Next Article in Journal
Steroid-Induced Thrombosis: A Comprehensive Analysis Using the FAERS Database
Previous Article in Journal
Challenges in the Treatment of HIV-Related Lymphomas Complicated by COVID-19
 
 
Font Type:
Arial Georgia Verdana
Font Size:
Aa Aa Aa
Line Spacing:
Column Width:
Background:
Article

A Second Opportunity for the Peptide-Based Analogues with γ-Lactam at the P1 Position: Human Cathepsin S Inhibition

by
Santo Previti
*,
Nunzio Iraci
,
Elsa Calcaterra
,
Roberta Ettari
and
Maria Zappalà
Department of Chemical, Biological, Pharmaceutical, and Environmental Sciences, University of Messina, Viale Ferdinando Stagno d’Alcontres 31, 98166 Messina, Italy
*
Author to whom correspondence should be addressed.
Pharmaceuticals 2025, 18(10), 1462; https://doi.org/10.3390/ph18101462
Submission received: 10 September 2025 / Revised: 24 September 2025 / Accepted: 26 September 2025 / Published: 28 September 2025
(This article belongs to the Special Issue Peptide-Based Drug Discovery: Innovations and Breakthroughs)

Abstract

Background/Objectives: SARS-CoV-2 pandemic led to the identification of peptide-based main protease (Mpro) inhibitors. The overwhelming majority of them carry an electrophilic warhead and a γ-lactam at the P1 position. During the selectivity assessment of an in-house Michael acceptors targeting SARS-CoV-2 Mpro, we unexpectedly observed a significant inhibition of human cathepsin S (hCatS). Methods: The biological investigation of three compounds (i.e., SPR38, SPR39, and SPR41) against hCatS was performed. The binding mode of SPRs was investigated by docking and molecular dynamics simulations. Results: Biological investigation has corroborated that hCatS is sensitive to peptide-based analogues harbouring γ-lactam at the P1 position and a vinyl methyl ketone warhead. In silico studies revealed that despite being solvent exposed, the γ-lactam at P1 might be involved in water-mediated H-bonds that could be optimized to gain inhibition potency and selectivity. Conclusions: The molecules repurposing of peptide-based SARS-CoV-2 Mpro inhibitors carrying the γ-lactam at the P1 site could pave the way for the identification of novel potent and selective hCatS ligands.

Graphical Abstract

1. Introduction

Papain-like proteases are lysosomal proteolytic enzymes that have been identified in a variety of organisms, including animals, invertebrates, plants, and microorganisms [1]. In mammals, these types of proteases are commonly known as cathepsins. The human genome encodes for fifteen cathepsins, which can be classified as serine, aspartic, or cysteine proteases according to the amino acid responsible for the nucleophilic attack [2]. Cathepsins mediate a variety of physiological processes, including extracellular matrix degradation, intracellular protein turnover, neuronal cell homeostasis, and the processing of damaged proteins, immunoglobulins, and prohormones [3,4,5].
Human cathepsin S (hCatS or CTSS) is a cysteine protease biosynthesized as a pre-proenzyme of 331 amino acid residues [6]. The mature enzyme is constituted of a single-chain polypeptide comprising 217 amino acids and featuring the catalytic triad Cys25/His164/Asn184 [7]. hCatS is involved in multiple physiological and pathological processes, including inflammation [8], metabolic and neurological disorders [9], cancer [10], cardiovascular [11], renal [12], respiratory [13], and autoimmune diseases [14]. In addition to the lysosomal compartments, hCatS has also been detected extracellularly, where it has been shown to promote the degradation of extracellular proteins and angiogenesis [15]. Finally, this cysteine protease plays a pivotal role in regulating antigen processing and presentation through the major histocompatibility complex (MHC) II pathway in antigen-presenting cells (APCs) [16,17,18].
Given its involvement in various diseases, hCatS has emerged over the past decades as a promising therapeutic target and biomarker [19,20]. Several Structure–Activity Relationship (SAR) studies have resulted in the identification of interesting hCatS inhibitors [21,22,23,24,25], typically identified starting from compounds with potent inhibitory properties towards other human cysteine proteases and subsequently optimized through lead refinement strategies.
Recently, we reported the identification of dual SARS-CoV-2 Mpro/human cathepsin L (hCatL) inhibitors [26]. Selectivity assays over a panel of human cysteine proteases revealed Ki values in the nanomolar and sub-nanomolar range towards hCatS for SPR49, SPR60, and SPR62, as illustrated in Chart 1. The three Michael acceptors carry a methyl vinyl ketone warhead, a γ-lactam at the P1, aliphatic amino acids at the P2 position, and a mono-fluorinated benzoyl ring as the N-cap. It is well established that the presence of Gln and its cyclic analogue (3S)-pyrrolid-2-one-3-yl-L-alanine adjacent to the cleavage site of SARS-CoV-2 Mpro was found to be essential for effective inhibition [27,28]. Since no known human proteases have the same cleavage specificity as SARS-CoV-2 Mpro [29], the such potent inhibition observed against hCatS was unexpected.
In light of these findings, we herein report the biological investigation of three in-house (3S)-pyrrolid-2-one-3-yl-L-alanine-containing Michael acceptors (i.e., SPR38, SPR39, and SPR41, shown in Chart 1) [30] towards hCatS, along with a discussion of SAR and molecular docking studies of the most promising inhibitors.

