Prognostic Impact of Pretreatment 2-[18F]-FDG PET/CT Parameters in Primary Gastric DLBCL
Abstract
1. Introduction
2. Materials and Methods
2.1. Patients Features
2.2. 2-[18F]-FDG-PET/CT Imaging and Interpretation
2.3. Statistical Analysis
3. Results
3.1. Patients’ Features
3.2. Evaluation of Treatment Response
3.3. Prognostic Role of 2-[18F]-FDG-PET/CT
4. Discussion
5. Conclusions
Author Contributions
Funding
Institutional Review Board Statement
Informed Consent Statement
Data Availability Statement
Conflicts of Interest
References
- Juárez-Salcedo, L.M.; Sokol, L.; Chavez, J.C.; Dalia, S. Primary Gastric Lymphoma, Epidemiology, Clinical Diagnosis, and Treatment. Cancer Control 2018, 25. [Google Scholar] [CrossRef]
- Coiffier, B.; Lepage, E.; Brière, J.; Herbrecht, R.; Tilly, H.; Bouabdallah, R.; Morel, P.; Neste, E.V.D.; Salles, G.; Gaulard, P.; et al. CHOP Chemotherapy plus Rituximab Compared with CHOP Alone in Elderly Patients with Diffuse Large-B-Cell Lymphoma. N. Engl. J. Med. 2002, 346, 235–242. [Google Scholar] [CrossRef]
- Cheson, B.D.; Fisher, R.I.; Barrington, S.F.; Cavalli, F.; Schwartz, L.H.; Zucca, E.; Lister, T.A. Recommendations for Initial Evaluation, Staging, and Response Assessment of Hodgkin and Non-Hodgkin Lymphoma: The Lugano Classification. J. Clin. Oncol. 2014, 32, 3059–3067. [Google Scholar] [CrossRef]
- Barrington, S.F.; Mikhaeel, N.G.; Kostakoglu, L.; Meignan, M.; Hutchings, M.; Müeller, S.P.; Schwartz, L.H.; Zucca, E.; Fisher, R.I.; Trotman, J.; et al. Role of Imaging in the Staging and Response Assessment of Lymphoma: Consensus of the International Conference on Malignant Lymphomas Imaging Working Group. J. Clin. Oncol. 2014, 32, 3048–3058. [Google Scholar] [CrossRef] [PubMed]
- Albano, D.; Durmo, R.; Treglia, G.; Giubbini, R.; Bertagna, F. 18F-FDG PET/CT or PET Role in MALT Lymphoma: An Open Issue not Yet Solved—A Critical Review. Clin. Lymphoma Myeloma Leuk. 2020, 20, 137–146. [Google Scholar] [CrossRef]
- Albano, D.; Bertoli, M.; Ferro, P.; Fallanca, F.; Gianolli, L.; Picchio, M.; Giubbini, R.; Bertagna, F. 18F-FDG PET/CT in gastric MALT lymphoma: A bicentric experience. Eur. J. Nucl. Med. Mol. Imaging 2016, 44, 589–597. [Google Scholar] [CrossRef] [PubMed]
- Radan, L.; Fischer, D.; Bar-Shalom, R.; Dann, E.J.; Epelbaum, R.; Haim, N.; Gaitini, D.; Israel, O. FDG avidity and PET/CT patterns in primary gastric lymphoma. Eur. J. Nucl. Med. Mol. Imaging 2008, 35, 1424–1430. [Google Scholar] [CrossRef]
- Yi, J.H.; Kim, S.J.; Choi, J.Y.; Ko, Y.H.; Kim, B.-T.; Kim, W.S. 18F-FDG uptake and its clinical relevance in primary gastric lymphoma. Hematol. Oncol. 2009, 28, 57–61. [Google Scholar] [CrossRef] [PubMed]
