Abstract
Despite the availability of many drugs to treat infectious diseases, the problems like narrow antimicrobial spectrum, drug resistance, hypersensitivities and systemic toxicities are hampering their clinical utility. Based on the above facts, in the present study, we designed, synthesized and evaluated the antibacterial and antifungal activity of novel fluorinated compounds comprising of chalcones bearing trifluoromethyl (A1–A10) and trifluoromethoxy (B1–B10) substituents. The compounds were characterized by spectroscopic techniques and evaluated for their antimicrobial activity against four pathogenic Gram-positive (Staphylococcus aureus and Bacillus subtilis) and Gram-negative (Escherichia coli and Bacillus subtilis) bacterial and fungal (Candida albicans and Aspergillus niger) strains. In this study, the compounds with trifluoromethoxy group were more effective than those with trifluoromethyl group. Among the 20 fluorinated chalcones, compound A3/B3 bearing an indole ring attached to the olefinic carbon have been proved to possess the most antimicrobial activity compared to the standard drugs without showing cytotoxicity on human normal liver cell line (L02). Further, the minimum inhibitory concentration (MIC) for A3/B3 was determined by serial tube dilution method and showed potential activity. These results would provide promising access to future study about the development of novel agents against bacterial and fungal infections.
1. Introduction
Infectious diseases in human beings are caused by microbes including bacteria, fungi, and viruses. These diseases are treated by employing a range of antimicrobials available in the market. The utility of antimicrobials in therapy is ever-increasing, which is leading to the most dangerous problem, antimicrobial resistance (AMR) [1,2]. Resistance to antimicrobial agents is a major threat to public health and is responsible for significant rise in morbidity, mortality, and hospitalization. Keeping this in view, World Health Organization (WHO) introduced a preamble “no action today no cure tomorrow” to counteract the trouble of AMR [3,4,5]. The limitations of current antimicrobial agents like AMR, untoward side-effects, lengthier treatment period, and improper therapeutic outcomes compel the development of more effective novel antimicrobial chemical entities that can be employed as drugs. Scientists are in a continuous search for novel antimicrobial agents employing different strategies. One common strategy followed by researchers is the design and synthesis of small molecules for testing them as prospective antimicrobial drug candidates. Small molecule drugs play a significant role in treating different types of diseases. In recent years, according to United States-Food and Drug Administration (US-FDA), the