What Is the Correlation between Preeclampsia and Cancer? The Important Role of Tachykinins and Transition Metal Ions
Abstract
1. Introduction
2. Overall Characteristics of Cancer
3. Clinical Characterization of Preeclampsia
4. Preeclampsia in Terms of Neoplasia
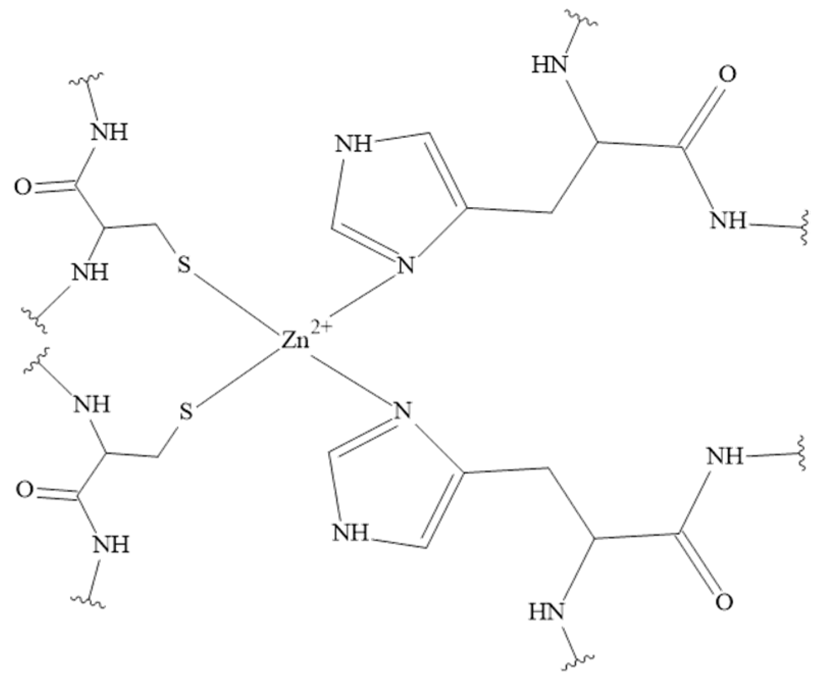
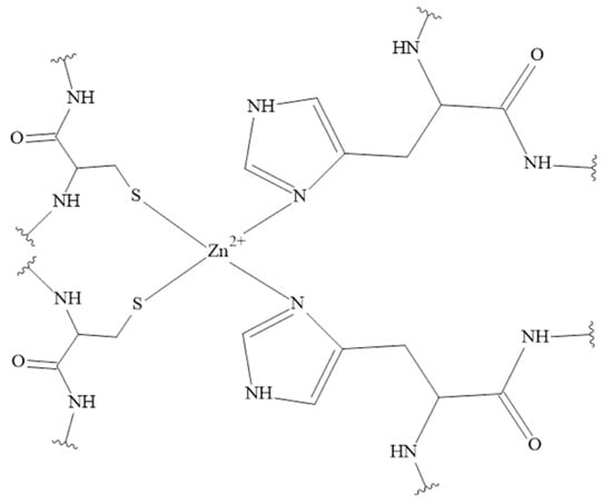
5. Tachykinins Complexes with Trace Elements
6. Conclusions
Author Contributions
Funding
Institutional Review Board Statement
Informed Consent Statement
Data Availability Statement
Conflicts of Interest
References
- Maret, W. The Metals in the Biological Periodic System of the Elements: Concepts and Conjectures. Int. J. Mol. Sci. 2016, 17, 66. [Google Scholar] [CrossRef] [PubMed]
- Wang, C.; Zhang, R.; Wei, X.; Lv, M.; Jiang, Z. Metalloimmunology: The Metal Ion-Controlled Immunity. Adv. Immunol. 2020, 145, 187–241. [Google Scholar] [CrossRef]
- Brucka-Jastrzebska, E.; Kawczuga, D.; Rajkowska, M.; Protasowicki, M. Levels of Microelements [Cu, Zn, Fe] and Macroelements [Mg, Ca] in Freshwater Fish. J. Elem. 2009, 14, 437–447. [Google Scholar] [CrossRef]
- Strachan, S. Trace Elements. Curr. Anaesth. Crit. Care 2010, 21, 44–48. [Google Scholar] [CrossRef]
- Serra, M.; Columbano, A.; Ammarah, U.; Mazzone, M.; Menga, A. Understanding Metal Dynamics Between Cancer Cells and Macrophages: Competition or Synergism? Front. Oncol. 2020, 10, 646. [Google Scholar] [CrossRef] [PubMed]
- Dales, J.-P.; Desplat-Jégo, S. Metal Imbalance in Neurodegenerative Diseases with a Specific Concern to the Brain of Multiple Sclerosis Patients. Int. J. Mol. Sci. 2020, 21, 9105. [Google Scholar] [CrossRef] [PubMed]
- Kontoghiorghes, G.J. Advances on Chelation and Chelator Metal Complexes in Medicine. Int. J. Mol. Sci. 2020, 21, 2499. [Google Scholar] [CrossRef]
- Chen, P.; Miah, M.R.; Aschner, M. Metals and Neurodegeneration. F1000Research 2016, 5, 366. [Google Scholar] [CrossRef]
- Klaunig, J.E.; Wang, Z. Oxidative Stress in Carcinogenesis. Curr Opin Toxicol 2018, 7, 116–121. [Google Scholar] [CrossRef]
- Boland, M.L.; Chourasia, A.H.; Macleod, K.F. Mitochondrial Dysfunction in Cancer. Front. Oncol. 2013, 3, 292. [Google Scholar] [CrossRef]
- Yan, B.; Wang, H.; Peng, Y.; Hu, Y.; Wang, H.; Zhang, X.; Chen, Q.; Bedford, J.S.; Dewhirst, M.W.; Li, C.Y. A Unique Role of the DNA Fragmentation Factor in Maintaining Genomic Stability. Proc. Natl. Acad. Sci. USA 2006, 103, 1504–1509. [Google Scholar] [CrossRef] [PubMed]
- Bhattacharya, P.T.; Misra, S.R.; Hussain, M. Nutritional Aspects of Essential Trace Elements in Oral Health and Disease: An Extensive Review. Scientifica 2016, 2016, 5464373. [Google Scholar] [CrossRef] [PubMed]
- Good, M.; Kolls, J.K.; Empey, K.M. Neonatal Pulmonary Host Defense. In Fetal and Neonatal Physiology; Polin, R., Abman, S., Rowitch, D., Benitz, W., Eds.; Elsevier: Philadelphia, PA, USA, 2021; Volume 123, pp. 1265–1296. [Google Scholar]
- Arredondo, M.; Núñez, M.T. Iron and Copper Metabolism. Mol. Asp. Med. 2005, 26, 313–327. [Google Scholar] [CrossRef] [PubMed]
- Pantopoulos, K.; Porwal, S.K.; Tartakoff, A.; Devireddy, L. Mechanisms of Mammalian Iron Homeostasis. Biochemistry 2012, 51, 5705. [Google Scholar] [CrossRef]
- Valerio, L.G. Mammalian Iron Metabolism. Toxicol. Mech. Methods 2007, 17, 497–517. [Google Scholar] [CrossRef]
- Pfeifhofer-Obermair, C.; Tymoszuk, P.; Petzer, V.; Weiss, G.; Nairz, M. Iron in the Tumor Microenvironment—Connecting the Dots. Front. Oncol. 2018, 8, 549. [Google Scholar] [CrossRef]
- Fischer-Fodor, E.; Miklasova, N.; Berindan-Neagoe, I.; Saha, B. Iron, Inflammation and Invasion of Cancer Cells. Clujul Med. 2015, 88, 272–277. [Google Scholar] [CrossRef]
- Ganz, T.; Nemeth, E. Iron Sequestration and Anemia of Inflammation. Semin. Hematol. 2009, 46, 387–393. [Google Scholar] [CrossRef]
- Jung, M.; Mertens, C.; Tomat, E.; Brüne, B. Iron as a Central Player and Promising Target in Cancer Progression. Int. J. Mol. Sci. 2019, 20, 273. [Google Scholar] [CrossRef]
- Mertens, C.; Mora, J.; Ören, B.; Grein, S.; Winslow, S.; Scholich, K.; Weigert, A.; Malmström, P.; Forsare, C.; Fernö, M.; et al. Macrophage-Derived Lipocalin-2 Transports Iron in the Tumor Microenvironment. Oncoimmunology 2017, 7, e1408751. [Google Scholar] [CrossRef]
