Natural Product Identification and Molecular Docking Studies of Leishmania Major Pteridine Reductase Inhibitors
Abstract
1. Introduction
2. Results and Discussion
2.1. Analysis of PTR1 Binding Site and Selection of Ligand Library
2.2. Validation of Docking Protocol
2.2.1. Alignment and Superimposition
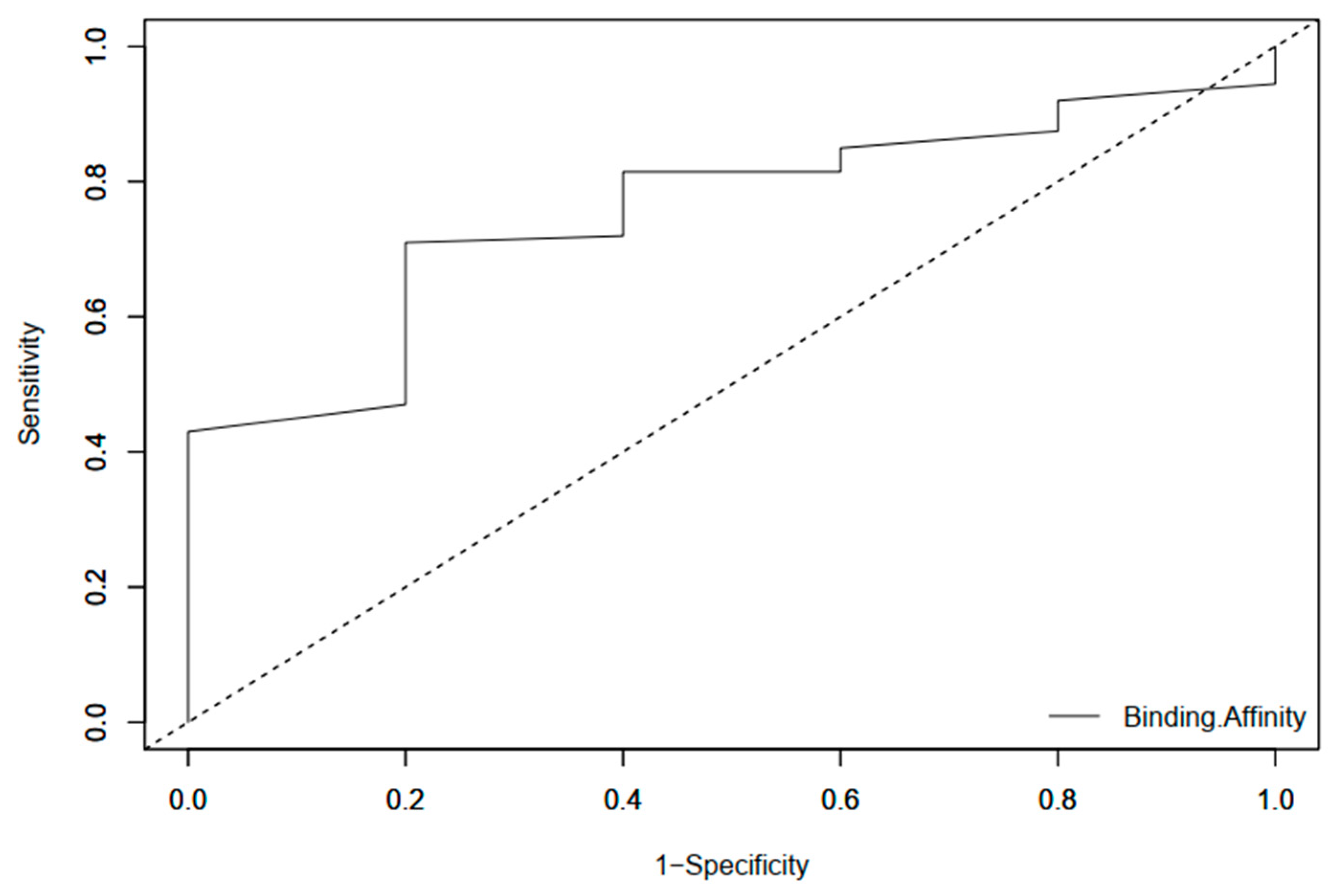
2.2.2. Receiver Operating Characteristic (ROC) Curve
2.3. Molecular Docking Analysis
2.4. Drug Likeness
2.5. In Silico ADMET Studies
2.6. LmPTR1-Ligand Interactions
2.7. Structural Similarity Searches of Compounds
2.8. Antileishmanial Prediction with PASS
2.9. Molecular Dynamics (MD) Simulations of Receptor–Ligand Complexes
2.10. MM/PBSA Calculations of Receptor–Ligand Complexes
2.10.1. Energy Terms
2.10.2. Per Residue Energy Decomposition
2.11. Future Outlook and Implications of This Study
3. Materials and Methods
3.1. Protein Preparation and Active Site Characterization
3.2. Preparation of Ligand Library
3.3. Virtual Screening
3.4. Docking Validation
3.5. Pharmacological Studies/Profiling
3.6. Binding Mechanism Characterization
3.7. Prediction of Biological Activity
3.8. Molecular Dynamics (MD) Simulations and MM/PBSA Calculations of Receptor–Ligand Complexes
4. Conclusions
Supplementary Materials
Author Contributions
Funding
Institutional Review Board Statement
Informed Consent Statement
Data Availability Statement
Acknowledgments
Conflicts of Interest
References
- Yizengaw, E.; Gashaw, B.; Yimer, M.; Takele, Y.; Nibret, E.; Yismaw, G.; Cruz Cervera, E.; Ejigu, K.; Tamiru, D.; Munshea, A.; et al. Demographic Characteristics and Clinical Features of Patients Presenting with Different Forms of Cutaneous Leishmaniasis, in Lay Gayint, Northern Ethiopia. PLoS Negl. Trop. Dis. 2024, 18, e0012409. [Google Scholar] [CrossRef]
- Nawattanapaibool, N.; Ruang-Areerate, T.; Piyaraj, P.; Leelayoova, S.; Mungthin, M.; Siripattanapipong, S. Development of Nucleic Acid Lateral Flow Immunoassay for Duplex Detection of Leishmania Martiniquensis and Leishmania Orientalis in Asymptomatic Patients with HIV. PLoS ONE 2024, 19, e0307601. [Google Scholar] [CrossRef]
- WHO. Leishmaniasis; WHO: Geneva, Switzerland, 2021. [Google Scholar]
- Georgiadou, S.P.; Makaritsis, K.P.; Dalekos, G.N. Leishmaniasis Revisited: Current Aspects on Epidemiology, Diagnosis and Treatment. J. Transl. Intern. Med. 2015, 3, 43–50. [Google Scholar] [CrossRef]
- Alvar, J.; Vélez, I.D.; Bern, C.; Herrero, M.; Desjeux, P.; Cano, J.; Jannin, J.; de Boer, M. Leishmaniasis Worldwide and Global Estimates of Its Incidence. PLoS ONE 2012, 7, e35671. [Google Scholar] [CrossRef] [PubMed]
- Costa-da-Silva, A.C.; Nascimento, D.d.O.; Ferreira, J.R.M.; Guimarães-Pinto, K.; Freire-de-Lima, L.; Morrot, A.; Decote-Ricardo, D.; Filardy, A.A.; Freire-de-Lima, C.G. Immune Responses in Leishmaniasis: An Overview. Trop. Med. Infect. Dis. 2022, 7, 54. [Google Scholar] [CrossRef] [PubMed]
- Clem, A. A Current Perspective on Leishmaniasis. J. Glob. Infect. Dis. 2010, 2, 124. [Google Scholar] [CrossRef]
- Bamorovat, M.; Sharifi, I.; Khosravi, A.; Reza, M. Global Dilemma and Needs Assessment Toward Achieving Sustainable Development Goals in Controlling Leishmaniasis. J. Epidemiol. Glob. Health 2024, 14, 22–34. [Google Scholar] [CrossRef] [PubMed]
- Knight, C.A.; Harris, D.R.; Alshammari, S.O.; Gugssa, A.; Young, T.; Lee, C.M. Leishmaniasis: Recent Epidemiological Studies in the Middle East. Front. Microbiol. 2023, 13, 1052478. [Google Scholar] [CrossRef] [PubMed]
- Kyari, S. Epidemiology of Leishmaniasis; Almeida-Souza, F., Cardoso, F.d.O., Abreu-Silva, A.L., Calabrese, K.d.S., Eds.; IntechOpen: Rijeka, Croatia, 2024; Chapter 2. [Google Scholar] [CrossRef]
- Okwor, I.; Uzonna, J. Social and Economic Burden of Human Leishmaniasis. Am. J. Trop. Med. Hyg. 2016, 94, 489–493. [Google Scholar] [CrossRef]
- Ghorbani, M.; Farhoudi, R. Leishmaniasis in Humans: Drug or Vaccine Therapy? Drug Des. Devel. Ther. 2018, 12, 25–40. [Google Scholar] [CrossRef] [PubMed]
- Monzote, L. Current Treatment of Leishmaniasis: A Review. Open Antimicrob. Agents J. 2009, 1, 9–19. [Google Scholar]
- Singh, N.; Kumar, M.; Singh, R.K. Leishmaniasis: Current Status of Available Drugs and New Potential Drug Targets. Asian Pac. J. Trop. Med. 2012, 5, 485–497. [Google Scholar] [CrossRef]
- Olías-Molero, A.I.; de la Fuente, C.; Cuquerella, M.; Torrado, J.J.; Alunda, J.M. Antileishmanial Drug Discovery and Development: Time to Reset the Model? Microorganisms 2021, 9, 2500. [Google Scholar] [CrossRef]
