxamide (95) | [40,41] | 
| Enewetak | agelasimine A (86), agelasimine B (87), purino-diterpene (88), 5-debromomidpacamide (96) | [42,43,47] | |
| Pohnpei | epi-agelasine C (89) | [44] | |
| Solomon Islands | agelasines J (90), K (91) and L (92), debromodispacamides B (93) and D (94) | [45,46] | |
| Fiji | mauritamide A (97) | [48] | |
| Hachijo-jima Island | mauritiamine (98) | [49] | |
| the Pacific sea | ebromokeramadine (99), benzosceptrin A (100), nagelamides S (101) and T (102) | [50,51] | |
| Okinawa | agelasphins (103–110) | [52,53] | |
| Kagoshima | isotedanin (111), isoclathriaxanthin (112) | [54] | |
| A. nakamurai | Okinawa | agelasidines B (113) and C (114), nakamurols A–D (115–118), 2-oxoagelasiines A (119) and F (120), 10-hydro-9-hydroxyagelasine F (121), agelasines E (122) and F (123), slagenins A–C (140–142), mukanadins A–C (143–145) | [55,56,57,58,65,66] | 
| Indonesia | (−)-agelasine D (124), (−)-ageloxime D (125) | [35] | |
| South China Sea | isoagelasine C (126), isoagelasidine B (127) | [59] | |
| Papua New Guinea | diterpene (128), bromopyrrole alkaloids (134 and 135) | [60] | |
| South China Sea | nakamurines A–E (129–133) | [59,61] | |
| Japan | ageladine A (136) | [63] | |
| Indonesia | longamide C (137) | [35] | |
| Indopacific | nakamuric acid (138) and its methyl ester (139) | [64] | |
| A. nemoechinata | South China Sea | nemoechines A–D (146–149), nemoechioxide A (150), nemoechines F (151) and G (152) | [67,68] | 
| Okinawa | oxysceptrin (153) | [69] | |
| A. oroides | the Great Barrier Reef | agelorin A (154), agelorin B (155), 11-epi-fistularin-3 (156), pyrrole-2-carboxamide (157), N-formyl-pymole-2-carboxamid (158), 2,4,6,6-tetramethyl-3(6H)-pyridone (159) | [70,71,72] | 
| Mediterranea Sea | cyclooroidin (160) and taurodispacamide A (161), monobromoagelaspongin (162), (−)-equinobetaine B (163) | [73,74] | |
| Naples | bromopyrroles (164–168), sterols (169–183) | [75,76] | |
| the Northern Aegean Sea | 3-amino-1-(2-aminoimidazoyl)-prop-1-ene (184), taurine (185), fatty acid mixtures (186–189) | [77] | |
| A. sceptrum | Jamaica | 26-nor-25-isopropyl-ergosta-5,7,22 E-trien-3β-ol (190) | [78] | 
| Belize | sceptrin (191) | [79] | |
| Bahamas | 15′-oxoadenosceptrin (192), decarboxyagelamadin C (193) | [80] | |
| A. schmidtii | Caribbean | monohydroxyl sterols (194–196) | [81] | 
| West Indies | α-carotene (197), isorenieratene (198), trikentriorhodin (199) and zeaxanthin (200) | [82] | |
| A. sventres | Caribbean | sventrin (201) | [83] | 
| A. wiedenmayeri | Florida Keys | 4-bromopyrrole-2-carboxyhomoarginine (202) | [84] | 
| Unclassified Agelas sp. | No record | dibromoagelaspongin hydrochloride (203) | [85] | 
| Okinawa | agelamadins A (204) and B (205), agelamadins C–F (206–209), tauroacidin E (210), nagelamides A–H (211–218), nagelamides K–O (219–223), nagelamides Q (224) and R (225), nagelamides U–Z (226–231), 2-bromokeramadine (232), 2-bromo-9,10-dihydrokeramadine (233), tauroacidins C (234) and D (235), mukanadin G (236), 2-debromonagelamides U (237) and G (238), 2-debromonagelamide P (239), keramadine (240), agelasine G (241), agelasines A–D (242–245), agelasines O–U (246–252), agesamides A (261) and B (262), benzosceptrin C (263), nagelamides J (264) and P (265), mukanadins E (266) and F (267), nagelamide I (268), 2,2’-didebromonagelamide B (269), agelasidine A (290) | [86,87,88,89,90,91,92,93,94,95,96,97,98,99,100,101,105,106,107,108,116] | |
| Yap Island | agelasines H (253) and I (254) | [102] | |
| Papua New Guinea | agelasine M (255), 2-oxo-agelasine B (256), gelasines A (257) and B (258), (−)-7-N-methyldibromophakellin (281), (−)-7-N-methylmonobromophakellin (282), agelagalastatin (291) | [103,112,117] | |
| Palau Island | agelines A (259) and B (260) | [104] | |
| South China Sea | longamides D–F (270–272), 3-oxethyl-4-[1-(4,5-dibromopyrrole-2-yl)-formamido]-butanoic acid methyl ester (273), 2-oxethyl-3-[1-(4,5-dibromopyrrole-2-yl)-formamido]-methyl propionate (274), 9-oxethyl-mukanadin F (275), hexazosceptrin (276), agelestes A (277) and B (278) and (9S,10R,9’S,10’R)-nakamuric acid (279) | [109,110] | |
| Caribbean Sea | monobromoisophakellin (280), brominated phospholipid fatty acids (286–289) | [111,115] | |
| Indonesia | 5-bromophakelline (283) | [113] | |
| No record | 2,3-dibromopyrrole (284) and 2,3-dibromo-5-methoxymethylpyrrole (285) | [114] | 
© 2017 by the authors. Licensee MDPI, Basel, Switzerland. This article is an open access article distributed under the terms and conditions of the Creative Commons Attribution (CC BY) license (http://creativecommons.org/licenses/by/4.0/).
Share and Cite
Zhang, H.; Dong, M.; Chen, J.; Wang, H.; Tenney, K.; Crews, P. Bioactive Secondary Metabolites from the Marine Sponge Genus Agelas. Mar. Drugs 2017, 15, 351. https://doi.org/10.3390/md15110351
Zhang H, Dong M, Chen J, Wang H, Tenney K, Crews P. Bioactive Secondary Metabolites from the Marine Sponge Genus Agelas. Marine Drugs. 2017; 15(11):351. https://doi.org/10.3390/md15110351
Chicago/Turabian StyleZhang, Huawei, Menglian Dong, Jianwei Chen, Hong Wang, Karen Tenney, and Phillip Crews. 2017. "Bioactive Secondary Metabolites from the Marine Sponge Genus Agelas" Marine Drugs 15, no. 11: 351. https://doi.org/10.3390/md15110351
APA StyleZhang, H., Dong, M., Chen, J., Wang, H., Tenney, K., & Crews, P. (2017). Bioactive Secondary Metabolites from the Marine Sponge Genus Agelas. Marine Drugs, 15(11), 351. https://doi.org/10.3390/md15110351
 
        



 
       