- Cao, L.-L.; Liu, H.; Yue, Z.; Liu, L.; Pei, L.; Gu, J.; Wang, H.; Jia, M. Iron Chelation Inhibits Cancer Cell Growth and Modulates Global Histone Methylation Status in Colorectal Cancer. BioMetals 2018, 31, 797–805. [Google Scholar] [CrossRef] [PubMed]
- Petronek, M.S.; Spitz, D.R.; Buettner, G.R.; Allen, B.G. Linking Cancer Metabolic Dysfunction and Genetic Instability through the Lens of Iron Metabolism. Cancers 2019, 11, 1077. [Google Scholar] [CrossRef] [PubMed]
- Paradkar, P.N.; Zumbrennen, K.B.; Paw, B.H.; Ward, D.M.; Kaplan, J. Regulation of Mitochondrial Iron Import through Differential Turnover of Mitoferrin 1 and Mitoferrin 2. Mol. Cell. Biol. 2009, 29, 1007–1016. [Google Scholar] [CrossRef] [PubMed]
- Muckenthaler, M.U.; Rivella, S.; Hentze, M.W.; Galy, B. A Red Carpet for Iron Metabolism. Cell 2017, 168, 344–361. [Google Scholar] [CrossRef]
- Dixon, S.J.; Lemberg, K.M.; Lamprecht, M.R.; Skouta, R.; Zaitsev, E.M.; Gleason, C.E.; Patel, D.N.; Bauer, A.J.; Cantley, A.M.; Yang, W.S.; et al. Ferroptosis: An Iron-Dependent Form of Nonapoptotic Cell Death. Cell 2012, 149, 1060–1072. [Google Scholar] [CrossRef]
- Bebber, C.M.; Müller, F.; Clemente, L.P.; Weber, J.; von Karstedt, S. Ferroptosis in Cancer Cell Biology. Cancers 2020, 12, 164. [Google Scholar] [CrossRef] [PubMed]
- Seager, R.J.; Hajal, C.; Spill, F.; Kamm, R.D.; Zaman, M.H. Dynamic Interplay between Tumour, Stroma and Immune System Can Drive or Prevent Tumour Progression. Converg. Sci. Phys. Oncol. 2017, 3, 034002. [Google Scholar] [CrossRef]
- Gardner, B.; Dieriks, B.v.; Cameron, S.; Mendis, L.H.S.; Turner, C.; Faull, R.L.M.; Curtis, M.A. Metal Concentrations and Distributions in the Human Olfactory Bulb in Parkinson’s Disease. Sci. Rep. 2017, 7, 10454. [Google Scholar] [CrossRef]
- de Luca, A.; Barile, A.; Arciello, M.; Rossi, L. Copper Homeostasis as Target of Both Consolidated and Innovative Strategies of Anti-Tumor Therapy. J. Trace Elem. Med. Biol. 2019, 55, 204–213. [Google Scholar] [CrossRef]
- Waldron, K.J.; Robinson, N.J. How Do Bacterial Cells Ensure That Metalloproteins Get the Correct Metal? Nat. Rev. Microbiol. 2009, 7, 25–35. [Google Scholar] [CrossRef]
- Boulet, A.; Vest, K.E.; Maynard, M.K.; Gammon, M.G.; Russell, A.C.; Mathews, A.T.; Cole, S.E.; Zhu, X.; Phillips, C.B.; Kwong, J.Q.; et al. The Mammalian Phosphate Carrier SLC25A3 Is a Mitochondrial Copper Transporter Required for Cytochrome c Oxidase Biogenesis. J. Biol. Chem. 2018, 293, 1887–1896. [Google Scholar] [CrossRef] [PubMed]
- Lytovchenko, O.; Kunji, E.R.S. Expression and Putative Role of Mitochondrial Transport Proteins in Cancer. Biochim. Biophys. Acta Bioenerg. 2017, 1858, 641–654. [Google Scholar] [CrossRef] [PubMed]
- Brady, D.C.; Crowe, M.S.; Turski, M.L.; Hobbs, G.A.; Yao, X.; Chaikuad, A.; Knapp, S.; Xiao, K.; Campbell, S.L.; Thiele, D.J.; et al. Copper Is Required for Oncogenic BRAF Signalling and Tumorigenesis. Nature 2014, 509, 492–496. [Google Scholar] [CrossRef] [PubMed]
- Rigiracciolo, D.C.; Scarpelli, A.; Lappano, R.; Pisano, A.; Santolla, M.F.; Marco, P.d.; Cirillo, F.; Cappello, A.R.; Dolce, V.; Belfiore, A.; et al. Copper Activates HIF-1α/GPER/VEGF Signalling in Cancer Cells. Oncotarget 2015, 6, 34158–34177. [Google Scholar] [CrossRef] [PubMed]
- Dongre, A.; Weinberg, R.A. New Insights into the Mechanisms of Epithelial-Mesenchymal Transition and Implications for Cancer. Nat. Rev. Mol. Cell. Biol. 2019, 20, 69–84. [Google Scholar] [CrossRef] [PubMed]
- Urso, E.; Maffia, M. Behind the Link between Copper and Angiogenesis: Established Mechanisms and an Overview on the Role of Vascular Copper Transport Systems. J. Vasc. Res. 2015, 52, 172–196. [Google Scholar] [CrossRef] [PubMed]
- MacDonald, G.; Nalvarte, I.; Smirnova, T.; Vecchi, M.; Aceto, N.; Dolemeyer, A.; Frei, A.; Lienhard, S.; Wyckoff, J.; Hess, D.; et al. Memo Is a Copper-Dependent Redox Protein with an Essential Role in Migration and Metastasis. Sci. Signal. 2014, 7, ra56. [Google Scholar] [CrossRef]
- Andreini, C.; Banci, L.; Bertini, I.; Rosato, A. Zinc through the Three Domains of Life. J. Proteome Res. 2006, 5, 3173–3178. [Google Scholar] [CrossRef]
