Kisspeptin Variations in Patients with Polycystic Ovary Syndrome—A Prospective Case Control Study
Abstract
1. Introduction
2. Materials and Methods
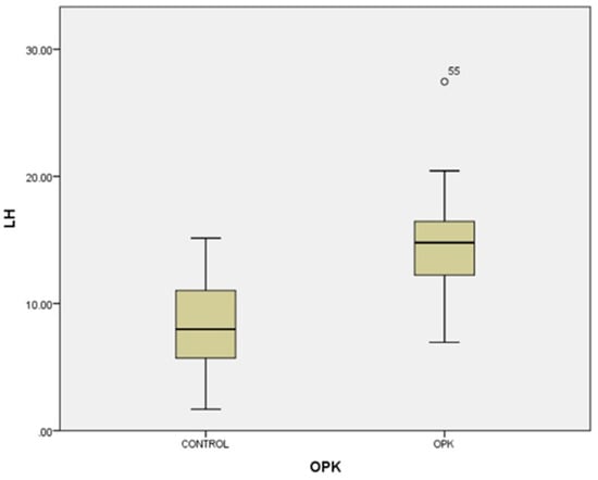
3. Results
4. Discussion
5. Conclusions
Author Contributions
Funding
Institutional Review Board Statement
Informed Consent Statement
Data Availability Statement
Acknowledgments
Conflicts of Interest
References
- Lee, J.H.; Miele, M.E.; Hicks, D.J.; Phillips, K.K.; Trent, J.M.; Weissman, B.E.; Welch, D.R. KiSS-1, a novel human malignant melanoma metastasis-suppressor gene. J. Natl. Cancer Inst. 1996, 88, 1731–1737. [Google Scholar] [CrossRef]
- Skorupskaite, K.; George, J.T.; Anderson, R.A. The kisspeptin-GnRH pathway in human reproductive health and disease. Hum. Reprod. Update 2014, 20, 485–500. [Google Scholar] [CrossRef]
- Ohtaki, T.; Shintani, Y.; Honda, S.; Matsumoto, H.; Hori, A.; Kanehashi, K.; Terao, Y.; Kumano, S.; Takatsu, Y.; Masuda, Y.; et al. Metastasis suppressor gene KiSS-1 encodes peptide ligand of a G-protein-coupled receptor. Nature 2001, 31, 613–617. [Google Scholar] [CrossRef]
- College, W.H. Kisspeptins and GnRH neuronal signalling. Trends Endocrinol. Metab. 2009, 20, 115–121. [Google Scholar] [CrossRef]
- Roseweir, A.K.; Kauffman, A.S.; Smith, J.T.; Guerriero, K.A.; Morgan, K.; Pielecka-Fortuna, J.; Pineda, R.; Gottsch, M.L.; Tena-Sempere, M.; Moenter, S.M.; et al. Discovery of potent kisspeptin antagonists delineate physiological mechanisms of gonadotropin regulation. J. Neurosci. 2009, 29, 3920–3929. [Google Scholar] [CrossRef]
- Li, X.F.; Kinsey-Jones, J.S.; Cheng, Y.; Knox, A.M.; Lin, Y.; Petrou, N.A.; Roseweir, A.; Lightman, S.L.; Milligan, S.R.; Millar, R.P. Kisspeptin signalling in the hypothalamic arcuate nucleus regulates GnRH pulse generator frequency in the rat. PLoS ONE 2009, 4, e8334. [Google Scholar] [CrossRef]
- Dhillo, W.S.; Chaudhri, O.B.; Thompson, E.L.; Murphy, K.G.; Patterson, M.; Ramachandran, R.; Nijher, G.K.; Amber, V.; Kokkinos, A.; Donaldson, M. Kisspeptin-54 stimulates gonadotropin release most potently during the preovulatory phase of the menstrual cycle in women. J. Clin. Endocrinol. Metab. 2007, 92, 3958–3966. [Google Scholar] [CrossRef]
- d’Anglemont de Tassigny, X.; Fagg, L.A.; Dixon, J.P.; Day, K.; Leitch, H.G.; Hendrick, A.G.; Zahn, D.; Franceschini, I.; Caraty, A.; Carlton, M.B. Hypogonadotropic hypogonadism in mice lacking a functional Kiss1 gene. Proc. Natl. Acad. Sci. USA 2007, 104, 10714–10719. [Google Scholar] [CrossRef]
- McCann, S.M.; Karanth, S.; Mastronardi, C.A.; Dees, W.L.; Childs, G.; Miller, B.; Sower, S.; Yu, W.H. Hypothalamic control of gonadotropin secretion. Prog. Brain Res. 2002, 141, 151–164. [Google Scholar]
- Jayasena, C.N.; Abbara, A.; Veldhuis, J.D.; Comninos, A.N.; Ratnasabapathy, R.; De Silva, A.; Nijher, G.M.; Ganiyu-Dada, Z.; Mehta, A.; Todd, C.; et al. Increasing LH pulsatility in women with hypothalamic amenorrhoea using intravenous infusion of Kisspeptin-54. J. Clin. Endocrinol. Metab. 2014, 99, E953–E961. [Google Scholar] [CrossRef]
- Azziz, R. Polycystic Ovary Syndrome. Obstet. Gynecol. 2018, 132, 321–336. [Google Scholar] [CrossRef]
- National Institute of Health. Evidence-Based Methodology Workshop on Polycystic Ovary Syndrome (3–5 December 2012). Executive Summary. Available online: https://Prevention.nih.gov/docs/programs/pcos/FinalReport.pdf (accessed on 1 October 2019).
