Design, Synthesis, and Biological Evaluation of 2-Mercaptobenzoxazole Derivatives as Potential Multi-Kinase Inhibitors
Abstract
1. Introduction
2. Results and Discussion
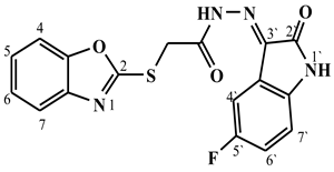
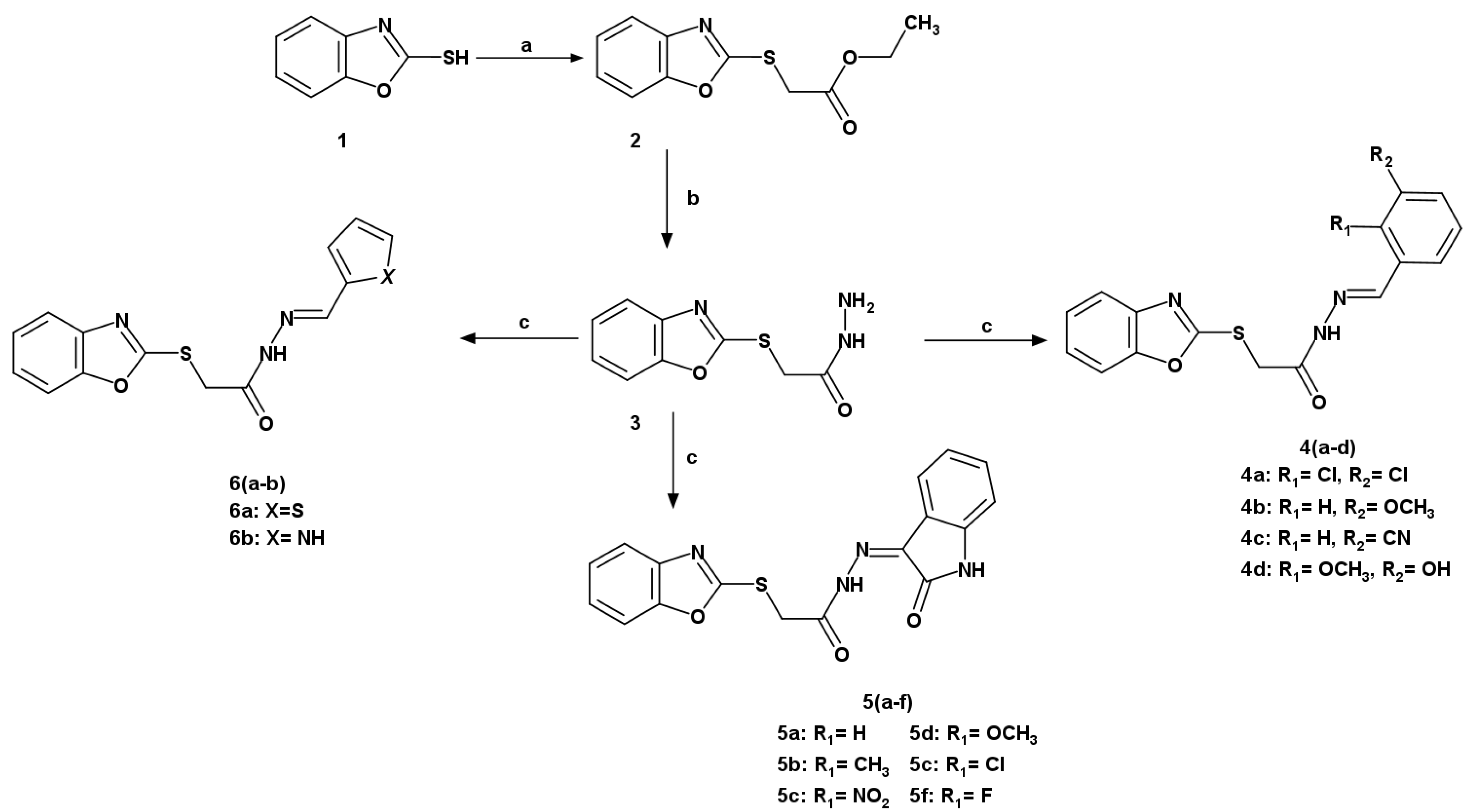
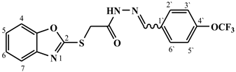
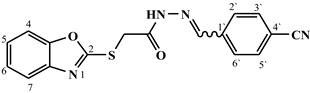
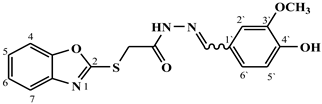
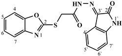
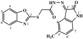
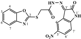
2.1. Chemistry
2.2. Biological Evaluation
2.2.1. Cytotoxicity Assay
2.2.2. Structure–Activity Relationship (SAR)
2.2.3. In Vitro Kinase Inhibitory Activity
2.2.4. Molecular Docking
2.2.5. Bax, Bcl-2, Caspase-3, and Caspase-9 Gene Expression Screening
2.2.6. Apoptosis Rate and Cell-Cycle Analysis
3. Materials and Methods
3.1. Chemistry and Analysis
3.1.1. General Protocol for the Synthesis of Ethyl 2-[(1,3-benzoxazol-2-yl)sulfanyl]acetate (2)
3.1.2. General Protocol for the Synthesis of 2-[(1,3-benzoxazol-2-yl) sulfanyl] Acetohydrazide (3)
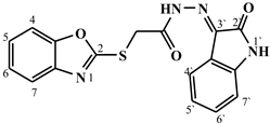
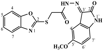
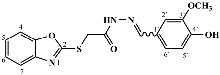
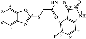
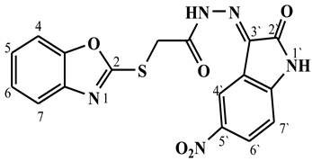
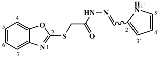
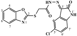
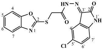
3.1.3. General Protocol for the Synthesis of (E/Z)-N′-(substituted benzylidene)-2-(benzo[d]oxazol-2-ylthio)acetohydrazide (4(a–d)), (E/Z)-2-(benzo[d]oxazol-2-ylthio)-N′-(5-substituted/unsubstituted-2-oxoindolin-3-ylidene)acetohydrazide (5(a–f)) and (E/Z)-2-(benzo[d]oxazol-2-ylthio)-N′-((thiophen-2-yl)/(1H-pyrrol-2-yl)methylene)acetohydrazide 6(a–b)]
Synthesis of (E/Z)-N′-(3,4-dichlorobenzylidene)-2-(benzo[d]oxazol-2-ylthio)acetohydrazide (4a)

Synthesis of (E/Z)-N′-(4-(trifluoromethoxy)benzylidene)-2-(benzo[d]oxazol-2-ylthio)acetohydrazide (4b)

Synthesis of (E/Z)-N′-(4-cyanobenzylidene)-2-(benzo[d]oxazol-2-ylthio)acetohydrazide (4c)

Synthesis of (E/Z)-N′-(4-hydroxy-3-methoxybenzylidene)-2-(benzo[d]oxazol-2-ylthio)acetohydrazide (4d)

Synthesis of (E/Z)-2-(benzo[d]oxazol-2-ylthio)-N′-(2-oxoindolin-3-ylidene)acetohydrazide (5a)

Synthesis of (E/Z)-2-(benzo[d]oxazol-2-ylthio)-N′-(5-methyl-2-oxoindolin-3-ylidene)acetohydrazide (5b)

Synthesis of (E/Z)-2-(benzo[d]oxazol-2-ylthio)-N′-(5-nitro-2-oxoindolin-3-ylidene)acetohydrazide (5c)

Synthesis of (E/Z)-2-(benzo[d]oxazol-2-ylthio)-N′-(5-methoxy-2-oxoindolin-3-ylidene)acetohydrazide (5d)

