Cardiovascular Toxicities of Ibrutinib: A Pharmacovigilance Study Based on the United States Food and Drug Administration Adverse Event Reporting System Database
Abstract
1. Introduction
2. Results
2.1. Baseline Characteristics
2.2. Disproportionality Analysis
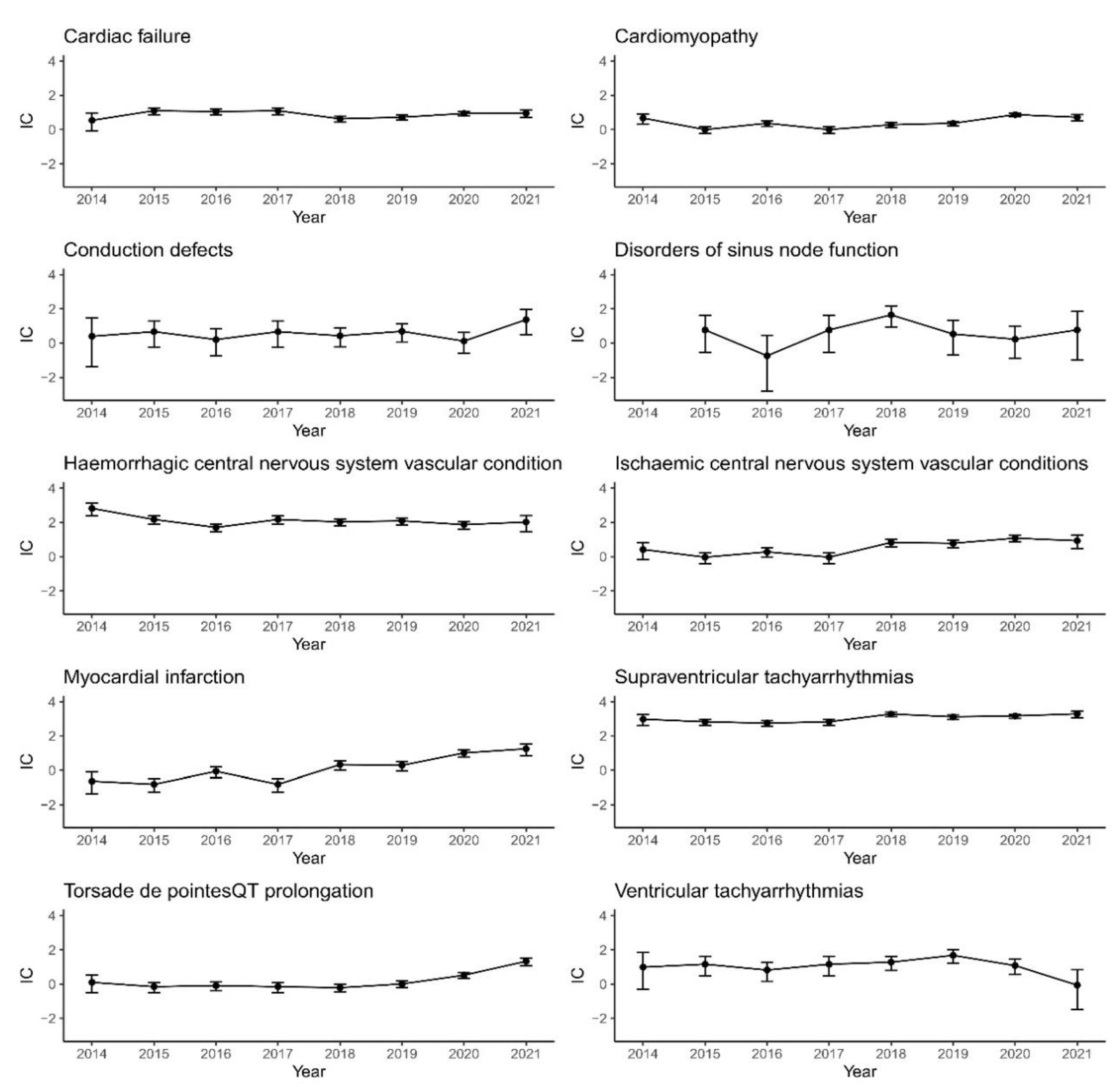
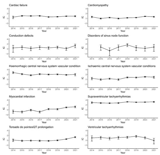
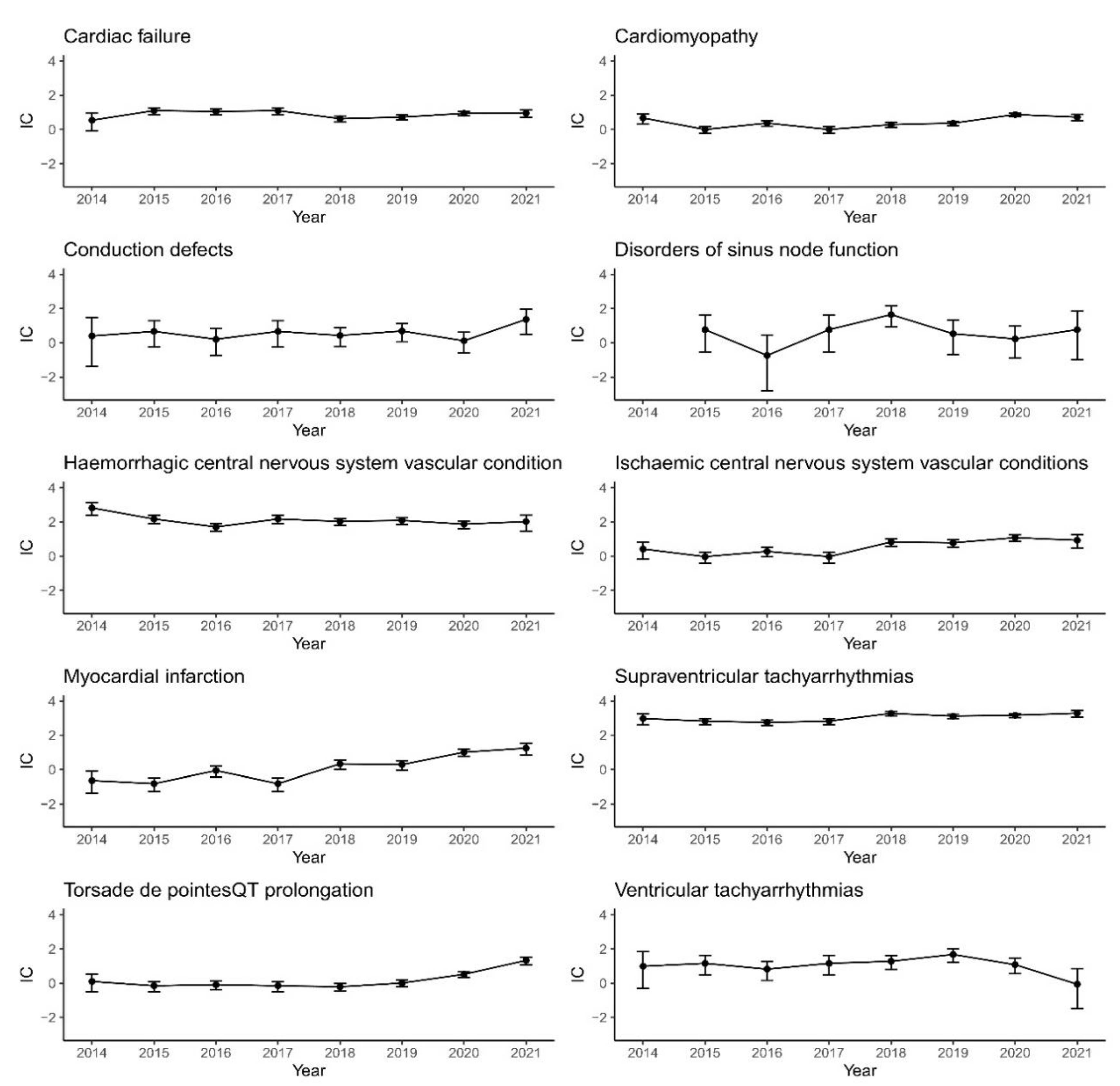
2.3. TTO
2.4. Outcome
3. Discussion
4. Limitations
5. Methods
5.1. Study Design and Database
5.2. Data Cleaning
5.3. Statistical Analysis
6. Conclusions
Supplementary Materials
Author Contributions
Funding
Institutional Review Board Statement
Informed Consent Statement
Data Availability Statement
Conflicts of Interest
Abbreviation
| Adverse event | Abbreviation |
| Supraventricular tachyarrhythmias | SVT |
| Haemorrhagic central nervous system vascular conditions | Haemorrhagic-CNS |
| Ventricular tachyarrhythmias | VT |
| Cardiac failure | CF |
| Ischaemic central nervous system vascular conditions | Ischaemic-CNS |
| Disorders of sinus node function | DSN |
| Cardiomyopathy | CM |