development of small molecules has reduced to some extent (74% in 2017 and 71% in 2018). However, in 2019, nearly 70% of the total of approved targeted drugs were small molecules [6,7]. Advantages of small molecules include better pharmacokinetic properties, oral bioavailability, delivery, and production cost [8]. Small molecules bring chemical diversity in less time and with ease compared to isolation, structural elucidation and biological testing of natural products. Additionally, screening of small molecule libraries derived through laboratory synthesis is widely employed in the pharmaceutical industry to identify lead molecules with potential drug-like properties [9].
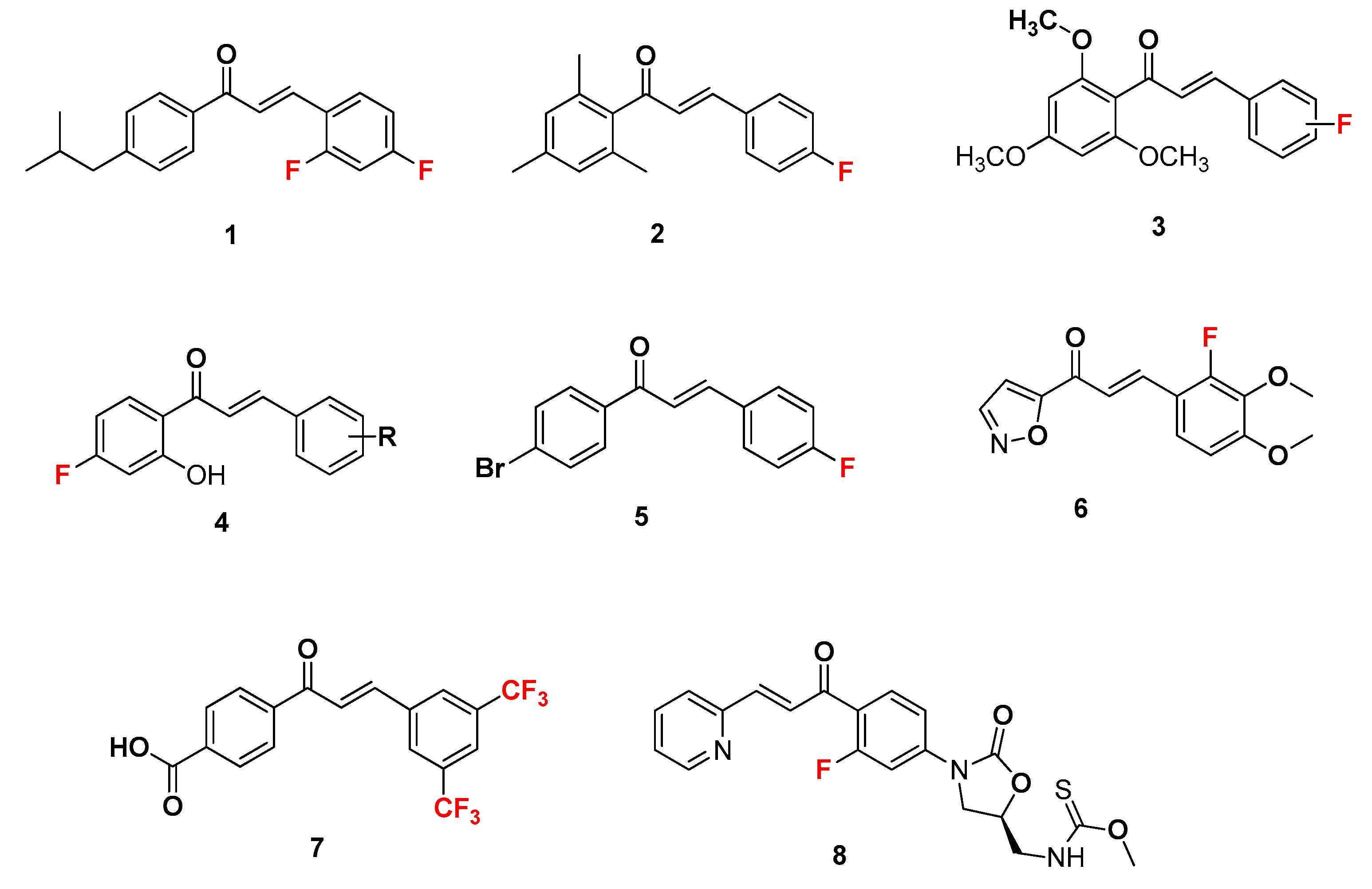
Chalcones are bichromophoric natural open-chain flavonoid small molecules containing a reactive propenone linkage connected to two aromatic rings. The propenone moiety of these molecules is highly reactive and is not only responsible for the assorted biological activities of chalcone derivatives [10] but also for the preparation of different heterocyclic derivatives from the chalcones. Chalcone is a privileged scaffold of interest to organic and medicinal chemists because of its ease of synthesis and multiple biological activities. Chulin et al. have published a critical and comprehensive review on this privileged scaffold [11]. Chalcone derivatives containing fluorine and or other types of substituents were reported to possess excellent anticancer, antimicrobial, antioxidant, anti-inflammatory, analgesic, cancer chemopreventive, antibacterial, and antifungal activities [12,13,14,15,16,17,18,19,20,21]. Xu et al. have reviewed the structural features of different chalcone derivatives and their influence on the antibacterial properties [16]. There is a difference in the biological potency of different chalcones, which is majorly attributed to the type of aromatic ring as well as the nature of the substituents present thereof. Literature survey and results from our own studies proved that fluorinated chalcones possess remarkable antibacterial and antifungal properties (Figure 1) [22,23,24,25,26,27,28,29,30]. The potent antimicrobial properties of the chalcones may be due to extra lipophilicity created by the fluorine atoms. With few exceptions, most of the antimicrobial fluorinated chalcones reported typically possess one or more fluorine atoms on the two aryl rings of the chalcone scaffold but not either a trifluoromethyl or trifluoromethoxy group. For instance, out of the eight compounds displayed in Figure 1, only compound 7 possesses a trifluoromethyl group. Hence, in the present study we considered synthesizing and evaluating novel chalcones with trifluoromethyl and trifluoromethoxy groups as prospective antibacterial and antifungal agents.
