Design, Synthesis, and Antibacterial Screening of Some Novel Heteroaryl-Based Ciprofloxacin Derivatives as DNA Gyrase and Topoisomerase IV Inhibitors
Abstract
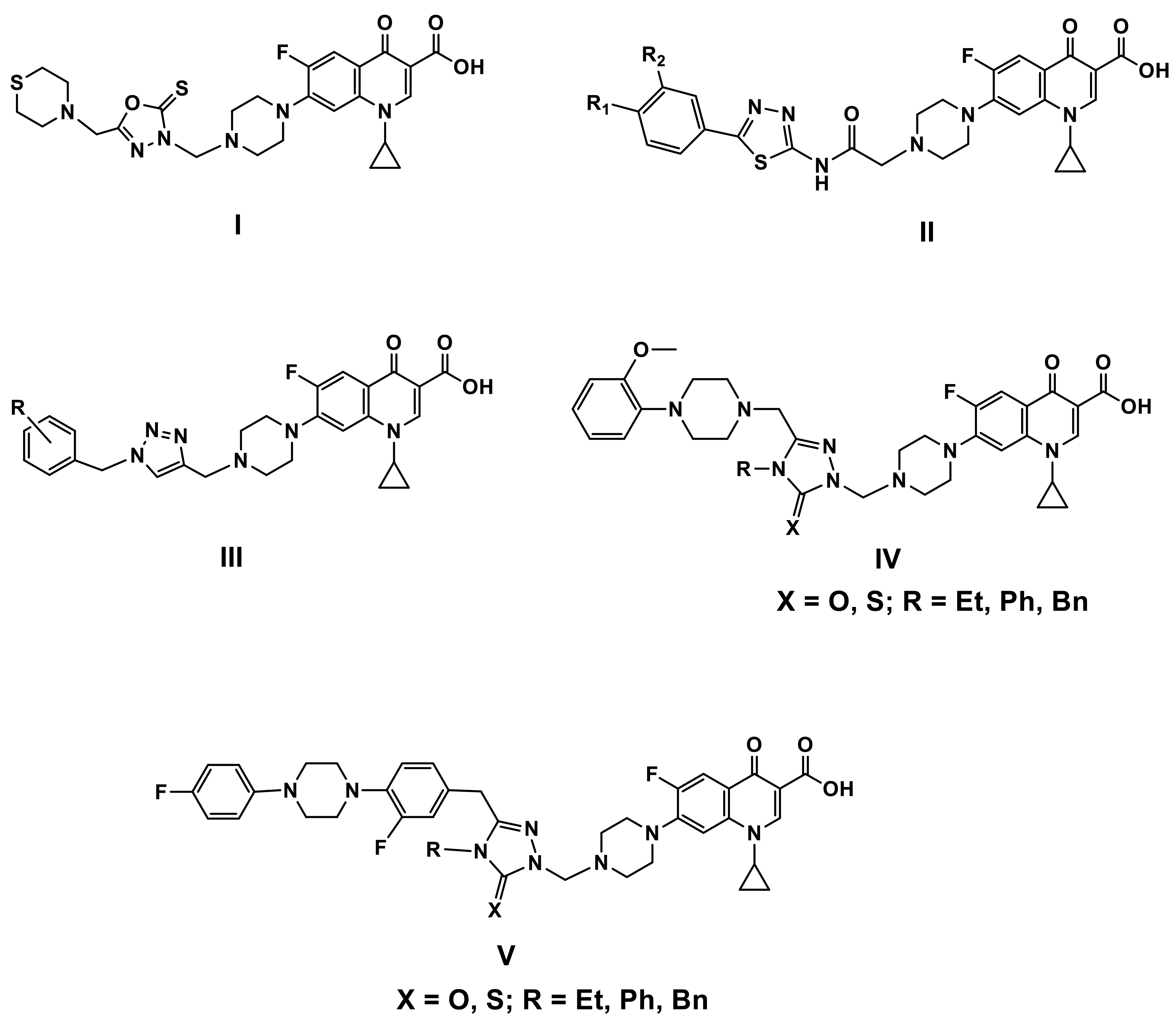
1. Introduction
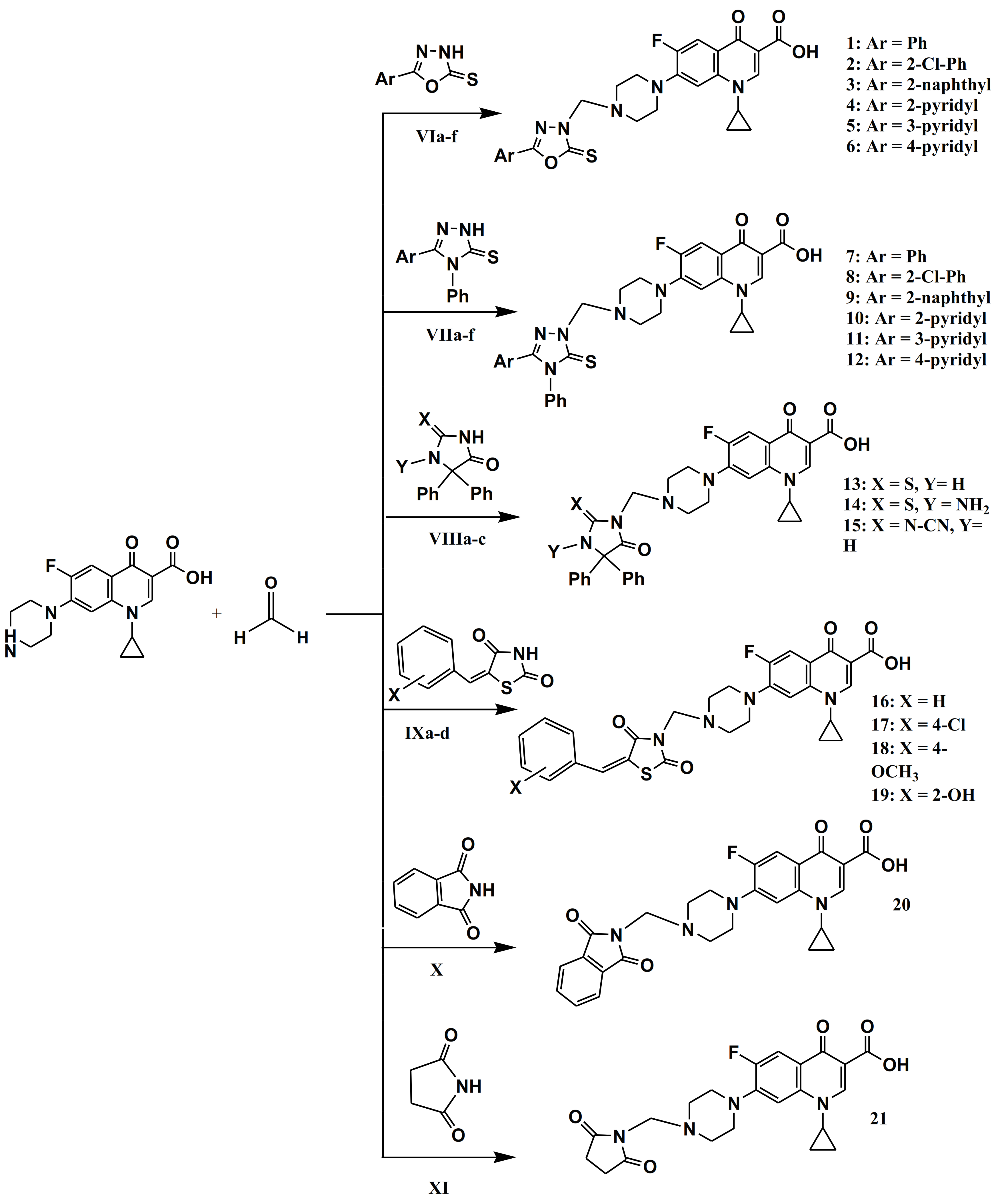
2. Results and Discussion
2.1. Chemistry
2.2. Biology
2.2.1. Antimicrobial Sensitivity Test
2.2.2. Minimum Inhibitory Concentration Test
2.2.3. Inhibitory Activity Against E. coli DNA Gyrase and Topoisomerase IV
2.2.4. Cell Viability Assay
2.3. Drug Likeness Profile
3. Materials and Methods
3.1. Chemistry
3.1.1. General Procedure for the Synthesis of Compounds 1–21
1-Cyclopropyl-6-fluoro-4-oxo-7-[4-(5-phenyl-2-thioxo[1,3,4]oxadiazol-3-yl-methyl)-piperazin-1-yl]-1,4-dihydro-quinoline-3-carboxylic acid (1)
7-{4-[5-(2-Chloro-phenyl)-2-thioxo-[1,3,4]oxadiazol-3-ylmethyl]-piperazin-1-yl}-1-cyclopropyl-6-fluoro-4-oxo-1,4-dihydro-quinoline-3-carboxylic acid (2)
1-Cyclopropyl-6-fluoro-7-[4-(5-naphthalen-2-yl-2-thioxo-[1,3,4]oxadiazol-3-yl methyl)-piperazin-1-yl]-4-oxo-1,4-dihydro-quinoline-3-carboxylic acid (3)
1-Cyclopropyl-6-fluoro-4-oxo-7-[4-(5-pyridin-2-yl-2-thioxo-[1,3,4]oxadiazol-3-yl-methyl)-piperazin-1-yl]-1,4-dihydro-quinoline-3-carboxylic acid (4)
1-Cyclopropyl-6-fluoro-4-oxo-7-[4-(5-pyridin-3-yl-2-thioxo-[1,3,4]oxadiazol-3-yl-methyl)-piperazin-1-yl]-1,4-dihydro-quinoline-3-carboxylic acid (5)
1-Cyclopropyl-6-fluoro-4-oxo-7-[4-(5-pyridin-4-yl-2-thioxo-[1,3,4]oxadiazol-3-yl-methyl)-piperazin-1-yl]-1,4-dihydro-quinoline-3-carboxylic acid (6)
1-Cyclopropyl-7-[4-(3,4-diphenyl-5-thioxo-4,5-dihydro-[1,2,4]triazol-1-ylmethyl)-piperazin-1-yl]-6-fluoro-4-oxo-1,4-dihydro-quinoline-3-carboxylic acid (7)
7-{4-[3-(2-Chloro-phenyl)-4-phenyl-5-thioxo-4,5-dihydro-[1,2,4]triazol-1-ylmethyl]-piperazin-1-yl}-1-cyclopropyl-6-fluoro-4-oxo-1,4-dihydro-quinoline-3-carboxylic acid (8)
1-Cyclopropyl-6-fluoro-7-[4-(3-naphthalen-2-yl-4-phenyl-5-thioxo-4,5-dihydro-[1,2,4]triazol-1-ylmethyl)-piperazin-1-yl]-4-oxo-1,4-dihydro-quinoline-3-carboxylic acid (9)
1-Cyclopropyl-6-fluoro-4-oxo-7-[4-(4-phenyl-3-pyridin-2-yl-5-thioxo-4,5-dihydro-[1,2,4]triazol-1-ylmethyl)-piperazin-1-yl]-1,4-dihydro-quinoline-3-carboxylic acid (10)
1-Cyclopropyl-6-fluoro-4-oxo-7-[4-(4-phenyl-3-pyridin-3-yl-5-thioxo-4,5-dihydro-[1,2,4]triazol-1-ylmethyl)-piperazin-1-yl]-1,4-dihydro-quinoline-3-carboxylic acid (11)