- Gammoh, N.Z.; Rink, L. Zinc in Infection and Inflammation. Nutrients 2017, 9, 624. [Google Scholar] [CrossRef]
- Brieger, A.; Rink, L.; Haase, H. Differential Regulation of TLR-Dependent MyD88 and TRIF Signaling Pathways by Free Zinc Ions. J. Immunol. 2013, 191, 1808–1817. [Google Scholar] [CrossRef]
- Pan, Z. Zinc Transporters and Dysregulated Channels in Cancers. Front. Biosci. 2017, 22, 4507. [Google Scholar] [CrossRef]
- Alam, S.; Kelleher, S.L. Cellular Mechanisms of Zinc Dysregulation: A Perspective on Zinc Homeostasis as an Etiological Factor in the Development and Progression of Breast Cancer. Nutrients 2012, 4, 875–903. [Google Scholar] [CrossRef]
- Janakiram, N.B.; Mohammed, A.; Madka, V.; Kumar, G.; Rao, C.v. Prevention and Treatment of Cancers by Immune Modulating Nutrients. Mol. Nutr. Food Res. 2016, 60, 1275–1294. [Google Scholar] [CrossRef]
- Chandler, P.; Kochupurakkal, B.S.; Alam, S.; Richardson, A.L.; Soybel, D.I.; Kelleher, S.L. Subtype-Specific Accumulation of Intracellular Zinc Pools Is Associated with the Malignant Phenotype in Breast Cancer. Mol. Cancer 2016, 15, 2. [Google Scholar] [CrossRef] [PubMed]
- Gumulec, J.; Masarik, M.; Krizkova, S.; Adam, V.; Hubalek, J.; Hrabeta, J.; Eckschlager, T.; Stiborova, M.; Kizek, R. Insight to Physiology and Pathology of Zinc(II) Ions and Their Actions in Breast and Prostate Carcinoma. Curr. Med. Chem. 2011, 18, 5041–5051. [Google Scholar] [CrossRef]
- Costello, L.C.; Franklin, R.B. A Comprehensive Review of the Role of Zinc in Normal Prostate Function and Metabolism; and Its Implications in Prostate Cancer. Arch. Biochem. Biophys. 2016, 611, 100–112. [Google Scholar] [CrossRef] [PubMed]
- Kambe, T.; Hashimoto, A.; Fujimoto, S. Current Understanding of ZIP and ZnT Zinc Transporters in Human Health and Diseases. Cell. Mol. Life Sci. 2014, 71, 3281–3295. [Google Scholar] [CrossRef]
- John, E.; Laskow, T.C.; Buchser, W.J.; Pitt, B.R.; Basse, P.H.; Butterfield, L.H.; Kalinski, P.; Lotze, M.T. Zinc in Innate and Adaptive Tumor Immunity. J. Transl. Med. 2010, 8, 118. [Google Scholar] [CrossRef]
- Holtan, S.G.; Creedon, D.J.; Haluska, P.; Markovic, S.N. Cancer and Pregnancy: Parallels in Growth, Invasion, and Immune Modulation and Implications for Cancer Therapeutic Agents. Mayo Clin. Proc. 2009, 84, 985–1000. [Google Scholar] [CrossRef] [PubMed]
- Moore, S. Micronutrients in Pregnancy. Br. J. Nutr. 2001, 85 (Suppl. 2), S197. [Google Scholar] [CrossRef]
- Shen, P.J.; Gong, B.; Xu, F.Y.; Luo, Y. Four Trace Elements in Pregnant Women and Their Relationships with Adverse Pregnancy Outcomes. Eur. Rev. Med. Pharmacol. Sci. 2015, 19, 4690–4697. [Google Scholar] [PubMed]
- Ramakrishnan, U.; Manjrekar, R.; Rivera, J.; Gonzáles-Cossío, T.; Martorell, R. Micronutrients and Pregnancy Outcome: A Review of the Literature. Nutr. Res. 1999, 19, 103–159. [Google Scholar] [CrossRef]
- Ives, C.W.; Sinkey, R.; Rajapreyar, I.; Tita, A.T.N.; Oparil, S. Preeclampsia-Pathophysiology and Clinical Presentations: JACC State-of-the-Art Review. J. Am. Coll. Cardiol. 2020, 76, 1690–1702. [Google Scholar] [CrossRef]
- Nirupama, R.; Divyashree, S.; Janhavi, P.; Muthukumar, S.P.; Ravindra, P.v. Preeclampsia: Pathophysiology and Management. J. Gynecol. Obstet. Hum. Reprod. 2021, 50, 101975. [Google Scholar] [CrossRef]
- Song, X.; Li, B.; Li, Z.; Wang, J.; Zhang, D. High Serum Copper Level Is Associated with an Increased Risk of Preeclampsia in Asians: A Meta-Analysis. Nutr. Res. 2017, 39, 14–24. [Google Scholar] [CrossRef]
- Rafeeinia, A.; Tabandeh, A.; Khajeniazi, S.; Marjani, A.J. Serum Copper, Zinc and Lipid Peroxidation in Pregnant Women with Preeclampsia in Gorgan. Open Biochem. J. 2014, 8, 83–88. [Google Scholar] [CrossRef]
- Siddiqui, I.A.; Jaleel, A.; al Kadri, H.M.F.; al Saeed, W.; Tamimi, W. Iron Status Parameters in Preeclamptic Women. Arch. Gynecol. Obstet. 2011, 284, 587–591. [Google Scholar] [CrossRef]
- Wang, F.; Zhang, W.; Cheng, W.; Huo, N.; Zhang, S. Preeclampsia and Cancer Risk in Women in Later Life: A Systematic Review and Meta-Analysis of Cohort Studies. Menopause 2021, 28, 1070–1078. [Google Scholar] [CrossRef]
- Karumanchi, S.A.; Bdolah, Y. Hypoxia and SFlt-1 in Preeclampsia: The “Chicken-and-Egg” Question. Endocrinology 2004, 145, 4835–4837. [Google Scholar] [CrossRef]