- Wise, E.S.; Armstrong, M.S.; Watson, J.; Lockwood, D.N. Monitoring Toxicity Associated with Parenteral Sodium Stibogluconate in the Day-Case Management of Returned Travellers with New World Cutaneous Leishmaniasis [Corrected]. PLoS Negl. Trop. Dis. 2012, 6, e1688. [Google Scholar] [CrossRef]
- Oliveira, L.F.; Schubach, A.O.; Martins, M.M.; Passos, S.L.; Oliveira, R.V.; Marzochi, M.C.; Andrade, C.A. Systematic Review of the Adverse Effects of Cutaneous Leishmaniasis Treatment in the New World. Acta Trop. 2011, 118, 87–96. [Google Scholar] [CrossRef]
- Chanda, K. An Overview on the Therapeutics of Neglected Infectious Diseases-Leishmaniasis and Chagas Diseases. Front. Chem. 2021, 9, 622286. [Google Scholar] [CrossRef]
- Pokharel, P.; Ghimire, R.; Lamichhane, P. Efficacy and Safety of Paromomycin for Visceral Leishmaniasis: A Systematic Review. J. Trop. Med. 2021, 2021, 8629039. [Google Scholar] [CrossRef] [PubMed]
- Monge-Maillo, B.; López-Vélez, R.; Saravolatz, L.D. Miltefosine for Visceral and Cutaneous Leishmaniasis: Drug Characteristics and Evidence-Based Treatment Recommendations. Clin. Infect. Dis. 2015, 60, 1398–1404. [Google Scholar] [CrossRef]
- De Rycker, M.; Wyllie, S.; Horn, D.; Read, K.D.; Gilbert, I.H. Anti-Trypanosomatid Drug Discovery: Progress and Challenges. Nat. Rev. Microbiol. 2023, 21, 35–50. [Google Scholar] [CrossRef]
- Veeresham, C. Natural Products Derived from Plants as a Source of Drugs. J. Adv. Pharm. Technol. Res. 2012, 3, 200. [Google Scholar] [CrossRef]
- Oryan, A. Plant-Derived Compounds in Treatment of Leishmaniasis. Iran. J. Vet. Res. 2015, 16, 1–19. [Google Scholar]
- Newman, D.J.; Cragg, G.M. Natural Products as Sources of New Drugs over the Nearly Four Decades from 01/1981 to 09/2019. J. Nat. Prod. 2020, 83, 770–803. [Google Scholar] [CrossRef]
- Di Pisa, F.; Landi, G.; Dello Iacono, L.; Pozzi, C.; Borsari, C.; Ferrari, S.; Santucci, M.; Santarem, N.; Cordeiro-da-Silva, A.; Moraes, C.B.; et al. Chroman-4-One Derivatives Targeting Pteridine Reductase 1 and Showing Anti-Parasitic Activity. Molecules 2017, 22, 426. [Google Scholar] [CrossRef] [PubMed]
- Berhe, H.G.; Birhan, Y.S.; Beshay, B.Y.; Habib, H.J.; Hymete, A.; Bekhit, A.A. Synthesis, Antileishmanial, Antimalarial Evaluation and Molecular Docking Study of Some Hydrazine-Coupled Pyrazole Derivatives. BMC Chem. 2024, 18, 1–15. [Google Scholar] [CrossRef] [PubMed]
- Leite, F.H.A.; Froes, T.Q.; da Silva, S.G.; de Souza, E.I.M.; Vital-Fujii, D.G.; Trossini, G.H.G.; Pita, S.S.d.R.; Castilho, M.S. An Integrated Approach towards the Discovery of Novel Non-Nucleoside Leishmania Major Pteridine Reductase 1 Inhibitors. Eur. J. Med. Chem. 2017, 132, 322–332. [Google Scholar] [CrossRef]
- Leite, F.H.A.; Santiago, P.B.G.d.S.; Froes, T.Q.; da Silva Filho, J.; da Silva, S.G.; Ximenes, R.M.; de Faria, A.R.; Brondani, D.J.; de Albuquerque, J.F.C.; Castilho, M.S. Structure-Guided Discovery of Thiazolidine-2,4-Dione Derivatives as a Novel Class of Leishmania Major Pteridine Reductase 1 Inhibitors. Eur. J. Med. Chem. 2016, 123, 639–648. [Google Scholar] [CrossRef]
- Nare, B.; Luba, J.; Hardy, L.W.; Beverley, S. New Approaches to Leishmania Chemotherapy: Pteridine Reductase 1 (PTR1) as a Target and Modulator of Antifolate Sensitivity. Parasitology 1997, 114 (Suppl. 1), 101–110. [Google Scholar] [CrossRef]
- Gourley, D.G.; Schüttelkopf, A.W.; Leonard, G.A.; Luba, J.; Hardy, L.W.; Beverley, S.M.; Hunter, W.N. Pteridine Reductase Mechanism Correlates Pterin Metabolism with Drug Resistance in Trypanosomatid Parasites. Nat. Struct. Biol. 2001, 8, 521–525. [Google Scholar] [CrossRef] [PubMed]
- Salari, S.; Bamorovat, M.; Sharifi, I.; Almani, P.G.N. Global Distribution of Treatment Resistance Gene Markers for Leishmaniasis. J. Clin. Lab. Anal. 2022, 36, e24599. [Google Scholar] [CrossRef]
- Iacono, L.D.; Di Pisa, F.; Mangani, S. Crystal Structure of the Ternary Complex of Leishmania Major Pteridine Reductase 1 with the Cofactor NADP+/NADPH and the Substrate Folic Acid. Acta Crystallogr. Sect. F Struct. Biol. Commun. 2022, 78, 170–176. [Google Scholar] [CrossRef]
- Annang, F.; Pérez-Moreno, G.; García-Hernández, R.; Cordon-Obras, C.; Martín, J.; Tormo, J.R.; Rodríguez, L.; de Pedro, N.; Gómez-Pérez, V.; Valente, M.; et al. High-Throughput Screening Platform for Natural Product-Based Drug Discovery against 3 Neglected Tropical Diseases: Human African Trypanosomiasis, Leishmaniasis, and Chagas Disease. J. Biomol. Screen. 2015, 20, 82–91. [Google Scholar] [CrossRef] [PubMed]