1-Cyclopropyl-6-fluoro-4-oxo-7-[4-(4-phenyl-3-pyridin-4-yl-5-thioxo-4,5-dihydro-[1,2,4]triazol-1-ylmethyl)-piperazin-1-yl]-1,4-dihydro-quinoline-3-carboxylic acid (12)
1-Cyclopropyl-6-fluoro-4-oxo-7-[4-(5-oxo-4,4-diphenyl-2-thioxo-imidazolidin-1-ylmethyl)-piperazin-1-yl]-1,4-dihydro-quinoline-3-carboxylic acid (13)
7-[4-(3-Amino-5-oxo-4,4-diphenyl-2-thioxo-imidazolidin-1-ylmethyl)-piperazin-1-yl]-1-cyclopropyl-6-fluoro-4-oxo-1,4-dihydro-quinoline-3-carboxylic acid (14)
7-[4-(2-Cyanoimino-5-oxo-4,4-diphenyl-imidazolidin-1-ylmethyl)-piperazin-1-yl]-1-cyclopropyl-6-fluoro-4-oxo-1,4-dihydro-quinoline-3-carboxylic acid (15)
7-[4-(5-Benzylidene-2,4-dioxo-thiazolidin-3-ylmethyl)-piperazin-1-yl]-1-cyclo-propyl-6-fluoro-4-oxo-1,4-dihydro-quinoline-3-carboxylic acid (16)
7-{4-[5-(4-Chloro-benzylidene)-2,4-dioxo-thiazolidin-3-ylmethyl]-piperazin-1-yl}-1-cyclopropyl-6-fluoro-4-oxo-1,4-dihydro-quinoline-3-carboxylic acid (17)
1-Cyclopropyl-6-fluoro-7-{4-[5-(4-methoxy-benzylidene)-2,4-dioxo-thiazolidin-3-ylmethyl]-piperazin-1-yl}-4-oxo-1,4-dihydro-quinoline-3-carboxylic acid (18)
1-Cyclopropyl-6-fluoro-7-{4-[5-(2-hydroxy-benzylidene)-2,4-dioxo-thiazolidin-3-ylmethyl]-piperazin-1-yl}-4-oxo-1,4-dihydro-quinoline-3-carboxylic acid (19)
1-Cyclopropyl-7-[4-(1,3-dioxo-1,3-dihydro-isoindol-2-ylmethyl)-piperazin-1-yl]-6-fluoro-4-oxo-1,4-dihydro-quinoline-3-carboxylic acid (20)
1-Cyclopropyl-7-[4-(2,5-dioxo-pyrrolidin-1-ylmethyl)-piperazin-1-yl]-6-fluoro-4-oxo-1,4-dihydro-quinoline-3-carboxylic acid (21)
3.2. Antimicrobial Activity
3.2.1. Organisms and Culture Conditions
3.2.2. Minimum Inhibitory Concentration Assay
3.2.3. Inhibitory Activity Assays on E. coli DNA Gyrase and Topoisomerase IV
3.2.4. MTT Assay
4. Conclusions
Supplementary Materials
Author Contributions
Funding
Institutional Review Board Statement
Informed Consent Statement
Data Availability Statement
Conflicts of Interest
Appendix A
Appendix A.1. General Details
Appendix A.2. Antimicrobial Activity
Appendix A.2.1. Organisms and Culture Conditions
Appendix A.2.2. Minimum Inhibitory Concentration Assay
Appendix A.2.3. Determination of Inhibitory Activities on E. coli and S. aureus DNA Gyrase
References
- Manav, M.; Mohit, S.; Abdul, S.; Aakash, D. New oxadiazole derivatives of isonicotinohydrazide in the search for antimicrobial agents: Synthesis and in vitro evaluation. J. Serb. Chem. Soc. 2012, 77, 9–16. [Google Scholar]
- Tulkens, P.M.; van Bambeke, F.; Zinner, S.H. Profile of a Novel Anionic Fluoroquinolone-Delafloxacin. Clin. Infect. Dis. 2019, 68, 213–222. [Google Scholar] [CrossRef] [PubMed]
