Comparison between Fluorimetry (Qubit) and Spectrophotometry (NanoDrop) in the Quantification of DNA and RNA Extracted from Frozen and FFPE Tissues from Lung Cancer Patients: A Real-World Use of Genomic Tests
Abstract
:1. Introduction
2. Materials and Methods
2.1. Samples
2.2. Extraction of DNA and RNA
2.3. Quantification of DNA and RNA
2.4. Routine Genomic Tests
2.5. Panel Sequencing
2.6. Statistical Analysis
3. Results
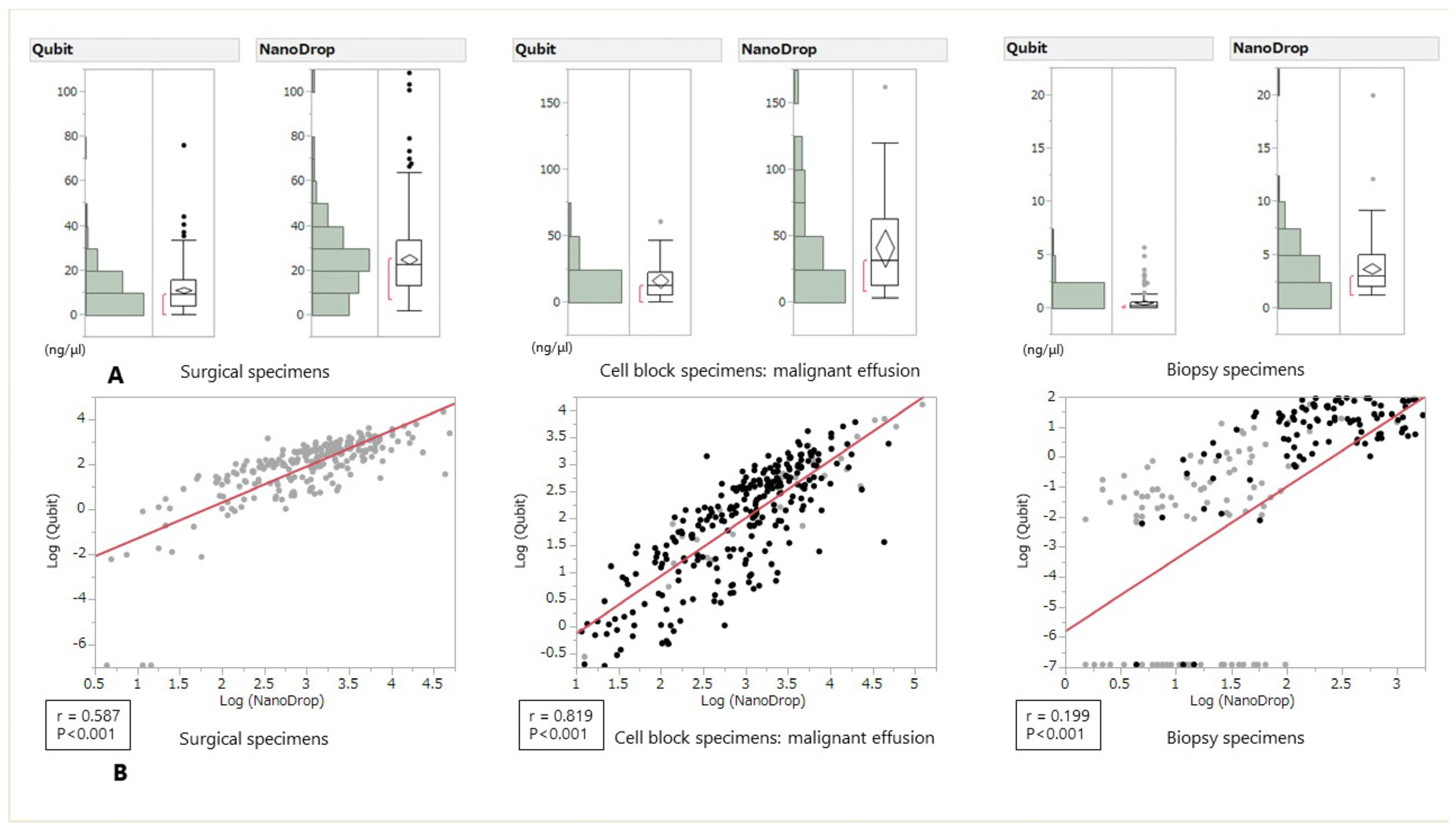
3.1. Quality of Frozen-DNA and RNA
3.2. Quantification of Frozen DNA by NanoDrop and Qubit
3.3. Quantification of Frozen RNA by NanoDrop and Qubit
3.4. Results of Routine Genomic Tests with Suboptimal DNA and RNA Specimens
3.5. Results of Routine NGS Panel Sequencing with Suboptimal DNA and RNA Specimens
4. Discussion
5. Conclusions
Author Contributions
Funding
Institutional Review Board Statement
Informed Consent Statement
Data Availability Statement
Acknowledgments
Conflicts of Interest
References
- Lindeman, N.I.; Cagle, P.T.; Aisner, D.L.; Arcila, M.E.; Beasley, M.B.; Bernicker, E.H.; Colasacco, C.; Dacic, S.; Hirsch, F.R.; Kerr, K.; et al. Updated Molecular Testing Guideline for the Selection of Lung Cancer Patients for Treatment With Targeted Tyrosine Kinase Inhibitors: Guideline From the College of American Pathologists, the International Association for the Study of Lung Cancer, and the Association for Molecular Pathology. J. Mol. Diagn. JMD 2018, 20, 129–159. [Google Scholar]
- National Comprehensive Cancer Network. NCCN Clinical Practice Guidelines in Oncology. Non-Small Cell Lung Cancer. 2018. Available online: https://www.nccn.org/professionals/physician_gls/pdf/nscl.pdf (accessed on 11 February 2020).
- Novello, S.; Barlesi, F.; Califano, R.; Cufer, T.; Ekman, S.; Levra, M.G.; Kerr, K.; Popat, S.; Reck, M.; Senan, S.; et al. Metastatic non-small-cell lung cancer: ESMO Clinical Practice Guidelines for diagnosis, treatment and follow-up. Ann. Oncol. Off. J. Eur. Soc. Med Oncol. 2016, 27, v1–v27. [Google Scholar] [CrossRef]
- Hanna, N.; Johnson, D.; Temin, S.; Baker, S., Jr.; Brahmer, J.; Ellis, P.M.; Giaccone, G.; Hesketh, P.J.; Jaiyesimi, I.; Leighl, N.B.; et al. Systemic Therapy for Stage IV Non-Small-Cell Lung Cancer: American Society of Clinical Oncology Clinical Practice Guideline Update. J. Clin. Oncol. Off. J. Am. Soc. Clin. Oncol. 2017, 35, 3484–3515. [Google Scholar] [CrossRef] [PubMed]
