Correction: Juhás et al. Improving Antimicrobial Activity and Physico-Chemical Properties by Isosteric Replacement of 2-Aminothiazole with 2-Aminooxazole. Pharmaceuticals 2022, 15, 580
Reference
- Juhás, M.; Bachtíková, A.; Nawrot, D.E.; Hatoková, P.; Pallabothula, V.S.K.; Diepoltová, A.; Janďourek, O.; Bárta, P.; Konečná, K.; Paterová, P.; et al. Improving Antimicrobial Activity and Physico-Chemical Properties by Isosteric Replacement of 2-Aminothiazole with 2-Aminooxazole. Pharmaceuticals 2022, 15, 580. [Google Scholar] [CrossRef] [PubMed]

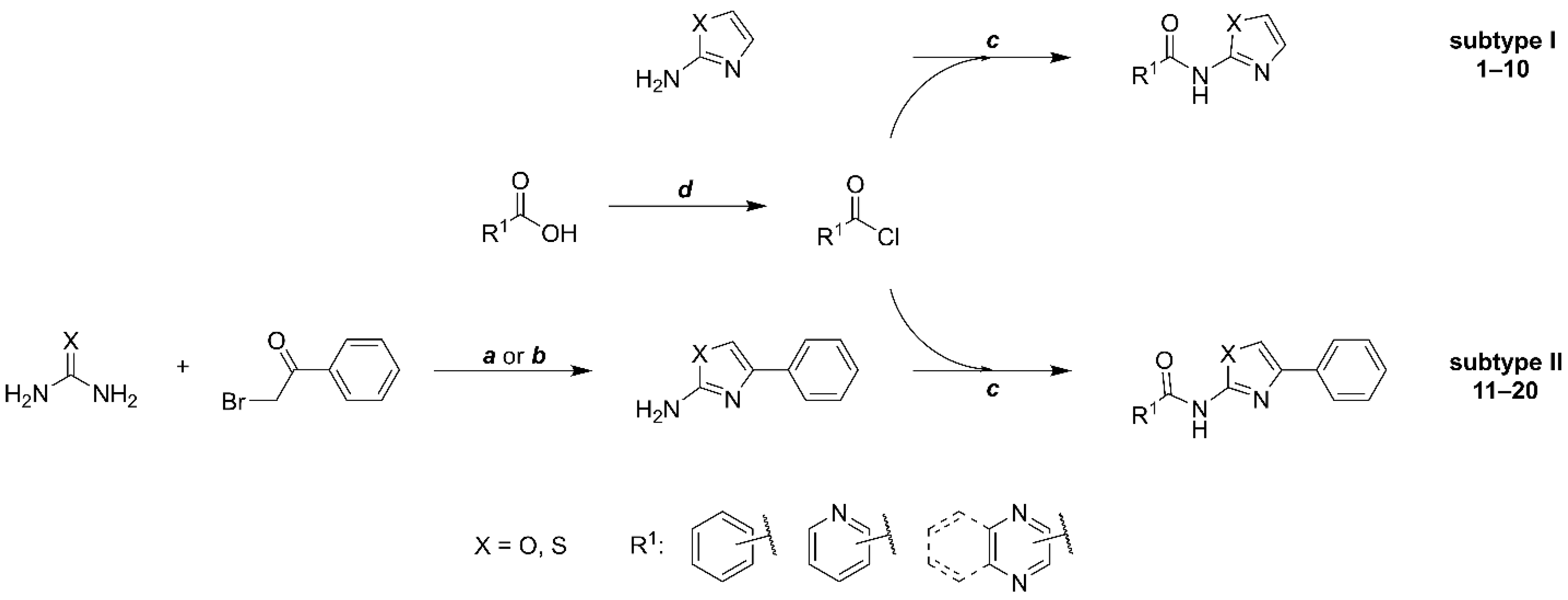
| Structure | Code | Ar | X | log k’w | HepG2 IC50 (µM) | Mtb H37Ra MIC (µg/mL) |
|---|---|---|---|---|---|---|
![]() | 1a | pyridin-2-yl | S | 1.857 | >1000 * | 31.25 |
| 1b | pyridin-2-yl | O | 0.854 | >1000 * | 62.5 | |
| 2a | pyridin-3-yl | S | 1.251 | >1000 * | 250 | |
| 2b | pyridin-3-yl | O | 0.436 | >1000 * | 31.25 | |
| 3a | pyridin-4-yl | S | 1.306 | >1000 * | 250 | |
| 3b | pyridin-4-yl | O | 0.396 | >1000 * | 15.625 | |
| 4b | 5-Me-pyridin-3-yl | O | 0.888 | >1000 * | 7.81 | |
| 5b | 2-Me-pyridin-4-yl | O | 0.714 | >1000 * | 3.91 | |
| 6a | 2-Cl-pyridin-4-yl | S | 2.013 | >250 ** | ≥500 | |
| 6b | 2-Cl-pyridin-4-yl | O | 1.136 | 664.1 | 3.125 | |
| 7a | 2-Cl-6-Me-pyridin-4-yl | S | 2.319 | >250 ** | ≥500 | |
| 7b | 2-Cl-6-Me-pyridin-4-yl | O | 1.430 | 959.4 | <3.91 | |
| 8a | pyrazin-2-yl | S | 1.222 | n.d. | 62.5 | |
| 8b | pyrazin-2-yl | O | 0.154 | n.d. | 31.25 | |
| 9a | 5-Cl-pyrazin-2-yl | S | 1.941 | n.d. | 31.25 | |
| 9b | 5-Cl-pyrazin-2-yl | O | 0.958 | n.d. | 31.25 | |
| 10a | quinoxalin-2-yl | S | 2.530 | >50 ** | ≥250 | |
| 10b | quinoxalin-2-yl | O | 1.493 | >1000 * | 15.625 | |
![]() | 11a | pyridin-2-yl | S | 3.102 | >100 ** | 3.91 |
| 11b | pyridin-2-yl | O | 2.038 | 883.4 | 3.91 | |
| 12a | pyridin-3-yl | S | 2.131 | >25 ** | ≥500 | |
| 12b | pyridin-3-yl | O | 1.118 | 610.3 | 125 | |
| 13a | pyridin-4-yl | S | 2.190 | >100 ** | 7.81 | |
| 13b | pyridin-4-yl | O | 1.163 | 879.3 | 31.25 | |
| 14b | 5-Me-pyridin-3-yl | O | 1.478 | >100 ** | ≥250 | |
| 15a | 2-Cl-pyridin-4-yl | S | 3.036 | 102.6 | 3.91 | |
| 15b | 2-Cl-pyridin-4-yl | O | 1.992 | 136.1 | 7.81 | |
| 16a | 2-Cl-6-Me-pyridin-4-yl | S | 3.314 | n.d. | 7.81 | |
| 16b | 2-Cl-6-Me-pyridin-4-yl | O | 2.251 | n.d. | 15.625 | |
| 17a | pyrazin-2-yl | S | 2.365 | n.d. | >50 [11] | |
| 17b | pyrazin-2-yl | O | 1.306 | >1000 * | 15.625 | |
| 18a | 5-Cl-pyrazin-2-yl | S | 3.173 | n.d. | >100 [11] | |
| 18b | 5-Cl-pyrazin-2-yl | O | 2.073 | >100 ** | 15.625 | |