| Conduction defects | CD |
| Myocardial infarction | MI |
| Torsade de pointes/QT prolongation | Tdp/QTp |
References
- Burger, J.A.; Tedeschi, A.; Barr, P.M.; Robak, T.; Owen, C.; Ghia, P.; Bairey, O.; Hillmen, P.; Bartlett, N.L.; Li, J.; et al. Ibrutinib as Initial Therapy for Patients with Chronic Lymphocytic Leukemia. New Engl. J. Med. 2015, 373, 2425–2437. [Google Scholar] [CrossRef] [PubMed]
- Byrd, J.C.; Furman, R.R.; Coutre, S.E.; Flinn, I.W.; Burger, J.A.; Blum, K.A.; Grant, B.; Sharman, J.P.; Coleman, M.; Wierda, W.G.; et al. Targeting BTK with ibrutinib in relapsed chronic lymphocytic leukemia. New Engl. J. Med. 2013, 369, 32–42. [Google Scholar] [CrossRef]
- Davis, R.E.; Ngo, V.N.; Lenz, G.; Tolar, P.; Young, R.M.; Romesser, P.B.; Kohlhammer, H.; Lamy, L.; Zhao, H.; Yang, Y.; et al. Chronic active B-cell-receptor signalling in diffuse large B-cell lymphoma. Nature 2010, 463, 88–92. [Google Scholar] [CrossRef]
- Ganatra, S.; Sharma, A.; Shah, S.; Chaudhry, G.M.; Martin, D.T.; Neilan, T.G.; Mahmood, S.S.; Barac, A.; Groarke, J.D.; Hayek, S.S.; et al. Ibrutinib-Associated Atrial Fibrillation. JACC. Clin. Electrophysiol. 2018, 4, 1491–1500. [Google Scholar] [CrossRef] [PubMed]