- Watanabe, Y.; Suefuji, H.; Hirose, Y.; Kaida, H.; Suzuki, G.; Uozumi, J.; Ogo, E.; Miura, M.; Takasu, K.; Miyazaki, K.; et al. 18F-FDG uptake in primary gastric malignant lymphoma correlates with glucose transporter 1 expression and histologic malignant potential. Int. J. Hematol. 2013, 97, 43–49. [Google Scholar] [CrossRef]
- Sasanelli, M.; Meignan, M.; Haioun, C.; Berriolo-Riedinger, A.; Casasnovas, R.-O.; Biggi, A.; Gallamini, A.; Siegel, B.A.; Cashen, A.F.; Véra, P.; et al. Pretherapy metabolic tumour volume is an independent predictor of outcome in patients with diffuse large B-cell lymphoma. Eur. J. Nucl. Med. Mol. Imaging 2014, 41, 2017–2022. [Google Scholar] [CrossRef]
- Song, M.-K.; Chung, J.-S.; Shin, H.-J.; Lee, S.-M.; Lee, S.-E.; Lee, H.-S.; Lee, G.-W.; Kim, S.-J.; Lee, S.-M.; Chung, D.-S. Clinical significance of metabolic tumor volume by PET/CT in stages II and III of diffuse large B cell lymphoma without extranodal site involvement. Ann. Hematol. 2011, 91, 697–703. [Google Scholar] [CrossRef] [PubMed]
- Shagera, Q.A.; Cheon, G.J.; Koh, Y.; Yoo, M.Y.; Kang, K.W.; Lee, D.S.; Kim, E.E.; Yoon, S.-S.; Chung, J.-K. Prognostic value of metabolic tumour volume on baseline 18F-FDG PET/CT in addition to NCCN-IPI in patients with diffuse large B-cell lymphoma: Further stratification of the group with a high-risk NCCN-IPI. Eur. J. Nucl. Med. Mol. Imaging 2019, 46, 1417–1427. [Google Scholar] [CrossRef] [PubMed]
- Zhao, P.; Yu, T.; Pan, Z. Prognostic value of the baseline 18F-FDG PET/CT metabolic tumour volume (MTV) and further stratification in low-intermediate (L-I) and high-intermediate (H-I) risk NCCNIPI subgroup by MTV in DLBCL MTV predict prognosis in DLBCL. Ann. Nucl. Med. 2021, 35, 24–30. [Google Scholar] [CrossRef]
- Jiang, C.; Ding, C.; Xu, J.; Teng, Y.; Chen, J.; Wang, Z.; Zhou, Z. Will Baseline Total Lesion Glycolysis Play a Role in Improving the Prognostic Value of the NCCN-IPI in Primary Gastric Diffuse Large B-Cell Lymphoma Patients Treated With the R-CHOP Regimen? Clin. Nucl. Med. 2021, 46, 1–7. [Google Scholar] [CrossRef]
- RonaldBoellaard, R.; Delgado-Bolton, R.; Oyen, W.J.G.; Giammarile, F.; Tatsch, K.; Eschner, W.; Verzijlbergen, F.J.; Barrington, S.F.; Pike, L.C.; Weber, W.A.; et al. FDG PET/CT: EANM procedure guidelines for tumour imaging: Version 2.0. Eur. J. Nucl. Med. Mol. Imaging 2015, 42, 328–354. [Google Scholar] [CrossRef]
- Hwang, J.P.; Lim, I.; Byun, B.H.; Kim, B.I.; Choi, C.W.; Lim, S.M. Prognostic value of SUVmax measured by pretreatment 18F-FDG PET/CT in patients with primary gastric lymphoma. Nucl. Med. Commun. 2016, 37, 1267–1272. [Google Scholar] [CrossRef]
- Kostakoglu, L.; Chauvie, S. Metabolic Tumor Volume Metrics in Lymphoma. Semin. Nucl. Med. 2018, 48, 50–66. [Google Scholar] [CrossRef]
- Kanoun, S.; Rossi, C.; Berriolo-Riedinger, A.; Dygai-Cochet, I.; Cochet, A.; Humbert, O.; Toubeau, M.; Ferrant, E.; Brunotte, F.; Casasnovas, R.-O. Baseline metabolic tumour volume is an independent prognostic factor in Hodgkin lymphoma. Eur. J. Nucl. Med. Mol. Imaging 2014, 41, 1735–1743. [Google Scholar] [CrossRef]
