In Vivo PK-PD and Drug–Drug Interaction Study of Dorzagliatin for the Management of PI3Kα Inhibitor-Induced Hyperglycemia
Abstract
1. Introduction
1.1. Primary Adverse Effects of PI3Ki: Hyperglycemia
1.2. Limitations of Current Hyperglycemia Management Strategies
1.3. Dorzagliatin: A Novel Alternative for PI3Ki-Induced Hyperglycemia
2. Results
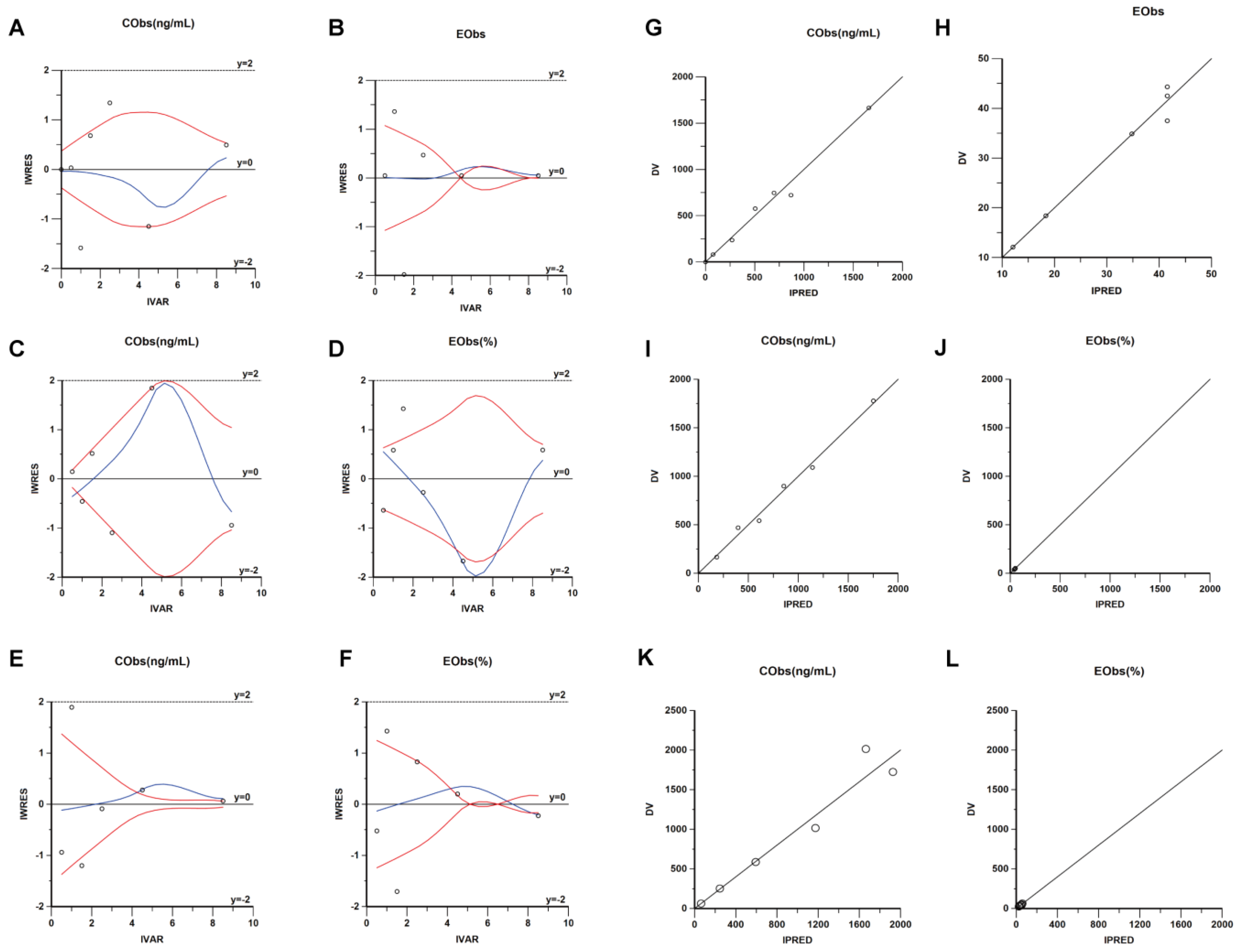
2.1. LC-MS/MS Analysis
2.2. Effect of Dorzagliatin on WX390 and BYL719 Pharmacokinetics in Nude Mice
2.3. Effect of Dorzagliatin on Tumor Levels in OVCAR3 Xenograft Tumor-Bearing Nude Mice
2.4. Effect of Dorzagliatin on Blood Glucose Levels in Nude Mice of PI3Ki-Induced Hyperglycemia
2.5. PK/PD Research
3. Discussion
3.1. The Advantages of Determining Dorzagliatin, WX390 and BYL719 by LC-MS/MS Method
3.2. An Overview of the Pharmacokinetic Profiles of the Three Investigated Pharmaceuticals
3.3. Mechanisms for Drug Drug Interaction Between Dorzagliatin and PI3Ki
3.3.1. CYP3A4 Does Not Contribute to the Enhanced Exposure of Dorzagliatin
3.3.2. The P-gp Is Likely the Principal Factor Contributing to the Elevation of AUC for Dorzagliatin
3.3.3. Dorzagliatin Enhances the Anti-Tumor Efficacy of PI3Ki
4. Materials and Methods
4.1. Test Compounds and Materials
4.2. Measurement of WX390, BYL719, and Dorzagliatin Levels in OVCAR3 Xenograft Tumor-Bearing Nude Mice
4.2.1. Animals
4.2.2. Oral Gavage Formulation
4.2.3. In Vivo Tumor Growth Experiments
4.3. Quantification of WX390, BYL719, and Dorzagliatin
4.3.1. Sample Preparation
4.3.2. Determination of WX390, BYL719, and Dorzagliatin by LC-MS/MS
- Solvent A: Water with 5 mM ammonium acetate and 0.1% formic acid.