- Miklos, D.; Cutler, C.S.; Arora, M.; Waller, E.K.; Jagasia, M.; Pusic, I.; Flowers, M.E.; Logan, A.C.; Nakamura, R.; Blazar, B.R.; et al. Ibrutinib for chronic graft-versus-host disease after failure of prior therapy. Blood 2017, 130, 2243–2250. [Google Scholar] [CrossRef]
- Treon, S.P.; Tripsas, C.K.; Meid, K.; Warren, D.; Varma, G.; Green, R.; Argyropoulos, K.V.; Yang, G.; Cao, Y.; Xu, L.; et al. Ibrutinib in previously treated Waldenström's macroglobulinemia. New Engl. J. Med. 2015, 372, 1430–1440. [Google Scholar] [CrossRef]
- Brown, J.R.; Hillmen, P.; O'Brien, S.; Barrientos, J.C.; Reddy, N.M.; Coutre, S.E.; Tam, C.S.; Mulligan, S.P.; Jaeger, U.; Barr, P.M.; et al. Extended follow-up and impact of high-risk prognostic factors from the phase 3 RESONATE study in patients with previously treated CLL/SLL. Leukemia 2018, 32, 83–91. [Google Scholar] [CrossRef]
- EMC Drug Label. Available online: https://www.medicines.org.uk/emc/ (accessed on 8 January 2020).