Synthesis of (E/Z)-2-(benzo[d]oxazol-2-ylthio)-N′-(5-chloro-2-oxoindolin-3-ylidene)acetohydrazide (5e)

Synthesis of (E/Z)-2-(benzo[d]oxazol-2-ylthio)-N′-(5-fluoro-2-oxoindolin-3-ylidene)acetohydrazide (5f)

Synthesis of (E/Z)-2-(benzo[d]oxazol-2-ylthio)-N′-((thiophen-2-yl)methylene)acetohydrazide (6a)

Synthesis of (E/Z)-N′-((1H-pyrrol-2-yl)methylene)-2-(benzo[d]oxazol-2-ylthio)acetohydrazide (6b)
3.2. Biological Evaluation
3.2.1. Cytotoxicity Assay
3.2.2. In Vitro CDK2, EGFR, HER2, and VEGFR-2 Enzyme Assays
3.2.3. Determination of Apoptosis-Related Proteins
3.2.4. Cell-Cycle Flow Cytometry Analysis
3.2.5. Annexin V-FITC Dual-Staining Apoptosis Analysis
4. Conclusions
Supplementary Materials
Author Contributions
Funding
Institutional Review Board Statement
Informed Consent Statement
Data Availability Statement
Acknowledgments
Conflicts of Interest
References
- Bray, F.; Ferlay, J.; Soerjomataram, I.; Siegel, R.L.; Torre, L.A.; Jemal, A. Global cancer statistics 2018: Globocan estimates of incidence and mortality worldwide for 36 cancers in 185 countries. CA. Cancer J. Clin. 2018, 68, 394–424. [Google Scholar] [CrossRef] [PubMed]
- Lortet-Tieulent, J.; Georges, D.; Bray, F.; Vaccarella, S. Profiling global cancer incidence and mortality by socioeconomic development. Int. J. Cancer 2020, 147, 3029–3036. [Google Scholar] [CrossRef] [PubMed]
- Boussari, O.; Romain, G.; Remontet, L.; Bossard, N.; Mounier, M.; Bouvier, A.M.; Binquet, C.; Colonna, M.; Jooste, V. A new approach to estimate time-to-cure from cancer registries data. Cancer Epidemiol. 2018, 53, 72–80. [Google Scholar] [CrossRef] [PubMed]
- Xi, M.; Chen, T.; Wu, C.; Gao, X.; Wu, Y.; Luo, X.; Du, K.; Yu, L.; Cai, T.; Shen, R.; et al. CDK8 as a therapeutic target for cancers and recent developments in discovery of CDK8 inhibitors. Eur. J. Med. Chem. 2019, 164, 77–91. [Google Scholar] [CrossRef]
- Hanahan, D.; Weinberg, R.A. Hallmarks of cancer: The next generation. Cell 2011, 144, 646–674. [Google Scholar] [CrossRef]
- Abdel-Aziz, A.A.-M.; El-Azab, A.S.; El-Subbagh, H.I.; Al-Obaid, A.M.; Alanazi, A.M.; Al-Omar, M.A. Design, synthesis, single-crystal and preliminary antitumor activity of novel arenesulfonylimidazolidin-2-ones. Bioorg. Med. Chem. Lett. 2012, 22, 2008–2014. [Google Scholar] [CrossRef]
- Liu, F.S. Mechanisms of chemotherapeutic drug resistance in cancer therapy--a quick review. Taiwan. J. Obstet. Gynecol. 2009, 48, 239–244. [Google Scholar] [CrossRef]
