New Anti-Cancer Impact of Cerium Oxide, Lithium, and Sn-38 Synergy via DNA Methylation-Mediated Reduction of MMP-2 and Modulation of the PI3K/Akt/mTOR Pathway
Abstract
1. Introduction
2. Results
2.1. Cerium Oxide Characterization
2.2. Wound Assay Results
2.3. MTT Analysis Results
2.4. TAC and TOS Test Results
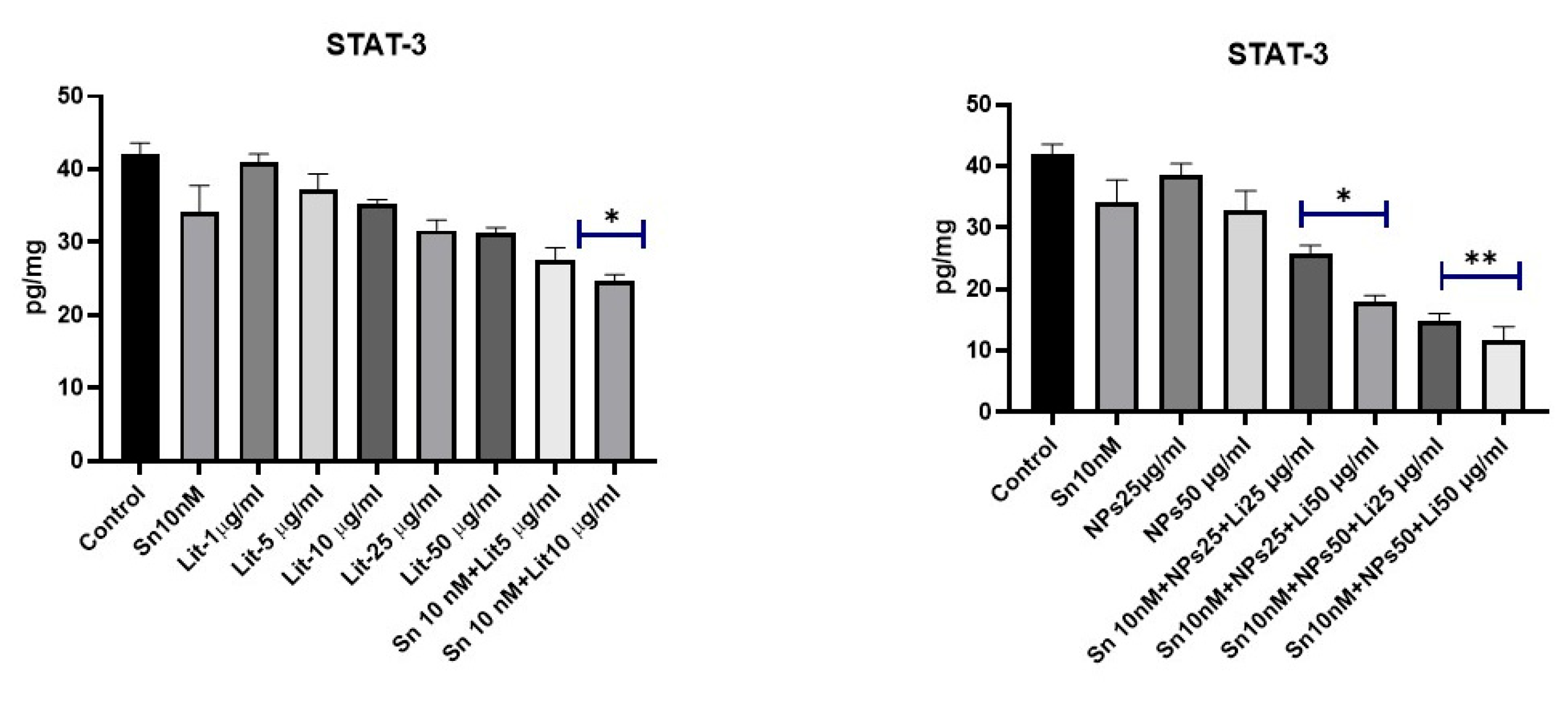
2.5. ELISA Test Results
2.6. Immunohistochemical Results
2.7. Gene Results
2.8. Western Blot Results
3. Discussion
4. Materials and Methods
4.1. Hydrothermal Synthesis and Characterization of Cerium Oxide NPs
4.2. Obtaining the Bioconjugate Drug and Determining the Drug Release Profile
4.3. Cell Culture
4.4. Wound Assay
4.5. Cellular Therapy
4.6. Cell Viability (MTT) Test
4.7. Analysis of Oxidative Stress Biomarkers (TOS and TAC)
4.8. ELISA Tests
4.9. Annexin V-FITC Immunofluorescent Stain
4.10. Gene Analysis
4.11. Western Blot Analysis
4.12. Statistical Analysis
5. Conclusions
Study of Limitations
Author Contributions
Funding
Institutional Review Board Statement
Informed Consent Statement
Data Availability Statement
Conflicts of Interest
Abbreviations
| AKT | Serine/threonine kinase |
| GBM | Glioblastoma |
| GSK3β | Glycogen Synthase Kinase 3β |
| Lit, Li | Lithium |
| MMP-2 | Matrix metalloproteinase-2 |
| mTOR | Mammalian Target of Rapamycin |
| NPs | Nanoparticle |
| PKC | Protein kinase C |
| PTEN | Protein tyrosine phosphatase and tensin homolog |
| STAT-3 | Signal transducer and transcription activator 3 |
| TAC | Total Antioxidant Capacity |
| TOS | Total Oxidative Stress |
References
- Hanahan, D. Hallmarks of cancer: New dimensions. Cancer Discov. 2022, 12, 31–46. [Google Scholar] [CrossRef]
- Koshy, M.; Villano, J.L.; Dolecek, T.A.; Howard, A.; Mahmood, U.; Chmura, S.J.; Weichselbaum, R.R.; McCarthy, B.J. Improved survival time trends for glioblastoma using the SEER 17 population-based registries. J. Neuro-Oncol. 2012, 107, 207–212. [Google Scholar] [CrossRef] [PubMed]
- Wu, W.; Klockow, J.L.; Zhang, M.; Lafortune, F.; Chang, E.; Jin, L.; Wu, Y.; Daldrup-Link, H.E. Glioblastoma multiforme (GBM): An overview of current therapies and mechanisms of resistance. Pharmacol. Res. 2021, 171, 105780. [Google Scholar] [CrossRef] [PubMed]
- Davis, M.E. Glioblastoma: Overview of disease and treatment. Clin. J. Oncol. Nurs. 2016, 20, S2–S8. [Google Scholar] [CrossRef] [PubMed]
- Eisenbarth, D.; Wang, Y.A. Glioblastoma heterogeneity at single cell resolution. Oncogene 2023, 42, 2155–2165. [Google Scholar] [CrossRef]
