Toxicity Profiles of Kleeb Bua Daeng Formula, a Traditional Thai Medicine, and Its Protective Effects on Memory Impairment in Animals
Abstract
1. Introduction
2. Results
2.1. KBD Does Not Induce Cytotoxicity in Human Neuroblastoma Cells (SH-SY5Y)
2.2. KBD Reduced Neuronal Cell Death Induced by Aβ1–42
2.3. KBD Does Not Affect Locomotor Function in Rats
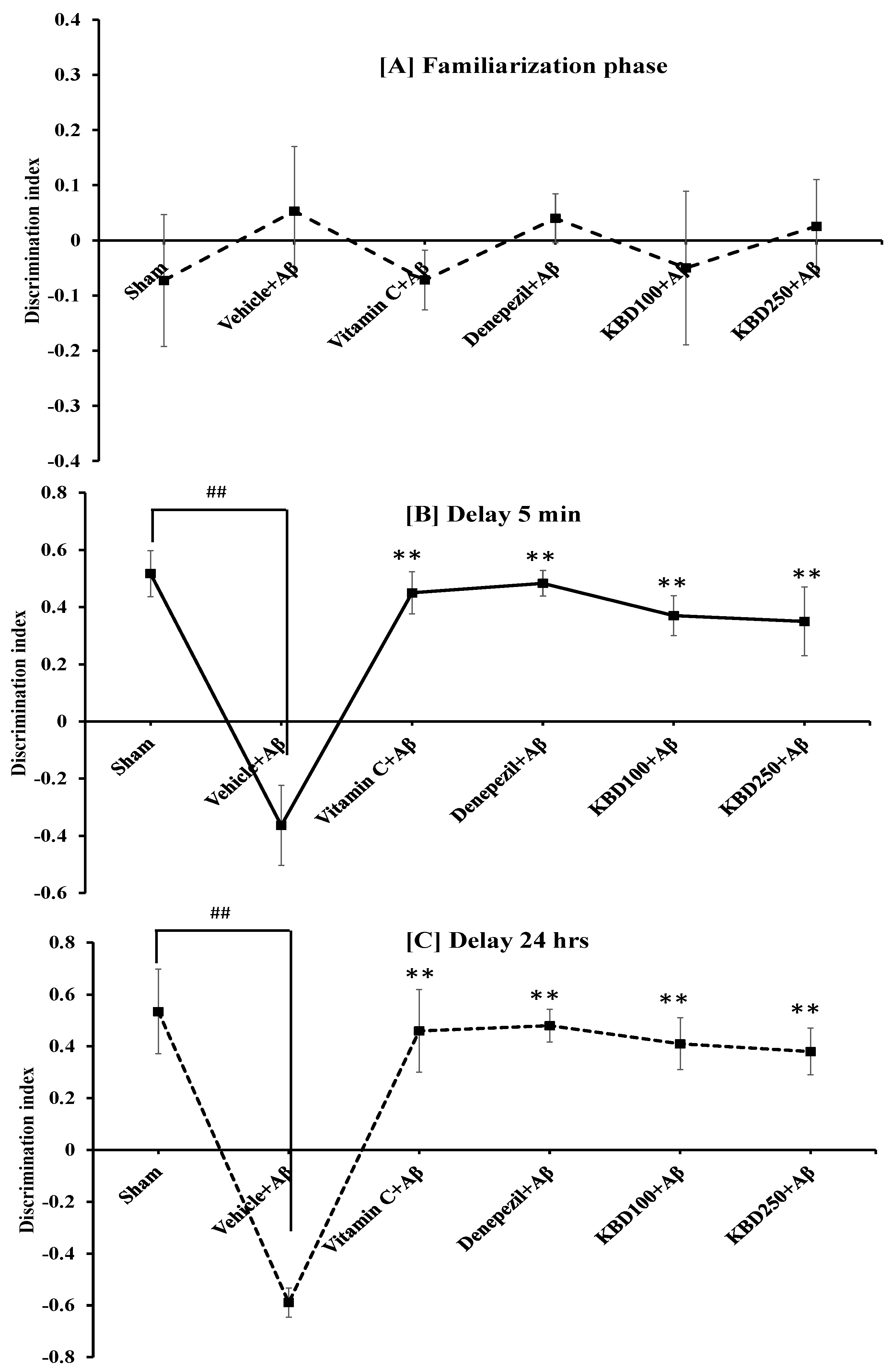
2.4. KBD Protects against Memory Loss in Aβ1–42-Treated Rats
2.4.1. Water Maze Test (MWM)
2.4.2. Object-Recognition Test (ORT)
2.5. KBD Reduces Malondialdehyde (MDA) Levels in Rat Brain
2.6. KBD Enhances Oxidative Enzymes Activity in Rat Brain
2.7. KBD Alters the Level of AChE Activity in Rat Brain
2.8. Acute and Subchronic Toxicological Evaluation
2.8.1. Acute Toxicological Evaluation
2.8.2. Subchronic Toxicological Evaluation
Survival and Clinical Observations
Body Weight and Food Consumption
Hematology Parameters
Serum Biochemical Parameters
The Relative Organ Weight
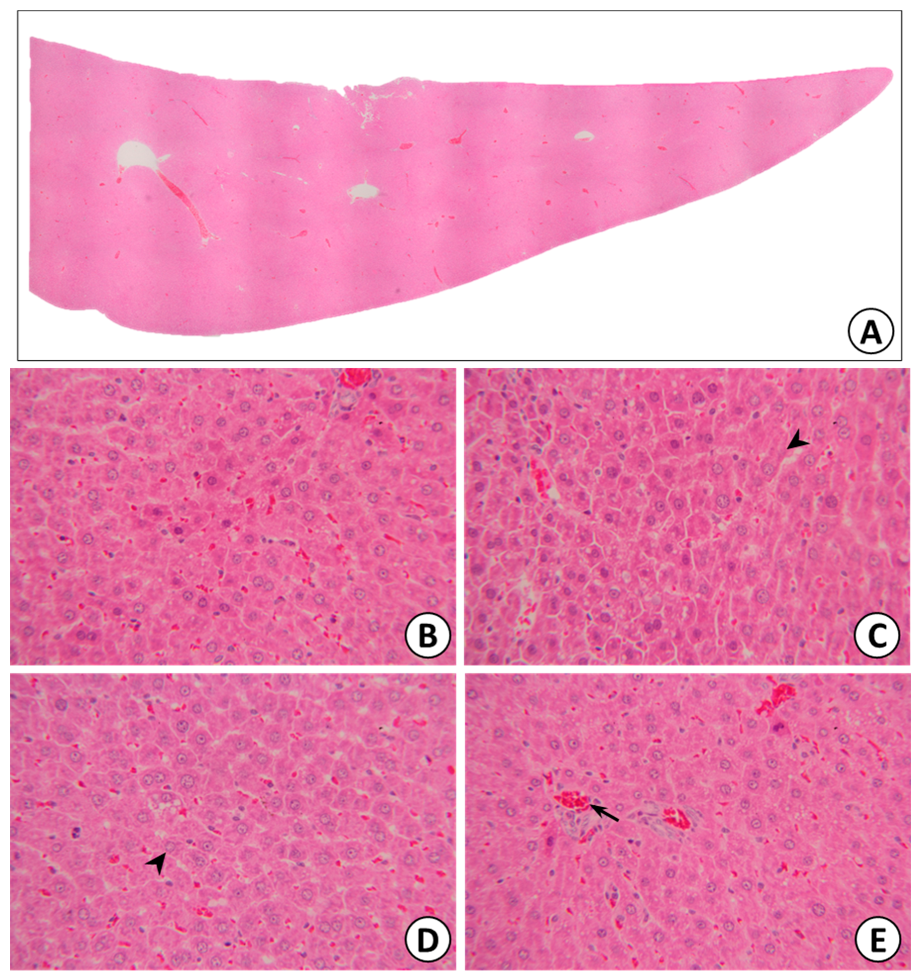
Histopathological Analysis
3. Discussion
4. Materials and Methods
4.1. Chemicals and Plant Preparation
4.2. The Effects of KBD Formula on Aβ-Induced Cell Damage in Neuroblastoma Cells
4.2.1. Cell Culture
4.2.2. Cytotoxicity Assay
4.2.3. Neuroprotection against Aβ1–42 Toxicity
4.3. The Effects of KBD Formula on Aβ-Induced Memory Deficits in Rats
4.3.1. Animals Preparation
4.3.2. Drug Administration
4.3.3. Neurosurgery and Aβ1–42 Injection
4.3.4. Open-Field Test (OFT)
4.3.5. Object-Recognition (ORT) Test
4.3.6. Morris Water Maze (MWM) Test
4.4. Biochemical Parameter Assay
4.4.1. Determination of Superoxide Dismutase Activity
4.4.2. Determination of Catalase Activity
4.4.3. Determination of Glutathione Peroxidase Activity
4.4.4. Determination of Malondialdehyde Level
4.4.5. AChE Inhibitory Activity Assay
4.5. Acute and Subchronic Toxicological Evaluation
4.5.1. Acute Oral Toxicity Study
4.5.2. Subchronic Oral Toxicity Study in Rats
Pathological Examination
Measurement of Hematological and Biochemical Parameters in Rats
4.6. Statistical Analyses
5. Conclusions
Author Contributions
Funding
Institutional Review Board Statement
Informed Consent Statement
Data Availability Statement
Conflicts of Interest
References
- Nichols, E.; Steinmetz, J.D.; Vollset, S.E.; Fukutaki, K.; Chalek, J.; Abd-Allah, F.; Abdoli, A.; Abualhasan, A.; Abu-Gharbieh, E.; Akram, T.T.; et al. Estimation of the global prevalence of dementia in 2019 and forecasted prevalence in 2050: An analysis for the Global Burden of Disease Study 2019. Lancet Public Health 2022, 7, e105–e125. [Google Scholar] [CrossRef]
- Haam, J.; Yakel, J.L. Cholinergic modulation of the hippocampal region and memory function. J. Neurochem. 2017, 142, 111. [Google Scholar] [CrossRef] [PubMed]
- Cheignon, C.; Tomas, M.; Bonnefont-Rousselot, D.; Faller, P.; Hureau, C.; Collin, F. Oxidative stress and the amyloid beta peptide in Alzheimer’s disease. Redox Biol. 2018, 14, 450–464. [Google Scholar] [CrossRef] [PubMed]
- Carrillo-Mora, P.; Luna, R.; Colín-Barenque, L. Amyloid beta: Multiple mechanisms of toxicity and only some protective effects? Oxid. Med. Cell. Longev. 2014, 2014, 795375. [Google Scholar] [CrossRef] [PubMed]
- Jang, H.; Zheng, J.; Nussinov, R. Models of β-amyloid ion channels in the membrane suggest that channel formation in the bilayer is a dynamic process. Biophys. J. 2007, 93, 1938–1949. [Google Scholar] [CrossRef]
- Lal, R.; Lin, H.; Quist, A.P. Amyloid beta ion channel: 3D structure and relevance to amyloid channel paradigm. Biochim. Biophys. Acta-Biomembr. 2007, 1768, 1966–1975. [Google Scholar] [CrossRef] [PubMed]
- Reiss, A.B.; Arain, H.A.; Stecker, M.M.; Siegart, N.M.; Kasselman, L.J. Amyloid toxicity in Alzheimer’s disease. Rev. Neurosci. 2018, 29, 613–627. [Google Scholar] [CrossRef]
- Demuro, A.; Parker, I.; Stutzmann, G.E. Calcium signaling and amyloid toxicity in Alzheimer disease. J. Biol. Chem. 2010, 285, 12463–12468. [Google Scholar] [CrossRef]
- Busche, M.A.; Chen, X.; Henning, H.A.; Reichwald, J.; Staufenbiel, M.; Sakmann, B.; Konnerth, A. Critical role of soluble amyloid-β for early hippocampal hyperactivity in a mouse model of Alzheimer’s disease. Proc. Natl. Acad. Sci. USA 2012, 109, 8740–8745. [Google Scholar] [CrossRef]