- Mghwary, A.E.S.; Gedawy, E.M.; Kamal, A.M.; Abuel-Maaty, S.M. Novel thienopyrimidine derivatives as dual EGFR and VEGFR-2 inhibitors: Design, synthesis, anticancer activity and effect on cell cycle profile. J. Enzyme Inhib. Med. Chem. 2019, 34, 838–852. [Google Scholar] [CrossRef]
- Paul, M.D.; Hristova, K. Interactions between Ligand-Bound EGFR and VEGFR2. J. Mol. Biol. 2021, 433, 167006. [Google Scholar] [CrossRef]
- Riess, C.; Irmscher, N.; Salewski, I.; Strüder, D.; Classen, C.F.; Große-Thie, C.; Junghanss, C.; Maletzki, C. Cyclin-dependent kinase inhibitors in head and neck cancer and glioblastoma-backbone or add-on in immune-oncology? Cancer Metastasis Rev. 2021, 40, 153–171. [Google Scholar] [CrossRef]
- Chohan, T.A.; Qayyum, A.; Rehman, K.; Tariq, M.; Akash, M.S.H. An Insight into the Emerging Role of Cyclin-Dependent Kinase Inhibitors as Potential Therapeutic Agents for the Treatment of Advanced Cancers. Biomed. Pharmacother. 2018, 107, 1326–1341. [Google Scholar] [CrossRef] [PubMed]
- Abd El-Sattar, N.E.A.; Badawy, E.H.K.; AbdEl-Hady, W.H.; Abo-Alkasem, M.I.; Mandour, A.A.; Ismail, N.S.M. Design and Synthesis of New CDK2 Inhibitors Containing Thiazolone and Thiazolthione Scafold with Apoptotic Activity. Chem. Pharm. Bull. 2021, 69, 106–117. [Google Scholar] [CrossRef] [PubMed]
- Kakkar, S.; Tahlan, S.; Lim, S.M.; Ramasamy, K.; Mani, V.; Shah, S.A.A.; Narasimhan, B. Benzoxazole derivatives: Design, synthesis and biological evaluation. Chem. Cent. J. 2018, 12, 92. [Google Scholar] [CrossRef] [PubMed]
- Vijesh, A.M.; Isloor, A.M.; Shetty, P.; Sundershan, S.; Fun, H.K. New pyrazole derivatives containing 1,2,4-triazoles and benzoxazoles as potent antimicrobial and analgesic agents. Eur. J. Med. Chem. 2013, 62, 410–415. [Google Scholar] [CrossRef] [PubMed]
- Thota, S.; Rodrigues, D.A.; Pinheiro, P. de S.M.; Lima, L.M.; Fraga, C.A.M.; Barreiro, E.J. N-Acylhydrazones as drugs. Bioorg. Med. Chem. Lett. 2018, 28, 2797–2806. [Google Scholar] [CrossRef]
- Guay, D.R. An update on the role of nitrofurans in the management of urinary tract infections. Drugs 2001, 61, 353–364. [Google Scholar] [CrossRef]
- Basile, M.; Gidaro, S.; Pacella, M.; Biffignandi, P.M.; Gidaro, G.S. Parenteral Troxerutin and Carbazochrome Combination in the Treatment of Post-hemorrhoidectomy Status: A Randomized, Double-blind, Placebo-controlled, Phase IV Study. Curr. Med. Res. Opin. 2001, 17, 256–261. [Google Scholar] [CrossRef]
