Prognostic Impact and Clinical Features of Spread through Air Spaces in Operated Lung Cancer: Real-World Analysis
Abstract
1. Introduction
2. Materials and Methods
2.1. Study Population
2.2. Data Collection
2.3. Ethical Statement of Ethical Approval for the Study
2.4. Statistical Analysis
3. Results
3.1. Patient Characteristics
3.2. Association between Clinical Factors and STAS
3.3. Survival Outcomes
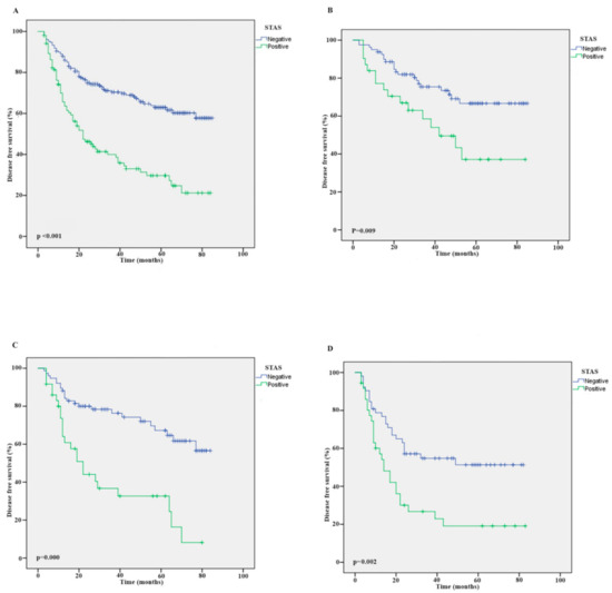
3.3.1. Relationship between DFS and STAS
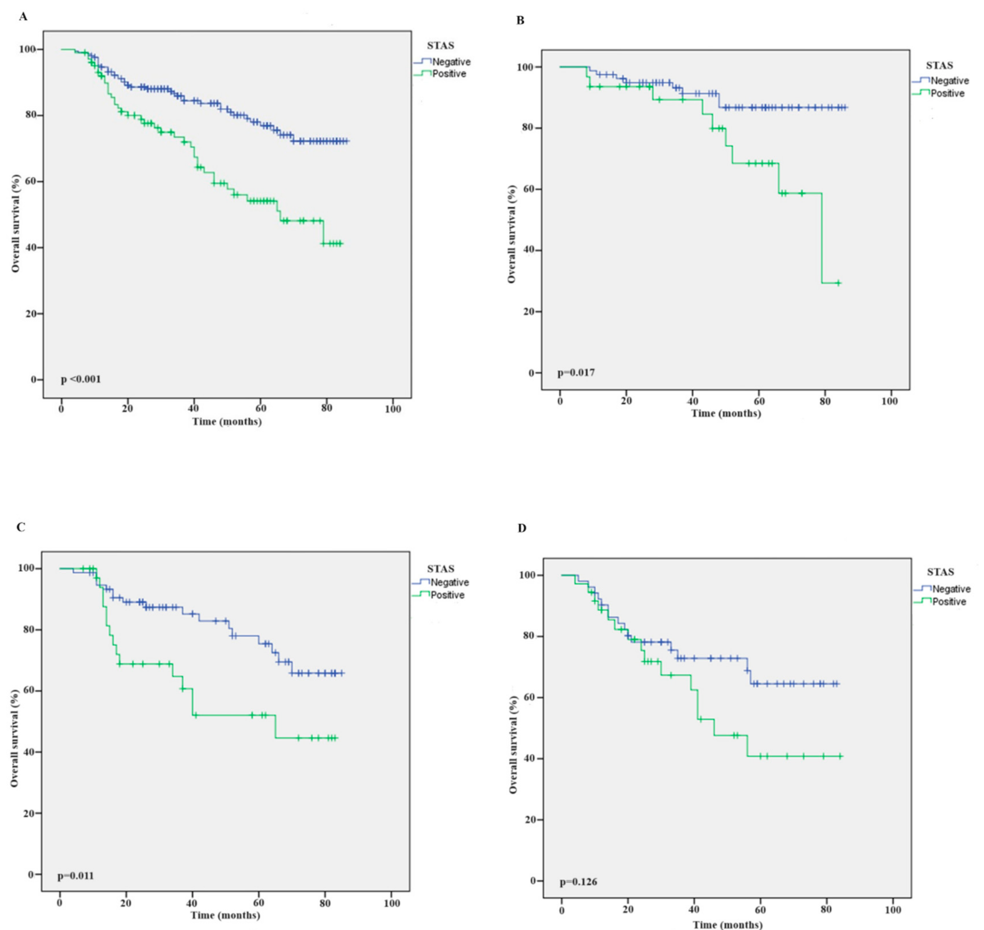
3.3.2. Relationship between OS and STAS
4. Discussion
5. Conclusions
Author Contributions
Funding
Institutional Review Board Statement
Informed Consent Statement
Data Availability Statement
Conflicts of Interest
References
- Siegel, R.L.; Miller, K.D.; Wagle, N.S.; Jemal, A. Cancer statistics, 2023. CA Cancer J. Clin. 2023, 73, 17–48. [Google Scholar] [CrossRef]
- Sung, H.; Ferlay, J.; Siegel, R.L.; Laversanne, M.; Soerjomataram, I.; Jemal, A.; Bray, F. Global Cancer Statistics 2020: GLOBOCAN Estimates of Incidence and Mortality Worldwide for 36 Cancers in 185 Countries. CA Cancer J. Clin. 2021, 71, 209–249. [Google Scholar] [CrossRef]
- WHO Editorial Board. Thoracic Tumours. In WHO Classification of Tumours, 5th ed.; IARC Publications: Lyon, France, 2021; Volume 5. [Google Scholar]
- Goldstraw, P.; Chansky, K.; Crowley, J.; Rami-Porta, R.; Asamura, H.; Eberhardt, W.E.; Nicholson, A.G.; Groome, P.; Mitchell, A.; Bolejack, V.; et al. The IASLC Lung Cancer Staging Project: Proposals for Revision of the TNM Stage Groupings in the Forthcoming (Eighth) Edition of the TNM Classification for Lung Cancer. J. Thorac. Oncol. 2016, 11, 39–51. [Google Scholar] [CrossRef]