- Solvent B: Acetonitrile with 5 mM ammonium acetate.
- The gradient conditions were as follows:
- 0–0.3 min: 5–70% Solvent B.
- 0.3–1.0 min: 70% Solvent B.
- 1.0–1.8 min: 70–98% Solvent B.
- 1.8–2.5 min: 98% Solvent B.
- 2.5–2.51 min: 98–100% Solvent B.
- 2.51–3.0 min: 100% Solvent B.
- 3.0–3.1 min: 100–5% Solvent B.
- 3.11–4.0 min:5% Solvent B.
4.4. Tumor Measurement
- a represents the longest tumor diameter.
- b represents the shortest diameter.
- Vend represents mean tumor volume at the end of treatment in the group.
- V0 represents mean tumor volume at the start of treatment in the group.
- exp represents the treated groups.
- control represents the vehicle control group.
- TRTV is the Relative Tumor Volume of the treatment group.
- CRTV is the Relative Tumor Volume of the negative control group.
- V0 is the mean tumor volume at the time of grouping (day 0).
- Vt is the mean tumor volume at a given measurement time.
4.5. Pharmacodynamic Study Design of Dorzagliatin in Nude Mice
4.6. Model Development
4.6.1. PK Analysis
4.6.2. PK/PD Analysis
- FPGexp represents the FPG levels in the dorzagliatin group, dorzagliatin + WX390 group, or the dorzagliatin + BYL719 group.
- FPGcontrol represents the FPG levels in the vehicle control group, WX390 group, or BYL719 group.
- E represents the mean percent blood glucose reduction.
- Cₑ indicates the plasma concentration of the drug that elicits a pharmacodynamic response.
- E0 is the baseline drug effect.
- Eₘₐₓ represents the maximum potential drug effect.
- EC50 is the plasma concentration at which 50% of the maximum drug effect is observed.
- γ denotes the Hill coefficient, which reflects the steepness of the concentration-effect curve.