- Alanazi, M.M.; Mahdy, H.A.; Alsaif, N.A.; Obaidullah, A.J.; Alkahtani, H.M.; Al-Mehizia, A.A.; Alsubaie, S.M.; Dahab, M.A.; Eissa, I.H. New bis([1,2,4]triazolo)[4,3-a:3′,4′-c]quinoxaline derivatives as VEGFR-2 inhibitors and apoptosis inducers: Design, synthesis, in silico studies, and anticancer evaluation. Bioorg. Chem. 2021, 112, 104949. [Google Scholar] [CrossRef] [PubMed]
- Alanazi, M.M.; Elkady, H.; Alsaif, N.A.; Obaidullah, A.J.; Alkahtani, H.M.; Alanazi, M.M.; Alharbi, M.A.; Eissa, I.H.; Dahab, M.A. New quinoxaline-based VEGFR-2 inhibitors: Design, synthesis, and antiproliferative evaluation with in silico docking, ADMET, toxicity, and DFT studies. RSC Adv. 2021, 11, 30315–30328. [Google Scholar] [CrossRef]
- Alanazi, M.M.; Elkady, H.; Alsaif, N.A.; Obaidullah, A.J.; Alanazi, W.A.; Al-Hossaini, A.M.; Alharbi, M.A.; Eissa, I.H.; Dahab, M.A. Discovery of new quinoxaline-based derivatives as anticancer agents and potent VEGFR-2 inhibitors: Design, synthesis, and in silico study. J. Mol. Struct. 2022, 1253, 132220. [Google Scholar] [CrossRef]
- Alanazi, M.M.; Eissa, I.H.; Alsaif, N.A.; Obaidullah, A.J.; Alanazi, W.A.; Alasmari, A.F.; Albassam, H.; Elkady, H.; Elwan, A. Design, synthesis, docking, ADMET studies, and anticancer evaluation of new 3-methylquinoxaline derivatives as VEGFR-2 inhibitors and apoptosis inducers. J. Enzyme Inhib. Med. Chem. 2021, 36, 1760–1782. [Google Scholar] [CrossRef] [PubMed]
- Alanazi, M.M.; Alaa, E.; Alsaif, N.A.; Obaidullah, A.J.; Alkahtani, H.M.; Al-Mehizia, A.A.; Alsubaie, S.M.; Taghour, M.S.; Eissa, I.H. Discovery of new 3-methylquinoxalines as potential anti-cancer agents and apoptosis inducers targeting VEGFR-2: Design, synthesis, and in silico studies. J. Enzyme Inhib. Med. Chem. 2021, 36, 1732–1750. [Google Scholar] [CrossRef] [PubMed]
- Alkahtani, H.M.; Alanazi, M.M.; Aleanizy, F.S.; Alqahtani, F.Y.; Alhoshani, A.; Alanazi, F.E.; Almehizia, A.A.; Abdalla, A.N.; Alanazi, M.G.; El-Azab, A.S.; et al. Synthesis, anticancer, apoptosis-inducing activities and EGFR and VEGFR2 assay mechanistic studies of 5,5-diphenylimidazolidine-2,4-dione derivatives: Molecular docking studies. Saudi Pharm. J. 2019, 27, 682–693. [Google Scholar] [CrossRef] [PubMed]
- Andreani, A.; Burnelli, S.; Granaiola, M.; Leoni, A.; Locatelli, A.; Morigi, R.; Rambaldi, M.; Varoli, L.; Cremonini, M.A.; Placucci, G.; et al. New isatin derivatives with antioxidant activity. Eur. J. Med. Chem. 2010, 45, 1374–1378. [Google Scholar] [CrossRef]