- Teede, H.J.; Misso, M.L.; Costello, M.F.; Dokras, A.; Laven, J.; Moran, L.; Piltonen, T.; Norman, R.J. Recommendations from the international evidence-based guideline for the assessement and management of polycystic ovary syndrome. Human Reprod. 2018, 110, 364–379. [Google Scholar]
- Gottsch, M.L.; Clifton, D.K.; Steiner, R.A. Kisspepeptin-gpr54 signaling in the neuroendocrine reproductive axis. Mol. Cell. Endocrinol. 2006, 254, 91–96. [Google Scholar] [CrossRef]
- Herbison, A.E. Estrogen positive feedback to gonadotropin-releasing hormone (GnRH) neurons in the rodent: The case for the rostral periventricular area of the third ventricle (RP3V). Brain Res. Rev. 2008, 57, 277–287. [Google Scholar] [CrossRef]
- Hrabovszky, E. Neuroanatomy of the human hypothalamic kisspeptin system. Neuroendocrinology 2014, 99, 33–48. [Google Scholar] [CrossRef]
- Genazzani, A.D.; Petraglia, F.; Volpogni, C.; d’Ambrogio, G.; Facchinetti, F.; Genazzani, A.R. FSH secretory pattern and degree of concordance with LH in amenorrheic, fertile and postmenopausal women. Am. J. Physiol. 1993, 264, E776–E781. [Google Scholar] [CrossRef]
- Genazzani, A.D.; Ricchieri, F.; Lanzoni, C. Use of metformin in the treatment of polycystic ovary syndrome. Women’s Health 2010, 6, 577–593. [Google Scholar] [CrossRef]
- Meczekalski, B.; Katulski, K.; Podfigurna-Stopa, A.; Czyzyk, A.; Genazzani, A.D. Spontaneous endogenous pulsatile release of kisspeptin is temporally coupled with luteinizing hormone in healthy women. Fertil. Steril. 2016, 105, 1345–1350. [Google Scholar] [CrossRef]
- Skorupskaite, K.; George, J.T.; Veldhuis, J.D.; Millar, R.P.; Anderson, R.A. Kisspeptin and neurokinin B interactions in modulating gonadotropin secretion in women with polycystic ovary syndrome. Human Reprod. 2020, 35, 1421–1431. [Google Scholar] [CrossRef]
- Kaya, C.; Alay, İ.; Babayeva, G.; Gedikbaşı, A.; Ertaş Kaya, S.; Ekin, M.; Yaşar, L. Serum Kisspeptin levels in unexplained infertility, polycystic ovary syndrome, and male factor infertility. Gynecol. Endocrinol. 2019, 35, 228–232. [Google Scholar] [CrossRef]
- Yarmolinskaya, M.I.; Ganbarli, N.F.; Tkachenko, N.N.; Nikolaeva, V.I.; Tolibova, G.K.; Tral, T.G.; Rulev, V.V.; Tsypurdeeva, A.A. Kisspeptin and polycystic ovary syndrome—Is there any connection? J. Obstet. Women’s Dis. 2017, 66, 73–80. [Google Scholar] [CrossRef][Green Version]
- Nyagolova, P.V.; Mitkov, M.D.; Orbetzova, M.M.; Terzieva, D.D. Kisspeptin and galanin-like peptide (GALP) levels in women with PCOS. Int. J. Pharm. Med. Res. 2016, 4, 5. [Google Scholar]
- Aliabadi, E.; Namavar, M.R.; Mortezaee, K.; Toolee, H.; Keshtgar, S.; Mirkhani, H.; Akbari, M.; Rastegar, T.; Solhjoo, S. Kisspeptin expression features in the arcuate and anteroventral periventricular nuclei of hypothalamus of letrozole-induced polycystic ovarian syndrome in rats. Arch. Gynecol. Obstet. 2017, 296, 957–963. [Google Scholar] [CrossRef]
- Marcondes, R.R.; Carvalho, K.C.; Giannocco, G.; Duarte, D.C.; Garcia, N.; Soares-Junior, J.M.; da Silva, I.D.C.G.; Maliqueo, M.; Baracat, E.C.; Maciel, G.A.R. Hypothalamic transcriptional expression of the kisspeptin system and sex steroid receptors differs among polycystic ovary syndrome rat models with different endocrine phenotypes. Clinics 2017, 72, 510–514. [Google Scholar] [CrossRef]
