Synthesis and Antioxidant/Anti-Inflammatory Activity of 3-Arylphthalides
Abstract
1. Introduction
2. Results and Discussion
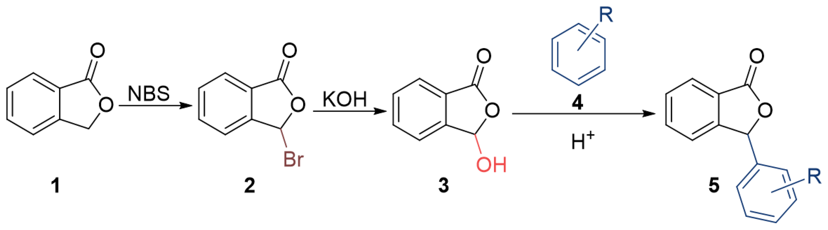
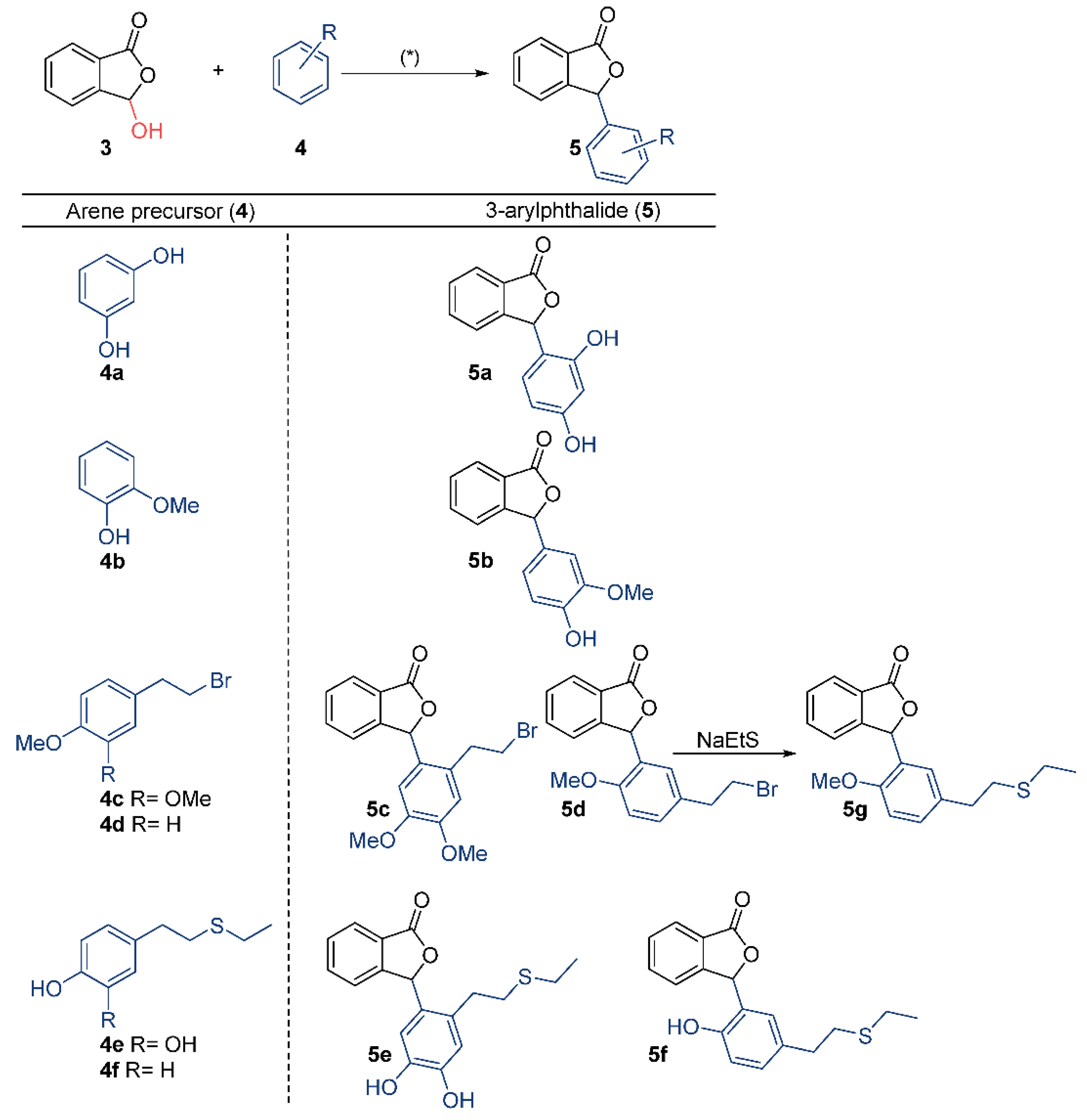
2.1. Synthesis of 3-Arylphthalides
2.2. Pharmacology
2.2.1. Antioxidant Activity
2.2.2. Anti-Inflammatory Activity
3. Materials and Methods
3.1. General Experimental Procedures
3.2. Synthetic Procedures
3.2.1. Synthesis of 3-Bromophthalide (2)
3.2.2. Synthesis of 3-Hydroxyphthalide (3)
3.2.3. Synthesis of the Aromatic Derivatives 4c–4f
Synthesis of the Bromoderivatives 4c and 4d
Synthesis of 4e and 4f
3.2.4. Synthesis of Compounds 5a–5g
Synthesis of 3-(2,4-dihydroxyphenyl)phthalide (5a)
Synthesis of Compounds 5b–5f
Synthesis of 3-(5-(2(Ethylthio)ethyl)-2-Methoxyphenyl)phthalide (5g)
3.3. Antioxidant ASSAY
3.4. Anti-Inflammatory Activity
3.4.1. Cell Culture
3.4.2. Analysis of the Cellular Viability by Crystal Violet Staining
3.4.3. Analysis of Nitrites (NO2−)
3.4.4. Quantitative Real-Time PCR (qPCR) Analysis
3.4.5. Statistical Analysis
4. Conclusions
5. Patents
Supplementary Materials
Author Contributions
Funding
Institutional Review Board Statement
Informed Consent Statement
Data Availability Statement
Acknowledgments
Conflicts of Interest
References
- León, A.; Del-Ángel, M.; Ávila, J.L.; Delgado, G. Phthalides: Distribution in Nature, Chemical Reactivity, Synthesis, and Biological Activity. Prog. Chem. Org. Nat. Prod. 2017, 104, 127–246. [Google Scholar] [CrossRef] [PubMed]
- Lin, G.; Chan, S.S.-K.; Chung, H.-S.; Li, S.-L. Chemistry and biological activities of naturally occurring phthalides. In Studies in Natural Products Chemistry; Rahman, A., Ed.; Elsevier: Amsterdam, The Netherlands, 2005; Volume 32, pp. 611–669. [Google Scholar] [CrossRef]
- Karmakar, R.; Pahari, P.; Mal, D. Phthalides and Phthalans: Synthetic Methodologies and Their Applications in the Total Synthesis. Chem. Rev. 2014, 114, 6213–6284. [Google Scholar] [CrossRef] [PubMed]
- Birkinshaw, J.H.; Raistrick, H.; Ross, D.J. Studies in the biochemistry of micro-organisms. 86. The molecular constitution of mycophenolic acid, a metabolic product of Penicillium brevi-compactum Dierckx. Part 3. Further observations on the structural formula for mycophenolic acid. Biochem. J. 1952, 50, 630–634. [Google Scholar] [CrossRef]