- Borsari, C.; Luciani, R.; Pozzi, C.; Poehner, I.; Henrich, S.; Trande, M.; Cordeiro-da-Silva, A.; Santarem, N.; Baptista, C.; Tait, A.; et al. Profiling of Flavonol Derivatives for the Development of Antitrypanosomatidic Drugs. J. Med. Chem. 2016, 59, 7598–7616. [Google Scholar] [CrossRef]
- Linciano, P.; Pozzi, C.; Iacono, L.D.; di Pisa, F.; Landi, G.; Bonucci, A.; Gul, S.; Kuzikov, M.; Ellinger, B.; Witt, G.; et al. Enhancement of Benzothiazoles as Pteridine Reductase-1 Inhibitors for the Treatment of Trypanosomatidic Infections. J. Med. Chem. 2019, 62, 3989–4012. [Google Scholar] [CrossRef]
- Prasanth, D.S.N.B.K.; Murahari, M.; Chandramohan, V.; Panda, S.P.; Atmakuri, L.R.; Guntupalli, C. In Silico Identification of Potential Inhibitors from Cinnamon against Main Protease and Spike Glycoprotein of SARS CoV-2. J. Biomol. Struct. Dyn. 2020, 39, 4618–4632. [Google Scholar] [CrossRef] [PubMed]
- Granchi, C.; Capecchi, A.; Del Frate, G.; Martinelli, A.; Macchia, M.; Minutolo, F.; Tuccinardi, T. Development and Validation of a Docking-Based Virtual Screening Platform for the Identification of New Lactate Dehydrogenase Inhibitors. Molecules 2015, 20, 8772–8790. [Google Scholar] [CrossRef] [PubMed]
- Heifets, A.; Lilien, R.H. LigAlign: Flexible Ligand-Based Active Site Alignment and Analysis. J. Mol. Graph. Model. 2010, 29, 93–101. [Google Scholar] [CrossRef] [PubMed]
- Alves, M.J.; Froufe, H.J.C.; Costa, A.F.T.; Santos, A.F.; Oliveira, L.G.; Osório, S.R.M.; Abreu, R.M.V.; Pintado, M.; Ferreira, I.C.F.R. Docking Studies in Target Proteins Involved in Antibacterial Action Mechanisms: Extending the Knowledge on Standard Antibiotics to Antimicrobial Mushroom Compounds. Molecules 2014, 19, 1672–1684. [Google Scholar] [CrossRef] [PubMed]
- Hajian-Tilaki, K. Receiver Operating Characteristic (ROC) Curve Analysis for Medical Diagnostic Test Evaluation. Casp. J. Intern. Med. 2013, 4, 627–635. [Google Scholar]
- Alamzeb, M.; Ali, S.; Rashid, M.U.; Khan, B.; Ihsanullah; Adnan; Omer, M.; Ullah, A.; Ali, J.; Setzer, W.N.; et al. Antileishmanial Potential of Berberine Alkaloids From Berberis Glaucocarpa Roots: Molecular Docking Suggests Relevant Leishmania Protein Targets. Nat. Prod. Commun. 2021, 16, 1934578X211031148. [Google Scholar] [CrossRef]
- Panecka-Hofman, J.; Poehner, I. Structure and Dynamics of Pteridine Reductase 1: The Key Phenomena Relevant to Enzyme Function and Drug Design. Eur. Biophys. J. 2023, 52, 521–532. [Google Scholar] [CrossRef]
- Dawson, A.; Gibellini, F.; Sienkiewicz, N.; Tulloch, L.B.; Fyfe, P.K.; McLuskey, K.; Fairlamb, A.H.; Hunter, W.N. Structure and Reactivity of Trypanosoma Brucei Pteridine Reductase: Inhibition by the Archetypal Antifolate Methotrexate. Mol. Microbiol. 2006, 61, 1457–1468. [Google Scholar] [CrossRef]
- Crentsil, J.A.; Yamthe, L.R.T.; Anibea, B.Z.; Broni, E.; Kwofie, S.K.; Tetteh, J.K.A.; Osei-Safo, D. Leishmanicidal Potential of Hardwickiic Acid Isolated From Croton Sylvaticus. Front. Pharmacol. 2020, 11, 753. [Google Scholar] [CrossRef]
- Goksuluk, D.; Korkmaz, S.; Zararsiz, G.; Karaagaoglu, A.E. EasyROC: An Interactive Web-Tool for Roc Curve Analysis Using r Language Environment. R J. 2016, 8, 213–230. [Google Scholar] [CrossRef]
- Possart, K.; Herrmann, F.C.; Jose, J.; Schmidt, T.J. In Silico and In Vitro Search for Dual Inhibitors of the Trypanosoma Brucei and Leishmania Major Pteridine Reductase 1 and Dihydrofolate Reductase. Molecules 2023, 28, 7526. [Google Scholar] [CrossRef]
- Herrmann, F.C.; Sivakumar, N.; Jose, J.; Costi, M.P.; Pozzi, C.; Schmidt, T.J. In Silico Identification and in Vitro Evaluation of Natural Inhibitors of Leishmania Major Pteridine Reductase I. Molecules 2017, 22, 2166. [Google Scholar] [CrossRef] [PubMed]
- Al Nasr, I.S.; Hanachi, R.; Said, R.B.; Rahali, S.; Tangour, B.; Abdelwahab, S.I.; Farasani, A.; Taha, M.M.E.; Bidwai, A.; Koko, W.S.; et al. P-Trifluoromethyl- and p-Pentafluorothio-Substituted Curcuminoids of the 2,6-Di[(E)-Benzylidene)]Cycloalkanone Type: Syntheses and Activities against Leishmania Major and Toxoplasma Gondii Parasites. Bioorg. Chem. 2021, 114, 105099. [Google Scholar] [CrossRef] [PubMed]