- Kalemkerian, G.P.; Narula, N.; Kennedy, E.B. Molecular Testing Guideline for the Selection of Lung Cancer Patients for Treatment with Targeted Tyrosine Kinase Inhibitors: American Society of Clinical Oncology Endorsement Summary of the College of American Pathologists/International Association for the Study of Lung Cancer/Association for Molecular Pathology Clinical Practice Guideline Update. J. Oncol. Pract. 2018, 14, 323–327. [Google Scholar]
- Betsou, F.; Bilbao, R.; Case, J.; Chuaqui, R.; Clements, J.A.; De Souza, Y.; De Wilde, A.; Geiger, J.; Grizzle, W.; Guadaguni, F. Standard PREanalytical Code Version 3.0. Biopreservation Biobanking 2018, 16, 1. [Google Scholar] [CrossRef] [PubMed]
- Glasel, J.A. Validity of nucleic acid purities monitored by 260 nm/280 nm absorbance ratios. BioTechniques 1995, 18, 62–63. [Google Scholar]
- Huberman, J.A. Importance of measuring nucleic acid absorbance at 240 nm as well as at 260 and 280 nm. BioTechniques 1995, 18, 636. [Google Scholar] [PubMed]
- Manchester, K.L. Value of A260/A280 ratios for measurement of purity of nucleic acids. BioTechniques 1995, 19, 208–210. [Google Scholar] [PubMed]
- Singer, V.L.; Jones, L.J.; Yue, S.T.; Haugland, R.P. Characterization of PicoGreen reagent and development of a fluorescence-based solution assay for double-stranded DNA quantitation. Anal. Biochem. 1997, 249, 228–238. [Google Scholar] [CrossRef] [Green Version]
- Jones, L.J.; Yue, S.T.; Cheung, C.Y.; Singer, V.L. RNA quantitation by fluorescence-based solution assay: RiboGreen reagent characterization. Anal. Biochem. 1998, 265, 368–374. [Google Scholar] [CrossRef] [PubMed]
- Le Pecq, J.B.; Paoletti, C. A new fluorometric method for RNA and DNA determination. Anal. Biochem. 1966, 17, 100–107. [Google Scholar] [CrossRef]
- Kapuscinski, J. DAPI: A DNA-specific fluorescent probe. Biotech. Histochem. Off. Publ. Biol. Stain Comm. 1995, 70, 220–233. [Google Scholar] [CrossRef]
- Sedlackova, T.; Repiska, G.; Celec, P.; Szemes, T.; Minarik, G. Fragmentation of DNA affects the accuracy of the DNA quantitation by the commonly used methods. Biol. Proced. Online 2013, 15, 5. [Google Scholar] [CrossRef] [PubMed] [Green Version]
- Simbolo, M.; Gottardi, M.; Corbo, V.; Fassan, M.; Mafficini, A.; Malpeli, G.; Lawlor, R.T.; Scarpa, A. DNA qualification workflow for next generation sequencing of histopathological samples. PLoS ONE 2013, 8, e62692. [Google Scholar] [CrossRef] [PubMed] [Green Version]
- Heydt, C.; Fassunke, J.; Künstlinger, H.; Ihle, M.A.; König, K.; Heukamp, L.C.; Schildhaus, H.U.; Odenthal, M.; Büttner, R.; Merkelbach-Bruse, S. Comparison of pre-analytical FFPE sample preparation methods and their impact on massively parallel sequencing in routine diagnostics. PLoS ONE 2014, 9, e104566. [Google Scholar] [CrossRef] [PubMed]