- Genc, S.; Cicek, B. Examination of PDK1/AKT/mTOR transcription and exosomal mRNA levels in human glioblastoma cell line treated with a combination of temozolomide and hesperidin. Naunyn-Schmiedeberg’s Arch. Pharmacol. 2025, 398, 15731–15745. [Google Scholar] [CrossRef]
- Liu, L.F.; Desai, S.D.; LI, T.K.; Mao, Y.; Sun, M.; SIM, S.P. Mechanism of action of camptothecin. Ann. New York Acad. Sci. 2000, 922, 1–10. [Google Scholar] [CrossRef]
- Bao, X.; Wu, J.; Kim, S.; LoRusso, P.; Li, J. Pharmacometabolomics reveals irinotecan mechanism of action in cancer patients. J. Clin. Pharmacol. 2019, 59, 20–34. [Google Scholar] [CrossRef]
- Oruch, R.; Elderbi, M.A.; Khattab, H.A.; Pryme, I.F.; Lund, A. Lithium: A review of pharmacology, clinical uses, and toxicity. Eur. J. Pharmacol. 2014, 740, 464–473. [Google Scholar] [CrossRef]
- Avissar, S.; Murphy, D.L.; Schreiber, G. Magnesium reversal of lithium inhibition of β-adrenergic and muscarinic receptor coupling to G proteins. Biochem. Pharmacol. 1991, 41, 171–175. [Google Scholar] [CrossRef]
- Ryves, W.J.; Harwood, A.J. Lithium inhibits glycogen synthase kinase-3 by competition for magnesium. Biochem. Biophys. Res. Commun. 2001, 280, 720–725. [Google Scholar] [CrossRef]
- Beurel, E.; Grieco, S.F.; Jope, R.S. Glycogen synthase kinase-3 (GSK3): Regulation, actions, and diseases. Pharmacol. Ther. 2015, 148, 114–131. [Google Scholar] [CrossRef]
- Thakur, S.; Tobey, A.; Klubo-Gwiezdzinska, J. The Role of Lithium in Management of Endocrine Tumors—A Comprehensive Review. Front. Oncol. 2019, 9, 1092. [Google Scholar] [CrossRef]
- Singh, N.; Halliday, A.C.; Thomas, J.M.; Kuznetsova, O.V.; Baldwin, R.; Woon, E.C.; Aley, P.K.; Antoniadou, I.; Sharp, T.; Vasudevan, S.R. A safe lithium mimetic for bipolar disorder. Nat. Commun. 2013, 4, 1332. [Google Scholar] [CrossRef] [PubMed]
- Natale, G.; Fini, E.; Calabrò, P.F.; Carli, M.; Scarselli, M.; Bocci, G. Valproate and lithium: Old drugs for new pharmacological approaches in brain tumors? Cancer Lett. 2023, 560, 216125. [Google Scholar] [CrossRef] [PubMed]
- Yang, C.; Zhu, B.; Zhan, M.; Hua, Z.-C. Lithium in cancer therapy: Friend or foe? Cancers 2023, 15, 1095. [Google Scholar] [CrossRef] [PubMed]
- Nowicki, M.O.; Dmitrieva, N.; Stein, A.M.; Cutter, J.L.; Godlewski, J.; Saeki, Y.; Nita, M.; Berens, M.E.; Sander, L.M.; Newton, H.B. Lithium inhibits invasion of glioma cells; possible involvement of glycogen synthase kinase-3. Neuro Oncol. 2008, 10, 690–699. [Google Scholar] [CrossRef]