Figure 1.
Structures of fluorinated chalcones with antibacterial and antifungal activities.
Presence of one or more fluorine atoms can be seen in a range of drugs used for different disorders including the antibacterials: fluoroquinolones; antifungal: fluconazole; antivirals: efavirenz, trifluridine; anticancer agents: 5-fluorouracil, bicalutamide, leflunomide; antifungals: 5-flucytosine; antidepressants: fluoxetine, escitalopram; steroids: dexamethasone, triamcinolone, fludrocortisone; selective COX-II inhibitors: celecoxib; antiulcer: lansoprazole; antihyperlipidemic agents: atorvastatin, rosuvastatin, ezetimibe, and an antischizophrenic agent: risperidone (Figure 2). The presence of fluorine atoms in the medicinally active compounds have imparted some special properties, including increased binding interactions, potency, permeability, metabolic stability, decreased pka, clearance, alteration of the conformation, modified physical properties, and selective reactivities [31,32,33,34,35].
Figure 2.
Structures of selected drugs containing one or more fluorine atoms.
Motivated by the aforementioned facts, herein we have designed and prepared two series of novel chalcones substituted with trifluoromethyl (series-A) and trifluoromethoxy (series-B) groups (Figure 3) and evaluated further for their antibacterial and antifungal activities against selected clinically significant bacterial and fungal strains.
Figure 3.
General structures of the designed target fluorinated chalcones.
2. Results and Discussion
2.1. Chemistry
The two series of chalcones were afforded by the Claisen–Schmidt condensation reaction of substituted aryl and unsubstituted heteroaryl aldehydes with two different types of ketones, i.e., 4′-trifluoromethyl acetophenone (series-A) and 4′-trifluoromethoxy acetophenone (series-B). The reaction time utilized for the formation of series-A chalcones was around 6–12 h, whereas for series-B chalcones, it was 12–15 h, and the yield of series-A chalcones was more than the latter. This may be due to the high electron-withdrawing nature of the trifluoromethyl substituent over the trifluoromethoxy group. The compounds were in yellow to orange color which may be due to the extensive conjugation of chalcone core and the additional electronic effects of the substituents on the ring-A and B.
All the compounds were characterized by elemental analysis, FT-IR and 1H NMR, whereas the compounds A3 and B3, were additionally characterized by 13C NMR and mass spectral methods. The elemental analysis and spectroscopic data were consistent with the expected structures of the chalcones. All the compounds in their FT-IR spectrum showed two characteristic stretching absorption bands corresponding to the propenone linkage including C=O and C=C around the wave numbers 1656–1695 cm−1 and 1502–1514 cm−1 for the ten compounds in series-A and 1640–1656 cm−1 and 1502–1532 cm−1 for series-B compounds, respectively. The 1H NMR spectra showed two diagnostic doublet signals corresponding to α- and β-protons resonating between the chemical shift values of 7.32–7.75 ppm and 7.76–8.04 ppm (series-A) and 7.51–7.65 ppm and 7.60–8.18 ppm (series-B). The coupling constant value, J, for these doublets ranged between 15 to 17 Hz, and such large coupling constant values indicate that the synthesized compounds have trans geometry at the olefinic bond of the propenone linkage.