4.7. Data Analysis
5. Conclusions
6. Patents
Author Contributions
Funding
Institutional Review Board Statement
Informed Consent Statement
Data Availability Statement
Conflicts of Interest
Abbreviations
| Pi3Ki | PI3Kα inhibitors |
| PK-PD | pharmacokinetic-pharmacodynamic |
| Dorz | Dorzagliatin |
| P-gp | P-glycoprotein |
| BYL719 | alpelisib |
| T2DM | type 2 diabetes mellitus |
| LC-MS/MS | high performance liquid chromatography-tandem mass spectrometry |
| MC | methylcellulose |
| NCA | Noncompartmental Analysis |
| Cₘₐₓ | maximum plasma concentration |
| Tₘₐₓ | time to reach maximum concentration |
| AUC | area under the plasma concentration-time curve |
| AIC | Akaike Information Criterion |
| ADRs | adverse drug reactions |
| FPG | fasting plasma glucose |
| ∆FPG | the percent reduction in blood glucose levels |
| LLOQ | lower limits of quantification |
| DDI | drug–drug interaction |
| bRo5 | beyond Rule of 5 |
| DMEs | drug-metabolizing enzymes |
| KO | knockout |
References
- Saito, Y.; Koya, J.; Araki, M.; Kogure, Y.; Shingaki, S.; Tabata, M.; McClure, M.B.; Yoshifuji, K.; Matsumoto, S.; Isaka, Y.; et al. Landscape and Function of Multiple Mutations within Individual Oncogenes. Nature 2020, 582, 95–99. [Google Scholar] [CrossRef] [PubMed]
- Wei, W.; Dizon, D.; Vathipadiekal, V.; Birrer, M.J. Ovarian Cancer: Genomic Analysis. Ann. Oncol. 2013, 24, x7–x15. [Google Scholar] [CrossRef]
- Ediriweera, M.K.; Tennekoon, K.H.; Samarakoon, S.R. Role of the PI3K/AKT/mTOR Signaling Pathway in Ovarian Cancer: Biological and Therapeutic Significance. Semin. Cancer Biol. 2019, 59, 147–160. [Google Scholar] [CrossRef] [PubMed]
- Mabuchi, S.; Kuroda, H.; Takahashi, R.; Sasano, T. The PI3K/AKT/mTOR Pathway as a Therapeutic Target in Ovarian Cancer. Gynecol. Oncol. 2015, 137, 173–179. [Google Scholar] [CrossRef]
- Ando, Y.; Iwasa, S.; Takahashi, S.; Saka, H.; Kakizume, T.; Natsume, K.; Suenaga, N.; Quadt, C.; Yamada, Y. Phase I Study of Alpelisib (BYL719), an A-specific PI3K Inhibitor, in Japanese Patients with Advanced Solid Tumors. Cancer Sci. 2019, 110, 1021–1031. [Google Scholar] [CrossRef] [PubMed]
- André, F.; Ciruelos, E.M.; Juric, D.; Loibl, S.; Campone, M.; Mayer, I.A.; Rubovszky, G.; Yamashita, T.; Kaufman, B.; Lu, Y.-S.; et al. Alpelisib plus Fulvestrant for PIK3CA-Mutated, Hormone Receptor-Positive, Human Epidermal Growth Factor Receptor-2–Negative Advanced Breast Cancer: Final Overall Survival Results from SOLAR-1. Ann. Oncol. 2021, 32, 208–217. [Google Scholar] [CrossRef]
- Wang, D.; Li, C.; Zhang, Y.; Wang, M.; Jiang, N.; Xiang, L.; Li, T.; Roberts, T.M.; Zhao, J.J.; Cheng, H.; et al. Combined Inhibition of PI3K and PARP Is Effective in the Treatment of Ovarian Cancer Cells with Wild-Type PIK3CA Genes. Gynecol. Oncol. 2016, 142, 548–556. [Google Scholar] [CrossRef]