2. Results and Discussion

2.1. Biology

SPR38, SPR39, and SPR41 were assayed against hCatS using Cbz-VVR-AMC as the fluorogenic substrate. All analogues exhibited potent inhibitory properties towards the target, with Ki values in the double-digit nanomolar range (Table 1). SPR38 and SPR39, which feature norleucine (Nle) and cyclopropylalanine (Cpa), respectively, at the P2 site, showed comparable binding affinity. In contrast, the cyclohexylalanine (Cha)-derivative SPR41 exhibited the most potent inhibitory effect (Ki = 10.7 ± 1.1 nM). The presence of Cha in SPR41 resulted in 4- and 5-fold improvement in Ki values compared to Nle and Cpa in SPR38 and SPR39, respectively. Compared to our previously reported SPR analogues targeting hCatS [26], only SPR41, with Cha at the P2 site, showed a Ki value in the low nanomolar range, similar to those observed for SPR60 and SPR62.
The inhibitory properties of SPRs against hCatS were determined using Ki values, consistent with previously reported literature data [26,30]. Although both dialysis and dilution assays confirmed a covalent and irreversible binding mode of SPRs against SARS-CoV-2 Mpro, hCatL, hCatB, and hCatS, time-dependent inhibition profiles did not exhibit sufficient curvature to allow accurate determination of the kinetic parameters Ki, kinact, and k2nd. These findings support a bi-phasic inhibition mechanism, whereby high inhibitor concentrations promote irreversible inactivation of the enzyme, whereas at lower concentrations, the interaction remains predominantly reversible.
The three analogues showed notable selectivity towards hCatS. In fact, inhibitory properties in the micromolar range towards hCatL and hCatB were observed, except for SPR41, for which submicromolar activity against hCatL was determined. This trend highlights the contribution of the common binding region of the SPRs, namely the methyl vinyl ketone warhead, a γ-lactam residue and an aliphatic amino acid at the P1 and P2, respectively, provided for strong hCatS inhibition with Ki values in the low nanomolar or even subnanomolar range. Conversely, hCatL and hCatB appear to be less sensitive to SPRs. Except for the Leu-containing derivative SPR60, the other Michael acceptors displayed only moderate activity towards hCatL, with Ki values in the submicromolar and micromolar range. For hCatB, even higher values of Ki were observed, resulting in selectivity indices ranging from 157 to 11 000. These findings indicate that SPRs are highly compatible with the catalytic site of hCatS, while exhibiting markedly reduced affinity for hCatL and, in particular, hCatB.
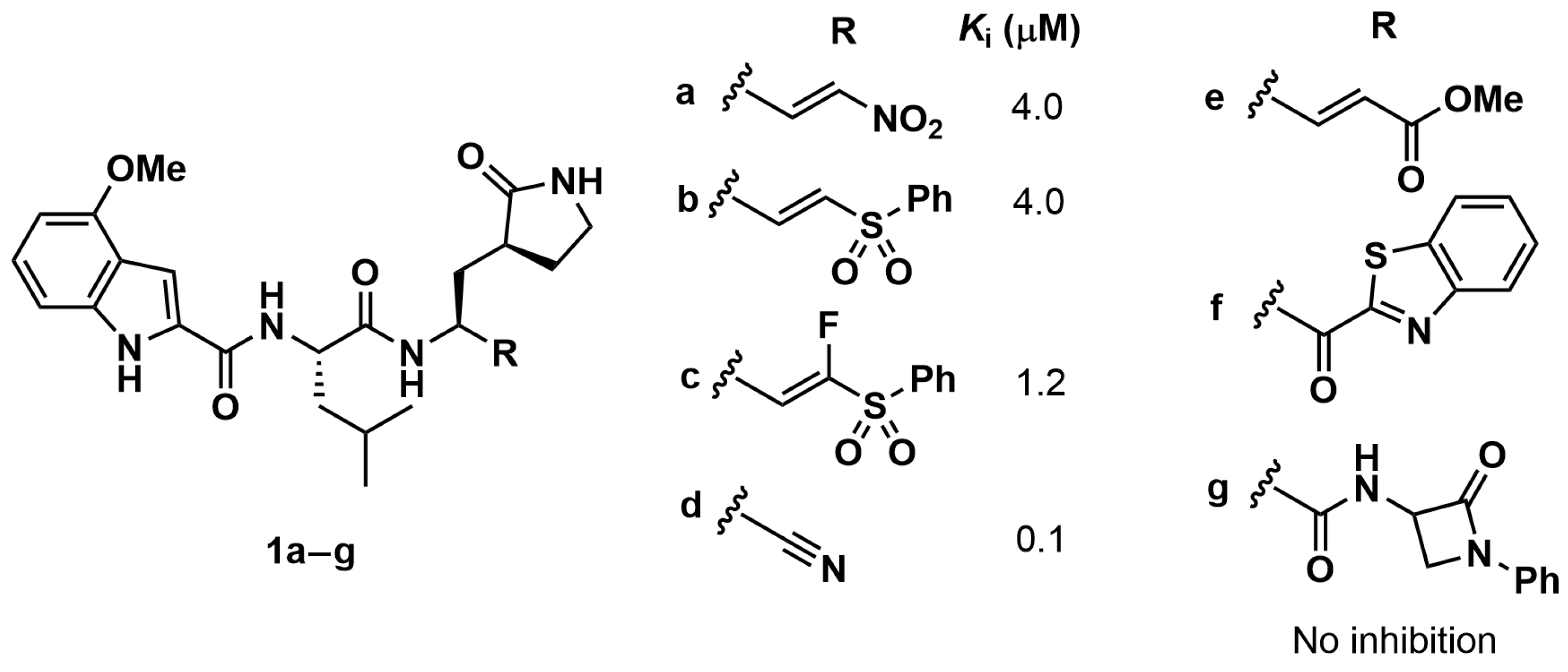
To the best of our knowledge, no hCatS inhibitors incorporating (3S)-pyrrolid-2-one-3-yl-L-alanine have been rationally developed to date. However, Schirmeister and co-workers assayed a series of peptide-based compounds bearing a Gln pentatomic surrogate at the P1 position towards hCatS (Chart 2) [32]. Analogues 1ad showed Ki values in the micromolar and submicromolar range, whereas derivatives 1eg showed no measurable inhibitory activity. Since these compounds differ exclusively in the warhead, it is evident that this moiety plays a crucial role for hCatS inhibition. Specifically, the nitro and sulfonyl phenyl moieties of Michael acceptors 1a and 1bc, respectively, as well as the nitrile warhead of 1d, were found to be suitable for hCatS inhibition, whereas, the presence of vinyl methyl ester (1e), benzothiazole (1f), and β-lactam ring (1g) warheads were ineffective. Based on these findings reported in the literature and our results with SPR analogues, the methyl vinyl ketone warhead appears highly suitable for hCatS inhibition, regardless of surrounding binding regions. Notably, Leu derivative SPR60 showed a single-digit Ki value in the nanomolar range, representing a two/three-orders-of-magnitude improvement over Leu-analogues 1ad. Moreover, the presence of the further branched amino acid (i.e., tert-butylalanine, known as Tba, in SPR62) enhanced hCatS affinity and conferred remarkable selectivity over hCatL (SI = 1000) and hCatB (SI = 11 000).
As previously mentioned, several potent hCatS inhibitors have been rationally developed. Here, we compare some of these reference compounds with the most active SPR analogues, namely SPR41, SPR60, and SPR62. The vinyl sulfone K11017 (Mu-Leu-hPh-VSPh), also known as LHVS, is widely employed as a positive control in hCatS inhibition assays [31]. SPR41 and SPR60 showed binding affinities comparable to K11017, whereas SPR62 exhibited a Ki value approximately one order of magnitude lower. A similar trend was observed when comparing SPRs with BI-1124 and BI-1195, two peptidomimetics carrying the nitrile warhead developed by Boehringer Ingelheim. Both compounds are used as reference inhibitors of hCatS, with a Kd value of 9 and 31 nM. Notably, SPR62, the most potent and selective SPRs (Ki = 0.7 nM), exhibited a Ki value only one order of magnitude higher compared to compounds 2a–c (Chart 3) [22,23,33], which represent some of the most promising hCatS inhibitors rationally developed in three different SAR studies and known in the literature.
During the SARS-CoV-2 pandemic, drug repurposing emerged as a key strategy for the rapid development of effective antiviral agents [34,35]. The SPR analogues discussed herein was originally developed as potential SARS-CoV-2 Mpro inhibitors, with their hCatS inhibitory properties identified only during selectivity profiling. This observation suggests that further promising hCatS inhibitors could be discovered among compounds initially developed for SARS-CoV-2 Mpro. Indeed, an impressive number of SAR studies have reported the development of peptide-based SARS-CoV-2 Mpro inhibitors carrying an electrophilic warhead, the (3S)-pyrrolid-2-one-3-yl-L-alanine residue at the P1 site, an aliphatic amino acid at the P2 position, and with further optimization targeting the S3, S4, and S5 subsites [36]. The biological investigation of these molecules towards hCatS could provide valuable insights and enable the identification of novel building blocks and warheads useful for the hCatS inhibition. In fact, a wide range of warheads have been successfully investigated for SARS-CoV-2 Mpro inhibition, including vinyl sulfonamide, aldehyde, nitrile, Michael acceptors, ketoamide, 4-chlorobut-2-ynamide, hydroxymethylketone, and benzyloxymethylketone, amongst others [37,38,39]. While nitriles, Michael acceptors, and aldehydes, have been studied for hCatS inhibition, the potential of diverse reactive warheads remains largely unexplored. Furthermore, the nature of the electron-withdrawing groups (EWGs) in Michael acceptors significantly influences hCatS inhibitory potency, as evidenced by comparison among SPR62, K11017, 1a–c, 1e, and 2a. Before the SARS-CoV-2 pandemic, the incorporation of γ-lactam at the P1 site of peptidomimetics was restricted to the development of antiviral agents. Considered the promising results obtained with SPRs, (3S)-pyrrolid-2-one-3-yl-L-alanine-containing compounds could be rationally developed for hCatS inhibition. Drug/molecule repurposing of compounds originally designed as SARS-CoV-2 Mpro inhibitors could therefore accelerate the identification of promising warheads, building blocks, and lead compounds for hCatS inhibition.