- Brown, J.R.; Moslehi, J.; O'Brien, S.; Ghia, P.; Hillmen, P.; Cymbalista, F.; Shanafelt, T.D.; Fraser, G.; Rule, S.; Kipps, T.J.; et al. Characterization of atrial fibrillation adverse events reported in ibrutinib randomized controlled registration trials. Haematologica 2017, 102, 1796–1805. [Google Scholar] [CrossRef]
- Gustine, J.N.; Meid, K.; Dubeau, T.E.; Treon, S.P.; Castillo, J.J. Atrial fibrillation associated with ibrutinib in Waldenström macroglobulinemia. Am. J. Hematol. 2016, 91, E312–E313. [Google Scholar] [CrossRef]
- Thompson, P.A.; Lévy, V.; Tam, C.S.; Al Nawakil, C.; Goudot, F.X.; Quinquenel, A.; Ysebaert, L.; Michallet, A.S.; Dilhuydy, M.S.; Van Den Neste, E.; et al. Atrial fibrillation in CLL patients treated with ibrutinib. An international retrospective study. Br. J. Haematol. 2016, 175, 462–466. [Google Scholar] [CrossRef]
- Leong, D.P.; Caron, F.; Hillis, C.; Duan, A.; Healey, J.S.; Fraser, G.; Siegal, D. The risk of atrial fibrillation with ibrutinib use: A systematic review and meta-analysis. Blood 2016, 128, 138–140. [Google Scholar] [CrossRef] [PubMed]
- Salem, J.E.; Manouchehri, A.; Bretagne, M.; Lebrun-Vignes, B.; Groarke, J.D.; Johnson, D.B.; Yang, T.; Reddy, N.M.; Funck-Brentano, C.; Brown, J.R.; et al. Cardiovascular Toxicities Associated with Ibrutinib. J. Am. Coll. Cardiol. 2019, 74, 1667–1678. [Google Scholar] [CrossRef]
- Woyach, J.A.; Ruppert, A.S.; Heerema, N.A.; Zhao, W.; Booth, A.M.; Ding, W.; Bartlett, N.L.; Brander, D.M.; Barr, P.M.; Rogers, K.A.; et al. Ibrutinib Regimens versus Chemoimmunotherapy in Older Patients with Untreated CLL. New Engl. J. Med. 2018, 379, 2517–2528. [Google Scholar] [CrossRef] [PubMed]
- Kyi, H.H.; Zayed, Y.; Al Hadidi, S. Ibrutinib-induced cardiomyopathy. J. Community Hosp. Intern. Med. Perspect. 2019, 9, 50–52. [Google Scholar] [CrossRef] [PubMed]
- Communications, D.h.p. Available online: https://www.ema.europa.eu/en/human-regulatory/post-authorisation/pharmacovigilance/direct-healthcare-professional-communications (accessed on 22 December 2022).