- Raj, R.; Gut, J.; Rosenthal, P.J.; Kumar, V. 1H-1,2,3-Triazole-tethered isatin-7-chloroquinoline and 3-hydroxy-indole-7-chloroquinoline conjugates: Synthesis and antimalarial evaluation. Bioorg. Med. Chem. Lett. 2014, 24, 756–759. [Google Scholar] [CrossRef]
- Han, K.; Zhou, Y.; Liu, F.; Guo, Q.; Wang, P.; Yang, Y.; Song, B.; Liu, W.; Yao, Q.; Teng, Y.; et al. Design, synthesis and in vitro cytotoxicity evaluation of 5-(2-carboxyethenyl)isatin derivatives as anticancer agents. Bioorg. Med. Chem. Lett. 2014, 24, 591–594. [Google Scholar] [CrossRef]
- Eldehna, W.M.; Altoukhy, A.; Mahrous, H.; Abdel-Aziz, H.A. Design, synthesis and QSAR study of certain isatin-pyridine hybrids as potential anti-proliferative agents. Eur. J. Med. Chem. 2015, 90, 684–694. [Google Scholar] [CrossRef]
- Medvedev, A.; Igosheva, N.; Crumeyrolle-Arias, M.; Glover, V. Isatin: Role in stress and anxiety. Stress 2005, 8, 175–183. [Google Scholar] [CrossRef]
- Rodríguez-Argüelles, M.C.; Cao, R.; García-Deibe, A.M.; Pelizzi, C.; Sanmartín-Matalobos, J.; Zani, F. Antibacterial and antifungal activity of metal (II) complexes of acylhydrazones of 3-isatin and 3-(N-methyl)isatin. Polyhedron 2009, 11, 2187–2195. [Google Scholar] [CrossRef]
- Bharathi Dileepan, A.G.; Daniel Prakash, T.; Ganesh Kumar, A.; Shameela Rajam, P.; Violet Dhayabaran, V.; Rajaram, R. Isatin based macrocyclic Schiff base ligands as novel candidates for antimicrobial and antioxidant drug design: In vitro DNA binding and biological studies. J. Photochem. Photobiol. B 2018, 183, 191–200. [Google Scholar] [CrossRef]
- Atkins, M.; Jones, C.A.; Kirkpatrick, P. Sunitinib maleate. Nat. Rev. Drug Discov. 2006, 5, 279–280. [Google Scholar] [CrossRef] [PubMed]
- London, C.A.; Malpas, P.B.; Wood-Follis, S.L.; Boucher, J.F.; Rusk, A.W.; Rosenberg, M.P.; Henry, C.J.; Mitchener, K.L.; Klein, M.K.; Hintermeister, J.G.; et al. Multi-center, placebo-controlled, double-blind, randomized study of oral toceranib phosphate (SU11654), a receptor tyrosine kinase inhibitor, for the treatment of dogs with recurrent (either local or distant) mast cell tumor following surgical excision. Clin. Cancer Res. 2009, 15, 3856–3865. [Google Scholar] [CrossRef] [PubMed]
- Levenson, A.S.; Jordan, V. MCF-7: The First Hormone-Responsive Breast Cancer Cell Line. Cancer Res. 1997, 57, 3071. [Google Scholar]
- Gerets, H.H.J.; Tilmant, K.; Gerin, B.; Chanteux, H.; Depelchin, B.O.; Dhalluin, S.; Atienzar, F.A. Characterization of primary human hepatocytes, HepG2 cells, and HepaRG cells at the mRNA level and CYP activity in response to inducers and their predictivity for the detection of human hepatotoxins. Cell Biol. Toxicol. 2012, 28, 69–87. [Google Scholar] [CrossRef]