- Albano, D.; Bertoli, M.; Battistotti, M.; Rodella, C.; Statuto, M.; Giubbini, R.; Bertagna, F. Prognostic role of pretreatment 18F-FDG PET/CT in primary brain lymphoma. Ann. Nucl. Med. 2018, 32, 532–541. [Google Scholar] [CrossRef]
- Albano, D.; Bosio, G.; Bianchetti, N.; Pagani, C.; Re, A.; Tucci, A.; Giubbini, R.; Bertagna, F. Prognostic role of baseline 18F-FDG PET/CT metabolic parameters in mantle cell lymphoma. Ann. Nucl. Med. 2019, 33, 449–458. [Google Scholar] [CrossRef]
- Meignan, M.; Cottereau, A.S.; Versari, A.; Chartier, L.; Dupuis, J.; Boussetta, S.; Grassi, I.; Casasnovas, R.-O.; Haioun, C.; Tilly, H.; et al. Baseline Metabolic Tumor Volume Predicts Outcome in High–Tumor-Burden Follicular Lymphoma: A Pooled Analysis of Three Multicenter Studies. J. Clin. Oncol. 2016, 34, 3618–3626. [Google Scholar] [CrossRef]
- Albano, D.; Bosio, G.; Pagani, C.; Re, A.; Tucci, A.; Giubbini, R.; Bertagna, F. Prognostic role of baseline 18F-FDG PET/CT metabolic parameters in Burkitt lymphoma. Eur. J. Nucl. Med. Mol. Imaging 2018, 46, 87–96. [Google Scholar] [CrossRef] [PubMed]
- Mikhaeel, N.G.; Smith, D.; Dunn, J.T.; Phillips, M.; Møller, H.; Fields, P.A.; Wrench, D.; Barrington, S.F. Combination of baseline metabolic tumour volume and early response on PET/CT improves progression-free survival prediction in DLBCL. Eur. J. Nucl. Med. Mol. Imaging 2016, 43, 1209–1219. [Google Scholar] [CrossRef] [PubMed]
- Albano, D.; Mazzoletti, A.; Spallino, M.; Muzi, C.; Zilioli, V.R.; Pagani, C.; Tucci, A.; Rossetti, C.; Giubbini, R.; Bertagna, F. Prognostic role of baseline 18F-FDG PET/CT metabolic parameters in elderly HL: A two-center experience in 123 patients. Ann. Hematol. 2020, 99, 1321–1330. [Google Scholar] [CrossRef]
- Sun, Y.; Qiao, X.; Jiang, C.; Liu, S.; Zhou, Z. Texture Analysis Improves the Value of Pretreatment 18F-FDG PET/CT in Predicting Interim Response of Primary Gastrointestinal Diffuse Large B-Cell Lymphoma. Contrast Media Mol. Imaging 2020, 2020, 1–10. [Google Scholar] [CrossRef] [PubMed]
- Zhou, Y.; Ma, X.-L.; Pu, L.-T.; Zhou, R.-F.; Ou, X.-J.; Tian, R. Prediction of Overall Survival and Progression-Free Survival by the 18F-FDG PET/CT Radiomic Features in Patients with Primary Gastric Diffuse Large B-Cell Lymphoma. Contrast Media Mol. Imaging 2019, 2019. [Google Scholar] [CrossRef] [PubMed]



| Patients n (%) | |
|---|---|
| Age median (range) | 66 (17–84) |
| Sex | |
| male | 32 (56%) |
| female | 25 (44%) |
| Ann Arbor stage at diagnosis | |
| I | 19 (33%) |
| II | 12 (21%) |
| III | 8 (14%) |
| IV | 18 (32%) |
| Presence of B symptoms | 16 (28%) |
| Site of disease | |
| Fundus | 3 (5%) |
| Body | 10 (18%) |