- Busche, M.A.; Eichhoff, G.; Adelsberger, H.; Abramowski, D.; Wiederhold, K.H.; Haass, C.; Staufenbiel, M.; Konnerth, A.; Garaschuk, O. Clusters of hyperactive neurons near amyloid plaques in a mouse model of Alzheimer’s disease. Science 2008, 321, 1686–1689. [Google Scholar] [CrossRef]
- Marshall, K.E.; Marchante, R.; Xue, W.F.; Serpell, L.C. The relationship between amyloid structure and cytotoxicity. Prion 2014, 8, 192–196. [Google Scholar] [CrossRef] [PubMed]
- Rauk, A. Why is the amyloid beta peptide of Alzheimer’s disease neurotoxic? Dalt. Trans. 2008, 10, 1273–1282. [Google Scholar] [CrossRef]
- Sciacca, M.F.M.; Tempra, C.; Scollo, F.; Milardi, D.; La Rosa, C. Amyloid growth and membrane damage: Current themes and emerging perspectives from theory and experiments on Aβ and hIAPP. Biochim. Biophys. Acta-Biomembr. 2018, 1860, 1625–1638. [Google Scholar] [CrossRef] [PubMed]
- Salim, S. Oxidative Stress and the Central Nervous System. J. Pharmacol. Exp. Ther. 2017, 360, 201. [Google Scholar] [CrossRef]
- Smith, D.G.; Cappai, R.; Barnham, K.J. The redox chemistry of the Alzheimer’s disease amyloid β peptide. Biochim. Biophys. Acta-Biomembr. 2007, 1768, 1976–1990. [Google Scholar] [CrossRef] [PubMed]
- Hasselmo, M.E. The role of acetylcholine in learning and memory. Curr. Opin. Neurobiol. 2006, 16, 710–715. [Google Scholar] [CrossRef]
- Melo, J.B.; Agostinho, P.; Oliveira, C.R. Involvement of oxidative stress in the enhancement of acetylcholinesterase activity induced by amyloid beta-peptide. Neurosci. Res. 2003, 45, 117–127. [Google Scholar] [CrossRef]
- Hu, W.; Gray, N.W.; Brimijoin, S. Amyloid-beta increases acetylcholinesterase expression in neuroblastoma cells by reducing enzyme degradation. J. Neurochem. 2003, 86, 470–478. [Google Scholar] [CrossRef]
- Alkalay, A.; Rabinovici, D.G.; Zimmerman, G.; Agarwal, N.; Kaufer, D.; Miller, L.B.; Jagust, J.W.; Soreq, H. Plasma acetylcholinesterase activity correlates with intracerebral β-amyloid load. Curr. Alzheimer Res. 2013, 10, 48–56. [Google Scholar]
- García-Ayllón, M.S.; Silveyra, M.X.; Sáez-Valero, J. Association between acetylcholinesterase and beta-amyloid peptide in Alzheimer’s cerebrospinal fluid. Chem. Biol. Interact. 2008, 175, 209–215. [Google Scholar] [CrossRef]
- Sáez-Valero, J.; De Ceballos, M.L.; Small, D.H.; De Felipe, C. Changes in molecular isoform distribution of acetylcholinesterase in rat cortex and cerebrospinal fluid after intracerebroventricular administration of amyloid beta-peptide. Neurosci. Lett. 2002, 325, 199–202. [Google Scholar] [CrossRef][Green Version]
- Querfurth, H.W.; LaFerla, F.M. Alzheimer’s Disease. N. Engl. J. Med. 2010, 362, 329–344. [Google Scholar] [CrossRef] [PubMed]
- Agis-Torres, A.; Sollhuber, M.; Fernandez, M.; Sanchez-Montero, J.M. Multi-Target-Directed Ligands and other Therapeutic Strategies in the Search of a Real Solution for Alzheimer’s Disease. Curr. Neuropharmacol. 2014, 12, 2–36. [Google Scholar] [CrossRef] [PubMed]
- León, R.; Garcia, A.G.; Marco-Contelles, J. Recent advances in the multitarget-directed ligands approach for the treatment of Alzheimer’s disease. Med. Res. Rev. 2013, 33, 139–189. [Google Scholar] [CrossRef] [PubMed]
- Pitiporn, S. Record of the Land 4: Herb for Health Boosters, 4th ed.; Puaramutha Printing: Bangkok, Thailand, 2017; ISBN 978-974-350-986-5. [Google Scholar]
- Oh, J.H.; Choi, B.J.; Chang, M.S.; Park, S.K. Nelumbo nucifera semen extract improves memory in rats with scopolamine-induced amnesia through the induction of choline acetyltransferase expression. Neurosci. Lett. 2009, 461, 41–44. [Google Scholar] [CrossRef] [PubMed]
- Hritcu, L.; Noumedem, J.A.; Cioanca, O.; Hancianu, M.; Postu, P.; Mihasan, M. Anxiolytic and antidepressant profile of the methanolic extract of Piper nigrum fruits in beta-amyloid (1–42) rat model of Alzheimer’s disease. Behav. Brain Funct. 2015, 11, 1–13. [Google Scholar] [CrossRef]
- Gray, N.E.; Zweig, J.A.; Matthews, D.G.; Caruso, M.; Quinn, J.F.; Soumyanath, A. Centella asiatica Attenuates Mitochondrial Dysfunction and Oxidative Stress in Aβ-Exposed Hippocampal Neurons. Oxid. Med. Cell. Longev. 2017, 2017, 7023091. [Google Scholar] [CrossRef]