- Lyapun, I.N.; Andryukov, B.G.; Bynina, M.P. HeLa Cell Culture: Immortal Heritage of Henrietta Lacks. Mol. Genet. Microbiol. Virol. 2019, 34, 195–200. [Google Scholar] [CrossRef]
- Welsh, J.E. Animal Models for Studying Prevention and Treatment of Breast Cancer. Anim. Model. Study Hum. Dis. 2013, 997–1018. [Google Scholar] [CrossRef]
- Hao, Z.; Sadek, I. Sunitinib: The antiangiogenic effects and beyond. Onco. Targets. Ther. 2016, 9, 5495–5505. [Google Scholar] [CrossRef]
- Mphahlele, M.J.; Magwaza, N.M.; Gildenhuys, S.; Setshedi, I.B. Synthesis, α-glucosidase inhibition and antioxidant activity of the 7-carbo–substituted 5-bromo-3-methylindazoles. Bioorg. Chem. 2020, 97, 103702. [Google Scholar] [CrossRef] [PubMed]
- Goldsmith, K.C.; Gross, M.; Peirce, S.; Luyindula, D.; Liu, X.; Vu, A.; Sliozberg, M.; Guo, R.; Zhao, H.; Reynolds, C.P.; et al. Mitochondrial Bcl-2 family dynamics define therapy response and resistance in neuroblastoma. Cancer Res. 2012, 72, 2565–2577. [Google Scholar] [CrossRef]
- Dabrowska, C.; Li, M.; Fan, Y. Apoptotic Caspases in Promoting Cancer: Implications from Their Roles in Development and Tissue Homeostasis. Adv. Exp. Med. Biol. 2016, 930, 89–112. [Google Scholar] [CrossRef]
- Sharifi, S.; Barar, J.; Hejazi, M.S.; Samadi, N. Roles of the Bcl-2/Bax ratio, caspase-8 and 9 in resistance of breast cancer cells to paclitaxel. Asian Pac. J. Cancer Prev. 2014, 15, 8617–8622. [Google Scholar] [CrossRef] [PubMed]
- Picca, A.; Calvani, R.; Coelho-Junior, H.J.; Marzetti, E. Cell Death and Inflammation: The Role of Mitochondria in Health and Disease. Cells 2021, 10, 537. [Google Scholar] [CrossRef] [PubMed]
- Altntop, M.D.; Özdemir, A.; Turan-Zitouni, G.; Ilgn, S.; Atl, Ö.; Işcan, G.; Kaplanckl, Z.A. Synthesis and biological evaluation of some hydrazone derivatives as new anticandidal and anticancer agents. Eur. J. Med. Chem. 2012, 58, 299–307. [Google Scholar] [CrossRef]
- El-Moghazy, S.M.; Barsoum, F.F.; Abdel-Rahman, H.M.; Marzouk, A.A. Synthesis and anti-inflammatory activity of some pyrazole derivatives. Med. Chem. Res. 2011, 21, 1722–1733. [Google Scholar] [CrossRef]
- Rida, S.M.; Ashour, F.A.; El-Hawash, S.A.M.; ElSemary, M.M.; Badr, M.H.; Shalaby, M.A. Synthesis of some novel benzoxazole derivatives as anticancer, anti-HIV-1 and antimicrobial agents. Eur. J. Med. Chem. 2005, 40, 949–959. [Google Scholar] [CrossRef]