- Chang, M.W.; Lindstrom, W.; Olson, A.J.; Belew, R.K. Analysis of HIV Wild-Type and Mutant Structures via in Silico Docking against Diverse Ligand Libraries. J. Chem. Inf. Model. 2007, 47, 1258–1262. [Google Scholar] [CrossRef] [PubMed]
- Phadke, S.; Somani, R.; Pathak, D. New Benzimidazole Derivatives as Inhibitors of Pteridine Reductase 1: Design, Molecular Docking Study and ADMET Prediction. J. Appl. Pharm. Sci. 2020, 10, 30–39. [Google Scholar] [CrossRef]
- Cavazzuti, A.; Paglietti, G.; Hunter, W.N.; Gamarro, F.; Piras, S.; Loriga, M.; Alleca, S.; Corona, P.; McLuskey, K.; Tulloch, L.; et al. Discovery of Potent Pteridine Reductase Inhibitors to Guide Antiparasite Drug Development. Proc. Natl. Acad. Sci. USA 2008, 105, 1448–1453. [Google Scholar] [CrossRef]
- Guan, L.; Yang, H.; Cai, Y.; Sun, L.; Di, P.; Li, W.; Liu, G.; Tang, Y. ADMET-Score-a Comprehensive Scoring Function for Evaluation of Chemical Drug-Likeness. Medchemcomm 2019, 10, 148–157. [Google Scholar] [CrossRef]
- Jia, C.Y.; Li, J.Y.; Hao, G.F.; Yang, G.F. A Drug-Likeness Toolbox Facilitates ADMET Study in Drug Discovery. Drug Discov. Today 2020, 25, 248–258. [Google Scholar] [CrossRef] [PubMed]
- Lipinski, C.A. Rule of Five in 2015 and beyond: Target and Ligand Structural Limitations, Ligand Chemistry Structure and Drug Discovery Project Decisions. Adv. Drug Deliv. Rev. 2016, 101, 34–41. [Google Scholar] [CrossRef]
- Veber, D.F.; Johnson, S.R.; Cheng, H.; Smith, B.R.; Ward, K.W.; Kopple, K.D. Molecular Properties That Influence the Oral Bioavailability of Drug Candidates. J. Med. Chem. 2002, 45, 2615–2623. [Google Scholar] [CrossRef]
- Martin, Y.C. A Bioavailability Score. J. Med. Chem. 2005, 48, 3164–3170. [Google Scholar] [CrossRef] [PubMed]
- Loftsson, T. Physicochemical Properties and Pharmacokinetics. Essent. Pharmacokinet. 2015, 85–104. [Google Scholar] [CrossRef]
- Bohnert, T.; Prakash, C. ADME Profiling in Drug Discovery and Development: An Overview. Encycl. Drug Metab. Interact. 2012, 1–42. [Google Scholar] [CrossRef]
- Donato, M.T.; Castell, J.V. Strategies and Molecular Probes to Investigate the Role of Cytochrome P450 in Drug Metabolism: Focus on in Vitro Studies. Clin. Pharmacokinet. 2003, 42, 153–178. [Google Scholar] [CrossRef] [PubMed]
- Ouassaf, M.; Belaidi, S.; Lotfy, K.; Daoud, I.; Belaidi, H. Molecular Docking Studies and ADMET Properties of New 1.2.3 Triazole Derivatives for Anti-Breast Cancer Activity. J. Bionanoscience 2018, 12, 26–36. [Google Scholar] [CrossRef]
- Malik, A.; Afaq, S.; El-Gamal, B.; Abd Ellatif, M.; Hassan, W.N.; Dera, A.; Noor, R.; Tarique, M. Molecular Docking and Pharmacokinetic Evaluation of Natural Compounds as Targeted Inhibitors against Crz1 Protein in Rhizoctonia Solani. Bioinformation 2019, 15, 277–286. [Google Scholar] [CrossRef] [PubMed]
- Persidsky, Y.; Ramirez, S.H.; Haorah, J.; Kanmogne, G.D. Blood-Brain Barrier: Structural Components and Function under Physiologic and Pathologic Conditions. J. Neuroimmune Pharmacol. 2006, 1, 223–236. [Google Scholar] [CrossRef] [PubMed]
- Finch, A.; Pillans, P. P-Glycoprotein and Its Role in Drug-Drug Interactions. Aust. Prescr. 2014, 37, 137–139. [Google Scholar] [CrossRef]
- Phadke, S.A.; Somani, R.R.; Pathak, D. Design, Molecular Docking and ADMET Studies of 2- Substituted-5-[ (1H-Benzimidazol-2yl) Methyl] 1,3,4- Oxadiazole Derivatives as Pteridine Reductase 1 Inhibitors. Int. J. Pharm. Res. 2021, 13, 2205–2218. [Google Scholar] [CrossRef]
- Mcree, D.E. 3—Computational Techniques, 2nd ed.; Academic Press: San Diego, CA, USA, 1999; pp. 91–269, cp1. [Google Scholar] [CrossRef]
- Torbeck, R.; Pan, M.; DeMoll, E.; Levitt, J. Cantharidin: A Comprehensive Review of the Clinical Literature. Dermatol. Online J. 2014, 20, 13030-qt45r512w0. [Google Scholar] [CrossRef]
- Ghaffarifar, F. Leishmania Major: In Vitro and in Vivo Anti-Leishmanial Effect of Cantharidin. Exp. Parasitol. 2010, 126, 126–129. [Google Scholar] [CrossRef] [PubMed]
- Gonçalves, S.V.C.B.; Costa, C.H.N. Treatment of Cutaneous Leishmaniasis with Thermotherapy in Brazil: An Efficacy and Safety Study. An. Bras. Dermatol. 2018, 93, 347–355. [Google Scholar] [CrossRef] [PubMed]
- Isah, M.B.; Tajuddeen, N.; Umar, M.I.; Alhafiz, Z.A.; Mohammed, A.; Ibrahim, M.A. Terpenoids as Emerging Therapeutic Agents: Cellular Targets and Mechanisms of Action against Protozoan Parasites. Stud. Nat. Prod. Chem. 2018, 59, 227–250. [Google Scholar] [CrossRef]