- Chheng, C.; Waiwut, P.; Plekratoke, K.; Chulikhit, Y.; Daodee, S.; Monthakantirat, O.; Pitiporn, S.; Musigavong, N.; Kwankhao, P.; Boonyarat, C. Multitarget Activities of Kleeb Bua Daeng, a Thai Traditional Herbal Formula, Against Alzheimer’s Disease. Pharmaceuticals 2020, 13, 79. [Google Scholar] [CrossRef] [PubMed]
- Maneenet, J.; Daodee, S.; Monthakantirat, O.; Boonyarat, C.; Khamphukdee, C.; Kwankhao, P.; Pitiporn, S.; Awale, S.; Chulikhit, Y.; Kijjoa, A. Kleeb Bua Daeng, a Thai Traditional Herbal Formula, Ameliorated Unpredictable Chronic Mild Stress-Induced Cognitive Impairment in ICR Mice. Molecules 2019, 24, 4587. [Google Scholar] [CrossRef]
- Lu, P.; Mamiya, T.; Lu, L.L.; Mouri, A.; Zou, L.B.; Nagai, T.; Hiramatsu, M.; Ikejima, T.; Nabeshima, T. Silibinin prevents amyloid beta peptide-induced memory impairment and oxidative stress in mice. Br. J. Pharmacol. 2009, 157, 1270–1277. [Google Scholar] [CrossRef] [PubMed]
- Nabeshima, T.; Nitta, A. Memory impairment and neuronal dysfunction induced by beta-amyloid protein in rats. Tohoku J. Exp. Med. 1994, 174, 241–249. [Google Scholar] [CrossRef] [PubMed][Green Version]
- Wang, Y.; Liu, J.; Zhang, Z.; Bi, P.; Qi, Z.; Zhang, C. Anti-neuroinflammation effect of ginsenoside Rbl in a rat model of Alzheimer disease. Neurosci. Lett. 2011, 487, 70–72. [Google Scholar] [CrossRef] [PubMed]
- Vaisi-Raygani, A.; Rahimi, Z.; Zahraie, M.; Noroozian, M.; Pourmotabbed, A. Association between enzymatic and non-enzymatic antioxidant defense with Alzheimer disease. Acta Med. Iran. 2007, 45, 271–276. [Google Scholar]
- Zhu, X.; Chen, C.; Ye, D.; Guan, D.; Ye, L.; Jin, J.; Zhao, H.; Chen, Y.; Wang, Z.; Wang, X.; et al. Diammonium glycyrrhizinate upregulates PGC-1α and protects against Aβ1-42-induced neurotoxicity. PLoS ONE 2012, 7, e35823. [Google Scholar] [CrossRef] [PubMed]
- Berlyne, D.E. Novelty and Curiosity as Determinants of Exploratory Behaviour1. Br. J. Psychol. Gen. Sect. 1950, 41, 68–80. [Google Scholar] [CrossRef]
- Giacobini, E. Selective inhibitors of butyrylcholinesterase: A valid alternative for therapy of Alzheimer’s disease? Drugs Aging 2001, 18, 891–898. [Google Scholar] [CrossRef]
- Greig, N.H.; Utsuki, T.; Ingram, D.K.; Wang, Y.; Pepeu, G.; Scali, C.; Yu, Q.S.; Mamczarz, J.; Holloway, H.W.; Giordano, T.; et al. Selective butyrylcholinesterase inhibition elevates brain acetylcholine, augments learning and lowers Alzheimer beta-amyloid peptide in rodent. Proc. Natl. Acad. Sci. USA 2005, 102, 17213–17218. [Google Scholar] [CrossRef]
- Kook, S.Y.; Lee, K.M.; Kim, Y.; Cha, M.Y.; Kang, S.; Baik, S.H.; Lee, H.; Park, R.; Mook-Jung, I. High-dose of vitamin C supplementation reduces amyloid plaque burden and ameliorates pathological changes in the brain of 5XFAD mice. Cell Death Dis. 2014, 5, e1083. [Google Scholar] [CrossRef]
- Murakami, K.; Murata, N.; Ozawa, Y.; Kinoshita, N.; Irie, K.; Shirasawa, T.; Shimizu, T. Vitamin C restores behavioral deficits and amyloid-β oligomerization without affecting plaque formation in a mouse model of Alzheimer’s disease. J. Alzheimer’s Dis. 2011, 26, 7–18. [Google Scholar] [CrossRef]
- Zhang, L.; Fang, Y.; Xu, Y.; Lian, Y.; Xie, N.; Wu, T.; Zhang, H.; Sun, L.; Zhang, R.; Wang, Z. Curcumin Improves Amyloid β-Peptide (1-42) Induced Spatial Memory Deficits through BDNF-ERK Signaling Pathway. PLoS ONE 2015, 10, e0131525. [Google Scholar] [CrossRef]
- Mark, R.J.; Lovell, M.A.; Markesbery, W.R.; Uchida, K.; Mattson, M.P. A role for 4-hydroxynonenal, an aldehydic product of lipid peroxidation, in disruption of ion homeostasis and neuronal death induced by amyloid beta-peptide. J. Neurochem. 1997, 68, 255–264. [Google Scholar] [CrossRef] [PubMed]
- Sayre, L.M.; Zelasko, D.A.; Harris, P.L.R.; Perry, G.; Salomon, R.G.; Smith, M.A. 4-Hydroxynonenal-derived advanced lipid peroxidation end products are increased in Alzheimer’s disease. J. Neurochem. 1997, 68, 2092–2097. [Google Scholar] [CrossRef]
- Habib, L.K.; Lee, M.T.C.; Yang, J. Inhibitors of catalase-amyloid interactions protect cells from beta-amyloid-induced oxidative stress and toxicity. J. Biol. Chem. 2010, 285, 38933–38943. [Google Scholar] [CrossRef] [PubMed]
- Jiang, D.P.; Li, J.; Zhang, J.; Xu, S.L.; Kuang, F.; Lang, H.Y.; Wang, Y.F.; An, G.Z.; Li, J.H.; Guo, G.Z. Electromagnetic pulse exposure induces overexpression of beta amyloid protein in rats. Arch. Med. Res. 2013, 44, 178–184. [Google Scholar] [CrossRef] [PubMed]