- Xia, Y.; Wu, S. Tissue inhibitor of metalloproteinase 2 inhibits activation of the β-catenin signaling in melanoma cells. Cell Cycle 2015, 14, 1666–1674. [Google Scholar] [CrossRef]
- Elmaci, I.; Altinoz, M.A. A metabolic inhibitory cocktail for grave cancers: Metformin, pioglitazone and lithium combination in treatment of pancreatic cancer and glioblastoma multiforme. Biochem. Genet. 2016, 54, 573–618. [Google Scholar] [CrossRef]
- Tosi, G.; Duskey, J.; Kreuter, J. Nanoparticles as carriers for drug delivery of macromolecules across the blood-brain barrier. Expert Opin. Drug Deliv. 2020, 17, 23–32. [Google Scholar] [CrossRef]
- Richard, P.U.; Duskey, J.T.; Stolarov, S.; Spulber, M.; Palivan, C.G. New concepts to fight oxidative stress: Nanosized three-dimensional supramolecular antioxidant assemblies. Expert Opin. Drug Deliv. 2015, 12, 1527–1545. [Google Scholar] [CrossRef]
- Yeni, Y.; Genc, S.; Ertugrul, M.S.; Nadaroglu, H.; Gezer, A.; Mendil, A.S.; Hacımuftuoglu, A. Neuroprotective effects of L-Dopa-modified zinc oxide nanoparticles on the rat model of 6-OHDA-ınduced Parkinson’s disease. Sci. Rep. 2024, 14, 19077. [Google Scholar] [CrossRef] [PubMed]
- Vangara, K.K.; Ali, H.I.; Lu, D.; Liu, J.L.; Kolluru, S.; Palakurthi, S. SN-38-cyclodextrin complexation and its influence on the solubility, stability, and in vitro anticancer activity against ovarian cancer. AAPS PharmSciTech 2014, 15, 472–482. [Google Scholar] [CrossRef] [PubMed]
- Nakatsu, S.; Kondo, S.; Kondo, Y.; Yin, D.; Peterson, J.W.; Kaakaji, R.; Morimura, T.; Kikuchi, H.; Takeuchi, J.; Barnett, G.H. Induction of apoptosis in multi-drug resistant (MDR) human glioblastoma cells by SN-38, a metabolite of the camptothecin derivative CPT-11. Cancer Chemother. Pharmacol. 1997, 39, 417–423. [Google Scholar] [CrossRef]
- Chiou, J.; Impedovo, V.; Huynh, Y.B.; Gorgoglione, R.; Penalva, L.O.; Lodi, A.; Brenner, A.J.; Tiziani, S. Targeting Metabolic and Epigenetic Vulnerabilities in Glioblastoma with SN-38 and Rabusertib Combination Therapy. Int. J. Mol. Sci. 2025, 26, 474. [Google Scholar] [CrossRef]
- Marmol, F. Lithium: Bipolar disorder and neurodegenerative diseases Possible cellular mechanisms of the therapeutic effects of lithium. Progress Neuro-Psychopharmacol. Biol. Psychiatry 2008, 32, 1761–1771. [Google Scholar] [CrossRef]