- Srivastava, S.K.; Jain, A.; Srivastava, S.D. Synthesis and biological significance of 2-mercaptobenzoxazole derivatives. J. Indian Chem. Soc. 2006, 83, 1118–1123. [Google Scholar] [CrossRef]
- Van Meerloo, J.; Kaspers, G.J.L.; Cloos, J. Cell Sensitivity Assays: The MTT Assay; Humana Press: Totowa, NJ, USA, 2011; pp. 237–245. [Google Scholar] [CrossRef]







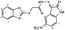
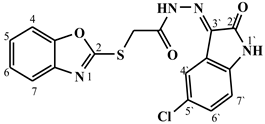
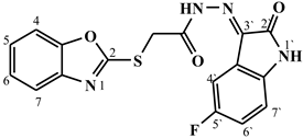
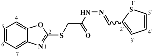
| Code | Structure | E:Z Ratio | Reaction Time (h) | Yield (%) | mp (°C) |
|---|---|---|---|---|---|
| 4a | ![]() | 70:30 | 3 | 86 | 193–195 |
| 4b | ![]() | 70:30 | 3.5 | 81 | 154–156 |
| 4c | ![]() | 71:29 | 3.5 | 74 | 246–248 |
| 4d | ![]() | 64:36 | 5 | 60 | 150–153 |
| 5a | ![]() | 70:30 | 4 | 75 | 223–225 |
| 5b | ![]() | 62:38 | 4.5 | 64 | 230–233 |
| 5c | ![]() | 63:37 | 3.5 | 82 | 165–167 |
| 5d | ![]() | 58:42 | 4 | 71 | 145–147 |
| 5e | ![]() | 67:33 | 3.5 | 83 | 264–267 |
| 5f | ![]() | 67:33 | 4 | 70 | 225–227 |
| 6a | ![]() | 62:38 | 4.5 | 65 | 218–221 |
| 6b | ![]() | 66:34 | 4.5 | 67 | 207–210 |
| No. | Compound | In Vitro Cytotoxicity IC50 (µM) | |||
|---|---|---|---|---|---|
| HepG2 | MCF-7 | MDA-MB-231 | Hela | ||
| 1 | 4a | 81.25 ± 3.7 | 74.18 ± 3.5 | 75.49 ± 3.6 | 67.62 ± 3.4 |
| 2 | 4b | 13.12 ± 1.1 | 15.24 ± 1.2 | 9.72 ± 0.7 | 19.34 ± 1.6 |
| 3 | 4c | 34.50 ± 2.2 | 38.56 ± 2.5 | 21.08 ± 1.6 | 35.20 ± 2.5 |
| 4 | 4d | 9.37 ± 0.7 | 11.13 ± 0.9 | 4.93 ± 0.2 | 12.87 ± 0.9 |
| 5 | 5a | 18.03 ± 1.3 | 23.47 ± 1.8 | 14.56 ± 1.2 | 28.91 ± 2.0 |
| 6 | 5b | 41.69 ± 2.4 | 27.39 ± 2.0 | 36.20 ± 2.4 | 31.54 ± 2.3 |
| 7 | 5c | 56.22 ± 2.9 | 48.26 ± 2.8 | 62.35 ± 3.1 | 50.56 ± 2.9 |
| 8 | 5d | 10.48 ± 0.9 | 7.58 ± 0.6 | 8.44 ± 0.6 | 6.27 ± 0.7 |
| 9 | 5e | 45.16 ± 2.7 | 53.01 ± 3.1 | 51.51 ± 2.8 | 58.39 ± 3.2 |
| 10 | 5f | 63.70 ± 3.2 | 70.30 ± 3.3 | 68.06 ± 3.5 | 59.18 ± 3.1 |
| 11 | 6a | 26.45 ± 1.8 | 42.87 ± 2.8 | 30.82 ± 2.2 | 46.37 ± 2.7 |
| 12 | 6b | 6.83 ± 0.4 | 3.64 ± 0.2 | 2.14 ± 0.1 | 5.18 ± 0.5 |
| Doxorubicin | 4.50 ± 0.2 | 4.17 ± 0.2 | 3.18 ± 0.1 | 5.57 ± 0.4 | |
| Sunitinib | 6.82 ± 0.5 | 5.19 ± 0.4 | 8.41 ± 0.7 | 7.48 ± 0.6 | |
| Compound | Kinase Protein | IC50 (μM) |
|---|---|---|
| 6b | CDK2 | 0.886 ± 0.046 |
| Roscovitine | 0.143 ± 0.007 | |
| Sunitinib | 0.186 ± 0.01 | |
| 6b | EGFR | 0.279 ± 0.017 |
| Erlotinib | 0.041 ± 0.003 | |
| Sunitinib | 0.067 ± 0.004 | |
| 6b | HER2 | 0.224 ± 0.013 |
| Lapatinib | 0.051 ± 0.003 | |