- Xiao, L.; Salem, J.E.; Clauss, S.; Hanley, A.; Bapat, A.; Hulsmans, M.; Iwamoto, Y.; Wojtkiewicz, G.; Cetinbas, M.; Schloss, M.J.; et al. Ibrutinib-Mediated Atrial Fibrillation Attributable to Inhibition of C-Terminal Src Kinase. Circulation 2020, 142, 2443–2455. [Google Scholar] [CrossRef] [PubMed]
- Okada, M. Regulation of the SRC family kinases by Csk. Int. J. Biol. Sci. 2012, 8, 1385–1397. [Google Scholar] [CrossRef]
- Scheers, E.; Leclercq, L.; de Jong, J.; Bode, N.; Bockx, M.; Laenen, A.; Cuyckens, F.; Skee, D.; Murphy, J.; Sukbuntherng, J.; et al. Absorption, metabolism, and excretion of oral ¹⁴C radiolabeled ibrutinib: An open-label, phase I, single-dose study in healthy men. Drug Metab. Dispos. Biol. Fate Chem. 2015, 43, 289–297. [Google Scholar] [CrossRef]
- Li, X.; Wang, A.; Yu, K.; Qi, Z.; Chen, C.; Wang, W.; Hu, C.; Wu, H.; Wu, J.; Zhao, Z.; et al. Discovery of (R)-1-(3-(4-Amino-3-(4-phenoxyphenyl)-1H-pyrazolo[3,4-d]pyrimidin-1-yl)piperidin-1-yl)-2-(dimethylamino)ethanone (CHMFL-FLT3-122) as a Potent and Orally Available FLT3 Kinase Inhibitor for FLT3-ITD Positive Acute Myeloid Leukemia. J. Med. Chem. 2015, 58, 9625–9638. [Google Scholar] [CrossRef]
- Migdady, I.; Russman, A.; Buletko, A.B. Atrial Fibrillation and Ischemic Stroke: A Clinical Review. Semin. Neurol. 2021, 41, 348–364. [Google Scholar] [CrossRef]
- Lasica, M.; Tam, C.S. Management of Ibrutinib Toxicities: A Practical Guide. Curr. Hematol. Malig. Rep. 2020, 15, 177–186. [Google Scholar] [CrossRef]
- McMullen, J.R.; Boey, E.J.; Ooi, J.Y.; Seymour, J.F.; Keating, M.J.; Tam, C.S. Ibrutinib increases the risk of atrial fibrillation, potentially through inhibition of cardiac PI3K-Akt signaling. Blood 2014, 124, 3829–3830. [Google Scholar] [CrossRef] [PubMed]
- Du, B.; Chakraborty, P.; Azam, M.A.; Massé, S.; Lai, P.F.H.; Niri, A.; Si, D.; Thavendiranathan, P.; Abdel-Qadir, H.; Billia, F.; et al. Acute Effects of Ibrutinib on Ventricular Arrhythmia in Spontaneously Hypertensive Rats. JACC. CardioOncology 2020, 2, 614–629. [Google Scholar] [CrossRef] [PubMed]
- Basso, C.; Iliceto, S.; Thiene, G.; Perazzolo Marra, M. Mitral Valve Prolapse, Ventricular Arrhythmias, and Sudden Death. Circulation 2019, 140, 952–964. [Google Scholar] [CrossRef]
- Holmstrom, L.; Chugh, S.S. How to minimize in-hospital mortality from acute myocardial infarction: Focus on primary prevention of ventricular fibrillation. Eur. Heart J. 2022, 43, 4897–4898. [Google Scholar] [CrossRef]
- Xu, L.; Dong, Q.; Zhang, N.; Lu, K.; Tang, X. Severe Sinus Bradycardia Associated with Ibrutinib: One Rare Case from China. Am. J. Med. Sci. 2021, 361, 803–805. [Google Scholar] [CrossRef] [PubMed]
- Wallace, N.; Wong, E.; Cooper, D.; Chao, H. A case of new-onset cardiomyopathy and ventricular tachycardia in a patient receiving ibrutinib for relapsed mantle cell lymphoma. Clin. Case Rep. 2016, 4, 1120–1121. [Google Scholar] [CrossRef]