The FT-IR spectrum of A3 illustrated intense carbonyl band (C=O) of chalcones at 1695 cm−1 and strong stretching band at 1573 cm−1 accounting for vinyl (CH=CH) double bond. In addition, the other absorption bands were seen at wave numbers 3230 cm−1 (-NH in indole) and 1263 cm−1 (-CF3). Two doublet peaks at 7.77 ppm and 8.13 ppm with the coupling constant value around 16 Hz in the 1H NMR spectrum confirmed the formation of chalcone bridge of A3 with trans geometry. The indole -NH proton showed a peak at 8.78 and the other nine aromatic protons showed two multiplets around 7.94–8.14 and 7.05–7.61, respectively. The 13C NMR spectra of compound A3 demonstrated three peaks at 189.93, 128.60, and 142.02 corresponding to the three carbons of the propenone moiety. The other 13C peaks include 140.11 (C-1′), 128.60 (C-2′ and 6′), 125.59 (C-3′ and 5′), 137.30 (C-4′), 123.77 (C-4,′), 129.52 (C-6′), 112.06 (C-1″), 125.30 (C-2″), 130.30 (C-4″), 114.06 (C-5″), 120.71 (C-6″), 122.02 (C-7″), 117.44 (C-8″), 125.56 (C-9″). The mass spectrum of A3 recorded in positive mode has given an [M + H]+ peak at m/z 316.30. In the 19F-NMR spectrum, A3 showed signal at 63.27 ppm corresponding to -CF3. The above spectral data confirmed the compound A3 as (E)-3-(1″H-indol-3″-yl)-1-[4′-(trifluoromethyl)phenyl]prop-2-en-1-one.
The FT-IR spectrum of B3 illustrated diagnostic intense carbonyl (C=O) and strong vinyl (CH=CH) absorption bands of chalcone linkage at wave numbers 1651 cm−1 and 1595 cm−1, respectively. Additionally, the other absorption bands are seen at 3681 (-NH in indole), 1206 (-OCF3), and 1248 (C-O-C). The 1H NMR spectrum showed characteristic doublet signals at 7.53 ppm and 8.05 ppm with the coupling constant value (J) around 16 Hz. The larger coupling constant value represents the trans geometry of the chalcones. The other peaks seen are three singlets corresponding to the indole amine proton at chemical shift 8.78 and two multiplets around 7.38–8.02 and 7.05–7.66 corresponding to nine aromatic protons. The 13C NMR spectra of compound B3 showed three peaks corresponding to the three carbons of the propenone moiety at 189.97, 125.33, and 137.37, respectively. The peaks of other carbon atoms are seen at the following chemical shift values: 130.23 (C-1′), 130.71 (C-2′ and 6′), 121.88 (C-3′ and 5′), 139.61 (C-4′), 121.88 (C-4,′), 112.08 (C-1″), 123.63 (C-2″), 137.35 (C-4″), 114.41 (C-5″), 120.47 (C-6″), 122.69 (C-7″), 117.81 (C-8″), 123.63 (C-9″). The mass spectrum of B3 recorded in positive mode showed [M + H]+ peak at m/z 332.20. In the 19F-NMR spectrum, A3 showed signal at 63.27 ppm corresponding to -CF3. The 19F-NMR spectrum of B3 showed signal at 58.64 ppm corresponding to -OCF3. Based on the above spectral data, the compound B3 was confirmed as (E)-3-(1″H-indol-3″-yl)-1-[4′-(trifluoromethoxy)phenyl]prop-2-en-1-one (Figure 4).
Figure 4.
Structures of fluorinated chalcones A3 and B3.
2.2. Biological Activities
2.2.1. Antibacterial and Antifungal Activities
All the 20 target compounds (A1–A10 and B1–B10) were evaluated for their antibacterial and antifungal activities on selected pathogenic Gram-positive (Staphylococcus aureus and Bacillus subtilis) and Gram-negative (Escherichia coli and Proteus vulgaris) bacterial (Table 1) and fungal (Candida albicans and Aspergillus niger) strains (Table 2). The compounds were tested at 0.1% concentration. Benzyl penicillin was employed as standard drug against the bacterial isolates and fluconazole against the fungal strains. The compounds were partitioned into three different categories based on the type of ring-B portion of chalcones. Among the 20 target derivatives, A2(B2), A4(B4), A5(B5), A8(B8), and A9(B9) represents chalcones bearing a monosubstituted aryl ring, A1(B1) denotes compounds with a disubstituted aryl ring, and A3(B3), A6(B6), A7(B7), and A10(B10) designate the compounds containing an unsubstituted heteroaromatic ring.
Table 1.
Antibacterial (zone of inhibition in mm) a, b of trifluoromethyl and trifluoromethoxy substituted chalcone derivatives (A1–A10 and B1–B10).