- Lu, T.; Yang, X.; Huang, Y.; Zhao, M.; Li, M.; Ma, K.; Yin, J.; Zhan, C.; Wang, Q. Trends in the incidence, treatment, and survival of patients with lung cancer in the last four decades. Cancer Manag. Res. 2019, 11, 943–953. [Google Scholar] [CrossRef]
- Herbst, R.S.; Morgensztern, D.; Boshoff, C. The biology and management of non-small cell lung cancer. Nature 2018, 553, 446–454. [Google Scholar] [CrossRef] [PubMed]
- Pisters, K.; Kris, M.G.; Gaspar, L.E.; Ismaila, N. Adjuvant Systemic Therapy and Adjuvant Radiation Therapy for Stage I-IIIA Completely Resected Non-Small-Cell Lung Cancer: ASCO Guideline Rapid Recommendation Update. J. Clin. Oncol. 2022, 40, 1127–1129. [Google Scholar] [CrossRef] [PubMed]
- Pignon, J.P.; Tribodet, H.; Scagliotti, G.V.; Douillard, J.Y.; Shepherd, F.A.; Stephens, R.J.; Dunant, A.; Torri, V.; Rosell, R.; Seymour, L.; et al. Lung adjuvant cisplatin evaluation: A pooled analysis by the LACE Collaborative Group. J. Clin. Oncol. 2008, 26, 3552–3559. [Google Scholar] [CrossRef] [PubMed]
- Uramoto, H.; Tanaka, F. Recurrence after surgery in patients with NSCLC. Transl. Lung Cancer Res. 2014, 3, 242–249. [Google Scholar] [CrossRef] [PubMed]
- National Comprehensive Cancer Network (NCCN). NCCN Clinical Practice Guidelines in Oncology: Non-Small Cell Lung Cancer; Version 2.2024; NCCN: Plymouth, PA, USA, 2024; Available online: https://www.nccn.org/professionals/physician_gls/pdf/nscl.pdf (accessed on 9 February 2024).