- Xiao, Y.; Yu, Y.; Jiang, P.; Li, Y.; Wang, C.; Zhang, R. The PI3K/mTOR Dual Inhibitor GSK458 Potently Impedes Ovarian Cancer Tumorigenesis and Metastasis. Cell Oncol. 2020, 43, 669–680. [Google Scholar] [CrossRef]
- Chen, J.; Zhang, X.D.; Chi, M.; Ye, Y. Insulin Induces Drug Resistance in Melanoma through Activation of the PI3K/Akt Pathway. Drug Des. Dev. Ther. 2014, 8, 255–262. [Google Scholar] [CrossRef]
- Percik, R.; Oedegaard Smith, C.; Leibovici, A.; Shai, A. Treating Alpelisib-Induced Hyperinsulinemia in Patients with Advanced Breast Cancer—A Real-Life Experience. Biologics 2023, 17, 61–67. [Google Scholar] [CrossRef]
- André, F.; Ciruelos, E.; Rubovszky, G.; Campone, M.; Loibl, S.; Rugo, H.S.; Iwata, H.; Conte, P.; Mayer, I.A.; Kaufman, B.; et al. Alpelisib for PIK3CA-Mutated, Hormone Receptor-Positive Advanced Breast Cancer. N. Engl. J. Med. 2019, 380, 1929–1940. [Google Scholar] [CrossRef] [PubMed]
- Chen, H.; Sun, B.; Gao, W.; Qiu, Y.; Wei, W.; Li, Y.; Ye, W.; Song, H.; Hua, C.; Lin, X. PIK3CA Mutations Enhance the Adipogenesis of ADSCs in Facial Infiltrating Lipomatosis through TRPV1. iScience 2024, 27, 110467. [Google Scholar] [CrossRef]
- Zhang, S.; Zhu, X.; Gao, L.; Qi, Y.; Jia, X.; Li, Y.; Guo, Y.; Ding, Y. Phase Ib Study of a High Potent PI3K-mTOR Dual Inhibitor WX390 Combined with Toripalimab in Patients with Advanced Solid Tumors. J. Clin. Oncol. 2024, 42, e14627. [Google Scholar] [CrossRef]
- Hopkins, B.D.; Pauli, C.; Du, X.; Wang, D.G.; Li, X.; Wu, D.; Amadiume, S.C.; Goncalves, M.D.; Hodakoski, C.; Lundquist, M.R.; et al. Suppression of Insulin Feedback Enhances the Efficacy of PI3K Inhibitors. Nature 2018, 560, 499–503. [Google Scholar] [CrossRef] [PubMed]
- Gallagher, E.J.; LeRoith, D. Hyperinsulinaemia in Cancer. Nat. Rev. Cancer 2020, 20, 629–644. [Google Scholar] [CrossRef] [PubMed]
- Yang, W.; Zhu, D.; Gan, S.; Dong, X.; Su, J.; Li, W.; Jiang, H.; Zhao, W.; Yao, M.; Song, W.; et al. Dorzagliatin Add-on Therapy to Metformin in Patients with Type 2 Diabetes: A Randomized, Double-Blind, Placebo-Controlled Phase 3 Trial. Nat. Med. 2022, 28, 974–981. [Google Scholar] [CrossRef]
- Zhu, D.; Li, X.; Ma, J.; Zeng, J.; Gan, S.; Dong, X.; Yang, J.; Lin, X.; Cai, H.; Song, W.; et al. Dorzagliatin in Drug-Naïve Patients with Type 2 Diabetes: A Randomized, Double-Blind, Placebo-Controlled Phase 3 Trial. Nat. Med. 2022, 28, 965–973. [Google Scholar] [CrossRef] [PubMed]
- Ren, Y.; Li, L.; Wan, L.; Huang, Y.; Cao, S. Glucokinase as an Emerging Anti-Diabetes Target and Recent Progress in the Development of Its Agonists. J. Enzym. Inhib. Med. Chem. 2022, 37, 606–615. [Google Scholar] [CrossRef]