Table 2.
Antifungal activity (zone of inhibition in mm) a of trifluoromethyl and trifluoromethoxy substituted chalcone derivatives (A1–A10 and B1–B10).
The compounds exhibited varying degrees of activity (Table 1 and Table 2), i.e., some compounds were more active than the standard drugs, whereas some were moderately active and others were less active. When the results between the two series of compounds were compared, a greater number of the compounds belonging to series-B comprising of the -OCF3 group exhibited more activity than the series-A compounds bearing -CF3. However, against Candida albicans, five compounds belonging to series-A showed superior activity than series-B compounds. Out of the six microbial strains used in our study, the Gram-negative bacteria Escherichia coli and Proteus vulgaris were more vulnerable to both the series of chalcones than the Gram-positive bacterial species and fungal isolates. With few exceptions, the activity against Gram-positive bacterial and fungal strains is either intermediate or less.
Among all the compounds, A3 and B3 containing an unsubstituted heteroaromatic 3-indolyl moiety showed more activity than the standard drugs against the tested bacterial and fungal species. This illustrates that the presence of a bicyclic heteroaromatic scaffold is a major contributing factor for the activity of chalcones bearing -CF3 and -OCF3 groups. Against Staphylococcus aureus, A3 and B3 showed a zone of inhibition (ZOI) of 25 and 26 mm, respectively. The activity of B3 (ZOI = 29 mm) was more than benzyl penicillin (ZOI = 27 mm) against Bacillus subtilis but the activity of A3 (ZOI = 26 mm) was less than the standard. A3 and B3 also exhibited more activity than benzyl penicillin against Escherichia coli (ZOI = 20 and 22 mm) and Proteus vulgaris with a ZOI of 23 and 21 mm, respectively. A3 and B3 showed a ZOI of 20 and 22 mm against Candida albicans and a ZOI of 25 and 26 mm, respectively, against Aspergillus niger. These ZOI values were more compared to the ZOI values obtained with standard fluconazole (19.05 and 24.41 mm).
Except B3, all the other compounds displayed intermediate-to-low activity against Staphylococcus aureus, Bacillus subtilis, Candida albicans and Aspergillus niger compared to the standard drugs. When the activities of other compounds against Escherichia coli were compared with the standard drugs, the compounds A1(B1), A4(B4), A5(B5), A6(B6), A7(B7), A8, and A9 were found to be more active. Further, among the above 12 compounds, A1 and A7 containing 2,3-dichlorophenyl and 2-furfuryl rings were next in potency to A3 in series-A and B1, B4, and B5 containing 2,3-dichlorophenyl, 2-nitrophenyl, and 3-nitrophenyl scaffolds after B3 in series-B. The chalcones A1(B1), B2, A4(B4), and A5(B5) were more active than benzyl penicillin against Proteus vulgaris, and the compounds A1 (2,3-dichlorophenyl), A4 (2-nitrophenyl), A5 (3-nitrophenyl), B2 (3-chlorophenyl), B4 (2-nitrophenyl), and B5 (3-nitrophenyl) showed equal activity with a ZOI value of 20 mm, whereas the compound B1 containing 2,3-dichlrophenyl moiety showed activity similar to B3 (ZOI = 21 mm). These results suggest that presence of an electron-withdrawing group like chlorine or nitro at 2nd and 3rd positions of aryl ring are essential for the activity. The compounds A2 and A7 bearing 3-chlorophenyl and 2-furfuryl rings showed equal activity as benzyl penicillin (ZOI = 19 mm) against Proteus vulgaris, and B1 exhibited equal potency as fluconazole against Candida albicans with a ZOI of 19 mm. All the other compounds including A8(B8) and A9(B9) containing 4-chlorophenyl and 4-nitrophenyl rings as well as A6(B6) and A10(B10) containing heteroaromatic 2-thienyl and 2-pyrrolyl rings, respectively, showed intermediate-to-poor activity relative to the standard drugs. Based on these results, we can summarize that either in series-A or B, the conditions of the ring B-portion of chalcones being either an aromatic ring with electron-withdrawing groups in the ortho and meta positions or a bicyclic heteroaromatic scaffold are essential to the promising antimicrobial activity of the fluorinated chalcones.