- Butterfield, D.A.; Lauderback, C.M. Lipid peroxidation and protein oxidation in Alzheimer’s disease brain: Potential causes and consequences involving amyloid beta-peptide-associated free radical oxidative stress. Free Radic. Biol. Med. 2002, 32, 1050–1060. [Google Scholar] [CrossRef]
- Hensley, K.; Hall, N.; Subramaniam, R.; Cole, P.; Harris, M.; Aksenov, M.; Aksenova, M.; Gabbita, S.P.; Wu, J.F.; Carney, J.M.; et al. Brain regional correspondence between Alzheimer’s disease histopathology and biomarkers of protein oxidation. J. Neurochem. 1995, 65, 2146–2156. [Google Scholar] [CrossRef]
- Butterfield, D.A.; Yatin, S.M.; Varadarajan, S.; Koppal, T. Amyloid beta-peptide-associated free radical oxidative stress, neurotoxicity, and Alzheimer’s disease. Methods Enzymol. 1999, 309, 746–768. [Google Scholar]
- Sultana, R.; Boyd-Kimball, D.; Poon, H.F.; Cai, J.; Pierce, W.M.; Klein, J.B.; Merchant, M.; Markesbery, W.R.; Butterfield, D.A. Redox proteomics identification of oxidized proteins in Alzheimer’s disease hippocampus and cerebellum: An approach to understand pathological and biochemical alterations in AD. Neurobiol. Aging 2006, 27, 1564–1576. [Google Scholar] [CrossRef]
- Draper, H.H.; Dhanakoti, S.N.; Hadley, M.; Piché, L.A. Malondialdehyde in Biological Systems. Cell. Antioxid. Def. Mech. 2019, 97–109. [Google Scholar] [CrossRef]
- Michiels, C.; Raes, M.; Toussaint, O.; Remacle, J. Importance of SE-glutathione peroxidase, catalase, and CU/ZN-SOD for cell survival against oxidative stress. Free Radic. Biol. Med. 1994, 17, 235–248. [Google Scholar] [CrossRef]
- Casado, Á.; Encarnación López-Fernández, M.; Concepción Casado, M.; De La Torre, R. Lipid peroxidation and antioxidant enzyme activities in vascular and Alzheimer dementias. Neurochem. Res. 2008, 33, 450–458. [Google Scholar] [CrossRef] [PubMed]
- Niedzielska, E.; Smaga, I.; Gawlik, M.; Moniczewski, A.; Stankowicz, P.; Pera, J.; Filip, M. Oxidative Stress in Neurodegenerative Diseases. Mol. Neurobiol. 2015, 53, 4094–4125. [Google Scholar] [CrossRef] [PubMed]
- Jhoo, J.H.; Kim, H.C.; Nabeshima, T.; Yamada, K.; Shin, E.J.; Jhoo, W.K.; Kim, W.; Kang, K.S.; Jo, S.A.; Woo, J.I. Beta-amyloid (1-42)-induced learning and memory deficits in mice: Involvement of oxidative burdens in the hippocampus and cerebral cortex. Behav. Brain Res. 2004, 155, 185–196. [Google Scholar] [CrossRef]
- Maneenet, J.; Monthakantirat, O.; Daodee, S.; Boonyarat, C.; Chotritthirong, Y.; Kwankhao, P.; Pitiporn, S.; Awale, S.; Chulikhit, Y. Merging the Multi-Target Effects of Kleeb Bua Daeng, a Thai Traditional Herbal Formula in Unpredictable Chronic Mild Stress-Induced Depression. Pharmaceuticals 2021, 14, 659. [Google Scholar] [CrossRef] [PubMed]
- Bian, D.; Liu, M.; Li, Y.; Xia, Y.; Gong, Z.; Dai, Y. Madecassoside, a triterpenoid saponin isolated from Centella asiatica herbs, protects endothelial cells against oxidative stress. J. Biochem. Mol. Toxicol. 2012, 26, 399–406. [Google Scholar] [CrossRef]
- Mook-Jung, I.; Shin, J.E.; Yun, H.S.; Huh, K.; Koh, J.Y.; Park, H.K.; Jew, S.S.; Jung, M.W. Protective effects of asiaticoside derivatives against beta-amyloid neurotoxicity. J. Neurosci. Res. 1999, 58, 417–425. [Google Scholar] [CrossRef]
- Nirmala, P.; Ramanathan, M. Effect of kaempferol on lipid peroxidation and antioxidant status in 1,2-dimethyl hydrazine induced colorectal carcinoma in rats. Eur. J. Pharmacol. 2011, 654, 75–79. [Google Scholar] [CrossRef]
- Kouhestani, S.; Jafari, A.; Babaei, P. Kaempferol attenuates cognitive deficit via regulating oxidative stress and neuroinflammation in an ovariectomized rat model of sporadic dementia. Neural Regen. Res. 2018, 13, 1827–1832. [Google Scholar]
- Vijayakumar, R.S.; Surya, D.; Nalini, N. Antioxidant efficacy of black pepper (Piper nigrum L.) and piperine in rats with high fat diet induced oxidative stress. Redox Rep. 2004, 9, 105–110. [Google Scholar] [CrossRef]
- Song, Y.S.; Park, C.M. Luteolin and luteolin-7-O-glucoside strengthen antioxidative potential through the modulation of Nrf2/MAPK mediated HO-1 signaling cascade in RAW 264.7 cells. Food Chem. Toxicol. 2014, 65, 70–75. [Google Scholar] [CrossRef]