- Jin, G.; Liu, S.; Zheng, K.; Cheng, X.; Chai, R.; Ye, W.; Wei, W.; Li, Y.; Huang, A.; Li, G.; et al. Therapeutic Management of PI3Kα Inhibitor-Induced Hyperglycemia with a Novel Glucokinase Activator: Advancing the Frontier of PI3Kα Inhibitor Therapy. Mol. Metab. 2025, 96, 102151. [Google Scholar] [CrossRef]
- Zhu, D.; Gan, S.; Liu, Y.; Ma, J.; Dong, X.; Song, W.; Zeng, J.; Wang, G.; Zhao, W.; Zhang, Q.; et al. Dorzagliatin Monotherapy in Chinese Patients with Type 2 Diabetes: A Dose-Ranging, Randomised, Double-Blind, Placebo-Controlled, Phase 2 Study. Lancet Diabetes Endocrinol. 2018, 6, 627–636. [Google Scholar] [CrossRef]
- Borrego, M.R.; Lu, Y.-S.; Reyes-Cosmelli, F.; Park, Y.H.; Yamashita, T.; Chiu, J.; Airoldi, M.; Turner, N.; Fein, L.; Ghaznawi, F.; et al. SGLT2 Inhibition Improves PI3Kα Inhibitor–Induced Hyperglycemia: Findings from Preclinical Animal Models and from Patients in the BYLieve and SOLAR-1 Trials. Breast Cancer Res. Treat. 2024, 208, 111–121. [Google Scholar] [CrossRef]
- Wang, Q.; Lan, X.; Zhao, Z.; Su, X.; Zhang, Y.; Zhou, X.-Y.; Xu, R.-A. Characterization of Alpelisib in Rat Plasma by a Newly Developed UPLC-MS/MS Method: Application to a Drug-Drug Interaction Study. Front. Pharmacol. 2021, 12, 743411. [Google Scholar] [CrossRef]
- Yang, R.; Ren, S.; Jin, X.; Sun, Y.; Dong, Y.; Zhang, J.; Liang, W.; Chen, L. Determination of Unbound Fraction of Dorzagliatin in Human Plasma by Equilibrium Dialysis and LC-MS/MS and Its Application to a Clinical Pharmacokinetic Study. J. Pharm. Biomed. Anal. 2021, 195, 113854. [Google Scholar] [CrossRef]
- Lee, S.; Kim, M.-S.; Jeong, J.-W.; Chae, J.; Koo, T.-S.; Maeng, H.-J.; Chung, S.-J.; Lee, K.-R.; Chae, Y.-J. Bioanalysis of Alpelisib Using Liquid Chromatography–Tandem Mass Spectrometry and Application to Pharmacokinetic Study. J. Anal. Sci. Technol. 2022, 13, 31. [Google Scholar] [CrossRef]
- Sheng, L.; Xu, H.; Chen, W.; Yuan, F.; Yang, M.; Li, H.; Li, X.; Choi, J.; Zhao, G.; Hu, T.H.; et al. Safety, Tolerability, Pharmacokinetics, and Pharmacodynamics of Novel Glucokinase Activator HMS5552: Results from a First-in-Human Single Ascending Dose Study. Drug Des. Dev. Ther. 2016, 2016, 1619–1626. [Google Scholar] [CrossRef] [PubMed]
- Nair, A.B.; Jacob, S. A Simple Practice Guide for Dose Conversion between Animals and Human. J. Basic Clin. Pharm. 2016, 7, 27–31. [Google Scholar] [CrossRef] [PubMed]
- Miao, J.; Fu, P.; Ren, S.; Hu, C.; Wang, Y.; Jiao, C.; Li, P.; Zhao, Y.; Tang, C.; Qian, Y.; et al. Effect of Renal Impairment on the Pharmacokinetics and Safety of Dorzagliatin, a Novel Dual-Acting Glucokinase Activator. Clin. Transl. Sci. 2022, 15, 548–557. [Google Scholar] [CrossRef]