- Teles, C.B.G.; Moreira-Dill, L.S.; Silva, A.d.A.; Facundo, V.A.; de Azevedo, W.F.; da Silva, L.H.P.; Motta, M.C.M.; Stábeli, R.G.; Silva-Jardim, I. A Lupane-Triterpene Isolated from Combretum leprosum Mart. Fruit Extracts That Interferes with the Intracellular Development of Leishmania (L.) Amazonensis in Vitro. BMC Complement. Altern. Med. 2015, 15, 165. [Google Scholar] [CrossRef] [PubMed]
- Chowdhury, S.; Mukherjee, T.; Sengupta, S.; Chowdhury, S.R.; Mukhopadhyay, S.; Majumder, H.K. Novel Betulin Derivatives as Antileishmanial Agents with Mode of Action Targeting Type IB DNA Topoisomerase. Mol. Pharmacol. 2011, 80, 694–703. [Google Scholar] [CrossRef]
- Lima, G.S.; Castro-Pinto, D.B.; MacHado, G.C.; Maciel, M.A.M.; Echevarria, A. Antileishmanial Activity and Trypanothione Reductase Effects of Terpenes from the Amazonian Species Croton Cajucara Benth (Euphorbiaceae). Phytomedicine 2015, 22, 1133–1137. [Google Scholar] [CrossRef] [PubMed]
- dos Santos, A.O.; Izumi, E.; Ueda-Nakamura, T.; Dias-Filho, B.P.; da Veiga-Júnior, V.F.; Vataru Nakamura, C. Antileishmanial Activity of Diterpene Acids in Copaiba Oil. Mem. Inst. Oswaldo Cruz. 2013, 108, 59–64. [Google Scholar] [CrossRef] [PubMed]
- Doherty, T.M.; Sher, A.; Vogel, S.N. Paclitaxel (Taxol)-Induced Killing of Leishmania Major in Murine Macrophages. Infect. Immun. 1998, 66, 4553–4556. [Google Scholar] [CrossRef]
- Miranda, M.M.; Panis, C.; Da Silva, S.S.; Macri, J.A.; Kawakami, N.Y.; Hayashida, T.H.; Madeira, T.B.; Acquaro, V.R.; Nixdorf, S.L.; Pizzatti, L.; et al. Kaurenoic Acid Possesses Leishmanicidal Activity by Triggering a NLRP12/IL-1 β/CNOS/NO Pathway. Mediators Inflamm. 2015, 2015, 392918. [Google Scholar] [CrossRef]
- Camargos, H.S.; Moreira, R.A.; Mendanha, S.A.; Fernandes, K.S.; Dorta, M.L.; Alonso, A. Terpenes Increase the Lipid Dynamics in the Leishmania Plasma Membrane at Concentrations Similar to Their IC50 Values. PLoS ONE 2014, 9, e104429. [Google Scholar] [CrossRef] [PubMed]
- de Almeida, B.C.; Araújo, B.Q.; Carvalho, A.A.; Freitas, S.D.L.; Maciel, D.d.S.A.; Ferreira, A.J.S.; Tempone, A.G.; Martins, L.F.; Alexandre, T.R.; Chaves, M.H.; et al. Antiprotozoal Activity of Extracts and Isolated Triterpenoids of “carnauba” (Copernicia Prunifera) Wax from Brazil. Pharm. Biol. 2016, 54, 3280–3284. [Google Scholar] [CrossRef] [PubMed]
- Morais, T.R.; Da Costa-Silva, T.A.; Tempone, A.G.; Borborema, S.E.T.; Scotti, M.T.; De Sousa, R.M.F.; Araujo, A.C.C.; De Oliveira, A.; De Morais, S.A.L.; Sartorelli, P.; et al. Antiparasitic Activity of Natural and Semi-Synthetic Tirucallane Triterpenoids from Schinus Terebinthifolius (Anacardiaceae): Structure/Activity Relationships. Molecules 2014, 19, 5761–5776. [Google Scholar] [CrossRef]
- González, P.; Marín, C.; Rodríguez-González, I.; Hitos, A.B.; Rosales, M.J.; Reina, M.; Díaz, J.G.; González-Coloma, A.; Sánchez-Moreno, M. In Vitro Activity of C20-Diterpenoid Alkaloid Derivatives in Promastigotes and Intracellular Amastigotes of Leishmania Infantum. Int. J. Antimicrob. Agents 2005, 25, 136–141. [Google Scholar] [CrossRef]
- Wang, F.P.; Chen, Q.H.; Liu, X.Y. Diterpenoid Alkaloids. Nat. Prod. Rep. 2010, 27, 529–570. [Google Scholar] [CrossRef]
- Lagunin, A.; Stepanchikova, A.; Filimonov, D.; Poroikov, V. PASS: Prediction of Activity Spectra for Biologically Active Substances. Bioinformatics 2000, 16, 747–748. [Google Scholar] [CrossRef] [PubMed]
- Goel, R.K.; Singh, D.; Lagunin, A.; Poroikov, V. PASS-Assisted Exploration of New Therapeutic Potential of Natural Products. Med. Chem. Res. 2010, 20, 1509–1514. [Google Scholar] [CrossRef]
- Oppermann, U.; Filling, C.; Hult, M.; Shafqat, N.; Wu, X.; Lindh, M.; Shafqat, J.; Nordling, E.; Kallberg, Y.; Persson, B.; et al. Short-Chain Dehydrogenases/Reductases (SDR): The 2002 Update. Chem. Biol. Interact. 2003, 143–144, 247–253. [Google Scholar] [CrossRef] [PubMed]
- Kwofie, S.K.; Broni, E.; Dankwa, B.; Enninful, K.S.; Kwarko, G.B.; Darko, L.; Durvasula, R.; Kempaiah, P.; Rathi, B.; Miller, W.A., III; et al. Outwitting an Old Neglected Nemesis: A Review on Leveraging Integrated Data-Driven Approaches to Aid in Unraveling of Leishmanicides of Therapeutic Potential. Curr. Top. Med. Chem. 2020, 20, 349–366. [Google Scholar] [CrossRef]
- Padilla, C.A.; Alvarez, M.J.; Combariza, A.F. Leishmania Proteomics: An in Silico Perspective. Preprints 2019, 4, 1–36. [Google Scholar] [CrossRef]