- Showalter, H.H.; Denny, W.A. A roadmap for drug discovery and its translation to small molecule agents in clinical development for tuberculosis treatment. Tuberculosis 2008, 88, S3–S17. [Google Scholar] [CrossRef]
- Pieroni, M.; Dimovska, M.; Brincat, J.P.; Sabatini, S.; Carosati, E.; Massari, S.; Kaatz, G.W.; Fravolini, A. From 6-aminoquinolone antibacterials to 6-amino-7-thiopyranopyridinylquinolone ethyl esters as inhibitors of staphylococcus aureus multidrug efflux pumps. J. Med. Chem. 2010, 53, 4466–4480. [Google Scholar] [CrossRef]
- Richards, G.A.; Brink, A.J.; Feldman, C. SAMJ Rational use of the fluoroquinolones. S. Afr. Med. J. 2019, 109, 378–381. [Google Scholar] [CrossRef]
- Holm, A.; Cordoba, G.; Aabenhus, R. Scand Prescription of antibiotics for urinary tract infection in general practice in Denmark. J. Prim. Health 2019, 37, 83–89. [Google Scholar] [CrossRef]
- Mohammed, H.H.H.; Abuo-Rahma, G.E.D.A.; Abbas, S.H.; Abdelhafez, E.M.N. Current Trends and Future Directions of Fluoroquinolones. Curr. Med. Chem. 2019, 26, 3132–3149. [Google Scholar] [CrossRef]
- Jampilek, J. Design and Discovery of New Antibacterial Agents: Advances, Perspectives, Challenges. J. Curr. Med. Chem. 2018, 25, 4972–5006. [Google Scholar] [CrossRef]
- Boothe, D.M.; Bush, K.M.; Boothe, H.W.; Davis, H. Pharmacokinetics and pharmacodynamics of oral pradofloxacin administration in dogs. Am. J. Vet. Res. 2018, 79, 1268–1276. [Google Scholar] [CrossRef]
- Fedorowicz, J.; Sączewski, J. Modifications of quinolones and fluoroquinolones: Hybrid compounds and dual-action molecules. J. Monatsh. Chem. 2018, 149, 1199–1245. [Google Scholar] [CrossRef]
- Berning, S.E. The role of fluoroquinolones in tuberculosis today. Drugs 2001, 61, 9–18. [Google Scholar] [CrossRef]
- Sharma, P.C.; Jain, A.; Jain, S.; Pahwa, R.; Yar, M.S. Ciprofloxacin: Review on developments in synthetic, analytical, and medicinal aspects. J. Enzyme Inhib. Med. Chem. 2010, 25, 577–589. [Google Scholar] [CrossRef]
- Suresh, N.; Nagesh, H.N.; Sekhar, K.V.G.C.; Kumar, A.; Shirazi, A.N.; Parang, K. Synthesis of novel ciprofloxacin analogues and evaluation of their anti-proliferative effect on human cancer cell lines. Bioorg. Med. Chem. Lett. 2013, 23, 6292–6295. [Google Scholar] [CrossRef]