- Giza, D.E.; Moudgil, R.; Lopez-Mattei, J.; Kim, P.; Iliescu, C. Association between ibrutinib and mid-cavitary Takotsubo cardiomyopathy: A case report and a review of chemotherapy-induced Takostubo's cardiomyopathy. Eur. Heart J. Case Rep. 2017, 1, ytx006. [Google Scholar] [CrossRef]
- Bodi, I.; Mikala, G.; Koch, S.E.; Akhter, S.A.; Schwartz, A. The L-type calcium channel in the heart: The beat goes on. J. Clin. Investig. 2005, 115, 3306–3317. [Google Scholar] [CrossRef]
- Wasserstrum, Y.; Raanani, P.; Kornowski, R.; Iakobishvili, Z. Concomitant Treatment with Ibrutinib and Amiodarone Causing Reversible Heart Failure Syndrome. Isr. Med. Assoc. J. 2016, 18, 433–434. [Google Scholar]
- Shatzel, J.J.; Olson, S.R.; Tao, D.L.; McCarty, O.J.T.; Danilov, A.V.; DeLoughery, T.G. Ibrutinib-associated bleeding: Pathogenesis, management and risk reduction strategies. J. Thromb. Haemost. 2017, 15, 835–847. [Google Scholar] [CrossRef]
- Honigberg, L.A.; Smith, A.M.; Sirisawad, M.; Verner, E.; Loury, D.; Chang, B.; Li, S.; Pan, Z.; Thamm, D.H.; Miller, R.A.; et al. The Bruton tyrosine kinase inhibitor PCI-32765 blocks B-cell activation and is efficacious in models of autoimmune disease and B-cell malignancy. Proc. Natl. Acad. Sci. USA 2010, 107, 13075–13080. [Google Scholar] [CrossRef]
- Soriani, A.; Moran, B.; de Virgilio, M.; Kawakami, T.; Altman, A.; Lowell, C.; Eto, K.; Shattil, S.J. A role for PKCtheta in outside-in alpha(IIb)beta3 signaling. J. Thromb. Haemost. 2006, 4, 648–655. [Google Scholar] [CrossRef]
- Dickerson, T.; Wiczer, T.; Waller, A.; Philippon, J.; Porter, K.; Haddad, D.; Guha, A.; Rogers, K.A.; Bhat, S.; Byrd, J.C.; et al. Hypertension and incident cardiovascular events following ibrutinib initiation. Blood 2019, 134, 1919–1928. [Google Scholar] [CrossRef]
- Lee, D.H.; Hawk, F.; Seok, K.; Gliksman, M.; Emole, J.; Rhea, I.B.; Viganego, F.; Welter-Frost, A.; Armanious, M.; Shah, B.; et al. Association between ibrutinib treatment and hypertension. Heart 2022, 108, 445–450. [Google Scholar] [CrossRef]
- Wan, Q.; Li, Q.; Lai, X.; Xu, T.; Hu, J.; Peng, H. Data mining and safety analysis of BTK inhibitors: A pharmacovigilance investigation based on the FAERS database. Front. Pharmacol. 2022, 13, 995522. [Google Scholar] [CrossRef]
- Ji, H.H.; Tang, X.W.; Dong, Z.; Song, L.; Jia, Y.T. Adverse Event Profiles of Anti-CTLA-4 and Anti-PD-1 Monoclonal Antibodies Alone or in Combination: Analysis of Spontaneous Reports Submitted to FAERS. Clin. Drug Investig. 2019, 39, 319–330. [Google Scholar] [CrossRef]
- Zhai, Y.; Ye, X.; Hu, F.; Xu, J.; Guo, X.; Cao, Y.; Lin, Z.; Zhou, X.; Guo, Z.; He, J. Cardiovascular Toxicity of Carfilzomib: The Real-World Evidence Based on the Adverse Event Reporting System Database of the FDA, the United States. Front. Cardiovasc. Med. 2021, 8, 735466. [Google Scholar] [CrossRef]
- Courtois, É.; Pariente, A.; Salvo, F.; Volatier, É.; Tubert-Bitter, P.; Ahmed, I. Propensity Score-Based Approaches in High Dimension for Pharmacovigilance Signal Detection: An Empirical Comparison on the French Spontaneous Reporting Database. Front. Pharmacol. 2018, 9, 1010. [Google Scholar] [CrossRef] [PubMed]