- Alrajhi, A.A.; Ibrahim, E.A.; De Vol, E.B.; Khairat, M.; Faris, R.M.; Maguire, J.H. Fluconazole for the Treatment of Cutaneous Leishmaniasis Caused by Leishmania Major. N. Engl. J. Med. 2002, 346, 891–895. [Google Scholar] [CrossRef]
- De Macedo-Silva, S.T.; Urbina, J.A.; De Souza, W.; Rodrigues, J.C.F. In Vitro Activity of the Antifungal Azoles Itraconazole and Posaconazole against Leishmania Amazonensis. PLoS ONE 2013, 8, 83247. [Google Scholar] [CrossRef] [PubMed]
- De MacEdo Silva, S.T.; Visbal, G.; Godinho, J.L.P.; Urbina, J.A.; De Souza, W.; Rodrigues, J.C.F. In Vitro Antileishmanial Activity of Ravuconazole, a Triazole Antifungal Drug, as a Potential Treatment for Leishmaniasis. J. Antimicrob. Chemother. 2018, 73, 2360–2373. [Google Scholar] [CrossRef] [PubMed]
- Sanderson, L.; Yardley, V.; Croft, S.L. Activity of Anti-Cancer Protein Kinase Inhibitors against Leishmania Spp. J. Antimicrob. Chemother. 2014, 69, 1888–1891. [Google Scholar] [CrossRef]
- Hernández, Á.P.; Chamorro, P.; Rodríguez, M.L.; Miguel Del Corral, J.M.; García, P.A.; Francesch, A.; San Feliciano, A.; Castro, M.Á. New Antineoplastic Naphthohydroquinones Attached to Labdane and Rearranged Diterpene Skeletons. Molecules 2021, 26, 474. [Google Scholar] [CrossRef]
- El-Dirany, R.; Shahrour, H.; Dirany, Z.; Abdel-Sater, F.; Gonzalez-Gaitano, G.; Brandenburg, K.; Martinez de Tejada, G.; Nguewa, P.A. Activity of Anti-Microbial Peptides (Amps) against Leishmania and Other Parasites: An Overview. Biomolecules 2021, 11, 984. [Google Scholar] [CrossRef]
- Perez, J.; Fuertes, M.; Nguewa, P.; Castilla, J.; Alonso, C. Anticancer Compounds as Leishmanicidal Drugs: Challenges in Chemotherapy and Future Perspectives. Curr. Med. Chem. 2008, 15, 433–439. [Google Scholar] [CrossRef] [PubMed]
- Keighobadi, M.; Akhtari, J.; Fakhar, M.; Emami, S.; Mirzaei, H. An Overview on Anticancer Drugs with Antileishmanial Activity. J. Maz. Univ. Med. Sci. 2018, 28, 154–165. [Google Scholar]
- Wang, C.; Greene, D.; Xiao, L.; Qi, R.; Luo, R. Recent Developments and Applications of the MMPBSA Method. Front. Mol. Biosci. 2018, 4, 87. [Google Scholar] [CrossRef]
- Genheden, S.; Ryde, U. The MM/PBSA and MM/GBSA Methods to Estimate Ligand-Binding Affinities. Expert Opin. Drug Discov. 2015, 10, 449–461. [Google Scholar] [CrossRef] [PubMed]
- Kwofie, S.K.; Hanson, G.; Sasu, H.; Enninful, K.S.; Mensah, F.A.; Nortey, R.T.; Yeboah, O.P.; Agoni, C.; Wilson, M.D. Molecular Modelling and Atomistic Insights into the Binding Mechanism of MmpL3 Mtb. Chem. Biodivers. 2022, 19, e202200160. [Google Scholar] [CrossRef] [PubMed]
- Intakhan, N.; Saeung, A.; Rodrigues Oliveira, S.M.; Pereira, M.d.L.; Chanmol, W. Synergistic Effects of Artesunate in Combination with Amphotericin B and Miltefosine against Leishmania Infantum: Potential for Dose Reduction and Enhanced Therapeutic Strategies. Antibiotics 2024, 13, 806. [Google Scholar] [CrossRef] [PubMed]
- McLuskey, K.; Gibellini, F.; Carvalho, P.; Avery, M.A.; Hunter, W.N. Inhibition of Leishmania Major Pteridine Reductase by 2,4,6- Triaminoquinazoline: Structure of the NADPH Ternary Complex. Acta Crystallogr. Sect. D Biol. Crystallogr. 2004, 60, 1780–1785. [Google Scholar] [CrossRef]
- Chauhan, P.S.; Jaiswar, S.; Noorbatcha, I.A.; Sultan, A.M.; Salleh, H.M.; Amid, A.; Lindorff-Larsen, K.; Piana, S.; Palmo, K.; Maragakis, P.; et al. Gromacs 5.0.7. Proteins Struct. Funct. Genet. 2011, 12, 169–200. [Google Scholar]
- Lindahl, A.; Hess, V.D.S. GROMACS Documentation. GROMACS 2021.3 Man. 2021, 1–623. [Google Scholar]
- DeLano, W.L. PyMOL User’s Guide; DeLano Scientific LLC.: Palo Alto, CA, USA, 2004. [Google Scholar]
- Goddard, T.D.; Huang, C.C.; Meng, E.C.; Pettersen, E.F.; Couch, G.S.; Morris, J.H.; Ferrin, T.E. UCSF ChimeraX: Meeting Modern Challenges in Visualization and Analysis. Protein Sci. 2018, 27, 14–25. [Google Scholar] [CrossRef] [PubMed]
- Dallakyan, S.; Olson, A.J. Small-Molecule Library Screening by Docking with PyRx. Methods Mol. Biol. 2015, 1263, 243–250. [Google Scholar] [CrossRef] [PubMed]
- Phadke, S.; Pathak, D.; Somani, R. Design and In Silico Studies of 2,5-Disubstituted 1,2,4-Triazole and 1,3,4-Thiadiazole Derivatives as Pteridine Reductase 1 Inhibitors. J. Pharm. Res. Int. 2021, 33, 166–178. [Google Scholar] [CrossRef]
- Sander, T.; Freyss, J.; Von Korff, M.; Rufener, C. DataWarrior: An Open-Source Program for Chemistry Aware Data Visualization and Analysis. J. Chem. Inf. Model. 2015, 55, 460–473. [Google Scholar] [CrossRef] [PubMed]