- Zhang, G.; Liu, X.; Zhang, S.; Pan, B.; Liu, M.-L. Ciprofloxacin derivatives and their antibacterial activities. Eur. J. Med. Chem. 2018, 146, 599–612. [Google Scholar] [CrossRef] [PubMed]
- Demirci, S.; Mermer, A.; Ak, G.; Aksakal, F.; Colak, N.; Demirbas, A.; Ayaz, F.A.; Demirbas, N. Conventional and Microwave-assisted Total Synthesis, Antioxidant Capacity, Biological Activity, and Molecular Docking Studies of New Hybrid Compounds. J. Heterocycl. Chem. 2017, 54, 1785–1805. [Google Scholar] [CrossRef]
- Pandit, N.; Shah, K.; Agrawal, N.; Upmanyu, N.; Shrivastava, S.K.; Mishra, P. Synthesis, characterization and biological evaluation of some novel fluoroquinolones. P. Med. Chem. Res. 2016, 25, 843–851. [Google Scholar] [CrossRef]
- Kant, R.; Singh, V.; Nath, G.; Awasthi, S.K.; Agarwal, A. Design, synthesis and biological evaluation of ciprofloxacin tethered bis-1,2,3-triazole conjugates as potent antibacterial agents. Eur. J. Med. Chem. 2016, 124, 218–228. [Google Scholar] [CrossRef]
- Mermer, A.; Demirci, S.; Ozdemir, S.B.; Demirbas, A.; Ulker, S.; Ayaz, F.A.; Aksakal, F.; Demirbas, N. Conventional and Microwave Irradiated Synthesis, Biological Activity Evaluation and Molecular Docking Studies of Highly Substituted Piperazine-Azole Hybrids. Chin. Chem. Lett. 2017, 28, 995–1005. [Google Scholar] [CrossRef]
- Ozdemir, S.B.; Cebeci, Y.U.; Bayrak, H.; Mermer, A.; Ceylan, S.; Demirbas, A.; Karaoglu, S.A.; Demirbas, N. Synthesis and antimicrobial activity of new piperazine-based heterocyclic compounds. Heterocycl. Commun. 2017, 23, 43–54. [Google Scholar]
- Marzouk, A.A.; Mohamed, S.K.; Aljohani, E.T.; Abdelhamid, A.A. New Method for Synthesis of Multi-substituted Imidazoles. J. Heterocycl. Chem. 2018, 55, 1775. [Google Scholar] [CrossRef]
- Abu-Dief, A.M.; Abdel-Rahman, L.H.; Abdelhamid, A.A.; Marzouk, A.A.; Shehatad, M.R.; Bakheet, M.A.; Nafady, A. Synthesis and characterization of new Cr(III), Fe(III) and Cu(II) complexes incorporating multi-substituted aryl imidazole ligand: Structural, DFT, DNA binding, and biological implications. Spectrochim. Acta Part. A 2020, 228, 117700. [Google Scholar]
- Abdelhamid, A.A.; Salah, H.A.; Marzouk, A.A. Synthesis of imidazole derivatives: Ester and hydrazide compounds with antioxidant activity using ionic liquid as an efficient catalyst. J. Heterocyclic Chem. 2020, 57, 676–685. [Google Scholar]
- Marzouk, A.A.; Bass, A.K.A.; Ahmed, M.S.; Abdelhamid, A.A.; Elshaier, Y.A.M.M.; Salman, A.M.M.; Aly, O.M. Design, synthesis and anticonvulsant activity of new imidazolidindione and imidazole derivatives. Bioorg. Chem. 2020, 101, 104020. [Google Scholar]