2.2. Docking Studies

Compounds SPR38, SPR39, SPR41, SPR49, SPR60, and SPR62 were investigated in silico for their molecular recognition at the active site of hCatS using the extended sampling protocol of the Schrödinger Induced Fit Docking (IFD) tool [40]. As expected, docking results confirmed that the P1, P2, and P3 residues appropriately occupy the S1, S2 and S3 sub-pockets of hCatS (Figure 1A,B—IFD poses can be found in Supplementary Materials, in PDB format). It was observed that the β-carbon atoms of the inhibitors’ warhead stably positioned in close proximity to the γ-sulphur of the catalytic Cys25 throughout 120 ns-long molecular dynamics (MD) simulations (Figure 1C). Overall, all SPRs showed highly similar interaction patterns throughout the MD simulations (Figure S1). Several studies have addressed which face is involved in the nucleophilic attack and, thereby, the configuration of the new chirality centre at the sp3-hybridized carbon [41,42,43]. In our case, it was predicted that the nucleophilic attack of the Cys25 thiolate occurs from the re face of the inhibitors. Consequently, the pivotal reaction between the Cys25 thiolate and prochiral electrophilic β-carbon would result in the formation of an (S)-chirality centre. Figure 1C depicts the key interactions between hCatS and SPR62 during the MD simulation, highlighting stable contacts with multiple residues within the active site. At the P2 position, Tba residue of SPR62 forms strong hydrogen bonds with the backbone of Gly69 through both its NH and carbonyl oxygen. The P1 NH group of SPR62 acts as a hydrogen bond donor, interacting with the backbone carbonyl of Asn163. The warhead’s carbonyl oxygen accepts two additional hydrogen bonds from the side chain NH groups of Gln19 and Trp186. Futhrer stabilizing interactions include π–π stacking with Phe70 and hydrophobic contacts with Met71 and Phe211. MD trajectory analysis revealed that the γ-lactam moiety, although solvent-exposed and lacking direct residue contacts, occasionally engages in a water-mediated hydrogen bond between its carbonyl oxygen and that of Cys66. At the same time, ligand’s root mean square deviation (RMSD) analysis indicates that SPR62 is plausibly oscillating between two bound conformations over the course of the simulation (Figure 2A). Notably, the γ-lactam carbonyl oxygen exhibits the highest root mean square fluctuation (RMSF) value among all atoms of SPR62 (1.863 Å), supporting the hypothesis that the conformational variability arises mainly from alternative orientations of the γ-lactam ring.
To further explore this behaviour, we performed cluster analysis on the trajectory (see Supplementary Materials), which identified two significantly populated conformational clusters (Table S1). The clusters contained SPR62 mainly differing for the orientation of the γ-lactam carbonyl group: either pointing “up” (Figure 2B, yellow sticks, cluster 1) or “down” toward the carbonyl of Cys66 (Figure 2B, magenta sticks, cluster 2). Single-point energy calculations (in vacuum) averaged over all ligand conformations within each cluster revealed that the “down” conformation carries an energetic penalty of approximately 3 kcal/mol (Table S1). However, this cost may be rewarded by water-mediated hydrogen bonds involving Cys66 or neighbours such as Lys64 or Asn67 (Figure S1).
Despite this energy difference, both the two conformational clusters are significantly populated (539 vs. 409), suggesting a dynamic equilibrium. This observation warrants future investigation into the role of structured water molecules near Cys66 and their potential exploitation to enhance potency and selectivity toward hCatS.