- Omar, S.H.; Kerr, P.G.; Scott, C.J.; Hamlin, A.S.; Obied, H.K. Olive (Olea europaea L.) Biophenols: A Nutriceutical against Oxidative Stress in SH-SY5Y Cells. Molecules 2017, 22, 1858. [Google Scholar] [CrossRef] [PubMed]
- Feldman, H.H.; Ferris, S.; Winblad, B.; Sfikas, N.; Mancione, L.; He, Y.; Tekin, S.; Burns, A.; Cummings, J.; del Ser, T.; et al. Effect of rivastigmine on delay to diagnosis of Alzheimer’s disease from mild cognitive impairment: The InDDEx study. Lancet Neurol. 2007, 6, 501–512. [Google Scholar] [CrossRef]
- Birks, J. Cholinesterase inhibitors for Alzheimer’s disease. Cochrane Database Syst. Rev. 2006, 2006. [Google Scholar] [CrossRef] [PubMed]
- Carson, K.A.; Geula, C.; Mesulam, M.M. Electron microscopic localization of cholinesterase activity in Alzheimer brain tissue. Brain Res. 1991, 540, 204–208. [Google Scholar] [CrossRef]
- Kuhl, D.E.; Koeppe, R.A.; Minoshima, S.; Snyder, S.E.; Ficaro, E.P.; Foster, N.L.; Frey, K.A.; Kilbourn, M.R. In vivo mapping of cerebral acetylcholinesterase activity in aging and Alzheimer’s disease. Neurology 1999, 52, 691–699. [Google Scholar] [CrossRef]
- Langlais, P.J.; Thai, L.; Hansen, L.; Galasko, D.; Alford, M.; Masliah, E. Neurotransmitters in basal ganglia and cortex of Alzheimer’s disease with and without Lewy bodies. Neurology 1993, 43, 1927–1934. [Google Scholar] [CrossRef]
- Das, A.; Dikshit, M.; Nath, C. Profile of acetylcholinesterase in brain areas of male and female rats of adult and old age. Life Sci. 2001, 68, 1545–1555. [Google Scholar] [CrossRef]
- Herholz, K.; Bauer, B.; Wienhard, K.; Kracht, L.; Mielke, R.; Lenz, O.; Strotmann, T.; Heiss, W.D. In-vivo measurements of regional acetylcholine esterase activity in degenerative dementia: Comparison with blood flow and glucose metabolism. J. Neural Transm. 2000, 107, 1457–1468. [Google Scholar] [CrossRef]
- Hussein, R.M.; Mohamed, W.R.; Omar, H.A. A neuroprotective role of kaempferol against chlorpyrifos-induced oxidative stress and memory deficits in rats via GSK3β-Nrf2 signaling pathway. Pestic. Biochem. Physiol. 2018, 152, 29–37. [Google Scholar] [CrossRef]
- Deng, J.; Chen, S.; Yin, X.; Wang, K.; Liu, Y.; Li, S.; Yang, P. Systematic qualitative and quantitative assessment of anthocyanins, flavones and flavonols in the petals of 108 lotus (Nelumbo nucifera) cultivars. Food Chem. 2013, 139, 307–312. [Google Scholar] [CrossRef]
- Sabogal-Guáqueta, A.M.; Muñoz-Manco, J.I.; Ramírez-Pineda, J.R.; Lamprea-Rodriguez, M.; Osorio, E.; Cardona-Gómez, G.P. The flavonoid quercetin ameliorates Alzheimer’s disease pathology and protects cognitive and emotional function in aged triple transgenic Alzheimer’s disease model mice. Neuropharmacology 2015, 93, 134–145. [Google Scholar] [CrossRef] [PubMed]
- Singh, S.K.; Srivastav, S.; Yadav, A.K.; Srikrishna, S.; Perry, G. Overview of Alzheimer’s Disease and Some Therapeutic Approaches Targeting Aβ by Using Several Synthetic and Herbal Compounds. Oxid. Med. Cell. Longev. 2016, 2016, 7361613. [Google Scholar] [CrossRef] [PubMed]
- Arora, D.; Kumar, M.; Dubey, S.D. Centella asiatica-A review of its medicinal uses and pharmacological effects. J. Nat. Remedies 2002, 2, 143–149. [Google Scholar]
- OECD. The Organization of Economic Cooperation and Development Guidelines Test No. 423: Acute Oral Toxicity-Acute Toxic Class Method, OECD Guidelines for the Testing of Chemicals, Section 4; OECD Publishing: Paris, France, 2002; pp. 1–14. [Google Scholar]
- Sireeratawong, S.; Lertprasertsuke, N.; Srisawat, U.; Thuppia, A.; Ngamjariyawat, A.; Suwanlikhid, N.; Jaijoy, K. Acute and subchronic toxicity study of the water extract from Tiliacora triandra (Colebr.) Diels in rats. Songklanakarin J. Sci. Technol. 2008, 30, 611–619. [Google Scholar]
- Olson, H.; Betton, G.; Robinson, D.; Thomas, K.; Monro, A.; Kolaja, G.; Lilly, P.; Sanders, J.; Sipes, G.; Bracken, W.; et al. Concordance of the Toxicity of Pharmaceuticals in Humans and in Animals. Regul. Toxicol. Pharmacol. 2000, 32, 56–67. [Google Scholar] [CrossRef] [PubMed]
- Wei, J.Z.; Wu, X.G.; Lin, H. A further observation on the serum biochemical values of chickens infected with Eimeriatenella or E. acervulina and the discussion on the pathological lesions. Chin. J. Prev. Vet. Med. 2002, 32, 25–27. [Google Scholar]