- Zhu, D.; Ding, Y.; Xiao, D.; Fan, H.; Hu, P.; Li, X.; Li, Y.; Zhang, Y.; Chen, L. Clinically Differentiated Glucokinase Activator HMS5552: Effective Control of 24-Hour Glucose and Improvement of β-Cell Function in T2DM Patients. Diabetes 2015, 64, A301. [Google Scholar]
- Song, L.; Zhang, Y.; Jiang, J.; Ren, S.; Chen, L.; Liu, D.; Chen, X.; Hu, P. Development of a Physiologically Based Pharmacokinetic Model for Sinogliatin, a First-in-Class Glucokinase Activator, by Integrating Allometric Scaling, In Vitro to In Vivo Exploration and Steady-State Concentration–Mean Residence Time Methods: Mechanistic Understanding of Its Pharmacokinetics. Clin. Pharmacokinet. 2018, 57, 1307–1323. [Google Scholar] [CrossRef]
- De Buck, S.S.; Jakab, A.; Boehm, M.; Bootle, D.; Juric, D.; Quadt, C.; Goggin, T.K. Population Pharmacokinetics and Pharmacodynamics of BYL719, a Phosphoinositide 3-Kinase Antagonist, in Adult Patients with Advanced Solid Malignancies. Br. J. Clin. Pharmacol. 2014, 78, 543–555. [Google Scholar] [CrossRef]
- FDA. Label of PIQRAY® (Alpelisib); FDA: Silver Spring, MD, USA, 2019. [Google Scholar]
- Wang, J.; Zhao, Z.; Xu, W.; Hu, X.; Jin, P. First Marketed Glucokinase Activator for Antidiabetic Therapy: Dorzagliatin. Chin. Pharm. J. 2024, 59, 651–656. [Google Scholar]
- Gajewska, M.; Blumenstein, L.; Kourentas, A.; Mueller-Zsigmondy, M.; Lorenzo, S.; Sinn, A.; Velinova, M.; Heimbach, T. Physiologically Based Pharmacokinetic Modeling of Oral Absorption, pH, and Food Effect in Healthy Volunteers to Drive Alpelisib Formulation Selection. AAPS J. 2020, 22, 134. [Google Scholar] [CrossRef]
- van Helvoort, A.; Smith, A.J.; Sprong, H.; Fritzsche, I.; Schinkel, A.H.; Borst, P.; van Meer, G. MDR1 P-Glycoprotein Is a Lipid Translocase of Broad Specificity, While MDR3 P-Glycoprotein Specifically Translocates Phosphatidylcholine. Cell 1996, 87, 507–517. [Google Scholar] [CrossRef]
- Thiebaut, F.; Tsuruo, T.; Hamada, H.; Gottesman, M.M.; Pastan, I.; Willingham, M.C. Cellular Localization of the Multidrug-Resistance Gene Product P-Glycoprotein in Normal Human Tissues. Proc. Natl. Acad. Sci. USA 1987, 84, 7735–7738. [Google Scholar] [CrossRef]
- Lin, J.H.; Yamazaki, M. Clinical Relevance of P-Glycoprotein in Drug Therapy. Drug Metab. Rev. 2003, 35, 417–454. [Google Scholar] [CrossRef]
- CHMP. Guideline on the Investigation of Drug Interactions; CHMP: Amsterdam, The Netherlands, 2012. [Google Scholar]
- Sudsakorn, S.; Bahadduri, P.; Fretland, J.; Lu, C. 2020 FDA Drug-Drug Interaction Guidance: A Comparison Analysis and Action Plan by Pharmaceutical Industrial Scientists. Curr. Drug Metab. 2020, 21, 403–426. [Google Scholar] [CrossRef]