- Iwata, K.; Kunimura, Y.; Matsumoto, K.; Ozawa, H. Effect of androgen on Kiss1 expression and luteinizing hormone release in female rats. J. Endocrinol. 2017, 233, 281–292. [Google Scholar] [CrossRef]
- Rafique, N.; Latif, R. Serum kisspeptin levels in normal and overweight Saudi females and its relation with anthropometric indices. Ann. Saudi Med. 2015, 35, 157–160. [Google Scholar] [CrossRef]
- Kołodziejski, P.A.; Pruszyńska-Oszmałek, E.; Korek, E.; Sassek, M.; Szczepankiewicz, D.; Kaczmarek, P.; Nogowski, L.; Maćkowiak, P.; Nowak, K.W.; Krauss, H.; et al. Serum levels of spexin and kisspeptin negatively correlate with obesity and insulin resistance in women. Physiol. Res. 2018, 16, 45–56. [Google Scholar] [CrossRef]
- Jeon, Y.E.; Lee, K.E.; Jung, J.A.; Yim, S.Y.; Kim, H.; Seo, S.K.; Cho, S.; Choi, Y.S.; Lee, B.S. Kisspeptin, leptin, and retinol-binding protein 4 in women with polycystic ovary syndrome. Gynecol. Obstet. Investig. 2013, 75, 268–274. [Google Scholar] [CrossRef]
- Gorkem, U.; Togrul, C.; Arslan, E.; Sargin Oruc, A.; Buyukkayaci, D. Is there a role for kisspeptin in pathogenesis of polycystic ovary syndrome? N. Gynecol. Endocrinol. 2018, 34, 157–160. [Google Scholar] [CrossRef]
- Emekci Ozay, O.; Ozay, A.C.; Acar, B.; Cagliyan, E.; Seçil, M.; Küme, T. Role of kisspeptin in polycystic ovary syndrome (PCOS). Gynecol. Endocrinol. 2016, 32, 718–722. [Google Scholar] [CrossRef]
- Jayasena, C.N.; Nijher, G.M.K.; Chaudhri, O.B.; Murphy, K.G.; Ranger, A.; Lim, A.; Patel, D.; Mehta, A.; Todd, C.; Ramachandran, R.; et al. Subcutaneous Injection of Kisspeptin-54 Acutely Stimulates Gonadotropin Secretion in Women with Hypothalamic Amenorrhea, But Chronic Administration Causes Tachyphylaxis. J. Clin. Endocrinol. Metab. 2009, 94, 4315–4323. [Google Scholar] [CrossRef] [PubMed]
- Jayasena, C.N.; Nijher, G.M.K.; Abbara, A.; Murphy, K.G.; Lim, A.; Patel, D.; Mehta, A.; Todd, C.; Donaldson, M.; Trew, G.H.; et al. Twice-Weekly Administration of Kisspeptin-54 for 8 Weeks Stimulates Release of Reproductive Hormones in Women With Hypothalamic Amenorrhea. Clin. Pharmacol. Ther. 2010, 88, 840–847. [Google Scholar] [CrossRef] [PubMed]
- Ruka, K.A.; Burger, L.L.; Moenter, S.M. Regulation of arcuate neurons coexpressing kisspeptin, neurokinin b, and dynorphin by modulators of neurokinin 3 and κ-opioid receptors in adult male mice. Endocrinology 2013, 154, 2761–2771. [Google Scholar] [CrossRef]
- George, J.T.; Kakkar, R.; Marshall, J.; Scott, M.L.; Finkelman, R.D.; Ho, T.W.; Veldhuis, J.; Skorupskaite, K.; Anderson, R.A.; McIntosh, S.; et al. Neurokinin b receptor antagonism in women with polycystic ovary syndrome: A randomized, placebo-controlled trial. J. Clin. Endocrinol. Metab. 2016, 101, 4313–4321. [Google Scholar] [CrossRef] [PubMed]
- Timologou, A.; Zafrakas, M.; Grimbizis, G.; Miliaras, D.; Kotronis, K.; Stamatopoulos, P.; Tarlatzis, B.C. Immunohistochemical expression pattern of metastasis suppressors KAI1 and KISS1 in endometriosis and normal endometrium. Eur. J. Obstet. Gynecol. Reprod. Biol. 2016, 199, 110–115. [Google Scholar] [CrossRef]
- Pineda, R.; Garcia-Galiano, D.; Roseweir, A.; Romero, M.; Sanchez-Garrido, M.A.; Ruiz-Pino, F.; Morgan, K.; Pinilla, L.; Millar, R.P.; Tena-Sempere, M. Critical roles of kisspeptins in female puberty and preovulatory gonadotropin surges as revealed by a novel antagonist. M. Endocrinol. 2010, 151, 722–730. [Google Scholar] [CrossRef]