- Trott, O.; Olson, A.J. AutoDock Vina: Improving the Speed and Accuracy of Docking with a New Scoring Function, Efficient Optimization, and Multithreading. J. Comput. Chem. 2010, 31, 455–461. [Google Scholar] [CrossRef]
- RA, L.; MB, S.; Laskowski, R.A.; Swindells, M.B. LigPlot+: Multiple Ligand-Protein Interaction Diagrams for Drug Discovery. J. Chem. Inf. Model. 2011, 51, 2778–2786. [Google Scholar] [CrossRef]
- Mysinger, M.M.; Carchia, M.; Irwin, J.J.; Shoichet, B.K. Directory of Useful Decoys, Enhanced (DUD-E): Better Ligands and Decoys for Better Benchmarking. J. Med. Chem. 2012, 55, 6582–6594. [Google Scholar] [CrossRef] [PubMed]
- Daina, A.; Michielin, O.; Zoete, V. SwissADME: A Free Web Tool to Evaluate Pharmacokinetics, Drug-Likeness and Medicinal Chemistry Friendliness of Small Molecules. Sci. Rep. 2017, 7, 42717. [Google Scholar] [CrossRef] [PubMed]
- Druzhilovskiy, D.S.; Rudik, A.V.; Filimonov, D.A.; Gloriozova, T.A.; Lagunin, A.A.; Dmitriev, A.V.; Pogodin, P.V.; Dubovskaya, V.I.; Ivanov, S.M.; Tarasova, O.A.; et al. Computational Platform Way2Drug: From the Prediction of Biological Activity to Drug Repurposing. Russ. Chem. Bull. 2018, 66, 1832–1841. [Google Scholar] [CrossRef]
- Filimonov, D.A.; Lagunin, A.A.; Gloriozova, T.A.; Rudik, A.V.; Druzhilovskii, D.S.; Pogodin, P.V.; Poroikov, V.V. Prediction of the Biological Activity Spectra of Organic Compounds Using the Pass Online Web Resource. Chem. Heterocycl. Compd. 2014, 50, 444–457. [Google Scholar] [CrossRef]
- Van Der Spoel, D.; Lindahl, E.; Hess, B.; Groenhof, G.; Mark, A.E.; Berendsen, H.J.C. GROMACS: Fast, Flexible, and Free. J. Comput. Chem. 2005, 26, 1701–1718. [Google Scholar] [CrossRef] [PubMed]
- Musyoka, T.M.; Kanzi, A.M.; Lobb, K.A.; Tastan Bishop, Ö. Structure Based Docking and Molecular Dynamic Studies of Plasmodial Cysteine Proteases against a South African Natural Compound and Its Analogs. Sci. Rep. 2016, 6, 23690. [Google Scholar] [CrossRef] [PubMed]









| Ligand | PubChem CID | Binding Affinity (kcal/mol) | Interacting Residues | |
|---|---|---|---|---|
| Hydrogen Bonds (Å) | Hydrophobic Interactions | |||
| NADP | N/A | −11.0 | Arg17(2.89, 2.98), Leu18(3.15), His38(2.85), Arg39(2.73), Ser40(2.85, 3.02), Leu66(2.79), Ser111(2.92, 3.13), Asp142(2.65), Lys198(2.90, 3.00), Ser227(2.65, 3.05) | Gly13, His36, Tyr37, Ala64, Asp65, Asn109, Ala110, Ser112, Met179, Val180, Asp181, Pro224, Gly225, Leu226 |
| Methotrexate | 126941 | −9.5 | Pro224(3.23), Lys16(2.80), His38(3.00), Ser40(3.11), Ser111(3.23) | Gly13, Ala15, Leu18, Tyr37, Arg39, Ala110, Asn109, Phe113, Pro224, Ser227 |
| Jatrorrhizine | 72323 | −9.0 | Arg17(3.17), Met183(3.16), Gln186(2.68) | Phe113, Asp181, Thr184, Pro187, Leu188, Tyr194, Thr195, Leu226, Ser227, Leu229, Val230 |
| Pyrimethamine | 4993 | −7.3 | Val180(3.01, 3.25), Gly225(2.91) | Phe113, Asp181, Leu188, Tyr194, Lys198, Pro224 |
| Columbamine | 72310 | −8.6 | Arg17(3.03), Asp181(2.90) | Ser111, Phe113, Met183, Leu188, Tyr194, Leu226, Tyr283 |
| Hardwickiic acid | 161454 | −8.1 | Arg17(3.07), Leu18(3.10) | Ser111, Phe113, Asn109, Asp181, Tyr194, Lys198 |
| Pachycladin D | 46833117 | −9.4 | Arg17(3.14) | Leu18, Ser111, Phe113, Asp181, Leu188, Tyr194, Pro224, Gly225, Ser227 |
| 8alpha-hydroxy-13-epi-pimar-16-en-6,18-olide | 273471517 | −9.2 | Asp181(3.00), Tyr194(2.93), Lys198(2.87) | Arg17, Leu18, Ser111, Phe113, Met183, Leu188, Pro224, Gly225, Leu226 |
| Nagilactone F | 181498 | −9.1 | Ser111(3.11) | Arg17, Leu18, Asn109, Phe113, Met179, Val180, Asp181, Tyr194, Lys198, Pro224, Gly225 |
| ZINC000095485955 | N/A | −9.3 | Arg17(2.79), Asn109(2.81), Lys198(2.82) | Leu18, Ser111, Met179, Val180, Asp181, Pro224, Gly225, Val228 |
| ZINC000095486097 | N/A | −9.0 | Gly225(3.05), Ser227(3.06, 3.18) | Arg17, Leu18, Asn109, Tyr194, Phe113, Ser111, Leu226, Pro224 |
| ZINC000014887523 | N/A | −9.5 | Tyr194(2.86) | Ser111, Phe113, Asp181, Met183, Leu188, Leu226, Leu229 |
| dehydrocardiopetaline | N/A | −9.2 | Arg17(2.95, 3.23), Ser111(3.29), Tyr194(2.87) | Leu18, Phe113, Asn109, Val180, Pro224, Gly225, Lys198, Asp181 |
| ZINC000095486221 | N/A | −9.9 | Asn109(3.16) | Arg17, Leu18, Ser111, Phe113, Tyr194, Lys198, Met179, Asp181, Pro224, Gly225 |
| helioscopinolide B | 10335933 | −9.2 | Lys198(2.88), Met179(3.24), Val180(3.11) | Asn109, Pro224, Leu18, Asp181, Tyr194, Leu188, Gly225, Leu226, Leu229, Phe113, Ser111 |