- Shaykoon, M.S.; Marzouk, A.A.; Soltan, O.M.; Wanas, A.S.; Radwan, M.M.; Gouda, A.M.; Youssif, B.G.M.; Abdel-Aziz, M. Design, synthesis and antitrypanosomal activity of heteroaryl-based 1,2,4-triazole and 1,3,4-oxadiazole derivatives. Bioorg. Chem. 2020, 100, 103933. [Google Scholar]
- Marzouk, A.A.; Abdel-Aziz, S.A.; Abdelrahman, K.S.; Wanas, A.S.; Gouda, A.M.; Youssif, B.G.M.; Abdel-Aziz, M. Design and synthesis of new 1,6-dihydropyrimidin-2-thio derivatives targeting VEGFR-2: Molecular docking and antiproliferative evaluation. Bioorg. Chem. 2020, 102, 104090. [Google Scholar]
- Youssif, B.G.M.; Mohamed, Y.A.M.; Salim, M.T.A.; Inagaki, F.; Mukai, C.; Abdu-Allah, H.A.M. Synthesis of some benzimidazole derivatives endowed with 1,2,3-triazole as potential inhibitors of hepatitis C virus. Acta Pharm. 2016, 66, 219–231. [Google Scholar] [CrossRef]
- Abdu-Allah, H.A.M.; Youssif, B.G.M.; Abddelrahman, M.H.; Abdel-Hamid, M.K.; Reshma, R.S.; Yogeeswari, P.; Aboul-Fadl, T.; Siriram, D. Synthesis and anti-mycobacterial activity of 4-(4-phenyl-1H-1,2,3-triazol-1-yl)salicylhydrazones: Revitalizing an old drug. Arch. Pharm. Res. 2017, 40, 168–179. [Google Scholar]
- Jha, K.K.; Samad, A.; Kumar, Y.; Shaharyar, M.; Khos, R.L.; Jain, J.; Kumar, V.; Singh, P. Design, synthesis and biological evaluation of 1,3,4-oxadiazole derivatives. Eur. J. Med. Chem. 2010, 45, 4963–4967. [Google Scholar]
- Ghattas, A.-B.A.G.; Moustafa, H.M.; Allah, O.A.A.; Amer, A.A. Synthesis and reactions of some 1, 2, 4-triazolo-[4, 3-b]-1, 2, 4-triazoles. Synth. Commun. 2001, 31, 2447–2456. [Google Scholar]
- Todorov, P.; Georgieva, S.; Peneva, P.; Rusew, R.; Shivachev, B.; Georgiev, A. Experimental and theoretical study of bidirectional photoswitching behavior of 5,5′-diphenylhydantoin Schiff bases: Synthesis, crystal structure and kinetic approaches. New J. Chem. 2020, 44, 15081–15099. [Google Scholar] [CrossRef]
- Tilekar, K.; Upadhyay, N.; Schweipert, M.; Hess, J.D.; Macias, L.H.; Mrowka, P.; Meyer-Almes, F.; Aguilera, R.J.; Iancu, C.V.; Choe, J.; et al. Permuted 2,4-thiazolidinedione (TZD) analogs as GLUT inhibitors and their in-vitro evaluation in leukemic cells. Eur. J. Pharm. Sci. 2020, 154, 105512. [Google Scholar] [CrossRef]