- Nakamura, S.; Uenoyama, Y.; Ikegami, K.; Dai, M.; Watanabe, Y.; Takahashi, C.; Hirabayashi, M.; Tsukamura, H.; Maeda, K.-I. Neonatal kisspeptin is steroid-independently required for defeminisation and peripubertal kisspeptin-induced testosterone is required for masculinisation of the brain: A behavioural study using Kiss1 KO rats. J. Neuroendocrinol. 2016; in press. [Google Scholar] [CrossRef]
- Anushree, D.; Amitbah, K. The role of GnIH and GnIH-antagonist in ameliorating PCOS-like features in the ovary of DHEA-treated PCOS-mice. In Proceedings of the International Conference on Reproduction, Endocrinology and Development, Navrachana University, Vadodara, India, 19–21 January 2019. [Google Scholar]
- Poling, M.C.; Quennell, J.H.; Anderson, G.M.; Kauffman, A.S. Kisspeptin neurones do not directly signal to RFRP-3 neurones but RFRP-3 may directly modulate a subset of hypothalamic kisspeptin cells in mice. J. Neuroendocrinol. 2013, 25, 876–886. [Google Scholar] [CrossRef]
- Prabhu, V.V.; Sakthivel, K.M.; Guruvayoorappan, C. Kisspeptins (KiSS-1): Essential players in suppressing tumor metastasis. Asian Pac. J. Cancer Prev. 2013, 14, 6215–6220. [Google Scholar] [CrossRef]
- Babwah, A.V.; Pampillo, M.; Min, L.; Kaiser, U.B.; Bhattacharya, M. Single-cell analyses reveal that KISS1R-expressing cells undergo sustained kisspeptin-induced signaling that is dependent upon an influx of extracellular Ca2+. Endocrinology 2012, 153, 5875–5887. [Google Scholar] [CrossRef]




| Hormone | Mean Value PCOS Group | Mean Value Control Group | p | 95% CI |
|---|---|---|---|---|
| FSH | 6.949 mUI/mL | 11.834 mUI/mL | 0.005 | 1.90–8.56 |
| LH | 14.393 mUI/mL | 8.343 mUI/mL | 0.001 | 4.10–7.97 |
| Estradiol | 74.973 pg/mL | 69.565 pg/mL | 0.7 | −34.159–24.58 |
| Prolactin | 621.679 µUI/mL | 501.829 µUI/mL | 0.13 | 19.38–19.50 |
| Insulin | 9.265 µUI/mL | 10.485 µUI/mL | 0.41 | −1.62–4.47 |
| Kisspeptin | 130.499 pg/mL | 76.243 pg/mL | 0.001 | 7.55–11.504 |
Publisher’s Note: MDPI stays neutral with regard to jurisdictional claims in published maps and institutional affiliations. |
© 2022 by the authors. Licensee MDPI, Basel, Switzerland. This article is an open access article distributed under the terms and conditions of the Creative Commons Attribution (CC BY) license (https://creativecommons.org/licenses/by/4.0/).
Share and Cite
Akad, M.; Socolov, R.; Furnică, C.; Covali, R.; Stan, C.D.; Crauciuc, E.; Pavaleanu, I. Kisspeptin Variations in Patients with Polycystic Ovary Syndrome—A Prospective Case Control Study. Medicina 2022, 58, 776. https://doi.org/10.3390/medicina58060776
Akad M, Socolov R, Furnică C, Covali R, Stan CD, Crauciuc E, Pavaleanu I. Kisspeptin Variations in Patients with Polycystic Ovary Syndrome—A Prospective Case Control Study. Medicina. 2022; 58(6):776. https://doi.org/10.3390/medicina58060776
Chicago/Turabian StyleAkad, Mona, Răzvan Socolov, Cristina Furnică, Roxana Covali, Catalina Daniela Stan, Eduard Crauciuc, and Ioana Pavaleanu. 2022. "Kisspeptin Variations in Patients with Polycystic Ovary Syndrome—A Prospective Case Control Study" Medicina 58, no. 6: 776. https://doi.org/10.3390/medicina58060776
APA StyleAkad, M., Socolov, R., Furnică, C., Covali, R., Stan, C. D., Crauciuc, E., & Pavaleanu, I. (2022). Kisspeptin Variations in Patients with Polycystic Ovary Syndrome—A Prospective Case Control Study. Medicina, 58(6), 776. https://doi.org/10.3390/medicina58060776