- Yeni, Y.; Genc, S.; Nadaroglu, H.; Hacımuftuoglu, A. Effects of quercetin-immobilized albumin cerium oxide nanoparticles on glutamate toxicity: In vitro study. Naunyn-Schmiedeberg’s Arch. Pharmacol. 2024, 398, 5147–5156. [Google Scholar] [CrossRef]
- Sarıgül, K.; Haliloğlu, K.; Türkoğlu, A.; Nadaroğlu, H.; Alaylı, A. Ce2O3 nanoparticle synthesis, characterization, and application to callus formation and plant regeneration from mature embryo culture of wheat (Triticum aestivum L.). Plant Cell Tissue Organ Cult. (PCTOC) 2024, 158, 49. [Google Scholar] [CrossRef]
- Grabrucker, A.M.; Ruozi, B.; Belletti, D.; Pederzoli, F.; Forni, F.; Vandelli, M.A.; Tosi, G. Nanoparticle transport across the blood brain barrier. Tissue Barriers 2016, 4, e1153568. [Google Scholar] [CrossRef]
- Betzer, O.; Shilo, M.; Opochinsky, R.; Barnoy, E.; Motiei, M.; Okun, E.; Yadid, G.; Popovtzer, R. The effect of nanoparticle size on the ability to cross the blood–brain barrier: An in vivo study. Nanomedicine 2017, 12, 1533–1546. [Google Scholar] [CrossRef]
- Chen, J.; Patil, S.; Seal, S.; McGinnis, J.F. Rare earth nanoparticles prevent retinal degeneration induced by intracellular peroxides. Nat. Nanotechnol. 2006, 1, 142–150. [Google Scholar] [CrossRef] [PubMed]
- Riccardi, C.; Napolitano, F.; Montesarchio, D.; Sampaolo, S.; Melone, M.A.B. Nanoparticle-Guided Brain Drug Delivery: Expanding the Therapeutic Approach to Neurodegenerative Diseases. Pharmaceutics 2021, 13, 1897. [Google Scholar] [CrossRef] [PubMed]
- Umamaheswari, S.; Priyadarshinee, S.; Kadirvelu, K.; Ramesh, M. Polystyrene microplastics induce apoptosis via ROS-mediated p53 signaling pathway in zebrafish. Chem. Biol. Interact. 2021, 345, 109550. [Google Scholar] [CrossRef] [PubMed]
- Nakamura, T.; Sakamoto, K. Reactive oxygen species up-regulates cyclooxygenase-2, p53, and Bax mRNA expression in bovine luteal cells. Biochem. Biophys. Res. Commun. 2001, 284, 203–210. [Google Scholar] [CrossRef]
- Chen, T.C.; Su, S.; Fry, D.; Liebes, L. Combination therapy with irinotecan and protein kinase C inhibitors in malignant glioma. Cancer Interdiscip. Int. J. Am. Cancer Soc. 2003, 97, 2363–2373. [Google Scholar] [CrossRef]
- Lu, J.; Hu, Y.; Qian, R.; Zhang, Y.; Yang, X.; Luo, P. Enhanced proliferation inhibition and apoptosis in glioma cells elicited by combination of irinotecan and imatinib. Eur. J. Pharmacol. 2020, 874, 173022. [Google Scholar] [CrossRef]