- Bauer, A.W.; Kirby, W.M.; Sherris, C.; Turck, M. Antibiotic Susceptibility Testing by a Standardized Single Disk Method. Am. J. Clin. Pathol. 1966, 45, 493–496. [Google Scholar] [CrossRef]
- Pfaller, M.A.; Burmeister, L.; Bartlett, M.A.; Rinaldi, M.G. Multicenter evaluation of four methods of yeast inoculum preparation. J. Clin. Microbiol. 1988, 26, 1437–1441. [Google Scholar] [CrossRef]
- National Committee for Clinical Laboratory Standards. Proposed Guideline M 44-P; NCCLS: Wayne, PA, USA, 2003. [Google Scholar]
- National Committee for Clinical Laboratory Standards. Approved Standard M7-A3; National Committee for Clinical Laboratory Standards (NCCLS): Villanova, PA, USA, 1993. [Google Scholar]
- Swamy, P.L.; Rao, T.S.; Kumar, C.A.; Prasad, C.S.; Rao, G.S. IN VITRO—Antimicrobial activity of cashew (Anacardium occidentale, L.) nuts shell liquid against methicillin resistant Staphylococcus Aureus (MRSA) clinical isolates. Int. J. Pharm. Pharm. Sci. 2011, 3, 436–440. [Google Scholar]
- Durcik, M.; Tammela, P.; Barancokova, M.; Tomasic, T.; Ilas, J.; Kikelj, D.; Zidar, N. Synthesis and Evaluation of N-Phenylpyrrolamides as DNA Gyrase B Inhibitors. Chem. Med. Chem. 2017, 5, 201700549. [Google Scholar] [CrossRef]
- Youssif, B.G.; Mohamed, A.M.; Osman, E.E.A.; Abou-Ghadir, O.F.; Elnaggar, D.H.; Abdelrahman, M.H.; Treamblu, L.; Gomaa, H.A. 5-Chlorobenzofuran-2-carboxamides: From allosteric CB1 modulators to potential apoptotic antitumor agents. Eur. J. Med. Chem. 2019, 177, 1–11. [Google Scholar] [CrossRef]
- Abou-Zied, H.A.; Youssif, B.G.M.; Mohamed, M.F.A.; Hayallah, A.M.; Abdel-Aziz, M. EGFR inhibitors and apoptotic inducers: Design, synthesis, anticancer activity and docking studies of novel xanthine derivatives carrying chalcone moiety as hybrid molecules. Bioorg. Chem. 2019, 89, 102997. [Google Scholar] [CrossRef]
- Daina, A.; Michielin, O.; Zoete, V. SwissADME: A free web tool to evaluate pharmacokinetics, druglikeness and medicinal chemistry friendliness of small molecules. Sci. Rep. 2017, 7, 42717. [Google Scholar] [CrossRef]
- Ramadan, M.; El-Aziz, M.A.; Elshaier, Y.A.M.M.; Youssif, B.G.M.; Brown, A.B.; Fathy, H.M.; Aly, A.A. Design and synthesis of new pyranoquinolinone heteroannulated to triazolopyrimidine of potential apoptotic antiproliferative activity. Bioorg. Chem. 2020, 105, 104392. [Google Scholar] [CrossRef]
- Lipinski, C.A.; Lombardo, F.; Dominy, B.W.; Feeney, P.J. Experimental and computational approaches to estimate solubility and permeability in drug discovery and development settings. Adv. Drug Deliv. Rev. 2001, 46, 3–26. [Google Scholar] [CrossRef]