- Benjanuwattra, J.; Pruksakorn, D.; Koonrungsesomboon, N. Mycophenolic Acid and Its Pharmacokinetic Drug-Drug Interactions in Humans: Review of the Evidence and Clinical Implications. J. Clin. Pharmacol. 2019, 60, 295–311. [Google Scholar] [CrossRef]
- Mitsuhashi, H.; Muramatsu, T.; Nagai, U.; Nakano, T.; Ueno, K. Studies on the Constituents of Umbelliferae Plants. VIII. Distribution of Alkylphthalides in Umbelliferae Plants. Chem. Pharm. Bull. 1963, 11, 1317–1319. [Google Scholar] [CrossRef] [PubMed]
- Wu, J.; Ling, J.; Wang, X.; Li, T.; Liu, J.; Lai, Y.; Ji, H.; Peng, S.; Tian, J.; Zhang, Y. Discovery of a Potential Anti-Ischemic Stroke Agent: 3-Pentylbenzo[c]thiophen-1(3H)-one. J. Med. Chem. 2012, 55, 7173–7181. [Google Scholar] [CrossRef] [PubMed]
- Elinav, E.; Nowarski, R.; Thaiss, C.A.; Hu, B.; Jin, C.; Flavell, R.A. Inflammation-induced cancer: Crosstalk between tumours, immune cells and microorganisms. Nat. Rev. Cancer 2013, 13, 759–771. [Google Scholar] [CrossRef]
- Duan, L.; Rao, X.; Sigdel, K.R. Regulation of Inflammation in Autoimmune Disease. J. Immunol. Res. 2019, 2019, 7403796. [Google Scholar] [CrossRef]
- Vasarri, M.; Degl’Innocenti, D. Antioxidant and Anti-Inflammatory Agents from the Sea: A Molecular Treasure for New Potential Drugs. Mar. Drugs 2022, 20, 132. [Google Scholar] [CrossRef]
- Saad, J.; Mathew, D. Nonsteroidal Anti-Inflammatory Drugs Toxicity; StatPearls: Treasure Island, FL, USA, 2020. Available online: https://www.ncbi.nlm.nih.gov/books/NBK526006 (accessed on 1 March 2022).
- Liu, L.; Ning, Z.-Q.; Shan, S.; Zhang, K.; Deng, T.; Lu, X.-P.; Cheng, Y.-Y. Phthalide Lactones from Ligusticum chuanxiong Inhibit Lipopolysaccharide-Induced TNF-α Production and TNF-α-Mediated NF-κB Activation. Planta Medica 2005, 71, 808–813. [Google Scholar] [CrossRef]
- Wang, J.; Du, J.; Wang, Y.; Kuang, X.; Wang, C. Z-ligustilide attenuates lipopolysaccharide-induced proinflammatory response via inhibiting NF-κB pathway in primary rat microglia. Acta Pharmacol. Sin. 2010, 31, 791–797. [Google Scholar] [CrossRef] [PubMed]
- Chung, J.W.; Choi, R.J.; Seo, E.-K.; Nam, J.-W.; Dong, M.-S.; Shin, E.M.; Guo, L.Y.; Kim, Y.S. Anti-inflammatory effects of (Z)-ligustilide through suppression of mitogen-activated protein kinases and nuclear factor NF-kB activation pathways. Arch. Pharm. Res. 2012, 35, 723–732. [Google Scholar] [CrossRef] [PubMed]