- Tanaka, K.; Hida, T.; Oya, Y.; Yoshida, T.; Shimizu, J.; Mizuno, T.; Kuroda, H.; Sakakura, N.; Yoshimura, K.; Horio, Y.; et al. Unique prevalence of oncogenic genetic alterations in young patients with lung adenocarcinoma. Cancer 2017, 123, 1731–1740. [Google Scholar] [CrossRef] [PubMed] [Green Version]
- Hadd, A.G.; Houghton, J.; Choudhary, A.; Sah, S.; Chen, L.; Marko, A.C.; Sanford, T.; Buddavarapu, K.; Krosting, J.; Garmire, L.; et al. Targeted, high-depth, next-generation sequencing of cancer genes in formalin-fixed, paraffin-embedded and fine-needle aspiration tumor specimens. J. Mol. Diagn. JMD 2013, 15, 234–247. [Google Scholar] [CrossRef]
- Tuononen, K.; Mäki-Nevala, S.; Sarhadi, V.K.; Wirtanen, A.; Rönty, M.; Salmenkivi, K.; Andrews, J.M.; Telaranta-Keerie, A.I.; Hannula, S.; Lagström, S.; et al. Comparison of targeted next-generation sequencing (NGS) and real-time PCR in the detection of EGFR, KRAS, and BRAF mutations on formalin-fixed, paraffin-embedded tumor material of non-small cell lung carcinoma-superiority of NGS. Genes Chromosomes Cancer 2013, 52, 503–511. [Google Scholar] [CrossRef] [PubMed]
- Sah, S.; Chen, L.; Houghton, J.; Kemppainen, J.; Marko, A.C.; Zeigler, R.; Latham, G.J. Functional DNA quantification guides accurate next-generation sequencing mutation detection in formalin-fixed, paraffin-embedded tumor biopsies. Genome Med. 2013, 5, 77. [Google Scholar] [CrossRef] [Green Version]
- NTECHNICAL NOTE. Comparison of Fluorescence-Based Quantitation with UV Absorbance Measurements. Available online: https://tools.thermofisher.com/content/sfs/brochures/fluorescence-UV-quantitation-comparison-tech-note.pdf2016 (accessed on 11 February 2020).
- Bonin, S.; Hlubek, F.; Benhattar, J.; Denkert, C.; Dietel, M.; Fernandez, P.L.; Höfler, G.; Kothmaier, H.; Kruslin, B.; Mazzanti, C.M.; et al. Multicentre validation study of nucleic acids extraction from FFPE tissues. Virchows Arch. Int. J. Pathol. 2010, 457, 309–317. [Google Scholar] [CrossRef] [Green Version]
- Turashvili, G.; Yang, W.; McKinney, S.; Kalloger, S.; Gale, N.; Ng, Y.; Chow, K.; Bell, L.; Lorette, J.; Carrier, M.; et al. Nucleic acid quantity and quality from paraffin blocks: Defining optimal fixation, processing and DNA/RNA extraction techniques. Exp. Mol. Pathol. 2012, 92, 33–43. [Google Scholar] [CrossRef] [PubMed]
- Klein, D. Quantification using real-time PCR technology: Applications and limitations. Trends Mol. Med. 2002, 8, 257–260. [Google Scholar] [CrossRef]
- Oncomine™ Dx Target Test Part I: Sample Preparation and Quantification USER GUIDE. Available online: https://www.accessdata.fda.gov/cdrh_docs/pdf16/p160045c.pdf (accessed on 21 June 2017).