3. Materials and Methods

3.1. Biological

The biological assays against hCatS were performed in accordance with the methods previously reported by Prof. Schirmeister’s research group [23,33]. Briefly, the inhibitory activities of SPR38, SPR39, and SPR41 against hCatS (purchased form Merck, Darmstadt, Germany) were evaluated using the fluorogenic substrate Cbz-Val-Val-Arg-AMC (Bachem, Bubendorf, Switzerland). The fluorescence was recorded in white flat-bottom 96-well plates (Greiner Bio-One, Kremsmünster, Austria) with a Tecan Spark 10M plate reader (Tecan Group Ltd., Männedorf, Switzerland). Stock solutions of the substrate and SPRs were prepared in DMSO. Each well contained 200 µL, consisting of 180 µL assay buffer, 5 µL enzyme solution in buffer, 10 µL inhibitor in DMSO (or DMSO alone as negative control), and 5 µL substrate. Assay buffer consisted of 50 mM potassium phosphate, 2.5 mM DTT, and 2.5 mM EDTA at pH 6.5, while the enzyme buffer consisted of 35 mM potassium phosphate, 35 mM sodium acetate, 2 mM DTT, and 2 mM EDTA at pH 6.5. All chemicals and reagents used for enzyme and assays buffer, along with DMSO, were purchased from Merck (Darmstadt, Germany). The enzyme (10 nM) was diluted and pre-incubated in enzyme buffer at room temperature for 20 min before trnsfer to the assay buffer. The reaction was initiated by adding the substrate (10 µM) under rigorous mixing. The reaction was monitored for 10 min at 25 °C, and fluorescence readout was performed in 30 sec intervals. AMC release was detected using an excitation wavelength of 380 nm and an emission wavelength of 460 nm. Residual enzymatic activity was calculated from the substrate hydrolysis rate in the presence of inhibitors relative to the DMSO control. To determine the IC50 values dilution series of the inhibitors were prepared (eg. final concentrations: 100, 30, 10, 3, 1, 0.3, 0.1 μM, and DMSO as control). The IC50 values were calculated using GRAFIT [44] by fitting the residual enzymatic activity to the four-parameter IC50 equation (Equation (1)):
Y = Y m a x Y m i n 1 + [ I ] I C 50 s
where Y is the substrate hydrolysis rate, Ymax is the maximum value of the dose response curve at inhibitor concentrations [I] = 0 µM, Ymin is the minimum value at high inhibitor concentrations, and s is the Hill coefficient [45].
To calculate the Ki value, Equation (2) was used:
K i =   I C 50 1 + [ S ] K m
with Km as the substrate concentration at which the hydrolysis activity is half maximal and [S] as the substrate concentration [45].

3.2. Molecular Modelling

3.2.1. Target Structure Preparation

The experimental structure of hCatS in complex with K11017 (PDB ID: 1NPZ [41]) was obtained from the RCSB Protein Data bank [46]. The covalently bound inhibitor was initially removed, and the structure was processed using the Schrodinger Protein Preparation workflow to optimize the target structure for the following studies [47]. Following previous protocols [48], hydrogen atoms were added and bond orders were assigned. The hydrogen-bonding network was optimized by reorienting hydroxyl and thiol groups, the amide groups of Asn and Gln, and imidazole rings of His residues. The ionization and tautomeric states of His, Asp, Glu, Arg, and Lys residues were adjusted to match physiological pH of 7.4 using PROPKA. The structure was then submitted to a minimization (OPLS2005 force field [49]) that was stopped when RMSD of heavy atoms reached 0.30 Å. All crystallographic water molecules were removed prior to further analysis.

3.2.2. Preparation of Ligands

Ligands were sketched using the Maestro GUI v2025-2 [50] and were then submitted to a conformational search using MacroModel v2025-2 [51]. A Low-Mode Conformational Search (LMCS) method was performed, with a maximum of 1000 steps per structure. Calculations were carried out in implicit solvent (GB/SA) and energy minimization was performed on each conformer using the PRCG method, with a maximum of 2500 iterations per step. For each ligand, only the global minimum energy conformation was retained for subsequent docking simulations.

3.2.3. Molecular Docking Simulations

The Schrödinger Induced Fit Docking (IFD) v2025-2 workflow was used to explore the binding mode of the ligands [40]. Residues within 5 Å of the experimentally bound conformation of K11017 were selected as flexible. In the initial docking stage, the docking space was centred on the crystallographic pose of K11017, and defined as a (30 Å)3 cubic box, with a smaller, nested, (15 Å)3 cubic one where the diameter midpoint of each docked ligand was required to stay. After the Prime refinement of flexible residues [52], the second docking stage (redocking) was performed assigning the outerbox size automatically, based on the docking pose from the first docking stage. Both first docking and redocking were performed using GlideSP v2025-2 [53]. Final docking poses were scored and ranked using the default IFDscore, the best scoring complex for each ligand was used as input for the molecular dynamics simulations.

3.2.4. Molecular Dynamics Simulations

MD simulations were set and run using Desmond v2025-2 [54]. Simulated environments were built using the TIP3P water model [55] and the OPLS 2005 force field [49]. Prior to the 120 ns-long production stage, the systems were relaxed using the default multistep protocol. After system relaxation, 120 ns-long MD simulations were carried out at a 300 K in the NPT ensemble using a Nose-Hoover chain thermostat and a Martyna-Tobias-Klein barostat (1.01325 bar), applying a 1 kcal/mol harmonic constrain on the backbone heavy atoms. Time steps were set to 2 fs, 2 fs and 6 fs for bonded, near, and far interactions, respectively. Structures were sampled every 120 ps and trajectories were analyzed using Maestro [50] and VMD [56].

3.2.5. Trajectory Clustering and Energy Evaluation of Conformers

Snapshots of the SPR62/hCatS complex conformations were extracted from the MD trajectory. Conformations were superimposed by the backbone heavy atoms of hCatS and then SPR62 bound conformations were clustered using the conformer_cluster.py script [57], based on atomic RMSD values. RMSD calculations were performed in place (using the previous hCatS backbone alignment) on the amide motif (excluding the hydrogen atom) of the γ-lactam. Merge distance cutoff was set to 2 Å, using the average linkage clustering method. SPR62 conformations were evaluated for their ligand energies (in vacuum), and the energies of each conformation were averaged for each of the two most populated clusters.

4. Conclusions

Molecules originally developed as SARS-CoV-2 Mpro inhibitors showed potent affinity towards hCatS. These compounds carry a methyl vinyl ketone warhead, a γ-lactam Gln derivative at the P1 site, different aliphatic amino acids at the P2 site, and either a fluorine-containing phenyl ring or Cbz as the N-capping. Herein, SPR38, SPR39, and SPR41, differing only in their P2 residue, showed a relevant double-digit nanomolar affinity for hCatS, along with selectivity indices ranging from 24 to 74 over hCatL and from 175 to 1354 and hCatB. The biological data herein reported confirm the significant inhibitory properties against hCatS of peptide-based Michael acceptors originally developed for SARS-CoV-2 Mpro. All the SPR derivatives share the P1-warhead fragment, namely the (3S)-pyrrolid-2-one-3-yl-L-alanine at the P1 site and a methyl vinyl ketone warhead. Comparison with known hCatS inhibitors highlighted this fragment as a key determinant for hCatS inhibition. Molecular modelling studies provided insight into the role of the solvent-exposed P1 γ-lactam substituent in target recognition. Furthermore, in silico analyses also suggested two additional strategies for the potential optimization of potency and selectivity toward hCatS, such as i) the design of modified P1 substituents capable to make more efficient water mediated H-bonds, or ii) the introduction of extended substituents able to displace structural water molecules and establish direct interactions with residues such as Cys66. Overall, peptide-based Michael acceptors, originally developed for SARS-CoV-2 Mpro, demonstrated potent and selective inhibition of hCatS. Since a large number of these compounds carries a γ-lactam Gln derivative at the P1 and an electrophilic warhead, the repurposing strategy of molecules with this fragment could provide significant data for hCatS inhibition.