- Rahman, M.L.; Shu, X.O.; Jones, D.P.; Hu, W.; Ji, B.T.; Blechter, B.; Wong, J.Y.Y.; Cai, Q.; Yang, G.; Gao, Y.T.; et al. A nested case-control study of untargeted plasma metabolomics and lung cancer among never-smoking women within the prospective Shanghai Women’s Health Study. Int. J. Cancer 2024, 155, 508–518. [Google Scholar] [CrossRef]
- Guo, J.; Zhao, W.; Xiao, X.; Liu, S.; Liu, L.; Zhang, L.; Li, L.; Li, Z.; Li, Z.; Xu, M.; et al. Reprogramming exosomes for immunity-remodeled photodynamic therapy against non-small cell lung cancer. Bioact. Mater. 2024, 39, 206–223. [Google Scholar] [CrossRef]
- Murnaghan, S.; Scruton, S.; Urquhart, R. Psychosocial interventions that target adult cancer survivors’ reintegration into daily life after active cancer treatment: A scoping review. JBI Evid. Synth. 2024, 22, 607–656. [Google Scholar] [CrossRef]
- Ullah, A.; Razzaq, A.; Alfaifi, M.Y.; Elbehairi, S.E.I.; Menaa, F.; Ullah, N.; Shehzadi, S.; Nawaz, T.; Iqbal, H. Sanguinarine Attenuates Lung Cancer Progression via Oxidative Stress-induced Cell Apoptosis. Curr. Mol. Pharmacol. 2024, 17, e18761429269383. [Google Scholar] [CrossRef]
- Ullah, A.; Shehzadi, S.; Ullah, N.; Nawaz, T.; Iqbal, H.; Aziz, T. Hypoxia A Typical Target in Human Lung Cancer Therapy. Curr. Protein Pept. Sci. 2024, 25, 376–385. [Google Scholar] [CrossRef]
- Takahara, T.; Satou, A.; Tsuyuki, T.; Ito, T.; Taniguchi, N.; Yamamoto, Y.; Ohashi, A.; Takahashi, E.; Kadota, K.; Tsuzuki, T. Histology of Bronchiolar Tumor Spread Through Air Spaces. Am. J. Surg. Pathol. 2024, 48, 1052–1059. [Google Scholar] [CrossRef]
- Wang, Y.; Li, C.; Wang, Z.; Wu, R.; Li, H.; Meng, Y.; Liu, H.; Song, Y. Established the prediction model of early-stage non-small cell lung cancer spread through air spaces (STAS) by radiomics and genomics features. Asia Pac. J. Clin. Oncol. 2024. [Google Scholar] [CrossRef]
- Han, Y.B.; Kim, H.; Mino-Kenudson, M.; Cho, S.; Kwon, H.J.; Lee, K.R.; Kwon, S.; Lee, J.; Kim, K.; Jheon, S.; et al. Correction: Tumor spread through air spaces (STAS): Prognostic significance of grading in non-small cell lung cancer. Mod. Pathol. 2021, 34, 1038. [Google Scholar] [CrossRef]
- Lu, S.; Tan, K.S.; Kadota, K.; Eguchi, T.; Bains, S.; Rekhtman, N.; Adusumilli, P.S.; Travis, W.D. Spread through Air Spaces (STAS) Is an Independent Predictor of Recurrence and Lung Cancer-Specific Death in Squamous Cell Carcinoma. J. Thorac. Oncol. 2017, 12, 223–234. [Google Scholar] [CrossRef]
- Eguchi, T.; Kameda, K.; Lu, S.; Bott, M.J.; Tan, K.S.; Montecalvo, J.; Chang, J.C.; Rekhtman, N.; Jones, D.R.; Travis, W.D.; et al. Lobectomy Is Associated with Better Outcomes than Sublobar Resection in Spread through Air Spaces (STAS)-Positive T1 Lung Adenocarcinoma: A Propensity Score-Matched Analysis. J. Thorac. Oncol. 2019, 14, 87–98. [Google Scholar] [CrossRef]