2.2.2. Determination of Minimum Inhibitory Concentration (MIC)
Minimum inhibitory concentration (MIC) is the lowest concentration of the antimicrobial agent that inhibits the visible growth of a microorganism after an overnight incubation. MICs are used to determine the resistance by the diagnostic labs mainly to confirm the resistance. However, frequently MIC is a research tool to determine the in vitro activity of novel natural and synthetic compounds. The two most potent compounds that emerged out of this study, i.e., A3 and B3 were further evaluated against all the six microbial strains by serial tube dilution to assess their minimum inhibitory concentration by serial tube dilution method (Table 3). Both the compounds showed MIC lower than the standard drugs benzyl penicillin and fluconazole against the tested bacterial and fungal strains and were in agreement with the zone of inhibition values. However, compound A3 showed less activity against Bacillus subtilis (MIC = 101 µM) than benzyl penicillin (MIC = 95 µM). Both A3 and B3 exhibited nearly equal activity to that of fluconazole against the fungal strains and superior activity compared to benzyl penicillin. Compound A3 (MIC = 51 µM) and B3 (MIC = 48 µM) were 1.86- and 1.97-fold more active than benzyl penicillin (MIC = 95 µM) against Staphylococcus aureus and B3 (MIC = 24 µM) was 3.95 times more active than benzyl penicillin against Bacillus subtilis. Against Escherichia coli and Proteus vulgaris, A3 was 7.64 times more active than benzyl penicillin whereas B3 was 7.95 and 3.97 times more active. These results show that the activity of A3 containing a trifluoromethyl group favored the Gram-negative bacteria and B3 with a trifluoromethoxy group favored Gram-positive bacteria. The obtained results were interesting and called for a synthesis and evaluation of other analogues to improve the potency.
Table 3.
Minimum inhibitory concentration (MIC in µM) of compounds A3 and B3.
2.2.3. Cytotoxicity Studies
Compounds A3 and B3 were evaluated for their cytotoxicity study on normal human liver calls and were found to have an IC50 value greater than 50 µg/mL suggesting that the compounds were non-toxic against the tested normal human liver cell lines (Table 4).
Table 4.
Cytotoxicity of compounds A3 and B3 against human normal liver cells (IC50, µg/mL) a.
3. Materials and Methods
3.1. Chemicals and Instruments
All the chemicals used were of analytical grade and purchased from commercial sources. The organic solvents such as methanol, hexane, and ethyl acetate were of spectral grade and were used as such without further purification. Anhydrous methanol was obtained by fractional distillation and stored over type 4A° molecular sieves. Some of the solvents were purchased from local manufacturers and some from S.D. Fine Chem. Ltd., Mumbai, India. All the chemicals used in the synthesis were obtained from standard commercial sources. TLC chromatography was carried out on Merck grade precoated TLC silica gel 60 F254 plates (Merck KGaA, Darmstadt, Germany) and the spots were visualized under a UV lamp. 4′-trifluoromethylacetophenone and 4′-trifluoromethoxyacetophenone were obtained from Thermo Fisher Scientific-Alfa Aesar (Powai, Mumbai, India). Aldehydes were procured from Avra synthesis Pvt. Ltd. (Hyderabad, India). The melting points were determined in open capillaries, using a digital melting point apparatus (EZmelt, Stanford Research Systems) (expressed in °C) and are uncorrected. FT-IR spectra were scanned using Bruker OPUS 8.0 (BRUKER biospin International AG., Zug) and the 1H- and 13C-NMR spectra of the compound were recorded on a Bruker 400 Avance NMR spectrophotometer using Tetramethylsilane (TMS) as an internal standard (values are expressed in δ ppm). Mass spectra were recorded on SHIMADZU Lab Solution (ESI-MS) spectrometer at Indian Institute of Chemical Technology, Hyderabad, India (refer to the supplementary material).