- Ma, Z.; Bai, L. The Anti-inflammatory Effect of Z-Ligustilide in Experimental Ovariectomized Osteopenic Rats. Inflammation 2012, 35, 1793–1797. [Google Scholar] [CrossRef] [PubMed]
- Uto, T.; Tung, N.H.; Taniyama, R.; Miyanowaki, T.; Morinaga, O.; Shoyama, Y. Anti-inflammatory Activity of Constituents Isolated from Aerial Part of Angelica acutiloba Kitagawa. Phytother. Res. 2015, 29, 1956–1963. [Google Scholar] [CrossRef]
- Choi, E.S.; Yoon, J.J.; Han, B.H.; Jeong, D.H.; Lee, Y.J.; Kang, D.G.; Lee, H.S. Ligustilide attenuates vascular inflammation and activates Nrf2/HO-1 induction and, NO synthesis in HUVECs. Phytomedicine 2018, 38, 12–23. [Google Scholar] [CrossRef]
- Ningsih, F.N.; Okuyama, T.; To, S.; Nishidono, Y.; Okumura, T.; Tanaka, K.; Ikeya, Y.; Nishizawa, M. Comparative Analysis of Anti-inflammatory Activity of the Constituents of the Rhizome of Cnidium officinale Using Rat Hepatocytes. Biol. Pharm. Bull. 2020, 43, 1867–1875. [Google Scholar] [CrossRef]
- Lee, W.-S.; Shin, J.-S.; Jang, D.S.; Lee, K.-T. Cnidilide, an alkylphthalide isolated from the roots of Cnidium officinale, suppresses LPS-induced NO, PGE2, IL-1β, IL-6 and TNF-α production by AP-1 and NF-κB inactivation in RAW 264.7 macrophages. Int. Immun. 2016, 40, 146–155. [Google Scholar] [CrossRef]
- Bae, K.-E.; Choi, Y.-W.; Kim, S.-T.; Kim, Y.-K. Components of Rhizome Extract of Cnidium officinale Makino and Their In vitro Biological Effects. Molecules 2011, 16, 8833–8847. [Google Scholar] [CrossRef]
- Huang, J.; Lu, X.-Q.; Zhang, C.; Lu, J.; Li, G.-Y.; Lin, R.-C.; Wang, J.-H. Anti-inflammatory ligustilides from Ligusticum chuanxiong Hort. Fitoterapia 2013, 91, 21–27. [Google Scholar] [CrossRef]
- Guo, H.; Sun, L.; Ling, S.; Xu, J.-W. Levistilide A Ameliorates NLRP3 Expression Involving the Syk-p38/JNK Pathway and Peripheral Obliterans in Rats. Mediators Inflamm. 2018, 2018, 7304096. [Google Scholar] [CrossRef]
- Del-Ángel, M.; Nieto, A.; Ramírez-Apan, T.; Delgado, G. Anti-inflammatory effect of natural and semi-synthetic phthalides. Eur. J. Pharmacol. 2015, 752, 40–48. [Google Scholar] [CrossRef] [PubMed]
- Strobel, G.; Ford, E.; Worapong, J.; Harper, J.K.; Arif, A.M.; Grant, D.M.; Fung, P.C.; Chau, R.M.W. Isopestacin, an isobenzofuranone from Pestalotiopsis microspora, possessing antifungal and antioxidant activities. Phytochemistry 2002, 60, 179–183. [Google Scholar] [CrossRef]