- Warth, A. Spread through air spaces (STAS): Prognostic impact of a semi-quantitative assessment. J. Thorac. Dis. 2017, 9, 1792–1795. [Google Scholar] [CrossRef] [PubMed][Green Version]
- Aly, R.G.; Rekhtman, N.; Li, X.; Takahashi, Y.; Eguchi, T.; Tan, K.S.; Rudin, C.M.; Adusumilli, P.S.; Travis, W.D. Spread Through Air Spaces (STAS) Is Prognostic in Atypical Carcinoid, Large Cell Neuroendocrine Carcinoma, and Small Cell Carcinoma of the Lung. J. Thorac. Oncol. 2019, 14, 1583–1593. [Google Scholar] [CrossRef] [PubMed]
- Warth, A.; Muley, T.; Kossakowski, C.A.; Goeppert, B.; Schirmacher, P.; Dienemann, H.; Weichert, W. Prognostic Impact of Intra-alveolar Tumor Spread in Pulmonary Adenocarcinoma. Am. J. Surg. Pathol. 2015, 39, 793–801. [Google Scholar] [CrossRef]
- Walts, A.E.; Marchevsky, A.M. Current Evidence Does Not Warrant Frozen Section Evaluation for the Presence of Tumor Spread Through Alveolar Spaces. Arch. Pathol. Lab. Med. 2018, 142, 59–63. [Google Scholar] [CrossRef]
- Travis, W.D.; Brambilla, E.; Nicholson, A.G.; Yatabe, Y.; Austin, J.H.M.; Beasley, M.B.; Chirieac, L.R.; Dacic, S.; Duhig, E.; Flieder, D.B.; et al. The 2015 World Health Organization classification of lung tumors: Impact of genetic, clinical and radiologic advances since the 2004 Classification. J. Thorac. Oncol. 2015, 10, 1243–1260. [Google Scholar] [CrossRef] [PubMed]
- Kadota, K.; Nitadori, J.; Sima, C.S.; Ujiie, H.; Rizk, N.P.; Jones, D.R.; Adusumilli, P.S.; Travis, W.D. Tumor spread through air spaces is an important pattern of invasion and impacts the frequency and location of recurrences after limited resection for small stage I lung adenocarcinomas. J. Thorac. Oncol. 2015, 10, 806–814. [Google Scholar] [CrossRef] [PubMed]
- Warth, A. Spread through air spaces (STAS): A comprehensive update. Transl. Lung Cancer Res. 2017, 6, 501–507. [Google Scholar] [CrossRef]
- Chen, Z.; Wu, X.; Fang, T.; Ge, Z.; Liu, J.; Wu, Q.; Zhou, L.; Shen, J.; Zhou, C. Prognostic impact of tumor spread through air spaces for T2aN0 stage IB non-small cell lung cancer. Cancer Med. 2023, 12, 15246–15255. [Google Scholar] [CrossRef]
- Ye, R.; Yu, Y.; Zhao, R.; Han, Y.; Lu, S. Comprehensive molecular characterizations of stage I-III lung adenocarcinoma with tumor spread through air spaces. Front. Genet. 2023, 14, 1101443. [Google Scholar] [CrossRef]
- Choi, S.; Kim, H.S.; Min, K.W.; Noh, Y.K.; Lee, J.Y.; Moon, J.Y.; Jung, U.S.; Kwon, M.J.; Kim, D.H.; Son, B.K.; et al. JAK2 Loss Arising From Tumor-Spread-Through-Air-Spaces (STAS) Promotes Tumor Progression by Suppressing CD8+ T Cells in Lung Adenocarcinoma: A Machine Learning Approach. J. Korean Med. Sci. 2024, 39, e16. [Google Scholar] [CrossRef] [PubMed]