Supplementary Materials

The following supporting information can be downloaded at https://www.mdpi.com/article/10.3390/ph18101462/s1: Figure S1: Protein-Ligand Contacts of hCatS bound to SPR38, SPR39, SPR41, SPR49, SPR60, and SPR62. Table S1. Clustering statistics and energetics of SPR62 conformations from the MD simulation. SPR38.pdb: Docking-predicted SPR38/hCatS complex. SPR39.pdb: Docking-predicted SPR39/hCatS complex. SPR41.pdb: Docking-predicted SPR41/hCatS complex. SPR49.pdb: Docking-predicted SPR49/hCatS complex. SPR60.pdb: Docking-predicted SPR60/hCatS complex. SPR62.pdb: Docking-predicted SPR62/hCatS complex.

Author Contributions

Conceptualization, S.P.; methodology, S.P. and N.I.; investigation, S.P., N.I. and E.C.; data curation, S.P.; writing—original draft preparation, S.P.; writing—review and editing, N.I., R.E. and M.Z.; Funding acquisition, M.Z. All authors have read and agreed to the published version of the manuscript.

Funding

Part of this research was funded by Italian Ministry of University and Research (project n◦ FISR2020IP_00850).

Institutional Review Board Statement

Not applicable.

Informed Consent Statement

Not applicable.

Data Availability Statement

Data presented in this study is contained within the article and Supplementary Material. Further inquiries can be directed to the corresponding authors.

Acknowledgments

The authors thank Tanja Schirmeister and Stefan J. Hammerschmidt for their work on the biological investigation towards hCatS.

Conflicts of Interest

The authors declare no conflicts of interest.

Abbreviations

The following abbreviations are used in this manuscript:
AMC7-amino-4-methyl coumarin
APCAntigen-Presenting Cell
CbzCarbobenzyloxy
ChaCyclohexylalanine
CpaCyclopropylalanine
EWGElectron-Withdrawing Group
hCatBHuman Cathepsin B
hCatLHuman Cathepsin L
hCatSHuman cathepsin S
IFDInduced Fit Docking
LMCSLow-Mode Conformational Search
MDMolecular Dynamics
MHCMajor Histocompatibility Complex
MproMain protease
NleNor-leucine
PDBProtein Data Bank
RMSDRoot Mean Square Deviation
RMSFRoot Mean Square Fluctuation
SARStructure-Activity Relationship
SARS-CoV-2Severe Acute Respiratory Syndrome Coronavirus 2