- Zulfikaroglu, E.; Ugur, M.; Taflan, S.; Ugurlu, N.; Atalay, A.; Kalyoncu, S. Neurokinin B Levels in Maternal and Umbilical Cord Blood in Preeclamptic and Normal Pregnancies. J. Perinat. Med. 2007, 35, 200–202. [Google Scholar] [CrossRef]
- Topaloglu, A.K.; Reimann, F.; Guclu, M.; Yalin, A.S.; Kotan, L.D.; Porter, K.M.; Serin, A.; Mungan, N.O.; Cook, J.R.; Ozbek, M.N.; et al. TAC3 and TACR3 Mutations in Familial Hypogonadotropic Hypogonadism Reveal a Key Role for Neurokinin B in the Central Control of Reproduction. Nat. Genet. 2009, 41, 354–358. [Google Scholar] [CrossRef] [PubMed]
- Page, N.M.; Woods, R.J.; Lowry, P.J. A Regulatory Role for Neurokinin B in Placental Physiology and Pre-Eclampsia. Regul. Pept. 2001, 98, 97–104. [Google Scholar] [CrossRef] [PubMed]
- Nakanishi, S. Mammalian Tachykinin Receptors. Annu. Rev. Neurosci. 2003, 14, 123–136. [Google Scholar] [CrossRef] [PubMed]
- Navarro, V.M. Interactions between Kisspeptins and Neurokinin B. Adv. Exp. Med. Biol. 2013, 784, 325–347. [Google Scholar] [CrossRef] [PubMed]
- Page, N.M. Neurokinin B and Pre-Eclampsia: A Decade of Discovery. Reprod. Biol. Endocrinol. 2010, 8, 4. [Google Scholar] [CrossRef]
- Wang, T.; Chen, S.; Wang, S.; Shi, L.; Wang, C.; Zhang, J.; Gao, Y.; Li, G.; Qi, Y.; An, X.; et al. Targeting Neurokinin-3 Receptor: A Novel Anti-Angiogenesis Strategy for Cancer Treatment. Oncotarget 2017, 8, 40713. [Google Scholar] [CrossRef] [PubMed]
- Xiang, H.; Toyoshima, Y.; Shen, W.; Wang, X.; Okada, N.; Kii, S.; Sugiyama, K.; Nagato, T.; Kobayashi, H.; Ikeo, K.; et al. IFN-α/β-Mediated NK2R Expression Is Related to the Malignancy of Colon Cancer Cells. Cancer Sci. 2022, 113, 2513–2525. [Google Scholar] [CrossRef] [PubMed]
- Fang, W.; Fu, C.; Chen, X.; Mou, X.; Liu, F.; Qian, J.; Zhao, P.; Zheng, Y.; Zheng, Y.; Deng, J.; et al. Neurokinin-2 Receptor Polymorphism Predicts Lymph Node Metastasis in Colorectal Cancer Patients. Oncol. Lett. 2015, 9, 2003–2006. [Google Scholar] [CrossRef]
- Muñoz, M.; Coveñas, R. Neurokinin-1 Receptor: A New Promising Target in the Treatment of Cancer. Discov. Med. 2010, 10, 305–313. [Google Scholar]
- Zhang, X.W.; Li, L.; Hu, W.Q.; Hu, M.N.; Tao, Y.; Hu, H.; Miao, X.K.; Yang, W.l.; Zhu, Q.; Mou, L.Y. Neurokinin-1 Receptor Promotes Non-Small Cell Lung Cancer Progression through Transactivation of EGFR. Cell Death Dis. 2022, 13, 41. [Google Scholar] [CrossRef] [PubMed]
- Al-Keilani, M.S.; Elstaty, R.; Alqudah, M.A. The Prognostic Potential of Neurokinin 1 Receptor in Breast Cancer and Its Relationship with Ki-67 Index. Int. J. Breast Cancer 2022, 2022, 4987912. [Google Scholar] [CrossRef] [PubMed]
- Burton, G.J.; Jauniaux, E. Placental Oxidative Stress: From Miscarriage to Preeclampsia. J. Soc. Gynecol. Investig. 2004, 11, 342–352. [Google Scholar] [CrossRef]
- Lewandowska, M.; Sajdak, S.; Lubiński, J. Can Serum Iron Concentrations in Early Healthy Pregnancy Be Risk Marker of Pregnancy-Induced Hypertension? Nutrients 2019, 11, 1086. [Google Scholar] [CrossRef]
- Sajjad, Y.; Leonard, M.; Doyle, M. Antioxidant Levels in the Cord Blood of Term Fetus. J. Obstet. Gynaecol. 2009, 20, 468–471. [Google Scholar] [CrossRef]
- Sak, S.; Barut, M.; Çelik, H.; Incebiyik, A.; Ağaçayak, E.; Uyanikoglu, H.; Kirmit, A.; Sak, M. Copper and Ceruloplasmin Levels Are Closely Related to the Severity of Preeclampsia. J. Matern. Fetal. Neonatal. Med. 2020, 33, 96–102. [Google Scholar] [CrossRef]
- Steinbrueck, A.; Sedgwick, A.C.; Brewster, J.T.; Yan, K.C.; Shang, Y.; Knoll, D.M.; Vargas-Zúñiga, G.I.; He, X.P.; Tian, H.; Sessler, J.L. Transition Metal Chelators, pro-Chelators, and Ionophores as Small Molecule Cancer Chemotherapeutic Agents. Chem. Soc. Rev. 2020, 49, 3726–3747. [Google Scholar] [CrossRef]
- Zuazo-Gaztelu, I.; Casanovas, O. Unraveling the Role of Angiogenesis in Cancer Ecosystems. Front. Oncol. 2018, 8, 248. [Google Scholar] [CrossRef] [PubMed]
- Available online: https://www.iarc.who.int/news-events/latest-global-cancer-data-cancer-burden-rises-to-19-3-million-new-cases-and-10-0-million-cancer-deaths-in-2020/#:~:text=The%20global%20cancer%20burden%20is,women%20die%20from%20the%20disease (accessed on 15 December 2022).