- Jia, C.; Jiang, H.C.; Liu, C.; Wang, Y.F.; Zhao, H.Y.; Wang, Q.; Xue, X.Q.; Li, X.F. The correlation between tumor radiological features and spread through air spaces in peripheral stage IA lung adenocarcinoma: A propensity score-matched analysis. J. Cardiothorac. Surg. 2024, 19, 19. [Google Scholar] [CrossRef]
- Pyo, J.S.; Kim, N.Y. Clinicopathological Impact of the Spread through Air Space in Non-Small Cell Lung Cancer: A Meta-Analysis. Diagnostics 2022, 12, 1112. [Google Scholar] [CrossRef]
- Fan, L.; Qin, J.; Lin, X.; Wu, Y.; He, Z.; He, P. Analysis of Clinicopathological Features on Spread Through Air Spaces of Lung Adenocarcinoma. Zhongguo Fei Ai Za Zhi 2023, 26, 650–658. [Google Scholar] [CrossRef]
- Thunnissen, E.; Blaauwgeers, H.J.; de Cuba, E.M.; Yick, C.Y.; Flieder, D.B. Ex Vivo Artifacts and Histopathologic Pitfalls in the Lung. Arch. Pathol. Lab. Med. 2016, 140, 212–220. [Google Scholar] [CrossRef]
- Blaauwgeers, H.; Flieder, D.; Warth, A.; Harms, A.; Monkhorst, K.; Witte, B.; Thunnissen, E. A Prospective Study of Loose Tissue Fragments in Non-Small Cell Lung Cancer Resection Specimens: An Alternative View to “Spread Through Air Spaces”. Am. J. Surg. Pathol. 2017, 41, 1226–1230. [Google Scholar] [CrossRef]
- Wang, S.; Li, Y.; Sun, X.; Dong, J.; Liu, L.; Liu, J.; Chen, R.; Li, F.; Chen, T.; Li, X.; et al. Proposed novel grading system for stage I invasive lung adenocarcinoma and a comparison with the 2020 IASLC grading system. Thorac. Cancer 2024, 15, 519–528. [Google Scholar] [CrossRef]
- Lv, Y.; Li, S.; Liu, Z.; Ren, Z.; Zhao, J.; Tao, G.; Zheng, Z.; Han, Y.; Ye, B. Impact of surgery and adjuvant chemotherapy on the survival of stage I lung adenocarcinoma patients with tumor spread through air spaces. Lung Cancer 2023, 177, 51–58. [Google Scholar] [CrossRef]
- Chen, D.; Mao, Y.; Wen, J.; She, Y.; Zhu, E.; Zhu, F.; Zhang, Y.; Fan, M.; Chen, C.; Chen, Y. Tumor Spread Through Air Spaces in Non-Small Cell Lung Cancer: A Systematic Review and Meta-Analysis. Ann. Thorac. Surg. 2019, 108, 945–954. [Google Scholar] [CrossRef]
- Laville, D.; Désage, A.L.; Fournel, P.; Bayle-Bleuez, S.; Neifer, C.; Picot, T.; Sulaiman, A.; Tiffet, O.; Forest, F. Spread Through Air Spaces in Stage I to III Resected Lung Adenocarcinomas: Should the Presence of Spread Through Air Spaces Lead to an Upstaging? Am. J. Surg. Pathol. 2024, 48, 596–604. [Google Scholar] [CrossRef]
- Travis, W.D.; Eisele, M.; Nishimura, K.K.; Aly, R.G.; Bertoglio, P.; Chou, T.Y.; Detterbeck, F.C.; Donnington, J.; Fang, W.; Joubert, P.; et al. The International Association for the Study of Lung Cancer (IASLC) Staging Project for Lung Cancer: Recommendation to Introduce Spread Through Air Spaces as a Histologic Descriptor in the Ninth Edition of the TNM Classification of Lung Cancer. Analysis of 4061 Pathologic Stage I NSCLC. J. Thorac. Oncol. 2024, 19, 1028–1051. [Google Scholar] [CrossRef] [PubMed]