| 19a | quinoxalin-2-yl | S | 3.583 | n.d. | ≥500 | |
| 19b | quinoxalin-2-yl | O | 2.465 | n.d. | ≥500 | |
| 20b | phenyl | O | 2.090 | 330.3 | 62.5 | |
| CIP | - | - | - | - | 0.25 | |
| INH | - | - | - | - | 0.25 | |
| RIF | - | - | - | - | 0.003–0.0015 |
Disclaimer/Publisher’s Note: The statements, opinions and data contained in all publications are solely those of the individual author(s) and contributor(s) and not of MDPI and/or the editor(s). MDPI and/or the editor(s) disclaim responsibility for any injury to people or property resulting from any ideas, methods, instructions or products referred to in the content. |
© 2023 by the authors. Licensee MDPI, Basel, Switzerland. This article is an open access article distributed under the terms and conditions of the Creative Commons Attribution (CC BY) license (https://creativecommons.org/licenses/by/4.0/).
Share and Cite
Juhás, M.; Bachtíková, A.; Nawrot, D.E.; Hatoková, P.; Pallabothula, V.S.K.; Diepoltová, A.; Janďourek, O.; Bárta, P.; Konečná, K.; Paterová, P.; et al. Correction: Juhás et al. Improving Antimicrobial Activity and Physico-Chemical Properties by Isosteric Replacement of 2-Aminothiazole with 2-Aminooxazole. Pharmaceuticals 2022, 15, 580. Pharmaceuticals 2023, 16, 384. https://doi.org/10.3390/ph16030384
Juhás M, Bachtíková A, Nawrot DE, Hatoková P, Pallabothula VSK, Diepoltová A, Janďourek O, Bárta P, Konečná K, Paterová P, et al. Correction: Juhás et al. Improving Antimicrobial Activity and Physico-Chemical Properties by Isosteric Replacement of 2-Aminothiazole with 2-Aminooxazole. Pharmaceuticals 2022, 15, 580. Pharmaceuticals. 2023; 16(3):384. https://doi.org/10.3390/ph16030384
Chicago/Turabian StyleJuhás, Martin, Andrea Bachtíková, Daria Elżbieta Nawrot, Paulína Hatoková, Vinod Sukanth Kumar Pallabothula, Adéla Diepoltová, Ondřej Janďourek, Pavel Bárta, Klára Konečná, Pavla Paterová, and et al. 2023. "Correction: Juhás et al. Improving Antimicrobial Activity and Physico-Chemical Properties by Isosteric Replacement of 2-Aminothiazole with 2-Aminooxazole. Pharmaceuticals 2022, 15, 580" Pharmaceuticals 16, no. 3: 384. https://doi.org/10.3390/ph16030384
APA StyleJuhás, M., Bachtíková, A., Nawrot, D. E., Hatoková, P., Pallabothula, V. S. K., Diepoltová, A., Janďourek, O., Bárta, P., Konečná, K., Paterová, P., Šesták, V., & Zitko, J. (2023). Correction: Juhás et al. Improving Antimicrobial Activity and Physico-Chemical Properties by Isosteric Replacement of 2-Aminothiazole with 2-Aminooxazole. Pharmaceuticals 2022, 15, 580. Pharmaceuticals, 16(3), 384. https://doi.org/10.3390/ph16030384