- Miyake, T. Estimating Efflux Transporter-Mediated Disposition of Molecules beyond the Rule of Five (bRo5) Using Transporter Gene Knockout Rats. Biol. Pharm. Bull. 2020, 43, 384–392. [Google Scholar] [CrossRef]
- Jaiswal, S.; Sharma, A.; Shukla, M.; Vaghasiya, K.; Rangaraj, N.; Lal, J. Novel Pre-Clinical Methodologies for Pharmacokinetic Drug–Drug Interaction Studies: Spotlight on “Humanized” Animal Models. Drug Metab. Rev. 2014, 46, 475–493. [Google Scholar] [CrossRef]
- Pollak, M. The Insulin and Insulin-like Growth Factor Receptor Family in Neoplasia: An Update. Nat. Rev. Cancer 2012, 12, 159–169. [Google Scholar] [CrossRef]









| Parameter | WX390 | BYL719 | Dorzagliatin | |||||||||
|---|---|---|---|---|---|---|---|---|---|---|---|---|
| Quality control sample (target concentration) | LLOQ 0.1 ng/mL | L-QC 1 ng/mL | M-QC 40 ng/mL | H-QC 200 ng/mL | LLOQ 1 ng/mL | L-QC 10 ng/mL | M-QC 400 ng/mL | H-QC 2000 ng/mL | LLOQ 2 ng/mL | L-QC 20 ng/mL | M-QC 800 ng/mL | H-QC 4000 ng/mL |
| Number of analyzed samples | 10 | 10 | 10 | 10 | 10 | 10 | 10 | 10 | 10 | 10 | 10 | 10 |
| Concentration found ng/mL (median, range) | 0.10 ± 0.01 | 1.02 ± 0.03 | 39.56 ± 1.54 | 201.78 ± 2.86 | 1.04 ± 0.12 | 10.15 ± 0.26 | 408.42 ± 16.34 | 2014.14 ± 16.28 | 1.92 ± 0.265 | 20.21 ± 0.69 | 812.84 ± 21.56 | 4052.16 ± 32.92 |
| Intra-assay %bia | −3.9 | 1.8 | −1.1 | 0.9 | 4.1 | 1.5 | 2.1 | 0.7 | −3.8 | 2.1 | 1.6 | 1.3 |
| Intra-assay %CV | 9.8 | 3.1 | 3.9 | 1.4 | 11.6 | 2.6 | 3.9 | 0.8 | 13.9 | 3.5 | 2.6 | 1.7 |
| Parameter | WX390 | BYL719 | Dorzagliatin | |||||||||
|---|---|---|---|---|---|---|---|---|---|---|---|---|
| Quality control sample (target concentration) | LLOQ 0.1 ng/mL | L-QC 1 ng/mL | M-QC 40 ng/mL | H-QC 200 ng/mL | LLOQ 1 ng/mL | L-QC 10 ng/mL | M-QC 400 ng/mL | H-QC 2000 ng/mL | LLOQ 2 ng/mL | L-QC 20 ng/mL | M-QC 800 ng/mL | H-QC 4000 ng/mL |
| Number of analyzed samples | 10 | 10 | 10 | 10 | 10 | 10 | 10 | 10 | 10 | 10 | 10 | 10 |
| Concentration found ng/mL (median, range) | 0.10 ± 0.01 | 1.02 ± 0.08 | 39.58 ± 1.53 | 198.64 ± 5.42 | 1.02 ± 0.07 | 10.18 ± 0.35 | 403.72 ± 15.48 | 1992.36 ± 40.88 | 1.98 ± 0.15 | 20.32 ± 0.90 | 808.36 ± 25.22 | 3984.12 ± 82.86 |
| Inter-assay %bia | −2.1 | 1.8 | −2.0 | −0.7 | 2.0 | 1.8 | 0.9 | −0.4 | −1.5 | 1.6 | 1.0 | −0.4 |
| Inter-assay %CV | 8.7 | 6.2 | 4.2 | 2.1 | 5.4 | 2.8 | 3.1 | 1.7 | 6.8 | 3.5 | 2.6 | 1.9 |
| Group | Ingredient | t1/2 (h) | Tmax (h) | Cmax (ng/mL) | (ng × h/mL) |
|---|---|---|---|---|---|
| Dorz | Droz | 2.15 | 0.50 | 1331.00 | 3287.90 |
| WX390 | WX390 | 2.70 | 0.50 | 316.53 | 1119.16 |
| Dorz + WX390 | WX390 | 3.81 | 1.00 | 314.40 | 1177.53 |