- Li, Y.; Xie, M.; Jones, J.B.; Zhang, Z.; Wang, Z.; Dang, T.; Wang, X.; Lipowska, M.; Mao, H. Targeted Delivery of DNA Topoisomerase Inhibitor SN38 to Intracranial Tumors of Glioblastoma Using Sub-5 Ultrafine Iron Oxide Nanoparticles. Adv. Healthc. Mater. 2022, 11, 2102816. [Google Scholar] [CrossRef]
- Glaviano, A.; Foo, A.S.; Lam, H.Y.; Yap, K.C.; Jacot, W.; Jones, R.H.; Eng, H.; Nair, M.G.; Makvandi, P.; Geoerger, B. PI3K/AKT/mTOR signaling transduction pathway and targeted therapies in cancer. Mol. Cancer 2023, 22, 138. [Google Scholar] [CrossRef]
- Yamada, K.M.; Araki, M. Tumor suppressor PTEN: Modulator of cell signaling, growth, migration and apoptosis. J. Cell Sci. 2001, 114, 2375–2382. [Google Scholar] [CrossRef]
- Persico, M.; Abbruzzese, C.; Matteoni, S.; Matarrese, P.; Campana, A.M.; Villani, V.; Pace, A.; Paggi, M.G. Tackling the behavior of cancer cells: Molecular bases for repurposing antipsychotic drugs in the treatment of glioblastoma. Cells 2022, 11, 263. [Google Scholar] [CrossRef]
- Streitwieser, A.; Bachrach, S.; Dorigo, A.; Schleyer, P.R. Lithium Chemistry: A Theoretical and Experimental Overview; Sapse, A.-M., Schleyer, P.v.R., Eds.; Wiley: Hoboken, NJ, USA, 1995. [Google Scholar]
- Lyublinski, I.; Vertkov, A.; Evtikhin, V. Application of lithium in systems of fusion reactors. 1. Physical and chemical properties of lithium. Plasma Devices Oper. 2009, 17, 42–72. [Google Scholar] [CrossRef]
- Villegas-Vázquez, E.Y.; Quintas-Granados, L.I.; Cortés, H.; González-Del Carmen, M.; Leyva-Gómez, G.; Rodríguez-Morales, M.; Bustamante-Montes, L.P.; Silva-Adaya, D.; Pérez-Plasencia, C.; Jacobo-Herrera, N. Lithium: A promising anticancer agent. Life 2023, 13, 537. [Google Scholar] [CrossRef]
- Olivier, C.; Oliver, L.; Lalier, L.; Vallette, F.M. Drug resistance in glioblastoma: The two faces of oxidative stress. Front. Mol. Biosci. 2021, 7, 620677. [Google Scholar] [CrossRef] [PubMed]
- Nasir, S.; Nazir, S.; Hanif, R.; Javed, A. Glioblastoma multiforme: Probing solutions to systemic toxicity towards high-dose chemotherapy and inflammatory influence in resistance against temozolomide. Pharmaceutics 2023, 15, 687. [Google Scholar] [CrossRef] [PubMed]
- Polat, M.S.; Nadaroglu, H. Utilizing copper nanoclusters as a fluorescent probe for quantitative monitoring of doxorubicin anticancer drug. J. Fluoresc. 2024, 35, 3507–3518. [Google Scholar] [CrossRef] [PubMed]