- Chen, J.; Yang, J.; Ma, L.; Li, J.; Shahzad, N.; Kim, C.K. Structure-antioxidant activity relationship of methoxy, phenolic hydroxyl, and carboxylic acid groups of phenolic acids. Sci. Rep. 2020, 10, 2611. [Google Scholar] [CrossRef] [PubMed]
- Atmaca, G. Antioxidant Effects of Sulfur-Containing Amino Acids. Yonsei Med. J. 2004, 45, 776–788. [Google Scholar] [CrossRef]
- Renzetti, A.; Fukumoto, K. Synthesis of Phthalides and α,β-butenolides by Transition Metal-Catalyzed Activation of C-H Bonds. Molecules 2019, 24, 824. [Google Scholar] [CrossRef]
- Awasthi, A.; Singh, M.; Rathee, G.; Chandra, R. Recent advancements in synthetic methodologies of 3-substituted phthalides and their application in the total synthesis of biologically active natural products. RSC Adv. 2020, 10, 12626–12652. [Google Scholar] [CrossRef]
- Sun, Q.; Zhu, R.; Hu, S.; Fang, A.L. C-H Activation, a New Strategy for the Synthesis of 3-Substituted Phthalides. Gen. Chem. 2021, 7, 200010. [Google Scholar] [CrossRef]
- Shen, Y.; Huang, B.; Zeng, L.; Cui, S. Single Reactant Replacement Approach of Passerini Reaction: One-Pot Synthesis of β-Acyloxyamides and Phthalides. Org. Lett. 2017, 19, 4616–4619. [Google Scholar] [CrossRef]
- Kumar, R.; Van der Eycken, E.V. Recent approaches for C–C bond formation via direct dehydrative coupling strategies. Chem. Soc. Rev. 2012, 42, 1121–1146. [Google Scholar] [CrossRef]
- Al-Hamdany, R.; Fataftah, Z.A. Condensation of o-phthalaldehydic acid with dihydroxybenzenes. Part VII: Synthesis of 3-(dihydroxyphenyl)phthalides and their nitration reactions. Asian J. Chem. 1997, 9, 703–709. [Google Scholar]
- Ohzeki, T.; Mori, K. Synthetic Racemate and Enantiomers of Cytosporone E, a Metabolite of an Endophytic Fungus, Show Indistinguishably Weak Antimicrobial Activity. Biosci. Biotechnol. Biochem. 2003, 67, 2584–2590. [Google Scholar] [CrossRef] [PubMed][Green Version]
- Chen, W.; Li, J.; Xie, H.; Wang, J. Rhodium(III)-Catalyzed Asymmetric Addition of Inert Arene C–H Bond to Aldehydes To Afford Enantioenriched Phthalides. Org. Lett. 2020, 22, 3586–3590. [Google Scholar] [CrossRef] [PubMed]
- Puder, C.; Zeeck, A.; Beil, W. New Biologically Active Rubiginones from Streptomyces sp. J. Antibiot. 2000, 53, 329–336. [Google Scholar] [CrossRef] [PubMed]
- Igboeli, H.A.; Marchbank, D.H.; Correa, H.; Overy, D.; Kerr, R.G. Discovery of Primarolides A and B from Marine Fungus Asteromyces cruciatus Using Osmotic Stress and Treatment with Suberoylanilide Hydroxamic Acid. Mar. Drugs 2019, 17, 435. [Google Scholar] [CrossRef]