- Rhiouani, H.; El-Hilaly, J.; Israili, Z.H.; Lyoussi, B. Acute and sub-chronic toxicity of an aqueous extract of the leaves of Herniaria glabra in rodents. J. Ethnopharmacol. 2008, 118, 378–386. [Google Scholar] [CrossRef]
- Yuan, G.; Dai, S.; Yin, Z.; Lu, H.; Jia, R.; Xu, J.; Song, X.; Li, L.; Shu, Y.; Zhao, X. Toxicological assessment of combined lead and cadmium: Acute and sub-chronic toxicity study in rats. Food Chem. Toxicol. 2014, 65, 260–268. [Google Scholar] [CrossRef]
- Rasekh, H.R.; Nazari, P.; Kamli-Nejad, M.; Hosseinzadeh, L. Acute and subchronic oral toxicity of Galega officinalis in rats. J. Ethnopharmacol. 2008, 116, 21–26. [Google Scholar] [CrossRef]
- Musigavong, N.; Boonyarat, C.; Chulikhit, Y.; Monthakantirat, O.; Limudomporn, M.; Pitiporn, S.; Kwankhao, P.; Daodee, S. Efficacy and Safety of Kleeb Bua Daeng Formula in Mild Cognitive Impairment Patients: A Phase I Randomized, Double-Blind, Placebo-Controlled Trial. Evid.-Based Complement. Altern. Med. 2022, 2022, 1148112. [Google Scholar] [CrossRef]
- Takomthong, P.; Waiwut, P.; Yenjai, C.; Sripanidkulchai, B.; Reubroycharoen, P.; Lai, R.; Kamau, P.; Boonyarat, C. Structure-Activity Analysis and Molecular Docking Studies of Coumarins from Toddalia asiatica as Multifunctional Agents for Alzheimer’s Disease. Biomedicines 2020, 8, 107. [Google Scholar] [CrossRef] [PubMed]
- Takomthong, P.; Waiwut, P.; Yenjai, C.; Sombatsri, A.; Reubroycharoen, P.; Lei, L.; Lai, R.; Chaiwiwatrakul, S.; Boonyarat, C. Multi-Target Actions of Acridones from Atalantia monophylla towards Alzheimer’s Pathogenesis and Their Pharmacokinetic Properties. Pharmaceuticals 2021, 14, 888. [Google Scholar] [CrossRef] [PubMed]
- Nair, A.B.; Jacob, S. A simple practice guide for dose conversion between animals and human. J. Basic Clin. Pharm. 2016, 7, 27. [Google Scholar] [CrossRef] [PubMed]
- Paxinos, G.; Watson, C. The Rat Brain in Stereotaxic Coordinates, 2nd ed.; Academic Press: Sydney, Australia, 1987; Volume 10, ISBN 012547623X. [Google Scholar]
- Morris, R. Developments of a water-maze procedure for studying spatial learning in the rat. J. Neurosci. Methods 1984, 11, 47–60. [Google Scholar] [CrossRef]
- Lowry, O.H.; Rosebrough, N.J.; Farr, A.L.; Randall, R.J. Protein measurement with the Folin phenol reagent. J. Biol. Chem. 1951, 193, 265–275. [Google Scholar] [CrossRef]
- Sun, Y.; Oberley, L.W.; Li, Y. A simple method for clinical assay of superoxide dismutase. Clin. Chem. 1988, 34, 497–500. [Google Scholar] [CrossRef]
- Aebi, H. Catalase in vitro. Methods Enzymol. 1984, 105, 121–126. [Google Scholar]
- Dundar, K.; Topal, T.; Ay, H.; Oter, S.; Korkmaz, A. Protective effects of exogenously administered or endogenously produced melatonin on hyperbaric oxygen-induced oxidative stress in the rat brain. Clin. Exp. Pharmacol. Physiol. 2005, 32, 926–930. [Google Scholar] [CrossRef]
- Ohkawa, H.; Ohishi, N.; Yagi, K. Assay for lipid peroxides in animal tissues by thiobarbituric acid reaction. Anal. Biochem. 1979, 95, 351–358. [Google Scholar] [CrossRef]
- Ellman, G.L.; Courtney, K.D.; Andres, V.; Featherstone, R.M. A new and rapid colorimetric determination of acetylcholinesterase activity. Biochem. Pharmacol. 1961, 7, 88–95. [Google Scholar] [CrossRef]











| Parameters | Treatment Groups | |||||||||
|---|---|---|---|---|---|---|---|---|---|---|
| Control | 125 mg/kg | 250 mg/kg | 500 mg/kg | Recovery | ||||||
| Males | Females | Males | Females | Males | Females | Males | Females | Males | Females | |
| RBC, 106/µL | 9.99 ± 0.47 | 9.47 ± 0.28 | 9.88 ± 0.44 | 9.26 ± 0.33 | 9.83 ± 0.32 | 9.39 ± 0.25 | 9.76 ± 0.58 | 9.54 ± 0.42 | 9.68 ± 0.33 | 9.13 ± 0.44 |
| HGB, g/dL | 17.38 ± 0.53 | 17.96 ± 0.42 | 17.69 ± 0.71 | 17.50 ± 0.71 | 17.36 ± 0.59 | 17.55 ± 0.50 | 17.30 ± 0.91 | 18.01 ± 0.81 | 17.60 ± 0.39 | 17.04 ± 0.64 |
| HCT, % | 59.94 ± 1.78 | 57.46 ± 1.64 | 56.90 ± 2.32 | 56.11 ± 2.42 | 55.06 ± 2.14 | 55.71 ± 1.72 | 55.30 ± 3.19 | 57.56 ± 2.88 | 55.82 ± 1.38 | 53.68 ± 2.19 |
| MCV, fl | 55.04 ± 1.58 | 60.67 ± 1.11 | 57.62 ± 1.52 | 60.61 ± 0.77 | 56.01 ± 1.21 | 59.31 ± 1.09 | 56.70 ± 1.19 | 60.33 ± 1.16 | 57.69 ± 1.68 | 58.86 ± 1.46 |
| MCH, pg | 17.41 ± 0.47 | 18.97 ± 0.29 | 17.91 ± 0.45 | 18.91 ± 0.29 | 17.65 ± 0.40 | 18.70 ± 0.35 | 17.73 ± 0.41 | 18.88 ± 0.34 | 18.18 ± 0.54 | 18.68 ± 0.35 |