- Jiang, C.; Luo, Y.; Yuan, J.; You, S.; Chen, Z.; Wu, M.; Wang, G.; Gong, J. CT-based radiomics and machine learning to predict spread through air space in lung adenocarcinoma. Eur. Radiol. 2020, 30, 4050–4057. [Google Scholar] [CrossRef] [PubMed]
- Eguchi, T.; Matsuoka, S.; Iwaya, M.; Kobayashi, S.; Seshimoto, M.; Mishima, S.; Hara, D.; Kumeda, H.; Miura, K.; Hamanaka, K.; et al. Improving intraoperative diagnosis of spread through air spaces: A cryo-embedding-medium inflation method for frozen section analysis. JTCVS Tech. 2024, 25, 170–176. [Google Scholar] [CrossRef]


| Variables | n = 311 (%) | |
| Gender | Female | 63 (20) |
| Male | 248 (80) | |
| Age (median) | 62 years (min 37–max 82) | |
| BMI (median) kg/m2 | 26.1 (min 17.5–max 45.9) | |
| Smoking status | Never Smoker | 44 (14) |
| Active/Ex Smoker | 260 (84) | |
| Unknown | 7 (2) | |
| ECOG PS | PS 0 | 185 (60) |
| PS 1 | 112 (36) | |
| PS ≥ 2 | 14 (4) | |
| PET-CT (median) | Tumor diameter (cm) | 3.2 (min 0.6–max 10.5) |
| Tumor Suv max | 10.6 (min 2–max 47) | |
| Neoadjuvan chemotherapy | Present | 30 (10) |
| Absent | 281 (90) | |
| Pathologic Subtype | Adenocarcinoma | 136 (44%) |
| Squamous cell carcinoma | 142 (46%) | |
| Other | 33 (10%) | |
| Mutation Status (n = 122) | Undetected (no mutation) | 108 (88.5) |
| EGFR mutant | 12 (9.8) | |
| Braf mutant | 1 (0.8) | |
| Ros-1 mutant | 1 (0.8) | |
| Pathologic Stage | 1A1 | 18 (6) |
| 1A2 | 40 (14) | |
| 1A3 | 21 (7) | |
| 1B | 32 (10) | |
| 2A | 30 (9) | |
| 2B | 82 (26) | |
| 3A | 75 (24) | |
| ≥3B | 13 (4) | |
| Lympovascular Invasion | Present | 109 (35) |
| Absent | 202 (65) | |
| Perineural Invasion | Present | 72 (21) |
| Absent | 239 (79) | |
| Pleural Invasion | Present | 98 (32) |
| Absent | 213 (68) | |
| STAS | Present | 103 (33) |
| Absent | 208 (67) | |
| Adjuvan Chemotherapy | Yes | 217 (70) |
| No | 94 (30) | |
| Adjuvan Radiotherapy | Yes | 38 (12) |
| No | 273 (88) | |
| Recurrence Status | Present | 137 (44) |
| Absent | 174 (56) | |
| Disease Free Survival | Median (months) | 65 (95%CI) |
| 1 years (%) | 82 | |
| 5 years (%) | 52 | |
| Status | Exitus | 79 (25) |
| Alive | 232 (75) | |
| Overall Survival | Median (Months) | Not reached |
| 1 years (%) | 93 | |
| 5 years (%) | 69 | |
| Variables | STAS Status | |||
|---|---|---|---|---|
| Present (n = 103) | Absent (n = 208) | p | ||
| Gender | Female | 20 (19%) | 43 (21%) | 0.79 |
| Male | 83 (81%) | 165 (79%) | ||
| Age (years) median | 62 (min 46–max 82) | 62 (min 37–max 82) | 0.67 | |
| Smoking Status | Never smoker | 17 (16%) | 27 (13%) | 0.41 |
| Active-ex smoker | 85 (84%) | 175 (87%) | ||
| PET-CT SUV max (median) | 11.3 (min 3–max 47) | 10.4 (min 2–max 40) | 0.52 | |
| Resection type | Wedge resection | 4 (3%) | 18 (9%) | 0.34 |
| Lobectomy | 82 (81%) | 155 (76%) | ||
| Bilobectomy | 6 (5%) | 8 (2%) | ||
| Pneumonectomy | 11 (11%) | 27 (13%) | ||