- Phan, D.H.T.; Kim, B.; Dong, V.M. Phthalides by rhodium-catalyzed ketone hydrocylation. J. Am. Chem. Soc. 2009, 131, 15608–15609. [Google Scholar] [CrossRef]
- Song, X.; Hua, Y.-Z.; Shi, J.-G.; Sun, P.-P.; Wang, M.-C.; Chang, J. Diastereomeric Aziridine Carbinol Catalyzed Enantioselective Arylation Reaction: Toward the Asymmetric Synthesis of Both Enantiomers of Chiral 3-Aryl Phthalide. J. Org. Chem. 2014, 79, 6087–6093. [Google Scholar] [CrossRef]
- Yang, J.; Yoshikai, N. Cobalt-Catalyzed Enantioselective Intramolecular Hydroacylation of Ketones and Olefins. J. Am. Chem. Soc. 2014, 136, 16748–16751. [Google Scholar] [CrossRef]
- Lu, B.; Zhao, M.; Ding, G.; Xie, X.; Jiang, L.; Ratovelomanana-Vidal, V.; Zhang, Z. Ruthenium-Catalyzed Enantioselective Hydrogenation/Lactonization of 2-Acylarylcarboxylates: Direct Access to Chiral 3-Substituted Phthalides. Chem. Cat. Chem. 2017, 9, 3989–3996. [Google Scholar] [CrossRef]
- Huang, H.; Wang, Y.; Zong, H.; Song, L. Catalytic asymmetric 1,2-Addition/Lactonization tandem reactions for the syntheses of chiral 3-Substituted phthalides using organozinc reagents. Appl. Organomet. Chem. 2018, 33, e4643. [Google Scholar] [CrossRef]
- Carlos, A.M.M.; Stieler, R.; Lüdtke, D.S. Catalytic asymmetric synthesis of 3-aryl phthalides enabled by arylation–lactonization of 2-formylbenzoates. Org. Biomol. Chem. 2018, 17, 283–289. [Google Scholar] [CrossRef]
- Yao, C.; Chen, Y.; Sun, R.; Wang, C.; Huang, Y.; Li, L.; Li, Y.-M. Binaphthyl–prolinol chiral ligands: Design and their application in enantioselective arylation of aromatic aldehydes. Org. Biomol. Chem. 2021, 19, 3644–3655. [Google Scholar] [CrossRef]
- Xu, S.-Y.; Zhang, R.; Zhang, S.-S.; Feng, C.-G. Enantioselective synthesis of 3-aryl-phthalides through a nickel-catalyzed stereoconvergent cross-coupling reaction. Org. Biomol. Chem. 2021, 19, 4492–4496. [Google Scholar] [CrossRef]
- Harper, J.K.; Arif, A.M.; Ford, E.J.; Strobel, G.A.; Porco, J.A.; Tomer, D.P.; Oneill, K.L.; Heider, E.M.; Grant, D.M. Pestacin: A 1,3-dihydro isobenzofuran from Pestalotiopsis microspora possessing antioxidant and antimycotic activities. Tetrahedron 2003, 59, 2471–2476. [Google Scholar] [CrossRef]