| MCHC, g/dL | 31.62 ± 0.30 | 31.26 ± 0.27 | 31.08 ± 0.23 | 31.19 ± 0.36 | 31.53 ± 0.33 | 31.51 ± 0.20 | 31.30 ± 0.35 | 31.28 ± 0.27 | 31.52 ± 0.33 | 31.74 ± 0.28 |
| RDW, fl | 32.9 ± 1.10 | 30.54 ± 0.73 | 34.1 ± 1.16 | 30.08 ± 0.68 | 33.19 ± 0.68 | 29.38 ± 0.59 | 33.30 ± 1.31 | 29.59 ± 0.55 | 33.20 ± 0.65 | 29.15 ± 0.48 |
| RET, 103/µL | 289.57 ± 19.1 | 323.21 ± 38.98 | 304.65 ± 32.8 | 306.61 ± 45.08 | 297.02 ± 33.1 | 297.93 ± 37.1 | 279.96 ± 21.1 | 324.78 ± 39.57 | 306.92 ± 28.1 | 293.44 ± 50.5 |
| PLT, 103/µL | 833.60 ± 81.4 | 757.60 ± 56.51 | 847.70 ± 105 | 770.70 ± 73.14 | 772.80 ± 63.7 | 800.40 ± 57.3 | 838.00 ± 85.3 | 838.90 ± 115.4 | 796.30 ± 62.5 | 842.50 ± 67.4 |
| PDW, fl | 8.20 ± 0.35 | 7.97 ± 0.36 | 8.32 ± 0.36 | 8.03 ± 0.22 | 8.00 ± 0.39 | 8.15 ± 0.31 | 8.69 ± 0.52 | 8.37 ± 0.35 | 8.91 ± 0.33 | 8.15 ± 0.30 |
| MPV, fl | 6.94 ± 0.24 | 7.01 ± 0.24 | 7.13 ± 0.19 | 7.02 ± 0.14 | 6.83 ± 0.26 | 6.99 ± 0.20 | 7.29 ± 0.30 | 7.16 ± 0.13 | 7.54 ± 0.18 | 7.05 ± 0.20 |
| WBC, 103/µL | 7.94 ± 0.97 | 6.92 ± 1.42 | 9.78 ± 1.33 | 6.21 ± 0.89 | 7.58 ± 1.29 | 5.63 ± 1.32 | 7.23 ± 2.53 | 7.14 ± 1.21 | 8.78 ± 1.30 | 6.65 ± 1.08 |
| NEU, 103/µL | 0.87 ± 0.15 | 0.47 ± 0.18 | 0.90 ± 0.42 | 0.26 ± 0.16 | 0.73 ± 0.42 | 0.46 ± 0.25 | 0.55 ± 0.36 | 0.42 ± 0.16 | 1.01 ± 0.15 | 0.48 ± 0.08 |
| LYMPH,103/µL | 6.58 ± 0.83 | 6.04 ± 1.20 | 8.35 ± 1.44 | 5.65 ± 0.82 | 6.27 ± 1.33 | 4.83 ± 1.07 | 6.22 ± 2.46 | 6.32 ± 1.07 | 7.17 ± 1.14 | 5.81 ± 1.00 |
| MONO,103/µL | 0.41 ± 0.18 | 0.36 ± 0.12 | 0.45 ± 0.12 | 0.27 ± 0.05 | 0.46 ± 0.12 | 0.30 ± 0.09 | 0..38 ± 0.16 | 0.35 ± 0.07 | 0.48 ± 0.11 | 0.31 ± 0.06 |
| EO, 103/µL | 0.07 ± 0.03 | 0.05 ± 0.03 | 0.07 ± 0.03 | 0.03 ± 0.01 | 0.10 ± 0.03 | 0.04 ± 0.02 | 0.07 ± 0.02 | 0.04 ± 0.01 | 0.10 ± 0.02 | 0.04 ± 0.02 |
| BASO, 103/µL | 0.01 ± 0.01 | 0.01 ± 0.01 | 0.02 ± 0.02 | 0.01 ± 0.01 | 0.02 ± 0.01 | 0.01 ± 0.01 | 0.01 ± 0.01 | 0.01 ± 0.01 | 0.01 ± 0.01 | 0.01 ± 0.01 |
| Parameters | Treatment Groups | |||||||||
|---|---|---|---|---|---|---|---|---|---|---|
| Control | 125 mg/kg | 250 mg/kg | 500 mg/kg | Recovery | ||||||
| Males | Females | Males | Females | Males | Females | Males | Females | Males | Females | |
| GLU | 299.7 ± 72.3 | 148.8 ± 73.7 | 350.5 ± 43.1 | 172.7 ± 97.5 | 318.5 ± 57.5 | 150.4 ± 45.6 | 324.2 ± 66.2 | 186.9 ± 69.8 | 396.1 ± 57.8 | 148.3 ± 60.7 |
| BUN | 21.1 ± 1.7 | 21.0 ± 2.7 | 21.2 ± 1.3 | 21.1 ± 1.8 | 21.7 ± 2.5 | 22.4 ± 2.7 | 23.0 ± 2.0 | 23.0 ± 2.8 | 24.4 ± 2.9 | 23.2 ± 4.3 |
| CREA | 0.4 ± 0.0 | 0.5 ± 0.1 | 0.4 ± 0.0 | 0.5 ± 0.0 | 0.4 ± 0.0 | 0.5 ± 0.0 | 0.4 ± 0.0 | 0.4 ± 0.0 | 0.5 ± 0.0 | 0.5 ± 0.1 |
| UA | 6.9 ± 1.4 | 4.1 ± 0.8 | 7.6 ± 0.8 | 4.3 ± 0.9 | 7.6 ± 1.3 | 3.9 ± 0.3 | 6.7 ± 1.3 | 4.5 ± 1.1 | 8.7 ± 1.0 | 4.5 ± 0.4 |
| CHOL | 87.9 ± 17.8 | 99.6 ± 15.9 | 87.7 ± 7.6 | 104.7 ± 15.4 | 89.0 ± 11.3 | 107.2 ± 12.6 | 93.6 ± 11.4 | 117.9 ± 14.1 | 94.6 ± 22.0 | 106.6 ± 20.2 |
| TG | 110.2 ± 21.7 | 68.8 ± 15.2 | 111.9 ± 28.3 | 78.5 ± 16.8 | 128.7 ± 34.4 | 78.8 ± 20.1 | 128.5 ± 29.8 | 103.0 ± 32.0 | 143.5 ± 29.8 | 76.1 ± 19.2 |
| AST | 99.7 ± 16.2 | 99.3 ± 17.1 | 100.1 ± 23.4 | 90.5 ± 9.7 | 110.6 ± 28.2 | 96.7 ± 9.8 | 94.8 ± 16.4 | 96.3 ± 11.0 | 157.6 ± 39.5 | 102.4 ± 10.0 |
| ALT | 54.6 ± 14.2 | 38.9 ± 4.4 | 61.9 ± 21.5 | 38.3 ± 4.3 | 70.9 ± 25.0 | 44.9 ± 8.0 | 57.3 ± 22.7 | 40.5 ± 4.5 | 101.4 ± 30.4 | 48.7 ± 3.6 |
| ALP | 66.6 ± 5.3 | 32.8 ± 3.3 | 69.3 ± 10.8 | 33.0 ± 3.2 | 69.9 ± 11.7 | 35.2 ± 0.2 | 68.0 ± 8.0 | 33.0 ± 4.0 | 73.8 ± 8.9 | 32.1 ± 6.5 |
| TP | 6.9 ± 0.2 | 7.3 ± 0.2 | 7.3 ± 0.2 | 7.3 ± 0.3 | 7.2 ± 0.3 | 7.2 ± 0.2 | 7.4 ± 0.7 | 7.5 ± 0.3 | 8.3 ± 0.5 | 8.0 ± 0.5 |
| ALB | 5.3 ± 0.2 | 5.9 ± 0.1 | 5.6 ± 0.2 | 5.7 ± 0.1 | 5.4 ± 0.2 | 5.6 ± 0.2 | 5.4 ± 0.2 | 5.5 ± 0.3 | 5.7 ± 0.2 | 5.8 ± 0.2 |
| GLO | 1.7 ± 0.1 | 1.4 ± 0.1 | 1.7 ± 0.3 | 1.4 ± 0.2 | 1.8 ± 0.2 | 1.6 ± 0.3 | 1.8 ± 0.3 | 1.8 ± 0.2 | 2.5 ± 0.4 | 2.1 ± 0.3 |
| Parameters | Treatment Groups | |||||||||
|---|---|---|---|---|---|---|---|---|---|---|
| Control | 125 mg/kg | 250 mg/kg | 500 mg/kg | Recovery | ||||||
| Males | Females | Males | Females | Males | Females | Males | Females | Males | Females | |
| Adrenal GI (L) | 0.0448 ± 0.0024 | 0.0476 ± 0.0057 | 0.0475 ± 0.0062 | 0.0492 ± 0.0039 | 0.044 ± 0.0035 | 0.0488 ± 0.0033 | 0.0431 ± 0.0044 | 0.047 ± 0.0037 | 0.0413 ± 0.0033 | 0.0451 ± 0.0041 |