| Antrus | 28 (49%) |
| Cardias | 3 (5%) |
| Diffuse | 13 (23%) |
| Tumor size, median (range) mm | 30 (9–153) |
| Gastritis | 40 (71%) |
| Ulcer gastric | 41 (72%) |
| Presence of Helicobacter pylori | 28 (49%) |
| Ki-67 score ≤ 15% | 10 (18%) |
| Ki-67 score > 15% | 47 (82%) |
| LDH ≤ 245 U/L | 34 (60%) |
| >245 U/L | 23 (40%) |
| IPI score ≤ 2 | 38 (67%) |
| >2 | 19 (33%) |
| SUVbw median (range) g/mL | 21.1 (3.6–62) |
| SUVlbm median (range) g/mL | 15.4 (2.9–36) |
| SUVbsa median (range) cm2/mL | 5.2 (1–11.3) |
| L-L SUV ratio median (range) | 8.3 (1.3–21) |
| L-BP SUV ratio median (range) | 11.4 (1.9–28.7) |
| gMTV median (range) cm3 | 24.1 (3.8–1100) |
| gTLG median (range) | 4435 (22–18,313) |
| tMTV median (range) cm3 | 32.95 (4–12,500) |
| TLG median (range) | 578.5 (22–29,670) |
| Variable (Median) | Metabolic Response at the End of Treatment | p Value | |
|---|---|---|---|
| Incomplete Response (n = 16) | Complete Response (n = 41) | ||
| SUVbw g/mL | 22 | 18.8 | 0.063 |
| SUVlbm g/mL | 16.1 | 14.5 | 0.512 |
| SUVbsa cm2/mL | 5.7 | 5.1 | 0.271 |
| L-L SUV R | 11.4 | 8.2 | 0.082 |
| L-BP SUV R | 12.2 | 10.1 | 0.126 |
| gMTV cm3 | 225 | 72.9 | 0.019 |
| gTLG | 4290 | 1300 | 0.004 |
| tMTVcm3 | 245 | 99 | 0.013 |
| TLG | 5701 | 1565 | 0.004 |
| ROC Analysis | |||||
|---|---|---|---|---|---|
| Variables | Threshold | AUC (95% CI) | p Value | Sensitivity (95% CI) | Specificity (95% CI) |
| SUVbw g/mL | 17.1 | 0.565 (0.420–0.700) | 0.410 | 71% (49–87) | 50% (31–69) |
| SUVlbm g/mL | 19.6 | 0.511 (0.371–0.650) | 0.890 | 87.5% (68–97) | 33% (17–53) |
| SUVbsa cm2/mL | 3.6 | 0.553 (0.411–0.688) | 0.508 | 87.5% (68–97) | 33% (17–53) |
| L-L SUV R | 10.8 | 0.578 (0.436–0.712) | 0.322 | 46% (26–67) | 73% (54–88) |
| L-BP SUV R | 2.8 | 0.564 (0.422–0.698) | 0.422 | 96% (79–100) | 20% (8–39) |
| gMTV cm3 | 28 | 0.647 (0.505–0.772) | 0.059 | 62.5% (41–82) | 70% (51–85) |
| gTLG | 350 | 0.656 (0.515–0.780) | 0.039 | 71% (49–87) | 63% (44–80) |
| tMTV cm3 | 119 | 0.694 (0.553–0.812) | 0.008 | 54% (33–74) | 83% (65–94) |
| TLG | 852 | 0.680 (0.539–0.800) | 0.014 | 58% (37–78) | 73% (54–88) |
| Univariate Analysis | Multivariate Analysis | |||
|---|---|---|---|---|
| p Value | HR (95% CI) | p Value | HR (95% CI) | |
| PFS | ||||
| Gender | 0.651 | 1.197 (0.547–2.620) | ||
| Age years | 0.688 | 0.819 (0.313–2.166) | ||
| Tumor Stage | 0.229 | 1.614 (0.739–3.522) | ||
| B symptoms | 0.673 | 1.218 (0.479–3.121) | ||
| IPI score | 0.882 | 0.939 (0.410–2.152) | ||
| LDH level U/L | 0.434 | 1.308 (0.615–3.099) | ||
| Tumor size mm | 0.108 | 0.526 (0.160–1.198) | ||
| Ki-67 score | 0.353 | 0.647(0.250–1.623) | ||
| SUVbw * g/mL | 0.122 | 1.844 (0.848–4.010) | ||
| SUVlbm * g/mL | 0.202 | 0.544 (0.213–1.388) | ||
| SUVbsa * cm2/ml | 0.178 | 1.770 (0.766–4.072) | ||
| L-L SUV R * | 0.253 | 1.602 (0.707–3.712) | ||