- Huang, J.; Fu, X.; Chen, X.; Li, Z.; Huang, Y.; Liang, C. Promising Therapeutic Targets for Treatment of Rheumatoid Arthritis. Front. Immunol. 2021, 12, 686155. [Google Scholar] [CrossRef]
- Ambriz-Pérez, D.L.; Leyva-López, N.; Gutierrez-Grijalva, E.P.; Heredia, J.B. Phenolic compounds: Natural alternative in inflammation treatment. A Review. Cogent Food Agric. 2016, 2, 1131412. [Google Scholar] [CrossRef]
- Re, R.; Pellegrini, N.; Proteggente, A.; Pannala, A.; Yang, M.; Rice-Evans, C. Antioxidant activity applying an improved ABTS radical cation decolorization assay. Free Radic. Biol. Med. 1999, 26, 1231–1237. [Google Scholar] [CrossRef]
- Green, L.C.; Wagner, D.A.; Glogowski, J.; Skipper, P.L.; Wishnok, J.S.; Tannenbaum, S.R. Analysis of nitrate, nitrite and [15N]nitrate in biological fluids. Anal. Biochem. 1982, 126, 131–138. [Google Scholar] [CrossRef]







| Compound | Trolox | 5a | 5b | 5e | 5f |
|---|---|---|---|---|---|
| EC50 (μM ± SD, n = 3) | 9.98 ± 0.09 | 8.93 ± 0.20 | 17.37 ± 0.29 | 23.03 ± 0.23 | 17.89 ± 0.26 |
Publisher’s Note: MDPI stays neutral with regard to jurisdictional claims in published maps and institutional affiliations. |
© 2022 by the authors. Licensee MDPI, Basel, Switzerland. This article is an open access article distributed under the terms and conditions of the Creative Commons Attribution (CC BY) license (https://creativecommons.org/licenses/by/4.0/).
Share and Cite
Ortega, M.J.; Parra-Torrejón, B.; Cano-Cano, F.; Gómez-Jaramillo, L.; González-Montelongo, M.C.; Zubía, E. Synthesis and Antioxidant/Anti-Inflammatory Activity of 3-Arylphthalides. Pharmaceuticals 2022, 15, 588. https://doi.org/10.3390/ph15050588
Ortega MJ, Parra-Torrejón B, Cano-Cano F, Gómez-Jaramillo L, González-Montelongo MC, Zubía E. Synthesis and Antioxidant/Anti-Inflammatory Activity of 3-Arylphthalides. Pharmaceuticals. 2022; 15(5):588. https://doi.org/10.3390/ph15050588
Chicago/Turabian StyleOrtega, María J., Belén Parra-Torrejón, Fátima Cano-Cano, Laura Gómez-Jaramillo, M. Carmen González-Montelongo, and Eva Zubía. 2022. "Synthesis and Antioxidant/Anti-Inflammatory Activity of 3-Arylphthalides" Pharmaceuticals 15, no. 5: 588. https://doi.org/10.3390/ph15050588
APA StyleOrtega, M. J., Parra-Torrejón, B., Cano-Cano, F., Gómez-Jaramillo, L., González-Montelongo, M. C., & Zubía, E. (2022). Synthesis and Antioxidant/Anti-Inflammatory Activity of 3-Arylphthalides. Pharmaceuticals, 15(5), 588. https://doi.org/10.3390/ph15050588