| Adrenal GI (R) | 0.0394 ± 0.0031 | 0.0431 ± 0.0030 | 0.0414 ± 0.0050 | 0.044 ± 0.0051 | 0.0377 ± 0.0029 | 0.0441 ± 0.0068 | 0.0356 ± 0.0031 | 0.0432 ± 0.0055 | 0.0372 ± 0.0043 | 0.0404 ± 0.0036 |
| Epididymis/ Ovary (L) | 0.6055 ± 0.0853 | 0.0498 ± 0.0059 | 0.6107 ± 0.0589 | 0.0483 ± 0.0082 | 0.5919 ± 0.0691 | 0.0507 ± 0.0079 | 0.5995 ± 0.0216 | 0.0539 ± 0.0106 | 0.5239 ± 0.0582 | 0.0478 ± 0.0042 |
| Epididymis/ Ovary(R) | 0.6041 ± 0.0421 | 0.0508 ± 0.0051 | 0.5953 ± 0.0935 | 0.0483 ± 0.0059 | 0.5788 ± 0.0405 | 0.0526 ± 0.0090 | 0.5977 ± 0.0272 | 0.0556 ± 0.0120 | 0.5197 ± 0.0309 | 0.0461 ± 0.0083 |
| Thymus | 0.3293 ± 0.0415 | 0.2449 ± 0.0523 | 0.3189 ± 0.0605 | 0.265 ± 0.0460 | 0.3198 ± 0.0511 | 0.2689 ± 0.0679 | 0.3139 ± 0.0388 | 0.2553 ± 0.0596 | 0.3113 ± 0.0424 | 0.2441 ± 0.0374 |
| Spleen | 0.9386 ± 0.1238 | 0.6466 ± 0.0479 | 0.9613 ± 0.0877 | 0.6531 ± 0.0456 | 0.9154 ± 0.0966 | 0.6713 ± 0.0617 | 0.9475 ± 0.0787 | 0.6787 ± 0.0659 | 0.9126 ± 0.0546 | 0.5612 ± 0.1796 |
| Uterus | - | 0.596 ± 0.1914 | - | 0.5619 ± 0.2389 | - | 0.6254 ± 0.2990 | - | 0.7185 ± 0.2096 | - | 0.4648 ± 0.1352 |
| Heart | 1.4229 ± 0.0938 | 0.9203 ± 0.0617 | 1.4563 ± 0.1552 | 0.935 ± 0.0590 | 1.3984 ± 0.0730 | 0.9209 ± 0.0554 | 1.3681 ± 0.0731 | 0.9121 ± 0.0591 | 1.5039 ± 0.0481 | 0.9422 ± 0.0445 |
| Kidney (L) | 1.2634 ± 0.0697 | 0.7417 ± 0.0377 | 1.2676 ± 0.1247 | 0.7477 ± 0.0309 | 1.1942 ± 0.0917 | 0.7392 ± 0.0307 | 1.2238 ± 0.0941 | 0.7161 ± 0.1934 | 1.2276 ± 0.0823 | 0.7489 ± 0.0447 |
| Kidney (R) | 1.2944 ± 0.0842 | 0.7816 ± 0.0465 | 1.2705 ± 0.1355 | 0.778 ± 0.0545 | 1.2197 ± 0.0874 | 0.7655 ± 0.0328 | 1.2338 ± 0.1104 | 0.8047 ± 0.0681 | 1.2604 ± 0.0750 | 0.781 ± 0.0427 |
| Testis (L) | 1.8789 ± 0.1077 | - | 1.9031 ± 0.1869 | - | 1.8457 ± 0.1417 | - | 1.8802 ± 0.1077 | - | 1.8824 ± 0.0711 | - |
| Testis (R) | 1.8803 ± 0.0737 | - | 1.874 ± 0.1740 | - | 1.7906 ± 0.1309 | - | 1.8368 ± 0.1234 | - | 1.8592 ± 0.0967 | - |
| Brain | 2.2057 ± 0.0527 | 1.9893 ± 0.1008 | 2.1515 ± 0.0603 | 2.0147 ± 0.0483 | 2.1639 ± 0.0836 | 1.9874 ± 0.0633 | 2.19 ± 0.0792 | 2.0344 ± 0.0578 | 2.2028 ± 0.0779 | 2.0501 ± 0.0385 |
| Liver | 13.2839 ± 0.9141 | 7.1394 ± 0.5813 | 13.7123 ± 1.6271 | 6.7335 ± 1.8537 | 13.0735 ± 0.6401 | 7.113 ± 0.6302 | 13.698 ± 0.9184 | 7.6398 ± 0.9619 | 13.3958 ± 0.8096 | 7.0372 ± 0.7335 |
Publisher’s Note: MDPI stays neutral with regard to jurisdictional claims in published maps and institutional affiliations. |
© 2022 by the authors. Licensee MDPI, Basel, Switzerland. This article is an open access article distributed under the terms and conditions of the Creative Commons Attribution (CC BY) license (https://creativecommons.org/licenses/by/4.0/).
Share and Cite
Waiwut, P.; Kengkoom, K.; Pannangrong, W.; Musigavong, N.; Chheng, C.; Plekratoke, K.; Taklomthong, P.; Nillert, N.; Pitiporn, S.; Kwankhao, P.; et al. Toxicity Profiles of Kleeb Bua Daeng Formula, a Traditional Thai Medicine, and Its Protective Effects on Memory Impairment in Animals. Pharmaceuticals 2022, 15, 988. https://doi.org/10.3390/ph15080988
Waiwut P, Kengkoom K, Pannangrong W, Musigavong N, Chheng C, Plekratoke K, Taklomthong P, Nillert N, Pitiporn S, Kwankhao P, et al. Toxicity Profiles of Kleeb Bua Daeng Formula, a Traditional Thai Medicine, and Its Protective Effects on Memory Impairment in Animals. Pharmaceuticals. 2022; 15(8):988. https://doi.org/10.3390/ph15080988
Chicago/Turabian StyleWaiwut, Pornthip, Kanchana Kengkoom, Wanassanun Pannangrong, Natdanai Musigavong, Chantha Chheng, Kusawadee Plekratoke, Pitchayakarn Taklomthong, Nutchareeporn Nillert, Supaporn Pitiporn, Pakakrong Kwankhao, and et al. 2022. "Toxicity Profiles of Kleeb Bua Daeng Formula, a Traditional Thai Medicine, and Its Protective Effects on Memory Impairment in Animals" Pharmaceuticals 15, no. 8: 988. https://doi.org/10.3390/ph15080988
APA StyleWaiwut, P., Kengkoom, K., Pannangrong, W., Musigavong, N., Chheng, C., Plekratoke, K., Taklomthong, P., Nillert, N., Pitiporn, S., Kwankhao, P., Daodee, S., Chulikhit, Y., Montakantirat, O., & Boonyarat, C. (2022). Toxicity Profiles of Kleeb Bua Daeng Formula, a Traditional Thai Medicine, and Its Protective Effects on Memory Impairment in Animals. Pharmaceuticals, 15(8), 988. https://doi.org/10.3390/ph15080988