| Pathologic Subtype | Adenocarcinoma | 54 (52%) | 82 (39%) | 0.01 |
| Squamous cell carcinoma | 34 (33%) | 108 (52%) | ||
| Other | 15 (15%) | 18 (8%) | ||
| Adenocarcinoma subtype (n = 117) | Lepidic | 10 (22%) | 13 (18%) | 0.18 |
| Solid | 14 (30%) | 21 (30%) | ||
| Acinary | 19 (41%) | 28 (39%) | ||
| Micropapillary | 3 (6%) | 1 (2%) | ||
| Papillary | 0 | 6 (8%) | ||
| Mucinous | 0 | 2 (3%) | ||
| PD-L1 score (median) (n = 24) | 6 (min 0–max 90) | 1 (min 0–max 90) | 0.36 | |
| Pathologic tumor diameter (median) (cm) | 3.1 (min 0.6–max 15) | 3.5 (min 0.2–max 3.5) | 0.73 | |
| Pathologic T stage | T1 | 34 (33%) | 79 (38%) | 0.63 |
| T2 | 36 (35%) | 63 (30%) | ||
| T3 | 18 (17%) | 42 (20%) | ||
| T4 | 15 (15%) | 24 (12%) | ||
| Pathologic N stage | N0 | 57 (55%) | 137 (65%) | 0.04 |
| N1 | 28 (27%) | 53 (25%) | ||
| N2 | 18 (18%) | 18 (10%) | ||
| Pathologic stage | Stage 1 | 31 (30%) | 80 (38%) | 0.14 |
| Stage 2 | 36 (35%) | 76 (37%) | ||
| Stage 3 | 36 (35%) | 52 (25%) | ||
| Lympovascular Invasion | Present | 48 (47%) | 61 (29%) | 0.003 |
| Absent | 55 (53%) | 147 (71%) | ||
| Perineural Invasion | Present | 33 (32%) | 39 (19%) | 0.009 |
| Absent | 70 (68%) | 169 (81%) | ||
| Pleural Invasion | Present | 40 (39%) | 58 (28%) | 0.05 |
| Absent | 63 (61%) | 150 (72%) | ||
| Adjuvan Chemotherapy | Yes | 76 (74%) | 141 (68%) | 0.27 |
| No | 27 (36%) | 67 (32%) | ||
| Disease-Free Survival | |||||
|---|---|---|---|---|---|
| Univariate Analysis | Multivariate Analysis | ||||
| HR (95%CI) | p | HR (95%CI) | p | ||
| Age | <65 years | 1 (0.7–1.4) | 0.980 | ||
| ≥65 years | |||||
| Gender | Female | 1 (0.8–1.3) | 0.390 | ||
| Male | |||||
| Pet-ct Suv max | ≥10 | 1.6 (1–2.5) | 0.020 | 1.7 (1.1–2.6) | 0.010 |
| <10 | |||||
| Pathologic subtype | Adenocarcinoma | 0.94 (0.6–1.3) | 0.760 | ||
| Squamous cell carcinoma | |||||
| Pathologic stage | Stage 1 | 1.68 (1.1–2.4) | 0.006 | ||
| Stage 2–3 | |||||
| Lympovascular Invasion | Present | 1.3 (0.96–1.9) | 0.070 | ||
| Absent | |||||
| Perineural Invasion | Present | 1.1 (0.82–1.7) | 0.340 | ||
| Absent | |||||
| Pleural Invasion | Present | 1.2 (0.8–1.7) | 0.280 | ||
| Absent | |||||
| STAS | Present | 2.7 (1.98–3.8) | <0.010 | 3.2 (2.1–4.8) | <0.001 |
| Absent | |||||
| Overall Survival | |||||
|---|---|---|---|---|---|
| Univariate Analysis | Multivariate Analysis | ||||
| HR (95%CI) | p | HR (95%CI) | p | ||
| Age | <65 years | 1.1 (0.7–1.7) | 0.630 | ||
| ≥65 years | |||||
| Gender | Female | 1.3 (0.9–1.8) | 0.080 | ||
| Male | |||||
| Pet-ct Suv max | ≥10 | 2.06 (1.1–3.8) | 0.020 | ||
| <10 | |||||
| Pathologic subtype | Adenocarcinoma | 1.1 (0.7–1.7) | 0.670 | ||
| Squamous cell carcinoma | |||||
| Pathologic stage | Stage 1 | 2.3 (1.3–4.02) | 0.002 | 2.8 (1.3–5.4) | 0.005 |
| Stage 2–3 | |||||
| Lympovascular Invasion | Present | 1.7 (1.1–2.7) | 0.030 | ||