- Huang, J.; Meng, L.; Yang, B.; Sun, S.; Luo, Z.; Chen, H. Safety Profile of Epidermal Growth Factor Receptor Tyrosine Kinase Inhibitors: A Disproportionality Analysis of FDA Adverse Event Reporting System. Sci. Rep. 2020, 10, 4803. [Google Scholar] [CrossRef]
- Almenoff, J.S.; Pattishall, E.N.; Gibbs, T.G.; DuMouchel, W.; Evans, S.J.; Yuen, N. Novel statistical tools for monitoring the safety of marketed drugs. Clin. Pharmacol. Ther. 2007, 82, 157–166. [Google Scholar] [CrossRef]
- Zheng, Y.; Zhou, W.; Guo, X.; Chi, L.; Chen, C.; Guo, Z.; Liang, J.; Wei, L.; Chen, X.; Ye, X.; et al. Drug-induced Stevens-Johnson syndrome: A disproportionality analysis from the pharmacovigilance database of the World Health Organization. Expert Opin. Drug Saf. 2022, 21, 1127–1133. [Google Scholar] [CrossRef]
- Ang, P.S.; Chen, Z.; Chan, C.L.; Tai, B.C. Data mining spontaneous adverse drug event reports for safety signals in Singapore—A comparison of three different disproportionality measures. Expert Opin. Drug Saf. 2016, 15, 583–590. [Google Scholar] [CrossRef]
- Norén, G.N.; Hopstadius, J.; Bate, A. Shrinkage observed-to-expected ratios for robust and transparent large-scale pattern discovery. Stat. Methods Med. Res. 2013, 22, 57–69. [Google Scholar] [CrossRef] [PubMed]



| Characteristics | Ibrutinib |
|---|---|
| Sex | |
| Data available | 40,230 |
| Male | 25,179 (62.6) |
| Female | 15,051 (37.4) |
| Age | |
| Data available | 23,721 |
| <45 | 487 (2.1) |
| <60 | 2824 (11.9) |
| ≥60 | 20,410 (86.0) |
| Report country | |
| Data available | 43,149 |
| USA | 31,962 (74.1) |
| France | 1540 (3.6) |
| Canada | 1388 (3.2) |
| UK | 1012 (2.3) |
| Germany | 910 (2.1) |
| Others | 6337 (14.7) |
| Outcome | |
| Data available | 34,235 |
| Hospitalisation—Initial or Prolonged | 14,167 (41.4) |
| Death | 7178 (21.0) |
| Disability | 272 (0.8) |
| Life-Threatening | 253 (0.7) |
| Other Serious (Important Medical Event) | 12,365 (36.1) |
| Indication | |
| Data available | 43,350 |
| CLL | 21,218 (48.9) |
| MCL | 3728 (8.6) |
| WM | 2636 (6.1) |
| NHL | 864 (2.0) |
| B-CLL | 790 (1.8) |
| Others | 14,114 (32.6) |
| Doses | |
| Data available | 34,281 |
| 140 | 3690 (10.8) |
| 280 | 4019 (11.7) |
| 420 | 21,364 (62.3) |
| 560 | 4384 (12.8) |
| Others | 824 (2.4) |
| TTO | |
| Data available | 2592 |
| Median days | 99 |
| Q1–Q3 * | 28–335 |
| SMQ | Frequency | IC (95%CI) | ROR (95%CI) | SMQ Code |
|---|---|---|---|---|
| Supraventricular tachyarrhythmias | 2557 | 3.09 (3.02–3.13) | 8.49 (8.16–8.83) | 20000057 |
| Haemorrhagic central nervous system vascular conditions | 1080 | 2.13 (2.03–2.2) | 4.37 (4.11–4.64) | 20000064 |
| Ventricular tachyarrhythmias | 226 | 1.18 (0.96–1.34) | 2.27 (1.99–2.58) | 20000058 |
| Cardiac failure | 1887 | 0.92 (0.84–0.97) | 1.89 (1.8–1.98) | 20000004 |
| Ischaemic central nervous system vascular conditions | 899 | 0.74 (0.63–0.82) | 1.67 (1.57–1.79) | 20000063 |