| L-BP SUV R * | 0.408 | 1.533 (0.557–4.232) | ||
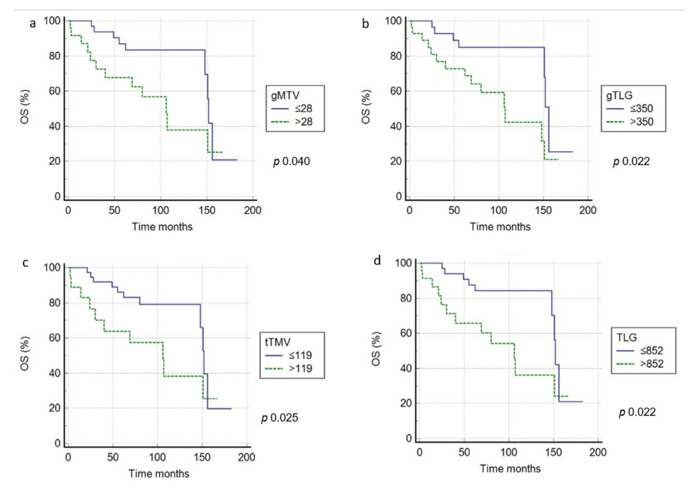
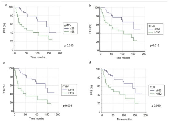
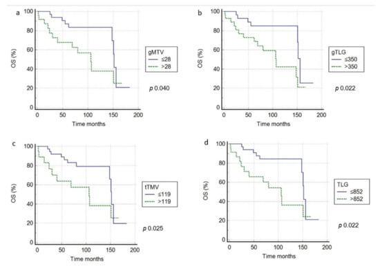
| gMTV * cm3 | 0.010 | 2.924 (1.288–6.635) | 0.269 | 2.893 (0.157–4.234) |
| gTLG * | 0.016 | 2.614 (1.194–5.726) | 0.310 | 2.193 (0.057–4.444) |
| tMTV * cm3 | 0.001 | 4.383 (1.761–10.917) | 0.023 | 1.228 (1.049–1.765) |
| TLG * | 0.010 | 2.987 (1.291–6.913) | 0.038 | 1.354 (1.069–1.989) |
| OS | ||||
| Gender | 0.805 | 0.895 (0.373–2.150) | ||
| Age years | 0.202 | 0.544 (0.213–1.388) | ||
| Tumor Stage | 0.654 | 0.821 (0.347–1.943) | ||
| B symptoms | 0.127 | 2.193 (0.798–6.092) | ||
| IPI score | 0.319 | 0.629 (0.253–1.565) | ||
| LDH level U/L | 0.623 | 0.801 (0.331–1.940) | ||
| Tumor size mm | 0.108 | 0.526 (0.160–1.198) | ||
| Ki-67 score | 0.688 | 0.819 (0.313–2.166) | ||
| SUVbw * g/mL | 0.054 | 2.344 (0.983–5.588) | ||
| SUVlbm * g/mL | 0.343 | 0.603 (0.211–1.717) | ||
| SUVbsa * cm2/mL | 0.101 | 2.188 (0.857–5.585) | ||
| L-L SUV R * | 0.371 | 1.518 (0.607–3.796) | ||
| L-BP SUV R * | 0.355 | 1.723 (0.547–5.427) | ||
| gMTV cm3 | 0.040 | 2.573 (1.043–6.344) | 0.362 | 1.001 (0.998–1.004) |
| gTLG | 0.022 | 2.768 (1.158–6.647) | 0.375 | 0.597 (0.191–1.864) |
| tMTV * cm3 | 0.025 | 2.444 (1.943–4.338) | 0.038 | 3.333 (1.201–8.858) |
| TLG * | 0.022 | 2.896 (1.159–7.233) | 0.026 | 3.161 (1.233–8.103) |
Publisher’s Note: MDPI stays neutral with regard to jurisdictional claims in published maps and institutional affiliations. |
© 2021 by the authors. Licensee MDPI, Basel, Switzerland. This article is an open access article distributed under the terms and conditions of the Creative Commons Attribution (CC BY) license (https://creativecommons.org/licenses/by/4.0/).
Share and Cite
Albano, D.; Dondi, F.; Mazzoletti, A.; Bellini, P.; Giubbini, R.; Bertagna, F. Prognostic Impact of Pretreatment 2-[18F]-FDG PET/CT Parameters in Primary Gastric DLBCL. Medicina 2021, 57, 498. https://doi.org/10.3390/medicina57050498
Albano D, Dondi F, Mazzoletti A, Bellini P, Giubbini R, Bertagna F. Prognostic Impact of Pretreatment 2-[18F]-FDG PET/CT Parameters in Primary Gastric DLBCL. Medicina. 2021; 57(5):498. https://doi.org/10.3390/medicina57050498
Chicago/Turabian StyleAlbano, Domenico, Francesco Dondi, Angelica Mazzoletti, Pietro Bellini, Raffaele Giubbini, and Francesco Bertagna. 2021. "Prognostic Impact of Pretreatment 2-[18F]-FDG PET/CT Parameters in Primary Gastric DLBCL" Medicina 57, no. 5: 498. https://doi.org/10.3390/medicina57050498
APA StyleAlbano, D., Dondi, F., Mazzoletti, A., Bellini, P., Giubbini, R., & Bertagna, F. (2021). Prognostic Impact of Pretreatment 2-[18F]-FDG PET/CT Parameters in Primary Gastric DLBCL. Medicina, 57(5), 498. https://doi.org/10.3390/medicina57050498