References

  1. Bromme, D. Papain-like cysteine proteases. Curr. Protoc. Protein Sci. 2001, 21, 21.2.1–21.2.14. [Google Scholar] [CrossRef]
  2. Patel, S.; Homaei, A.; El-Seedi, H.R.; Akhtar, N. Cathepsins: Proteases that are vital for survival but can also be fatal. Biomed. Pharmacother. 2018, 105, 526–532. [Google Scholar] [CrossRef] [PubMed]
  3. Pecar Fonovic, U.; Kos, J.; Mitrovic, A. Compensational role between cathepsins. Biochimie 2024, 226, 62–76. [Google Scholar] [CrossRef]
  4. Turk, V.; Stoka, V.; Vasiljeva, O.; Renko, M.; Sun, T.; Turk, B.; Turk, D. Cysteine cathepsins: From structure, function and regulation to new frontiers. Biochim. Biophys. Acta 2012, 1824, 68–88. [Google Scholar] [CrossRef]
  5. Yadati, T.; Houben, T.; Bitorina, A.; Shiri-Sverdlov, R. The ins and outs of cathepsins: Physiological function and role in disease management. Cells 2020, 9, 1679. [Google Scholar] [CrossRef]
  6. Lecaille, F.; Kaleta, J.; Bromme, D. Human and parasitic papain-like cysteine proteases: Their role in physiology and pathology and recent developments in inhibitor design. Chem. Rev. 2002, 102, 4459–4488. [Google Scholar] [CrossRef]
  7. Geetha, D.; Hameeda, B.A.; Jose, D.; Kuriakose, N.; Skaria, T. Novel insights into the dynamic conformational transitions and active site plasticity of human immunoregulatory cathepsin S. Proteins 2025, 93, 1805–1818. [Google Scholar] [CrossRef]
  8. Vizovišek, M.; Vidak, E.; Javoršek, U.; Mikhaylov, G.; Bratovš, A.; Turk, B. Cysteine cathepsins as therapeutic targets in inflammatory diseases. Expert Opin. Ther. Targets 2020, 24, 573–588. [Google Scholar] [CrossRef] [PubMed]
  9. Chen, L.; Lu, B.; Yang, Y.; Zhang, W.; Wang, X.; Zhou, H.; Wen, J.; Yang, Z.; Hu, R. Elevated circulating cathepsin S levels are associated with metabolic syndrome in overweight and obese individuals. Diabetes Metab. Res. Rev. 2019, 35, e3117. [Google Scholar] [CrossRef] [PubMed]
  10. Zhang, L.; Wang, H.; Xu, J. Cathepsin S as a cancer target. Neoplasma 2015, 62, 16–26. [Google Scholar] [CrossRef]
  11. Sena, B.F.; Figueiredo, J.L.; Aikawa, E. Cathepsin S as an inhibitor of cardiovascular inflammation and calcification in chronic kidney disease. Front. Cardiovasc. Med. 2018, 4, 88. [Google Scholar] [CrossRef]
  12. Cocchiaro, P.; De Pasquale, V.; Della Morte, R.; Tafuri, S.; Avallone, L.; Pizard, A.; Moles, A.; Pavone, L.M. The multifaceted role of the lysosomal protease cathepsins in kidney disease. Front. Cell Dev. Biol. 2017, 5, 114. [Google Scholar] [CrossRef] [PubMed]
  13. Brown, R.; Nath, S.; Lora, A.; Samaha, G.; Elgamal, Z.; Kaiser, R.; Taggart, C.; Weldon, S.; Geraghty, P. Cathepsin S: Investigating an old player in lung disease pathogenesis, comorbidities, and potential therapeutics. Respir. Res. 2020, 21, 111. [Google Scholar] [CrossRef] [PubMed]
  14. Senjor, E.; Kos, J.; Nanut, M.P. Cysteine cathepsins as therapeutic targets in immune regulation and immune disorders. Biomedicines 2023, 11, 476. [Google Scholar] [CrossRef]
  15. Sayed, S.; Faruq, O.; Preya, U.H.; Kim, J.T. Cathepsin S knockdown suppresses endothelial inflammation, angiogenesis, and complement protein activity under hyperglycemic conditions in vitro by inhibiting NF-κB signaling. Int. J. Mol. Sci. 2023, 24, 5428. [Google Scholar] [CrossRef]
  16. Driessen, C.; Bryant, R.A.R.; Lennon-Duménil, A.-M.; Villadangos, J.A.; Bryant, P.W.; Shi, G.-P.; Chapman, H.A.; Ploegh, H.L. Cathepsin S controls the trafficking and maturation of MHC class II molecules in dendritic cells. J. Cell Biol. 1999, 147, 775–790. [Google Scholar] [CrossRef]
  17. Shi, G.-P.; Villadangos, J.A.; Dranoff, G.; Small, C.; Gu, L.; Haley, K.J.; Riese, R.; Ploegh, H.L.; Chapman, H.A. Cathepsin S required for normal MHC class II peptide loading and germinal center development. Immunity 1999, 10, 197–206. [Google Scholar] [CrossRef]
  18. Beers, C.; Burich, A.; Kleijmeer, M.J.; Griffith, J.M.; Wong, P.; Rudensky, A.Y. Cathepsin S controls MHC class II-mediated antigen presentation by epithelial cells in vivo. J. Immunol. 2005, 174, 1205–1212. [Google Scholar] [CrossRef]
  19. Wilkinson, R.D.; Williams, R.; Scott, C.J.; Burden, R.E. Cathepsin S: Therapeutic, diagnostic, and prognostic potential. Biol. Chem. 2015, 396, 867–882. [Google Scholar] [CrossRef]
  20. Smyth, P.; Sasiwachirangkul, J.; Williams, R.; Scott, C.J. Cathepsin S (CTSS) activity in health and disease—A treasure trove of untapped clinical potential. Mol. Aspects Med. 2022, 88, 101106. [Google Scholar] [CrossRef] [PubMed]
  21. Ajani, T.A.; Magwebu, Z.E.; Chauke, C.G.; Obikeze, K. Advances in cathepsin S inhibition: Challenges and breakthroughs in drug development. Pathophysiology 2024, 31, 471–487. [Google Scholar] [CrossRef]
  22. Schade, M.; Merla, B.; Lesch, B.; Wagener, M.; Timmermanns, S.; Pletinckx, K.; Hertrampf, T. Highly selective sub-nanomolar cathepsin S inhibitors by merging fragment binders with nitrile inhibitors. J. Med. Chem. 2020, 63, 11801–11808. [Google Scholar] [CrossRef] [PubMed]
  23. Meta, M.; Zimmer, C.; Fuchs, N.; Zecher, M.J.; Lahu, A.; Schirmeister, T. Structural modifications of covalent cathepsin S inhibitors: Impact on affinity, selectivity, and permeability. ACS Med. Chem. Lett. 2024, 15, 837–844. [Google Scholar] [CrossRef]
  24. Hilpert, H.; Mauser, H.; Humm, R.; Anselm, L.; Kuehne, H.; Hartmann, G.; Gruener, S.; Banner, D.W.; Benz, J.; Gsell, B.; et al. Identification of potent and selective cathepsin S inhibitors containing different central cyclic scaffolds. J. Med. Chem. 2013, 56, 9789–9801. [Google Scholar] [CrossRef]
  25. Jm Wiener, J.; Sun, S.; Thurmond, R.L. Recent advances in the design of cathepsin S inhibitors. Curr. Top. Med. Chem. 2010, 10, 717–732. [Google Scholar] [CrossRef]
  26. Previti, S.; Ettari, R.; Calcaterra, E.; Roggia, M.; Natale, B.; Weldert, A.C.; Muller-Ruttloff, C.; Salisch, F.; Irto, A.; Cigala, R.M.; et al. Identification of dual inhibitors targeting main protease (Mpro) and cathepsin L as potential anti-SARS-CoV-2 agents. ACS Med. Chem. Lett. 2024, 15, 602–609. [Google Scholar] [CrossRef]
  27. La Monica, G.; Bono, A.; Lauria, A.; Martorana, A. Targeting SARS-CoV-2 main protease for treatment of COVID-19: Covalent inhibitors structure-activity relationship insights and evolution perspectives. J. Med. Chem. 2022, 65, 12500–12534. [Google Scholar] [CrossRef] [PubMed]
  28. Arafet, K.; Serrano-Aparicio, N.; Lodola, A.; Mulholland, A.J.; Gonzalez, F.V.; Swiderek, K.; Moliner, V. Mechanism of inhibition of SARS-CoV-2 M(pro) by N3 peptidyl Michael acceptor explained by QM/MM simulations and design of new derivatives with tunable chemical reactivity. Chem. Sci. 2020, 12, 1433–1444. [Google Scholar] [CrossRef]
  29. Pang, X.; Xu, W.; Liu, Y.; Li, H.; Chen, L. The research progress of SARS-CoV-2 main protease inhibitors from 2020 to 2022. Eur. J. Med. Chem. 2023, 257, 115491. [Google Scholar] [CrossRef]
  30. Previti, S.; Ettari, R.; Calcaterra, E.; Di Maro, S.; Hammerschmidt, S.J.; Muller, C.; Ziebuhr, J.; Schirmeister, T.; Cosconati, S.; Zappalà, M. Structure-based lead optimization of peptide-based vinyl methyl ketones as SARS-CoV-2 main protease inhibitors. Eur. J. Med. Chem. 2023, 247, 115021. [Google Scholar] [CrossRef] [PubMed]
  31. Palmer, J.T.; Rasnick, D.; Klaus, J.L.; Bromme, D. Vinyl sulfones as mechanism-based cysteine protease inhibitors. J. Med. Chem. 1995, 38, 3193–3196. [Google Scholar] [CrossRef] [PubMed]
  32. Muller, P.; Meta, M.; Meidner, J.L.; Schwickert, M.; Meyr, J.; Schwickert, K.; Kersten, C.; Zimmer, C.; Hammerschmidt, S.J.; Frey, A.; et al. Investigation of the compatibility between warheads and peptidomimetic sequences of protease inhibitors-a comprehensive reactivity and selectivity study. Int. J. Mol. Sci. 2023, 24, 7226. [Google Scholar] [CrossRef]
  33. Fuchs, N.; Meta, M.; Lantzberg, B.; Bros, M.; Ling Kuan, S.; Weil, T.; Schirmeister, T. Subnanomolar cathepsin S inhibitors with high selectivity: Optimizing covalent reversible alpha-fluorovinylsulfones and alpha-sulfonates as potential immunomodulators in cancer. ChemMedChem 2023, 18, e202300160. [Google Scholar] [CrossRef] [PubMed]
  34. Singh, T.U.; Parida, S.; Lingaraju, M.C.; Kesavan, M.; Kumar, D.; Singh, R.K. Drug repurposing approach to fight COVID-19. Pharmacol. Rep. 2020, 72, 1479–1508. [Google Scholar] [CrossRef]
  35. Sultana, J.; Crisafulli, S.; Gabbay, F.; Lynn, E.; Shakir, S.; Trifiro, G. Challenges for drug repurposing in the COVID-19 pandemic era. Front. Pharmacol. 2020, 11, 588654. [Google Scholar] [CrossRef]
  36. Yang, Y.; Luo, Y.D.; Zhang, C.B.; Xiang, Y.; Bai, X.Y.; Zhang, D.; Fu, Z.Y.; Hao, R.B.; Liu, X.L. Progress in research on inhibitors targeting SARS-CoV-2 main protease (Mpro). ACS Omega 2024, 9, 34196–34219. [Google Scholar] [CrossRef]
  37. Tan, B.; Sacco, M.; Tan, H.; Li, K.; Joyce, R.; Zhang, X.; Chen, Y.; Wang, J. Exploring diverse reactive warheads for the design of SARS-CoV-2 main protease inhibitors. Eur. J. Med. Chem. 2023, 259, 115667. [Google Scholar] [CrossRef]