- Sung, H.; Ferlay, J.; Siegel, R.L.; Laversanne, M.; Soerjomataram, I.; Jemal, A.; Bray, F. Global Cancer Statistics 2020: GLOBOCAN Estimates of Incidence and Mortality Worldwide for 36 Cancers in 185 Countries. CA Cancer J. Clin. 2021, 71, 209–249. [Google Scholar] [CrossRef] [PubMed]
- Hassanpour, S.H.; Dehghani, M. Review of Cancer from Perspective of Molecular. J. Cancer Res. Pract. 2017, 4, 127–129. [Google Scholar] [CrossRef]
- Hanahan, D. Hallmarks of Cancer: New Dimensions. Cancer Discov. 2022, 12, 31–46. [Google Scholar] [CrossRef]
- Haider, M.S.; Jaskani, M.J.; Fang, J. Overproduction of ROS: Underlying Molecular Mechanism of Scavenging and Redox Signaling. In Biocontrol Agents and Secondary Metabolites; Woodhead Publishing: Sawston, UK, 2021; pp. 347–382. [Google Scholar] [CrossRef]
- Hayes, J.D.; Dinkova-Kostova, A.T.; Tew, K.D. Oxidative Stress in Cancer. Cancer Cell 2020, 38, 167–197. [Google Scholar] [CrossRef] [PubMed]
- Pircher, A.; Hilbe, W.; Heidegger, I.; Drevs, J.; Tichelli, A.; Medinger, M. Biomarkers in Tumor Angiogenesis and Anti-Angiogenic Therapy. Int. J. Mol. Sci. 2011, 12, 7077–7099. [Google Scholar] [CrossRef]
- Ferrara, N.; Gerber, H.P.; LeCouter, J. The Biology of VEGF and Its Receptors. Nat. Med. 2003, 9, 669–676. [Google Scholar] [CrossRef]
- Ahmadi, M.; Rezaie, J. Tumor Cells Derived-Exosomes as Angiogenenic Agents: Possible Therapeutic Implications. J. Transl. Med. 2020, 18, 249. [Google Scholar] [CrossRef]
- Ellis, L.M. The Role of Neuropilins in Cancer. Mol. Cancer Ther. 2006, 5, 1099–1107. [Google Scholar] [CrossRef]
- Soker, S.; Takashima, S.; Miao, H.Q.; Neufeld, G.; Klagsbrun, M. Neuropilin-1 Is Expressed by Endothelial and Tumor Cells as an Isoform-Specific Receptor for Vascular Endothelial Growth Factor. Cell 1998, 92, 735–745. [Google Scholar] [CrossRef]
- Kawakami, T.; Tokunaga, T.; Hatanaka, H.; Kijima, H.; Yamazaki, H.; Abe, Y.; Osamura, Y.; Inoue, H.; Ueyama, Y.; Nakamura, M. Neuropilin 1 and Neuropilin 2 Co-Expression Is Significantly Correlated with Increased Vascularity and Poor Prognosis in Nonsmall Cell Lung Carcinoma. Cancer 2002, 95, 2196–2201. [Google Scholar] [CrossRef]
- Rieger, J.; Wick, W.; Weller, M. Human Malignant Glioma Cells Express Semaphorins and Their Receptors, Neuropilins and Plexins. Glia 2003, 42, 379–389. [Google Scholar] [CrossRef]
- Dempke, W.; Zippel, R. Brivanib, a Novel Dual VEGF-R2/BFGF-R Inhibitor. Anticancer Res. 2010, 30, 4477–4483. [Google Scholar]
- Ribatti, D. Tumor Refractoriness to Anti-VEGF Therapy. Oncotarget 2016, 7, 46668–46677. [Google Scholar] [CrossRef] [PubMed]
- Casanovas, O. Cancer: Limitations of Therapies Exposed. Nature 2012, 484, 44–46. [Google Scholar] [CrossRef] [PubMed]
- Bergers, G.; Hanahan, D. Modes of Resistance to Anti-Angiogenic Therapy. Nat. Rev. Cancer 2008, 8, 592–603. [Google Scholar] [CrossRef]
- Simons, M. Angiogenesis: Where Do We Stand Now? Circulation 2005, 111, 1556–1566. [Google Scholar] [CrossRef]
- Amaral, L.M.; Wallace, K.; Owens, M.; LaMarca, B. Pathophysiology and Current Clinical Management of Preeclampsia. Curr. Hypertens. Rep. 2017, 19, 61. [Google Scholar] [CrossRef]
- Sibai, B.; Dekker, G.; Kupferminc, M. Pre-Eclampsia. Lancet 2005, 365, 785–799. [Google Scholar] [CrossRef]
- Wadhwani, P.; Saha, P.K.; Kalra, J.K.; Gainder, S.; Sundaram, V. A Study to Compare Maternal and Perinatal Outcome in Early vs. Late Onset Preeclampsia. Obstet. Gynecol. Sci. 2020, 63, 270. [Google Scholar] [CrossRef]
- Sibai, B.M. Diagnosis and Management of Gestational Hypertension and Preeclampsia. Obstet. Gynecol. 2003, 102, 181–192. [Google Scholar] [CrossRef] [PubMed]
- Ohkuchi, A.; Saito, S.; Yamamoto, T.; Minakami, H.; Masuyama, H.; Kumasawa, K.; Yoshimatsu, J.; Nagamatsu, T.; Dietl, A.; Grill, S.; et al. Short-Term Prediction of Preeclampsia Using the SFlt-1/PlGF Ratio: A Subanalysis of Pregnant Japanese Women from the PROGNOSIS Asia Study. Hypertens. Res. 2021, 44, 813. [Google Scholar] [CrossRef]
- Nikuei, P.; Rajaei, M.; Roozbeh, N.; Mohseni, F.; Poordarvishi, F.; Azad, M.; Haidari, S. Diagnostic Accuracy of SFlt1/PlGF Ratio as a Marker for Preeclampsia. BMC Pregnancy Childbirth 2020, 20, 80. [Google Scholar] [CrossRef] [PubMed]
- Zeisler, H.; Llurba, E.; Chantraine, F.; Vatish, M.; Staff, A.; Sennström, M.; Olovsson, M.; Brennecke, S.; Stepan, H.; Allegranza, D.; et al. Predictive Value of the SFlt-1:PlGF Ratio in Women with Suspected Preeclampsia. N. Engl. J. Med. 2016, 374, 13–22. [Google Scholar] [CrossRef]
- Verlohren, S.; Brennecke, S.; Galindo, A.; Karumanchi, S.; Mirkovic, L.; Schlembach, D.; Stepan, H.; Vatish, M.; Zeisler, H.; Rana, S. Clinical Interpretation and Implementation of the SFlt-1/PlGF Ratio in the Prediction, Diagnosis and Management of Preeclampsia. Pregnancy Hypertens. 2022, 27, 42–50. [Google Scholar] [CrossRef]