| alpha-cyclopiazonic acid | 135494311 | −9.2 | Arg17(2.90), Tyr194(3.04) | Phe113, Ser111, Leu229, Val230, Ser227, Leu226, Leu188, Asp181 |
| ZINC000095486249 | N/A | −9.3 | Gly19(3.00), Asn109(3.15, 3.18) | Gly13, Arg17, Leu18, Ser111, Phe113, Asp181, Pro224, Gly225 |
| ZINC000095486251 | N/A | −9.0 | Asn109(2.94) | Leu18, Phe113, Val180, Tyr194, Pro224, Gly225, Ser227 |
| ZINC000095486253 | N/A | −9.4 | Gly19(2.80), Asn109(3.11) | Arg17, Leu18, Phe113, Val180, Asp181, Tyr194, Pro224, Gly225, Ser227 |
| augustamine | 5251634 | −9.0 | Asn109(3.17), Ser111(3.06) | Lys198, Asp181, Tyr194, Phe113, Arg17, Leu18, Val180 |
| Ligand | MW (g/mol) | TPSA (Å2) | ESOL (LogS) | Class of Solubility | BBB Permeability | GI Absorption | CYP3A4 Inhibition | CYP2D6 Inhibition | P-Glycoprotein Substrate | No. of Lipinski’s Rules Violated |
|---|---|---|---|---|---|---|---|---|---|---|
| ZINC000095486221 | 313.48 | 32.59 | −3.85 | Soluble | Yes | High | No | No | No | 0 |
| Pachycladin D | 318.45 | 38.69 | −3.70 | Soluble | Yes | High | No | No | No | 0 |
| ZINC000095486253 | 336.51 | 35.53 | −5.18 | Moderately soluble | Yes | High | No | No | No | 0 |
| 8alpha-hydroxy-13-epi-pimar-16-en-6,18-olide | 318.48 | 46.53 | −4.56 | Moderately soluble | Yes | High | No | No | No | 0 |
| Nagilactone F | 316.4 | 52.60 | −3.71 | Soluble | Yes | High | No | No | No | 1 |
| ZINC000095486097 | 302.45 | 40.46 | −4.34 | Moderately soluble | Yes | High | No | No | No | 0 |
| ZINC000095486251 | 322.48 | 46.53 | −4.89 | Moderately soluble | Yes | High | No | No | No | 0 |
| ZINC000095486249 | 336.51 | 35.53 | −5.12 | Moderately soluble | Yes | High | No | No | No | 0 |
| Complex | van der Waals Energy (kJ/mol) | Electrostatic Energy (kJ/mol) | Polar Solvation Energy (kJ/mol) | SASA Energy (kJ/mol) | Binding Energy (kJ/mol) |
|---|---|---|---|---|---|
| PTR1–Jatrorrhizine | −126.865 ± 5.915 | −12.087 ± 1.112 | 80.132 ± 3.705 | −14.918 ± 0.674 | −73.945 ± 4.145 |
| PTR1–Methotrexate | −117.704 ± 6.462 | −47.059 ± 3.179 | 170.879 ± 8.916 | −16.431 ± 0.877 | −10.511 ± 4.455 |
| PTR1–Pachycladin D | −68.810 ± 4.603 | −4.009 ± 0.664 | 32.321 ± 4.480 | −9.706 ± 0.619 | −49.811 ± 4.383 |
| PTR1–8alpha-hydroxy-13-epi-pimar-16-en-6,18-olide | −95.969 ± 5.508 | 0.346 ± 0.187 | 45.585 ± 6.444 | −11.491 ± 0.677 | −62.138 ± 7.084 |
| PTR1–ZINC000095486221 | −91.303 ± 4.866 | −19.833 ± 1.160 | 102.029 ± 6.004 | −11.441 ± 0.615 | −20.591 ± 5.380 |
| PTR1–ZINC000095486249 | −105.919 ± 5.065 | −0.268 ± 0.099 | 38.991 ± 6.292 | −14.912 ± 0.712 | −82.349 ± 6.229 |
| PTR1–ZINC000095486253 | −115.144 ± 3.489 | −0.342 ± 0.077 | 62.030 ± 6.824 | −16.024 ± 0.493 | −69.190 ± 6.923 |
Disclaimer/Publisher’s Note: The statements, opinions and data contained in all publications are solely those of the individual author(s) and contributor(s) and not of MDPI and/or the editor(s). MDPI and/or the editor(s) disclaim responsibility for any injury to people or property resulting from any ideas, methods, instructions or products referred to in the content. |
© 2024 by the authors. Licensee MDPI, Basel, Switzerland. This article is an open access article distributed under the terms and conditions of the Creative Commons Attribution (CC BY) license (https://creativecommons.org/licenses/by/4.0/).
Share and Cite
Arthur, M.N.; Hanson, G.; Broni, E.; Sakyi, P.O.; Mensah-Brown, H.; Miller, W.A., III; Kwofie, S.K. Natural Product Identification and Molecular Docking Studies of Leishmania Major Pteridine Reductase Inhibitors. Pharmaceuticals 2025, 18, 6. https://doi.org/10.3390/ph18010006
Arthur MN, Hanson G, Broni E, Sakyi PO, Mensah-Brown H, Miller WA III, Kwofie SK. Natural Product Identification and Molecular Docking Studies of Leishmania Major Pteridine Reductase Inhibitors. Pharmaceuticals. 2025; 18(1):6. https://doi.org/10.3390/ph18010006
Chicago/Turabian StyleArthur, Moses N., George Hanson, Emmanuel Broni, Patrick O. Sakyi, Henrietta Mensah-Brown, Whelton A. Miller, III, and Samuel K. Kwofie. 2025. "Natural Product Identification and Molecular Docking Studies of Leishmania Major Pteridine Reductase Inhibitors" Pharmaceuticals 18, no. 1: 6. https://doi.org/10.3390/ph18010006
APA StyleArthur, M. N., Hanson, G., Broni, E., Sakyi, P. O., Mensah-Brown, H., Miller, W. A., III, & Kwofie, S. K. (2025). Natural Product Identification and Molecular Docking Studies of Leishmania Major Pteridine Reductase Inhibitors. Pharmaceuticals, 18(1), 6. https://doi.org/10.3390/ph18010006