| Tissue Type | DNA (%) | RNA (%) |
|---|---|---|
| Surgery specimen | 249 (64.3) | 336 (60.2) |
| Cell block specimen | 31 (8.1) | 51 (9.2) |
| Biopsy specimen | 107 (27.6) | 171 (30.6) |
| Total | 387 (100) | 558 (100) |
| DNA Based Genomic Tests | Success Rate (%) |
|---|---|
| CycleaveTM EGFR L858R | 26/27 (96.3) |
| Fragment EGFR exon 19 deletions | 26/27 (96.3) |
| CycleaveTM EGFR exon 20 insertions | 25/27 (92.6) |
| CycleaveTM KRAS G12X | 26/27 (96.3) |
| Fragment HER2 exon 20 insertions | 26/27 (96.3) |
| RNA based genomic tests | |
| MET exon 14 RT-PCR | 86/153 (56.2) |
| EGFR RT-PCR | 54/150 (36.0) |
| KRAS RT-PCR | 91/150 (60.7) |
| TP53 RT-PCR | 60/144 (41.7) |
| ALK fusion RT-PCR | 59/150 (39.3) |
| BRAF RT-PCR | 78/148 (52.7) |
| Sample Type | Required Concentration | Required *R2 Values |
|---|---|---|
| DNA | ≥0.83 ng/µL | ≥0.99 |
| RNA | ≥1.43 ng/µL | ≥0.98 |
| Methods | Success Rate (%) |
|---|---|
| AmpliSeqTM DNA panel sequence | 14/18 (77.8) |
| AmpliSeqTM RNA panel sequence | 43/47 (91.5) |
Publisher’s Note: MDPI stays neutral with regard to jurisdictional claims in published maps and institutional affiliations. |
© 2021 by the authors. Licensee MDPI, Basel, Switzerland. This article is an open access article distributed under the terms and conditions of the Creative Commons Attribution (CC BY) license (https://creativecommons.org/licenses/by/4.0/).
Share and Cite
Masago, K.; Fujita, S.; Oya, Y.; Takahashi, Y.; Matsushita, H.; Sasaki, E.; Kuroda, H. Comparison between Fluorimetry (Qubit) and Spectrophotometry (NanoDrop) in the Quantification of DNA and RNA Extracted from Frozen and FFPE Tissues from Lung Cancer Patients: A Real-World Use of Genomic Tests. Medicina 2021, 57, 1375. https://doi.org/10.3390/medicina57121375
Masago K, Fujita S, Oya Y, Takahashi Y, Matsushita H, Sasaki E, Kuroda H. Comparison between Fluorimetry (Qubit) and Spectrophotometry (NanoDrop) in the Quantification of DNA and RNA Extracted from Frozen and FFPE Tissues from Lung Cancer Patients: A Real-World Use of Genomic Tests. Medicina. 2021; 57(12):1375. https://doi.org/10.3390/medicina57121375
Chicago/Turabian StyleMasago, Katsuhiro, Shiro Fujita, Yuko Oya, Yusuke Takahashi, Hirokazu Matsushita, Eiichi Sasaki, and Hiroaki Kuroda. 2021. "Comparison between Fluorimetry (Qubit) and Spectrophotometry (NanoDrop) in the Quantification of DNA and RNA Extracted from Frozen and FFPE Tissues from Lung Cancer Patients: A Real-World Use of Genomic Tests" Medicina 57, no. 12: 1375. https://doi.org/10.3390/medicina57121375
APA StyleMasago, K., Fujita, S., Oya, Y., Takahashi, Y., Matsushita, H., Sasaki, E., & Kuroda, H. (2021). Comparison between Fluorimetry (Qubit) and Spectrophotometry (NanoDrop) in the Quantification of DNA and RNA Extracted from Frozen and FFPE Tissues from Lung Cancer Patients: A Real-World Use of Genomic Tests. Medicina, 57(12), 1375. https://doi.org/10.3390/medicina57121375