- Myatt, L.; Cui, X. Oxidative Stress in the Placenta. Histochem. Cell Biol. 2004, 122, 369–382. [Google Scholar] [CrossRef]
- Hubel, C.A.; McLaughlin, M.K.; Evans, R.W.; Hauth, B.A.; Sims, C.J.; Roberts, J.M. Fasting Serum Triglycerides, Free Fatty Acids, and Malondialdehyde Are Increased in Preeclampsia, Are Positively Correlated, and Decrease within 48 Hours Post Partum. Am. J. Obstet. Gynecol. 1996, 174, 975–982. [Google Scholar] [CrossRef] [PubMed]
- Dechend, R.; Viedt, C.; Müller, D.N.; Ugele, B.; Brandes, R.P.; Wallukat, G.; Park, J.K.; Janke, J.; Barta, P.; Theuer, J.; et al. AT1 Receptor Agonistic Antibodies from Preeclamptic Patients Stimulate NADPH Oxidase. Circulation 2003, 107, 1632–1639. [Google Scholar] [CrossRef] [PubMed]
- Kulandavelu, S.; Whiteley, K.J.; Qu, D.; Mu, J.; Bainbridge, S.A.; Adamson, S.L. Endothelial Nitric Oxide Synthase Deficiency Reduces Uterine Blood Flow, Spiral Artery Elongation, and Placental Oxygenation in Pregnant Mice. Hypertension 2012, 60, 231–238. [Google Scholar] [CrossRef] [PubMed]
- Taylor, A. Pre-Eclampsia and the Risk of Cancer: Several Studies Suggest a Decreased Risk—Except This One. BMJ Br. Med. J. 2004, 328, 909. [Google Scholar] [CrossRef]
- Calderon-Margalit, R.; Friedlander, Y.; Yanetz, R.; Deutsch, L.; Perrin, M.C.; Kleinhaus, K.; Tiram, E.; Harlap, S.; Paltiel, O. Preeclampsia and Subsequent Risk of Cancer: Update from the Jerusalem Perinatal Study. Am. J. Obstet. Gynecol. 2009, 200, 63.e1. [Google Scholar] [CrossRef]
- Wright, L.B.; Schoemaker, M.J.; Jones, M.E.; Ashworth, A.; Swerdlow, A.J. Breast Cancer Risk in Relation to History of Preeclampsia and Hyperemesis Gravidarum: Prospective Analysis in the Generations Study. Int. J. Cancer 2018, 143, 782–792. [Google Scholar] [CrossRef]
- Sakamoto, R.; Osada, H.; Iitsuka, Y.; Masuda, K.; Kaku, K.; Seki, K.; Sekiya, S. Profile of Neurokinin B Concentrations in Maternal and Cord Blood in Normal Pregnancy. Clin. Endocrinol. 2003, 58, 597–600. [Google Scholar] [CrossRef]
- Nieto Gutierrez, A.; McDonald, P.H. GPCRs: Emerging Anti-Cancer Drug Targets. Cell. Signal. 2018, 41, 65–74. [Google Scholar] [CrossRef]
- Bar-Shavit, R.; Maoz, M.; Kancharla, A.; Nag, J.K.; Agranovich, D.; Grisaru-Granovsky, S.; Uziely, B. G Protein-Coupled Receptors in Cancer. Int. J. Mol. Sci. 2016, 17, 1320. [Google Scholar] [CrossRef]
- Ge, C.; Huang, H.; Huang, F.; Yang, T.; Zhang, T.; Wu, H.; Zhou, H.; Chen, Q.; Shi, Y.; Sun, Y.; et al. Neurokinin-1 Receptor Is an Effective Target for Treating Leukemia by Inducing Oxidative Stress through Mitochondrial Calcium Overload. Proc. Natl. Acad. Sci. USA 2019, 116, 19635–19645. [Google Scholar] [CrossRef] [PubMed]
- Berger, M.; Neth, O.; Ilmer, M.; Garnier, A.; Salinas-Martín, M.V.; de Agustín Asencio, J.C.; von Schweinitz, D.; Kappler, R.; Muñoz, M. Hepatoblastoma Cells Express Truncated Neurokinin-1 Receptor and Can Be Growth Inhibited by Aprepitant In Vitro and In Vivo. J. Hepatol. 2014, 60, 985–994. [Google Scholar] [CrossRef]
- Chen, X.Y.; Ru, G.Q.; Ma, Y.Y.; Xie, J.; Chen, W.Y.; Wang, H.J.; Wang, S.B.; Li, L.; Jin, K.T.; He, X.L.; et al. High Expression of Substance P and Its Receptor Neurokinin-1 Receptor in Colorectal Cancer Is Associated with Tumor Progression and Prognosis. Onco Targets Ther. 2016, 9, 3595–3602. [Google Scholar] [CrossRef]
- Pal, S.; Wu, J.; Murray, J.K.; Gellman, S.H.; Wozniak, M.A.; Keely, P.J.; Boyer, M.E.; Gomez, T.M.; Hasso, S.M.; Fallon, J.F.; et al. An Antiangiogenic Neurokinin-B/Thromboxane A2 Regulatory Axis. J. Cell Biol. 2006, 174, 1047–1058. [Google Scholar] [CrossRef] [PubMed]
- Zhang, Y.X.; Li, X.F.; Yuan, G.Q.; Hu, H.; Song, X.Y.; Li, J.Y.; Miao, X.K.; Zhou, T.X.; Yang, W.l.; Zhang, X.W.; et al. β-Arrestin 1 Has an Essential Role in Neurokinin-1 Receptor-Mediated Glioblastoma Cell Proliferation and G2/M Phase Transition. J. Biol. Chem. 2017, 292, 8933–8947. [Google Scholar] [CrossRef]
- Nizam, E.; Köksoy, S.; Erin, N. NK1R Antagonist Decreases Inflammation and Metastasis of Breast Carcinoma Cells Metastasized to Liver but Not to Brain; Phenotype-Dependent Therapeutic and Toxic Consequences. Cancer Immunol. Immunother. 2020, 69, 1639–1650. [Google Scholar] [CrossRef] [PubMed]
- Sinha, S.; Fu, Y.Y.; Grimont, A.; Ketcham, M.; Lafaro, K.; Saglimbeni, J.A.; Askan, G.; Bailey, J.M.; Melchor, J.P.; Zhong, Y.; et al. PanIN Neuroendocrine Cells Promote Tumorigenesis via Neuronal Cross-Talk. Cancer Res. 2017, 77, 1868–1879. [Google Scholar] [CrossRef] [PubMed]
- Garnier, A.; Vykoukal, J.; Hubertus, J.; Alt, E.; von Schweinitz, D.; Kappler, R.; Berger, M.; Ilmer, M. Targeting the Neurokinin-1 Receptor Inhibits Growth of Human Colon Cancer Cells. Int. J. Oncol. 2015, 47, 151–160. [Google Scholar] [CrossRef] [PubMed]