- Ghose, A.K.; Viswanadhan, V.N.; Wendoloski, J.J. A Knowledge-Based Approach in Designing Combinatorial or Medicinal Chemistry Libraries for Drug Discovery. 1. A Qualitative and Quantitative Characterization of Known Drug Databases. J. Comb. Chem. 1999, 1, 55–68. [Google Scholar] [CrossRef]
- Veber, D.F.; Johnson, S.R.; Cheng, H.-Y.; Smith, B.R.; Ward, K.W.; Kopple, K.D. Molecular Properties That Influence the Oral Bioavailability of Drug Candidates. J. Med. Chem. 2002, 45, 2615–2623. [Google Scholar] [CrossRef] [PubMed]
- Egan, W.J.; Merz, K.M., Jr.; Baldwin, J.J. Prediction of Drug Absorption Using Multivariate Statistics. J. Med. Chem. 2000, 43, 3867–3877. [Google Scholar] [CrossRef] [PubMed]
- Muegge, I.; Heald, S.L.; Brittelli, D. Simple Selection Criteria for Drug-like Chemical Matter. J. Med. Chem. 2001, 44, 1841–1846. [Google Scholar] [CrossRef] [PubMed]
- Baell, J.B.; Holloway, G.A. New Substructure Filters for Removal of Pan Assay Interference Compounds (PAINS) from Screening Libraries and for Their Exclusion in Bioassays. J. Med. Chem. 2010, 53, 2719–2740. [Google Scholar] [CrossRef]



| Compound | Inhibition Zone Diameter (mm/mg Sample) | |||||
|---|---|---|---|---|---|---|
| Bacterial Species | Fungi | |||||
| (G+) | (G−) | |||||
| B. subtilis | S. aureus | E. coli | P. aeruginosa | A. flavus | C. albicans | |
| Ciprofloxacin | 40 | 40 | 40 | 40 | -- | -- |
| Fluconazole | -- | -- | -- | -- | 40 | 40 |
| 1 | 31 | 36 | 34 | 31 | 0.0 | 0.0 |
| 2 | 36 | 37 | 36 | 36 | 0.0 | 9 |
| 3 | 36 | 37 | 37 | 35 | 0.0 | 13 |
| 4 | 37 | 41 | 41 | 40 | 0.0 | 10 |
| 5 | 37 | 41 | 41 | 38 | 0.0 | 10 |
| 6 | 38 | 48 | 38 | 37 | 0.0 | 10 |
| 7 | 32 | 35 | 32 | 32 | 0.0 | 0.0 |
| 8 | 32 | 32 | 33 | 31 | 0.0 | 0.0 |
| 9 | 31 | 32 | 30 | 31 | 0.0 | 0.0 |
| 10 | 30 | 34 | 31 | 32 | 0.0 | 0.0 |
| 11 | 35 | 31 | 31 | 35 | 0.0 | 0.0 |
| 12 | 35 | 33 | 35 | 35 | 0.0 | 0.0 |
| 13 | 0.0 | 0.0 | 0.0 | 0.0 | 0.0 | 0.0 |
| 16 | 37 | 34 | 37 | 37 | 0.0 | 11 |
| 17 | 32 | 28 | 31 | 31 | 0.0 | 0.0 |
| 18 | 32 | 31 | 32 | 33 | 0.0 | 0.0 |
| 19 | 32 | 31 | 31 | 31 | 0.0 | 0.0 |
| 20 | 33 | 41 | 35 | 33 | 0.0 | 0.0 |
| 21 | 31 | 36 | 28 | 31 | 0.0 | 0.0 |

| Minimum Inhibitory Concentration (MIC) in µg/mL | |||||
|---|---|---|---|---|---|
| Compound | Ar | Bacterial Species | |||
| (G+) | (G−) | ||||