- Sus, B.; Baltaci, M.O.; Nadaroglu, H.; Adiguzel, A. From agro-food waste to nanoparticles: Green synthesis of copper nanoparticles with lignin peroxidase enzyme produced by Anoxybacillus rupiensis using peanut shells. Environ. Sci. Pollut. Res. 2024, 31, 52049–52059. [Google Scholar] [CrossRef]
- Balpınar, Ö.; Nadaroğlu, H.; Hacımüftüoğlu, A. Green synthesis, characterization of melatonin-like drug bioconjugated CoS quantum dots and its antiproliferative effect on different cancer cells. Mol. Biol. Rep. 2023, 50, 9143–9151. [Google Scholar] [CrossRef]
- Nalci, O.B.; Nadaroglu, H.; Genc, S.; Hacimuftuoglu, A.; Alayli, A. The effects of MgS nanoparticles-Cisplatin-bio-conjugate on SH-SY5Y neuroblastoma cell line. Mol. Biol. Rep. 2020, 47, 9715–9723. [Google Scholar] [CrossRef]
- Genç, S.; Yeni, Y.; Çiçek, B.; Hacımüftüoğlu, A. Wound Healing of Quinic Acid in Human Dermal Fibroblasts by Regulating Expression of FN1 and COL1A1 Gene. Türk Doğa Ve Fen. Derg. 2022, 11, 63–69. [Google Scholar] [CrossRef]
- Taghizadehghalehjoughi, A.; Sezen, S.; Hacimuftuoglu, A.; Güllüce, M. Vincristine combination with Ca+ 2 channel blocker increase antitumor effects. Mol. Biol. Rep. 2019, 46, 2523–2528. [Google Scholar] [CrossRef]
- Md Yusof, E.N.; M. Latif, M.A.; M. Tahir, M.I.; Sakoff, J.A.; Simone, M.I.; Page, A.J.; Veerakumarasivam, A.; Tiekink, E.R.T.; BSA Ravoof, T. o-Vanillin derived Schiff bases and their organotin (IV) compounds: Synthesis, structural characterisation, in-silico studies and cytotoxicity. Int. J. Mol. Sci. 2019, 20, 854. [Google Scholar] [CrossRef]
- Vivarelli, S.; Sevim, C.; Giambò, F.; Fenga, C. Integrated Computational Analysis Reveals Early Genetic and Epigenetic AML Susceptibility Biomarkers in Benzene-Exposed Workers. Int. J. Mol. Sci. 2025, 26, 1138. [Google Scholar] [CrossRef]
- Yağcı, T.; Çınar, R.; Altıner, H.İ.; Dündar, R.; Yıldızhan, K. The Role of TRPM2 Channel in Doxorubicin-induced Cell Damage in Laryngeal Squamous Cancer Cells. Biochem. Biophys. Mol. Biol. 2025, 520, 123–129. [Google Scholar] [CrossRef]



















| SN-38 and Lithium Groups | SN-38, Lithium, and NPs Groups |
|---|---|
| Control | Control |
| Sn-38 10 nM | Sn-38 10 nM |
| Lit 1 µg/mL | NPs 25 µg/mL |
| Lit 5 µg/mL | NPs 50 µg/ml |
| Lit 10 µg/mL | Sn-38+NPs (25 µg/mL)+Li 25 µg/mL |
| Lit 25 µg/mL | Sn-38+NPs (25 µg/mL)+Li 50 µg/mL |
| Lit 50 µg/mL | Sn-38+NPs (50 µg/mL)+Li 25 µg/mL |
| Sn-38+Lit 5 µg/mL | Sn-38+NPs (50 µg/mL)+Li 50 µg/mL |