- Javid, H.; Asadi, J.; Zahedi Avval, F.; Afshari, A.R.; Hashemy, S.I. The Role of Substance P/Neurokinin 1 Receptor in the Pathogenesis of Esophageal Squamous Cell Carcinoma through Constitutively Active PI3K/Akt/NF-ΚB Signal Transduction Pathways. Mol. Biol. Rep. 2020, 47, 2253–2263. [Google Scholar] [CrossRef] [PubMed]
- Mander, K.; Harford-Wright, E.; Lewis, K.; Vink, R. Advancing Drug Therapy for Brain Tumours: A Current Review of the Pro-Inflammatory Peptide Substance P and Its Antagonists as Anti-Cancer Agents. Recent Pat. CNS Drug Discov. 2014, 9, 110–121. [Google Scholar] [CrossRef] [PubMed]
- Serdar, Z.; Gür, E.; Develioǧlu, O. Serum Iron and Copper Status and Oxidative Stress in Severe and Mild Preeclampsia. Cell Biochem. Funct. 2006, 24, 209–215. [Google Scholar] [CrossRef] [PubMed]
- Wiegand, H.L.; Orths, C.T.; Kerpen, K.; Lutze, H.V.; Schmidt, T.C. Investigation of the Iron-Peroxo Complex in the Fenton Reaction: Kinetic Indication, Decay Kinetics, and Hydroxyl Radical Yields. Environ. Sci. Technol. 2017, 51, 14321–14329. [Google Scholar] [CrossRef] [PubMed]
- Jozefczak, M.; Remans, T.; Vangronsveld, J.; Cuypers, A. Glutathione Is a Key Player in Metal-Induced Oxidative Stress Defenses. Int. J. Mol. Sci. 2012, 13, 3145–3175. [Google Scholar] [CrossRef]
- Li, Z.Y.; Shen, Q.H.; Mao, Z.W.; Tan, C.P. Rising Interest in the Development of Metal Complexes in Cancer Immunotherapy. Chem. Asian J. 2022, 17, e202200270. [Google Scholar] [CrossRef] [PubMed]
- Li, S.; Yuan, H.; Chen, Y.; Guo, Z. Metal Complexes Induced Ferroptosis for Anticancer Therapy. Fundam. Res. 2022, in press. [CrossRef]
- Pearson, R.G. Hard and Soft Acids and Bases, HSAB, Part 1: Fundamental Principles. J. Chem. Educ. 1968, 45, 581. [Google Scholar] [CrossRef]
- Harford, C.; Sarkar, B. Amino Terminal Cu(II)- and Ni(II)-Binding (ATCUN) Motif of Proteins and Peptides: Metal Binding, DNA Cleavage, and Other Properties. Acc. Chem. Res. 1997, 30, 123–130. [Google Scholar] [CrossRef]
- Gonzalez, P.; Bossak, K.; Stefaniak, E.; Hureau, C.; Raibaut, L.; Bal, W.; Faller, P. N-Terminal Cu-Binding Motifs (Xxx-Zzz-His, Xxx-His) and Their Derivatives: Chemistry, Biology and Medicinal Applications. Chemistry 2018, 24, 8029–8041. [Google Scholar] [CrossRef] [PubMed]
- Bossak-Ahmad, K.; Mital, M.; Plonka, D.; Drew, S.C.; Bal, W. Oligopeptides Generated by Neprilysin Degradation of β-Amyloid Have the Highest Cu(II) Affinity in the Whole Aβ Family. Inorg. Chem. 2019, 58, 932–943. [Google Scholar] [CrossRef]
- Chiou, S.H. DNA- and Protein-Scission Activities of Ascorbate in the Presence of Copper Ion and a Copper-Peptide Complex. J. Biochem. 1983, 94, 1259–1267. [Google Scholar] [CrossRef] [PubMed]
- Mack, D.P.; Dervan, P.B. Sequence-Specific Oxidative Cleavage of DNA by a Designed Metalloprotein, Ni(II>GGH(Hinl39-190). Biochemistry 1992, 31, 9399–9405. [Google Scholar] [CrossRef] [PubMed]
- Sankararamakrishnan, R.; Verma, S.; Kumar, S. ATCUN-like Metal-Binding Motifs in Proteins: Identification and Characterization by Crystal Structure and Sequence Analysis. Proteins Struct. Funct. Bioinform. 2005, 58, 211–221. [Google Scholar] [CrossRef]
- Bossak-Ahmad, K.; Frączyk, T.; Bal, W.; Drew, S.C. The Sub-Picomolar Cu2+ Dissociation Constant of Human Serum Albumin. Chembiochem 2020, 21, 331–334. [Google Scholar] [CrossRef]
- Maiti, B.K.; Govil, N.; Kundu, T.; Moura, J.J.G. Designed Metal-ATCUN Derivatives: Redox- and Non-Redox-Based Applications Relevant for Chemistry, Biology, and Medicine. iScience 2020, 23, 101792. [Google Scholar] [CrossRef]
- Bossak, K.; Drew, S.C.; Stefaniak, E.; Płonka, D.; Bonna, A.; Bal, W. The Cu(II) Affinity of the N-Terminus of Human Copper Transporter CTR1: Comparison of Human and Mouse Sequences. J. Inorg. Biochem. 2018, 182, 230–237. [Google Scholar] [CrossRef]
- Magrì, A.; Tabbì, G.; Naletova, I.; Attanasio, F.; Arena, G.; Rizzarelli, E. A Deeper Insight in Metal Binding to the HCtr1 N-Terminus Fragment: Affinity, Speciation and Binding Mode of Binuclear Cu2+ and Mononuclear Ag+ Complex Species. Int. J. Mol. Sci. 2022, 23, 2929. [Google Scholar] [CrossRef]
- Stokowa-Sołtys, K.; Szczerba, K.; Pacewicz, M.; Wieczorek, R.; Wezynfeld, N.E.; Bal, W. Interactions of Neurokinin B with Copper(II) Ions and Their Potential Biological Consequences. Dalton Trans. 2022, 51, 14267–14276. [Google Scholar] [CrossRef] [PubMed]
- Huang, Y.; Xia, N.; Chen, M.; Yang, P.; Liu, L.; Wang, J. A Copper Complex Formed with Neurokinin B: Binding Stoichiometry, Redox Properties, Self-Assembly and Cytotoxicity. Metallomics 2020, 12, 1802–1810. [Google Scholar] [CrossRef]