| Disorders of sinus node function | 51 | 0.53 (0.07–0.87) | 1.45 (1.1–1.91) | 20000055 |
| Cardiomyopathy | 2641 | 0.49 (0.43–0.54) | 1.41 (1.35–1.46) | 20000150 |
| Conduction defects | 130 | 0.49 (0.2–0.7) | 1.4 (1.18–1.66) | 20000056 |
| Myocardial infarction | 629 | 0.26 (0.12–0.35) | 1.19 (1.1–1.29) | 20000047 |
| Torsade de pointes/QT prolongation | 1104 | 0.17 (0.07–0.24) | 1.12 (1.06–1.19) | 20000001 |
| Embolic and thrombotic events, arterial | 136 | 0 (−0.28–0.21) | 1 (0.85–1.19) | 20000082 |
| Embolic and thrombotic events, venous | 433 | 0 (−0.16–0.12) | 1 (0.91–1.1) | 20000083 |
| Hypertension | 1299 | −0.05 (−0.14–0.02) | 0.97 (0.92–1.02) | 20000147 |
| Conditions associated with central nervous system haemorrhages and cerebrovascular accidents | 200 | −0.17 (−0.41–0) | 0.89 (0.77–1.02) | 20000166 |
| Pulmonary hypertension | 1436 | −0.38 (−0.47–−0.32) | 0.77 (0.73–0.81) | 20000130 |
| Embolic and thrombotic events, vessel type unspecified and mixed arterial and venous | 344 | −0.67 (−0.85–−0.54) | 0.63 (0.56–0.7) | 20000083 |
Disclaimer/Publisher’s Note: The statements, opinions and data contained in all publications are solely those of the individual author(s) and contributor(s) and not of MDPI and/or the editor(s). MDPI and/or the editor(s) disclaim responsibility for any injury to people or property resulting from any ideas, methods, instructions or products referred to in the content. |
© 2023 by the authors. Licensee MDPI, Basel, Switzerland. This article is an open access article distributed under the terms and conditions of the Creative Commons Attribution (CC BY) license (https://creativecommons.org/licenses/by/4.0/).
Share and Cite
Zheng, Y.; Guo, X.; Chen, C.; Chi, L.; Guo, Z.; Liang, J.; Wei, L.; Chen, X.; Ye, X.; He, J. Cardiovascular Toxicities of Ibrutinib: A Pharmacovigilance Study Based on the United States Food and Drug Administration Adverse Event Reporting System Database. Pharmaceuticals 2023, 16, 98. https://doi.org/10.3390/ph16010098
Zheng Y, Guo X, Chen C, Chi L, Guo Z, Liang J, Wei L, Chen X, Ye X, He J. Cardiovascular Toxicities of Ibrutinib: A Pharmacovigilance Study Based on the United States Food and Drug Administration Adverse Event Reporting System Database. Pharmaceuticals. 2023; 16(1):98. https://doi.org/10.3390/ph16010098
Chicago/Turabian StyleZheng, Yi, Xiaojing Guo, Chenxin Chen, Lijie Chi, Zhijian Guo, Jizhou Liang, Lianhui Wei, Xiao Chen, Xiaofei Ye, and Jia He. 2023. "Cardiovascular Toxicities of Ibrutinib: A Pharmacovigilance Study Based on the United States Food and Drug Administration Adverse Event Reporting System Database" Pharmaceuticals 16, no. 1: 98. https://doi.org/10.3390/ph16010098
APA StyleZheng, Y., Guo, X., Chen, C., Chi, L., Guo, Z., Liang, J., Wei, L., Chen, X., Ye, X., & He, J. (2023). Cardiovascular Toxicities of Ibrutinib: A Pharmacovigilance Study Based on the United States Food and Drug Administration Adverse Event Reporting System Database. Pharmaceuticals, 16(1), 98. https://doi.org/10.3390/ph16010098