| Sn-38+Lit 10 µg/mL | - |
| Sn-38+Lit 25 µg/mL | - |
| Sn-38+Lit 50 µg/mL | - |
| Genes | Forward | Reverse |
|---|---|---|
| Caspase-3 | 5′ AGCGAATCAATGGACTCTGGA 3′ | 5′ TTCCCTGAGGTTTGCTGCAT 3′ |
| P-21 | 5′ GACCTGTCACTGTCTTTGTAC 3′ | 5′ CTCTCATTCAACCGCCTAG 3′ |
| P-53 | 5′ CCACCATGAGCGCTGCTCA 3′ | 5′ GCAGGGGAGGGAGAGATG 3′ |
| Bax | 5′ TTCATCCAGGATCGAGCAGG 3′ | 5′ GGAAAAAGACCTCTCGGGGG 3′ |
| Bcl-2 | 5′ CCTGTGGATGACTGAGTACC 3′ | 5′ GAGACAGCCAGGAGAAATCA 3′ |
Disclaimer/Publisher’s Note: The statements, opinions and data contained in all publications are solely those of the individual author(s) and contributor(s) and not of MDPI and/or the editor(s). MDPI and/or the editor(s) disclaim responsibility for any injury to people or property resulting from any ideas, methods, instructions or products referred to in the content. |
© 2025 by the authors. Licensee MDPI, Basel, Switzerland. This article is an open access article distributed under the terms and conditions of the Creative Commons Attribution (CC BY) license (https://creativecommons.org/licenses/by/4.0/).
Share and Cite
Genc, S.; Nadaroglu, H.; Cinar, R.; Nigde, E.; Karabulut, K.; Taghizadehghalehjoughi, A. New Anti-Cancer Impact of Cerium Oxide, Lithium, and Sn-38 Synergy via DNA Methylation-Mediated Reduction of MMP-2 and Modulation of the PI3K/Akt/mTOR Pathway. Pharmaceuticals 2025, 18, 1725. https://doi.org/10.3390/ph18111725
Genc S, Nadaroglu H, Cinar R, Nigde E, Karabulut K, Taghizadehghalehjoughi A. New Anti-Cancer Impact of Cerium Oxide, Lithium, and Sn-38 Synergy via DNA Methylation-Mediated Reduction of MMP-2 and Modulation of the PI3K/Akt/mTOR Pathway. Pharmaceuticals. 2025; 18(11):1725. https://doi.org/10.3390/ph18111725
Chicago/Turabian StyleGenc, Sidika, Hayrunnisa Nadaroglu, Ramazan Cinar, Esmanur Nigde, Kubra Karabulut, and Ali Taghizadehghalehjoughi. 2025. "New Anti-Cancer Impact of Cerium Oxide, Lithium, and Sn-38 Synergy via DNA Methylation-Mediated Reduction of MMP-2 and Modulation of the PI3K/Akt/mTOR Pathway" Pharmaceuticals 18, no. 11: 1725. https://doi.org/10.3390/ph18111725
APA StyleGenc, S., Nadaroglu, H., Cinar, R., Nigde, E., Karabulut, K., & Taghizadehghalehjoughi, A. (2025). New Anti-Cancer Impact of Cerium Oxide, Lithium, and Sn-38 Synergy via DNA Methylation-Mediated Reduction of MMP-2 and Modulation of the PI3K/Akt/mTOR Pathway. Pharmaceuticals, 18(11), 1725. https://doi.org/10.3390/ph18111725