  38. Agost-Beltrán, L.; de la Hoz-Rodríguez, S.; Bou-Iserte, L.; Rodríguez, S.; Fernández-de-la-Pradilla, A.; González, F.V. Advances in the development of SARS-CoV-2 Mpro inhibitors. Molecules 2022, 27, 2523. [Google Scholar] [CrossRef] [PubMed]
  39. Vankadara, S.; Dawson, M.D.; Fong, J.Y.; Oh, Q.Y.; Ang, Q.A.; Liu, B.; Chang, H.Y.; Koh, J.; Koh, X.; Tan, Q.W.; et al. A warhead substitution study on the coronavirus main protease inhibitor nirmatrelvir. ACS Med. Chem. Lett. 2022, 13, 1345–1350. [Google Scholar] [CrossRef] [PubMed]
  40. Sherman, W.; Day, T.; Jacobson, M.P.; Friesner, R.A.; Farid, R. Novel procedure for modeling ligand/receptor induced fit effects. J. Med. Chem. 2006, 49, 534–553. [Google Scholar] [CrossRef]
  41. Pauly, T.A.; Sulea, T.; Ammirati, M.; Sivaraman, J.; Danley, D.E.; Griffor, M.C.; Kamath, A.V.; Wang, I.K.; Laird, E.R.; Seddon, A.P.; et al. Specificity determinants of human cathepsin S revealed by crystal structures of complexes. Biochemistry 2003, 42, 3203–3213. [Google Scholar] [CrossRef]
  42. Lemke, C.; Benysek, J.; Brajtenbach, D.; Breuer, C.; Jilkova, A.; Horn, M.; Busa, M.; Ulrychova, L.; Illies, A.; Kubatzky, K.F.; et al. An activity-based probe for cathepsin K imaging with excellent potency and selectivity. J. Med. Chem. 2021, 64, 13793–13806. [Google Scholar] [CrossRef]
  43. Mertens, M.D.; Schmitz, J.; Horn, M.; Furtmann, N.; Bajorath, J.; Mares, M.; Gütschow, M. A coumarin-labeled vinyl sulfone as tripeptidomimetic activity-based probe for cysteine cathepsins. Chembiochem 2014, 15, 955–959. [Google Scholar] [CrossRef] [PubMed]
  44. Leatherbarrow, R.J. GraFit 6; Vol. Erithacus Software Limited: East Gristead, UK, 2007. [Google Scholar]
  45. Ludewig, S.; Kossner, M.; Schiller, M.; Baumann, K.; Schirmeister, T. Enzyme kinetics and hit validation in fluorimetric protease assays. Curr. Top. Med. Chem. 2010, 10, 368–382. [Google Scholar] [CrossRef]
  46. Berman, H.M.; Westbrook, J.; Feng, Z.; Gilliland, G.; Bhat, T.N.; Weissig, H.; Shindyalov, I.N.; Bourne, P.E. The Protein Data Bank. Nucleic Acids Res. 2000, 28, 235–242. [Google Scholar] [CrossRef]
  47. Sastry, G.M.; Adzhigirey, M.; Day, T.; Annabhimoju, R.; Sherman, W. Protein and ligand preparation: Parameters, protocols, and influence on virtual screening enrichments. J. Comput. Aided. Mol. Des. 2013, 27, 221–234. [Google Scholar] [CrossRef]
  48. Sancineto, L.; Iraci, N.; Massari, S.; Attanasio, V.; Corazza, G.; Barreca, M.L.; Sabatini, S.; Manfroni, G.; Avanzi, N.R.; Cecchetti, V.; et al. Computer-aided design, synthesis and validation of 2-phenylquinazolinone fragments as CDK9 inhibitors with anti-HIV-1 Tat-mediated transcription activity. ChemMedChem 2013, 8, 1941–1953. [Google Scholar] [CrossRef] [PubMed]
  49. Jorgensen, W.L.; Maxwell, D.S.; Tirado-Rives, J. Development and testing of the OPLS All-atom force field on conformational energetics and properties of organic liquids. J. Am. Chem. Soc. 1996, 118, 11225–11236. [Google Scholar] [CrossRef]
  50. Schrödinger Release 2025-2: Maestro, Schrödinger, LLC.: New York, NY, USA, 2025.
  51. Schrödinger Release 2025-2: MacroModel, Schrödinger, LLC.: New York, NY, USA, 2025.
  52. Schrödinger Release 2025-2: Prime, Schrödinger, LLC.: New York, NY, USA, 2025.
  53. Friesner, R.A.; Banks, J.L.; Murphy, R.B.; Halgren, T.A.; Klicic, J.J.; Mainz, D.T.; Repasky, M.P.; Knoll, E.H.; Shelley, M.; Perry, J.K.; et al. Glide: A new approach for rapid, accurate docking and scoring. 1. Method and assessment of docking accuracy. J. Med. Chem. 2004, 47, 1739–1749. [Google Scholar] [CrossRef]
  54. Bowers, K.J.; Chow, E.; Xu, H.; Dror, R.O.; Eastwood, M.P.; Gregersen, B.A.; Klepeis, J.L.; Kolossvary, I.; Moraes, M.A.; Sacerdoti, F.D. Scalable algorithms for molecular dynamics simulations on commodity clusters. In Proceedings of the ACM/IEEE Conference on Supercomputing, Tampa, FL, USA, 11–17 November 2006; pp. 84–es. [Google Scholar]
  55. Jorgensen, W.L.; Chandrasekhar, J.; Madura, J.D.; Impey, R.W.; Klein, M.L. Comparison of simple potential functions for simulating liquid water. J. Chem. Phys. 1983, 79, 926–935. [Google Scholar] [CrossRef]
  56. Humphrey, W.; Dalke, A.; Schulten, K. VMD: Visual molecular dynamics. J. Mol. Graph. 1996, 14, 33–38. [Google Scholar] [CrossRef] [PubMed]
  57. Schrödinger Suite Release 2025-2, Schrödinger, LLC.: New York, NY, USA, 2025.
Chart 1. Structures and biological data towards hCatS of SPR49, SPR60, and SPR62 [26]. Structures of SPR38, SPR39, and SPR41 [30].
Chart 1. Structures and biological data towards hCatS of SPR49, SPR60, and SPR62 [26]. Structures of SPR38, SPR39, and SPR41 [30].
Pharmaceuticals 18 01462 ch001
Chart 2. Structures and biological activity of compounds 1a–g towards hCatS, previously reported by Schirmeister and co-workers [32].
Chart 2. Structures and biological activity of compounds 1a–g towards hCatS, previously reported by Schirmeister and co-workers [32].
Pharmaceuticals 18 01462 ch002
Chart 3. Structures and biological activity of rationally designed hCatS inhibitors known in the literature: 2a [22], 2b [23], and 2c [33].
Chart 3. Structures and biological activity of rationally designed hCatS inhibitors known in the literature: 2a [22], 2b [23], and 2c [33].
Pharmaceuticals 18 01462 ch003
Figure 1. (A) Docking-predicted bound conformation of SPR62 (yellow sticks), into hCatS (teal cartoons and sticks). H-bond interactions are highlighted by magenta dashed lines, π-π stacking interactions by green dashed lines. The experimentally solved bound conformation of K11017 (magenta thin sticks) is shown as reference [41]. (B) Docking-predicted hCatS-bound conformations of SPR38 (orange sticks), SPR39 (green sticks), SPR41 (cyan sticks), SPR49 (magenta sticks), SPR60 (salmon sticks), SPR62 (yellow sticks). (C) Distance between the Cys 25 γ-sulphur and the warhead β-carbons of inhibitors. (D) Simulation interactions diagram of SPR62 in complex with hCatS. Only residues interacting with the ligand for at least 12 out of 120 ns of MD simulation are shown. Residues are coloured according to the following scheme: cyan, polar; green, hydrophobic; grey, water molecule. Grey halos highlight solvent exposure. H-bonds are represented by magenta arrows (dashed when side-chain atoms are involved, solid in the case of backbone atoms involvement); green solid lines represent π−π stacking interactions.
Figure 1. (A) Docking-predicted bound conformation of SPR62 (yellow sticks), into hCatS (teal cartoons and sticks). H-bond interactions are highlighted by magenta dashed lines, π-π stacking interactions by green dashed lines. The experimentally solved bound conformation of K11017 (magenta thin sticks) is shown as reference [41]. (B) Docking-predicted hCatS-bound conformations of SPR38 (orange sticks), SPR39 (green sticks), SPR41 (cyan sticks), SPR49 (magenta sticks), SPR60 (salmon sticks), SPR62 (yellow sticks). (C) Distance between the Cys 25 γ-sulphur and the warhead β-carbons of inhibitors. (D) Simulation interactions diagram of SPR62 in complex with hCatS. Only residues interacting with the ligand for at least 12 out of 120 ns of MD simulation are shown. Residues are coloured according to the following scheme: cyan, polar; green, hydrophobic; grey, water molecule. Grey halos highlight solvent exposure. H-bonds are represented by magenta arrows (dashed when side-chain atoms are involved, solid in the case of backbone atoms involvement); green solid lines represent π−π stacking interactions.
Pharmaceuticals 18 01462 g001
Figure 2. (A) RMSD values of SPR62 atoms as a function of MD simulation time. (B) Representative structures of the “up” cluster (green sticks) and of the “down” cluster (magenta sticks). hCatS is depicted in teal cartoons and sticks.
Figure 2. (A) RMSD values of SPR62 atoms as a function of MD simulation time. (B) Representative structures of the “up” cluster (green sticks) and of the “down” cluster (magenta sticks). hCatS is depicted in teal cartoons and sticks.
Pharmaceuticals 18 01462 g002
Table 1. Biological data for SPR38, SPR39, and SPR41 and comparison with known (3S)-pyrrolid-2-one-3-yl-L-alanine-containing analogues and K11017 (positive control).
Table 1. Biological data for SPR38, SPR39, and SPR41 and comparison with known (3S)-pyrrolid-2-one-3-yl-L-alanine-containing analogues and K11017 (positive control).
Pharmaceuticals 18 01462 i001
CompoundsP2FKi (nM)SI
hCatL/hCatS
SI
hCatB/hCatS
hCatShCatLhCatB
SPR38Nle-58.8 ± 3.61920 ± 100 b11,100 ± 1200 b32189
SPR39Cpa-45.1 ± 3.83380 ± 220 b7880 ± 650 b75175
SPR41Cha-10.7 ± 1.1252 ± 18 b14,400 ± 1200 b241345
SPR49 aCpa2-F95.4 ± 0.6294 ± 42>15,0003>157
SPR60 aLeu4-F6.23 ± 0.2520 ± 210,900 ± 50031750
SPR62 aTba4-F0.7 ± 0.1701 ± 667700 ± 320100011,000
K11017 c--5.9
a data from [26]; b data from [30]; c data from [31].
Disclaimer/Publisher’s Note: The statements, opinions and data contained in all publications are solely those of the individual author(s) and contributor(s) and not of MDPI and/or the editor(s). MDPI and/or the editor(s) disclaim responsibility for any injury to people or property resulting from any ideas, methods, instructions or products referred to in the content.