| Absent | |||||
| Perineural Invasion | Present | 1.2 (0.7–1.9) | 0.440 | ||
| Absent | |||||
| Pleural Invasion | Present | 1.1 (0.7–1.8) | 0.460 | ||
| Absent | |||||
| STAS | Present | 2.3 (0.7–3.64) | <0.010 | 3.1 (1.7–5.5) | <0.001 |
| Absent | |||||
| STAS | ||||
|---|---|---|---|---|
| Present (n = 103) | Absent (n = 208) | p | ||
| Recurrence Status | Present | 67 (65%) | 70 (34%) | <0.001 |
| Absent | 36 (35%) | 138 (66%) | ||
| Disease-Free Survival | Median (months) | 22 (95%CI: 13.8–30.1) | Not reached | <0.001 |
| 1 years (%) | 65 | 88 | ||
| 5 years (%) | 29 | 62 | ||
| Overall Status | Exitus | 39 (38%) | 40 (19%) | <0.001 |
| Alive | 64 (62%) | 168 (81%) | ||
| Overall Survival | Median (Months) | 66 (95%CI: 42.1–89.8) | Not reached | <0.001 |
| 1 years (%) | 92 | 94 | ||
| 5 years (%) | 54 | 88 | ||
Disclaimer/Publisher’s Note: The statements, opinions and data contained in all publications are solely those of the individual author(s) and contributor(s) and not of MDPI and/or the editor(s). MDPI and/or the editor(s) disclaim responsibility for any injury to people or property resulting from any ideas, methods, instructions or products referred to in the content. |
© 2024 by the authors. Licensee MDPI, Basel, Switzerland. This article is an open access article distributed under the terms and conditions of the Creative Commons Attribution (CC BY) license (https://creativecommons.org/licenses/by/4.0/).
Share and Cite
Yildirim, S.; Alan, O.; Yuksel Yasar, Z.; Kaya, T.; Akdag, G.; Kinikoglu, O.; Gecmen, G.G.; Yasar, A.; Isik, D.; Surmeli, H.; et al. Prognostic Impact and Clinical Features of Spread through Air Spaces in Operated Lung Cancer: Real-World Analysis. Medicina 2024, 60, 1374. https://doi.org/10.3390/medicina60081374
Yildirim S, Alan O, Yuksel Yasar Z, Kaya T, Akdag G, Kinikoglu O, Gecmen GG, Yasar A, Isik D, Surmeli H, et al. Prognostic Impact and Clinical Features of Spread through Air Spaces in Operated Lung Cancer: Real-World Analysis. Medicina. 2024; 60(8):1374. https://doi.org/10.3390/medicina60081374
Chicago/Turabian StyleYildirim, Sedat, Ozkan Alan, Zeynep Yuksel Yasar, Tugba Kaya, Goncagul Akdag, Oguzcan Kinikoglu, Gonca Gul Gecmen, Alper Yasar, Deniz Isik, Heves Surmeli, and et al. 2024. "Prognostic Impact and Clinical Features of Spread through Air Spaces in Operated Lung Cancer: Real-World Analysis" Medicina 60, no. 8: 1374. https://doi.org/10.3390/medicina60081374
APA StyleYildirim, S., Alan, O., Yuksel Yasar, Z., Kaya, T., Akdag, G., Kinikoglu, O., Gecmen, G. G., Yasar, A., Isik, D., Surmeli, H., Basoglu, T., Sever, O. N., Yildirim, M. E., Odabas, H., & Turan, N. (2024). Prognostic Impact and Clinical Features of Spread through Air Spaces in Operated Lung Cancer: Real-World Analysis. Medicina, 60(8), 1374. https://doi.org/10.3390/medicina60081374