| B. subtilis | S. aureus | E. coli | P. aeruginosa | ||
| 2 | 2-Cl-Ph | 0.125 | 0.162 | 0.125 | 0.125 |
| 3 | 2-Naphthyl | 0.125 | 0.125 | 0.125 | 0.05 |
| 4 | 2-Pyridyl | 0.125 | 0.035 | 0.062 | 0.062 |
| 5 | 3-Pyridyl | 0.125 | 0.035 | 0.062 | 0.125 |
| 6 | 4-Pyridyl | 0.125 | 0.031 | 0.125 | 0.125 |
| Ciprofloxacin | -- | 0.010 | 0.030 | 0.060 | 0.060 |
| Compound | IC50 (nM) a or RA (%) b | IC50 (µM) a or RA (%) b |
|---|---|---|
| E. coli DNA Gyrase | E. coli Topo IV | |
| 2 | 57% | 89% |
| 3 | 86 ± 9 nM | 58% |
| 4 | 42 ± 7 nM | 1.47 ± 0.20 µM |
| 5 | 92 ± 9 nM | 6.80 ± 0.20 µM |
| 6 | 180 ± 20 nM | 8.92 ± 0.20 µM |
| Novobiocin | 170 ± 20 nM | 11 ± 2 µM |
| Compound | Cell Viability % |
|---|---|
| 2 | 87 |
| 3 | 85 |
| 4 | 89 |
| 5 | 91 |
| 6 | 87 |
Publisher’s Note: MDPI stays neutral with regard to jurisdictional claims in published maps and institutional affiliations. |
© 2021 by the authors. Licensee MDPI, Basel, Switzerland. This article is an open access article distributed under the terms and conditions of the Creative Commons Attribution (CC BY) license (https://creativecommons.org/licenses/by/4.0/).
Share and Cite
Al-Wahaibi, L.H.; Amer, A.A.; Marzouk, A.A.; Gomaa, H.A.M.; Youssif, B.G.M.; Abdelhamid, A.A. Design, Synthesis, and Antibacterial Screening of Some Novel Heteroaryl-Based Ciprofloxacin Derivatives as DNA Gyrase and Topoisomerase IV Inhibitors. Pharmaceuticals 2021, 14, 399. https://doi.org/10.3390/ph14050399
Al-Wahaibi LH, Amer AA, Marzouk AA, Gomaa HAM, Youssif BGM, Abdelhamid AA. Design, Synthesis, and Antibacterial Screening of Some Novel Heteroaryl-Based Ciprofloxacin Derivatives as DNA Gyrase and Topoisomerase IV Inhibitors. Pharmaceuticals. 2021; 14(5):399. https://doi.org/10.3390/ph14050399
Chicago/Turabian StyleAl-Wahaibi, Lamya H., Amer A. Amer, Adel A. Marzouk, Hesham A. M. Gomaa, Bahaa G. M. Youssif, and Antar A. Abdelhamid. 2021. "Design, Synthesis, and Antibacterial Screening of Some Novel Heteroaryl-Based Ciprofloxacin Derivatives as DNA Gyrase and Topoisomerase IV Inhibitors" Pharmaceuticals 14, no. 5: 399. https://doi.org/10.3390/ph14050399
APA StyleAl-Wahaibi, L. H., Amer, A. A., Marzouk, A. A., Gomaa, H. A. M., Youssif, B. G. M., & Abdelhamid, A. A. (2021). Design, Synthesis, and Antibacterial Screening of Some Novel Heteroaryl-Based Ciprofloxacin Derivatives as DNA Gyrase and Topoisomerase IV Inhibitors. Pharmaceuticals, 14(5), 399. https://doi.org/10.3390/ph14050399