| Dorz | 2.93 | 0.50 | 1776.67 | 4657.23 | |
| BYL719 | BYL719 | 5.33 | 1.00 | 4786.67 | 29,035.20 |
| Dorz + BYL719 | BYL719 | 6.72 | 1.00 | 4212.00 | 24,839.06 |
| Dorz | 1.86 | 1.00 | 2013.33 | 3953.58 |
| Group | Tumor Volume (mm3) (Day 28) | T/C (%) | TGI (%) | p Volue |
|---|---|---|---|---|
| Vehicle | 1582 ± 215 | / | / | / |
| Dorz | 1437 ± 172 | 90.81 | 10.19 | 0.994 |
| WX390 | 329 ± 24 | 20.81 | 88.12 | 0.013 |
| Dorz + WX390 | 318 ± 48 | 20.10 | 88.90 | 0.012 |
| BYL719 | 836 ± 71 | 52.85 | 52.46 | 0.104 |
| Dorz + BYL719 | 559 ± 101 | 35.36 | 71.93 | 0.026 |
| Ingredient | Group | Model | AIC | PK/PD Equation |
|---|---|---|---|---|
| Dorz | Dorz | Two-Compartment Mode | 51.20 | E = 10 + 50 × C1.10/(7400.80 + C0.80) |
| Dorz + WX390 | Two-Compartment Mode | 114.92 | E = 12 + 56 × C1.35/(4901.35 + C1.35) | |
| Dorz + BYL719 | Two-Compartment Mode | 121.36 | E = 18 + 60 × C0.95/(6600.95 + C0.95) |
Disclaimer/Publisher’s Note: The statements, opinions and data contained in all publications are solely those of the individual author(s) and contributor(s) and not of MDPI and/or the editor(s). MDPI and/or the editor(s) disclaim responsibility for any injury to people or property resulting from any ideas, methods, instructions or products referred to in the content. |
© 2025 by the authors. Licensee MDPI, Basel, Switzerland. This article is an open access article distributed under the terms and conditions of the Creative Commons Attribution (CC BY) license (https://creativecommons.org/licenses/by/4.0/).
Share and Cite
Jin, G.; Zheng, K.; Liu, S.; Yi, H.; Wei, W.; Xu, C.; Xiang, X.; Kang, Y. In Vivo PK-PD and Drug–Drug Interaction Study of Dorzagliatin for the Management of PI3Kα Inhibitor-Induced Hyperglycemia. Pharmaceuticals 2025, 18, 927. https://doi.org/10.3390/ph18060927
Jin G, Zheng K, Liu S, Yi H, Wei W, Xu C, Xiang X, Kang Y. In Vivo PK-PD and Drug–Drug Interaction Study of Dorzagliatin for the Management of PI3Kα Inhibitor-Induced Hyperglycemia. Pharmaceuticals. 2025; 18(6):927. https://doi.org/10.3390/ph18060927
Chicago/Turabian StyleJin, Guanqin, Kewei Zheng, Shihuang Liu, Huan Yi, Wei Wei, Congjian Xu, Xiaoqiang Xiang, and Yu Kang. 2025. "In Vivo PK-PD and Drug–Drug Interaction Study of Dorzagliatin for the Management of PI3Kα Inhibitor-Induced Hyperglycemia" Pharmaceuticals 18, no. 6: 927. https://doi.org/10.3390/ph18060927
APA StyleJin, G., Zheng, K., Liu, S., Yi, H., Wei, W., Xu, C., Xiang, X., & Kang, Y. (2025). In Vivo PK-PD and Drug–Drug Interaction Study of Dorzagliatin for the Management of PI3Kα Inhibitor-Induced Hyperglycemia. Pharmaceuticals, 18(6), 927. https://doi.org/10.3390/ph18060927