- Russino, D.; McDonald, E.; Hejazi, L.; Hanson, G.R.; Jones, C.E. The Tachykinin Peptide Neurokinin B Binds Copper Forming an Unusual [CuII(NKB)2] Complex and Inhibits Copper Uptake into 1321N1 Astrocytoma Cells. ACS Chem. Neurosci. 2013, 4, 1371–1381. [Google Scholar] [CrossRef]
- Kowalik-Jankowska, T.; Jankowska, E.; Szewczuk, Z.; Kasprzykowski, F. Coordination Abilities of Neurokinin A and Its Derivative and Products of Metal-Catalyzed Oxidation. J. Inorg. Biochem. 2010, 104, 831–842. [Google Scholar] [CrossRef] [PubMed]
- Jayasekharan, T.; Gupta, S.L.; Dhiman, V. Binding of Cu+ and Cu2+ with Peptides: Peptides = Oxytocin, Arg8 -Vasopressin, Bradykinin, Angiotensin-I, Substance-P, Somatostatin, and Neurotensin. J. Mass Spectrom. 2018, 53, 296–313. [Google Scholar] [CrossRef] [PubMed]
- Stokowa-Sołtys, K.; Kierpiec, K.; Wieczorek, R. Might Cu(II) Binding, DNA Cleavage and Radical Production by YadA Fragments Be Involved in the Promotion of F. Nucleatum Related Cancers? Dalton Trans. 2022, 51, 7040–7052. [Google Scholar] [CrossRef] [PubMed]
- Bataille, M.; Formicka-Kozlowska, G.; Kozlowski, H.; Pettit, L.D.; Steel, I. The L-Proline Residue as a ‘Break-Point’ in the Co-Ordination of Metal–Peptide Systems. J. Chem. Soc. Chem. Commun. 1984, 231–232. [Google Scholar] [CrossRef]
- Ben-Shushan, S.; Miller, Y. Neuropeptides: Roles and Activities as Metal Chelators in Neurodegenerative Diseases. J. Phys. Chem. B 2021, 125, 2796–2811. [Google Scholar] [CrossRef] [PubMed]
- Grosas, A.B.; Kalimuthu, P.; Smith, A.C.; Williams, P.A.; Millar, T.J.; Bernhardt, P.V.; Jones, C.E. The Tachykinin Peptide Neurokinin B Binds Copper(I) and Silver(I) and Undergoes Quasi-Reversible Electrochemistry: Towards a New Function for the Peptide in the Brain. Neurochem. Int. 2014, 70, 1–9. [Google Scholar] [CrossRef]
- Berg, J.M. Zinc-Finger Proteins. Curr. Opin. Struct. Biol. 1993, 3, 11–16. [Google Scholar] [CrossRef]
- Pace, N.J.; Weerapana, E. Zinc-Binding Cysteines: Diverse Functions and Structural Motifs. Biomolecules 2014, 4, 419. [Google Scholar] [CrossRef]
- Chan, K.L.; Bakman, I.; Marts, A.R.; Batir, Y.; Dowd, T.L.; Tierney, D.L.; Gibney, B.R. Characterization of the Zn(II) Binding Properties of the Human Wilms’ Tumor Suppressor Protein C-Terminal Zinc Finger Peptide. Inorg. Chem. 2014, 53, 6309–6320. [Google Scholar] [CrossRef]
- Ben-Shushan, S.; Hecel, A.; Rowinska-Zyrek, M.; Kozlowski, H.; Miller, Y. Zinc Binding Sites Conserved in Short Neuropeptides Containing a Diphenylalanine Motif. Inorg. Chem. 2020, 59, 925–929. [Google Scholar] [CrossRef]
- Chen, S.; An, L.; Yang, S. Low-Molecular-Weight Fe(III) Complexes for MRI Contrast Agents. Molecules 2022, 27, 4573. [Google Scholar] [CrossRef]
- Shafaat, H.S.; Kisgeropoulos, E.C.; Griese, J.J.; Smith, Z.R.; Branca, R.M.M.; Schneider, C.R.; Högbom, M. Key Structural Motifs Balance Metal Binding and Oxidative Reactivity in a Heterobimetallic Mn/Fe Protein. ACS Appl. Mater. Interfaces 2020, 142, 5338–5354. [Google Scholar] [CrossRef]
- Hirayama, T.; Nagasawa, H. Chemical Tools for Detecting Fe Ions. J. Clin. Biochem. Nutr. 2017, 60, 39. [Google Scholar] [CrossRef]
- Shi, R.; Hou, W.; Wang, Z.Q.; Xu, X. Biogenesis of Iron–Sulfur Clusters and Their Role in DNA Metabolism. Front. Cell Dev. Biol. 2021, 9, 2676. [Google Scholar] [CrossRef]








Disclaimer/Publisher’s Note: The statements, opinions and data contained in all publications are solely those of the individual author(s) and contributor(s) and not of MDPI and/or the editor(s). MDPI and/or the editor(s) disclaim responsibility for any injury to people or property resulting from any ideas, methods, instructions or products referred to in the content. |
© 2023 by the authors. Licensee MDPI, Basel, Switzerland. This article is an open access article distributed under the terms and conditions of the Creative Commons Attribution (CC BY) license (https://creativecommons.org/licenses/by/4.0/).
Share and Cite
Szczerba, K.; Stokowa-Soltys, K. What Is the Correlation between Preeclampsia and Cancer? The Important Role of Tachykinins and Transition Metal Ions. Pharmaceuticals 2023, 16, 366. https://doi.org/10.3390/ph16030366
Szczerba K, Stokowa-Soltys K. What Is the Correlation between Preeclampsia and Cancer? The Important Role of Tachykinins and Transition Metal Ions. Pharmaceuticals. 2023; 16(3):366. https://doi.org/10.3390/ph16030366
Chicago/Turabian StyleSzczerba, Klaudia, and Kamila Stokowa-Soltys. 2023. "What Is the Correlation between Preeclampsia and Cancer? The Important Role of Tachykinins and Transition Metal Ions" Pharmaceuticals 16, no. 3: 366. https://doi.org/10.3390/ph16030366
APA StyleSzczerba, K., & Stokowa-Soltys, K. (2023). What Is the Correlation between Preeclampsia and Cancer? The Important Role of Tachykinins and Transition Metal Ions. Pharmaceuticals, 16(3), 366. https://doi.org/10.3390/ph16030366