| Sunitinib | 0.072 ± 0.004 | |
| 6b | VEGFR2 | 0.565 ± 0.025 |
| Sorafenib | 0.049 ± 0.002 | |
| Sunitinib | 0.105 ± 0.005 |
| Compound/Cell Line | Protein | Expression (Pg/mL) | Fold |
|---|---|---|---|
| 6b/HepG2 | Bax | 448.4 ± 15.4 | 5.34 |
| Control HepG2 | 83.88 ± 23 | 1 | |
| 6b/HepG2 | Bcl-2 | 2.822 ± 0.21 | 0.26 |
| Control HepG2 | 10.67 ± 0.83 | 1 | |
| 6b/HepG2 | Caspase-3 | 467.6 ± 24 | 5.02 |
| Control HepG2 | 93.23 ± 15.5 | 1 | |
| 6b/HepG2 | Caspase-9 | 15.82 ± 0.51 | 3.5 |
| Control HepG2 | 4.52 ± 1.27 | 1 |
| Compound/Cell Line | %Pre–G1 | %G0–G1 | %S | %G2/M |
|---|---|---|---|---|
| 6b/HEPG2 | 16.84 | 40.37 | 28.37 | 31.26 |
| Cont. HepG2 | 2.02 | 49.72 | 43.16 | 7.12 |
| Compound | Early Apoptosis (Lower Right %) | Late Apoptosis (Upper Right %) | Necrosis (Upper Left %) | Total (%) |
|---|---|---|---|---|
| 6b | 1.64 | 10.91 | 4.29 | 16.84 |
| Control | 0.38 | 0.19 | 1.45 | 2.02 |
Disclaimer/Publisher’s Note: The statements, opinions and data contained in all publications are solely those of the individual author(s) and contributor(s) and not of MDPI and/or the editor(s). MDPI and/or the editor(s) disclaim responsibility for any injury to people or property resulting from any ideas, methods, instructions or products referred to in the content. |
© 2023 by the authors. Licensee MDPI, Basel, Switzerland. This article is an open access article distributed under the terms and conditions of the Creative Commons Attribution (CC BY) license (https://creativecommons.org/licenses/by/4.0/).
Share and Cite
Alanazi, M.M.; Aldawas, S.; Alsaif, N.A. Design, Synthesis, and Biological Evaluation of 2-Mercaptobenzoxazole Derivatives as Potential Multi-Kinase Inhibitors. Pharmaceuticals 2023, 16, 97. https://doi.org/10.3390/ph16010097
Alanazi MM, Aldawas S, Alsaif NA. Design, Synthesis, and Biological Evaluation of 2-Mercaptobenzoxazole Derivatives as Potential Multi-Kinase Inhibitors. Pharmaceuticals. 2023; 16(1):97. https://doi.org/10.3390/ph16010097
Chicago/Turabian StyleAlanazi, Mohammed M., Saleh Aldawas, and Nawaf A. Alsaif. 2023. "Design, Synthesis, and Biological Evaluation of 2-Mercaptobenzoxazole Derivatives as Potential Multi-Kinase Inhibitors" Pharmaceuticals 16, no. 1: 97. https://doi.org/10.3390/ph16010097
APA StyleAlanazi, M. M., Aldawas, S., & Alsaif, N. A. (2023). Design, Synthesis, and Biological Evaluation of 2-Mercaptobenzoxazole Derivatives as Potential Multi-Kinase Inhibitors. Pharmaceuticals, 16(1), 97. https://doi.org/10.3390/ph16010097