Share and Cite

MDPI and ACS Style

Previti, S.; Iraci, N.; Calcaterra, E.; Ettari, R.; Zappalà, M. A Second Opportunity for the Peptide-Based Analogues with γ-Lactam at the P1 Position: Human Cathepsin S Inhibition. Pharmaceuticals 2025, 18, 1462. https://doi.org/10.3390/ph18101462

AMA Style

Previti S, Iraci N, Calcaterra E, Ettari R, Zappalà M. A Second Opportunity for the Peptide-Based Analogues with γ-Lactam at the P1 Position: Human Cathepsin S Inhibition. Pharmaceuticals. 2025; 18(10):1462. https://doi.org/10.3390/ph18101462

Chicago/Turabian Style

Previti, Santo, Nunzio Iraci, Elsa Calcaterra, Roberta Ettari, and Maria Zappalà. 2025. "A Second Opportunity for the Peptide-Based Analogues with γ-Lactam at the P1 Position: Human Cathepsin S Inhibition" Pharmaceuticals 18, no. 10: 1462. https://doi.org/10.3390/ph18101462

APA Style

Previti, S., Iraci, N., Calcaterra, E., Ettari, R., & Zappalà, M. (2025). A Second Opportunity for the Peptide-Based Analogues with γ-Lactam at the P1 Position: Human Cathepsin S Inhibition. Pharmaceuticals, 18(10), 1462. https://doi.org/10.3390/ph18101462

Note that from the first issue of 2016, this journal uses article numbers instead of page numbers. See further details here.

Article Metrics

Back to TopTop