3.2. Synthesis
General Procedure for Synthesis
The two series of chalcones were prepared (Scheme 1) by following Claisen–Schmidt condensation reaction [36]. Initially, 1 mmol of the ketone (4′-trifluromethyacetophenone/4′-trifluromethoxyacetophenone) was dissolved in 8 mL of ethanol. To the above solution, 1 mmol of the corresponding aldehyde was added and then 7.5 mL of 40% sodium hydroxide solution was added dropwise and stirred on a magnetic stirrer at room temperature for about 6–15 h. The progress and the completion of the reaction was monitored on precoated silica gel-G TLC plates and the spots on the plates were visualized using UV lamp and iodine vapors. After the completion of the reaction, the contents of the reaction mixture were transferred into a beaker containing crushed ice and then the mixture was neutralized with 50% hydrochloric acid, which resulted in the separation of the crude precipitate of the chalcone. The precipitate was filtered under vacuum, washed thoroughly with HPLC grade water, and dried in a desiccator. The dried crude mixture was further subjected to column chromatographic purification to obtain the pure product. Column chromatography was performed on 100–200-mesh silica gel as the stationary phase and a 1:15 ratio of hexane and ethyl acetate as mobile phase.
Scheme 1.
Synthesis of series-A (A1–A10) and series-B (B1–B10) fluorinated chalcones.
A1: Synthesis of (E)-3-(2″,3″-dichlorophenyl)-1-[4′-(trifluoromethyl)phenyl]prop-2-en-1-one: Yield: 95%; m.p. 76 °C; Rf = 0.81 (30% Ethyl acetate in Hexane); FT-IR (KBr, cm−1): 1660 (C=O), 1602 (C=C Ar), 1502 (CH=CH), 1255 (-CF3), 3011 (Ar C-H stretching), 832 (C-Cl); 1H NMR (400 MHz, CDCl3, ppm), δ: 7.76 (1H, d, J = 16.3 CO-CH=), 8.11 (1H, d, J = 16.3, Ar-CH=), 8.12–8.22 (4H, m, C-2′, 3′, 5′, 6′, Ar-H), 6.97–7.74 (3H, m, C- 4″, 5″, 6″, Ar-H); ESI-MS: 346.13 [M + H]+.
A2: Synthesis of (E)-3-(3″-chlorophenyl)-1-[4′-(trifluoromethyl)phenyl]prop-2-en-1-one: Yield: 90%; m.p. 68 °C; Rf = 0.8 (30% Ethyl acetate in Hexane); FT-IR (KBr, cm−1): 1651 (C=O), 1611 (C=C Ar), 1507 (CH=CH), 1252 (-CF3), 3010 (Ar C-H stretching), 846 (C-Cl); 1H NMR (400 MHz, CDCl3, ppm), δ: 7.77 (1H, d, J = 16.3 Hz CO-CH=), 8.11 (1H, d, J = 16.2 Hz, Ar-CH=), 8.12–8.22 (4H, m, C-2′, 3′, 5′, 6′, Ar-H), 7.09–7.74 (4H, m, C-3″, 4″, 5″, 6″, Ar-H); ESI-MS: 311.13 [M + H]+.
A3: Synthesis of (E)-3-(1″H-indol-3″-yl)-1-[4′-(trifluoromethyl)phenyl]prop-2-en-1-one: Yield: 50%; m.p. 62 °C; Rf = 0.9 (30% Ethyl acetate in Hexane); FT-IR (KBr, cm−1): 1695 (C=O), 1611 (C=C Ar), 1573 (CH=CH), 1263 (-CF3), 3010 (Ar C-H stretching), 3230 (-NH); 1H NMR (400 MHz, CDCl3, ppm): δ: 7.77 (1H, d, J = 16.3 Hz, -CO-CH=), 8.13 (1H, d, J = 15.9 Hz, Ar-CH=), 8.78 (1H, s, -NH), 7.94-8.14 (4H, m, C-2′, 3′, 5′, 6′, Ar-H), 7.05-7.61 (5H, m, C-2″, 4″, 5″, 6″, 7″, Ar-H); 13C NMR (125 MHz, CDCl3, ppm): 189.93 (C-1), 128.60 (C-2), 142.02 (C-3), 140.11 (C-1′), 128.60 (C-2′ and 6′), 125.59 (C-3′ and 5′), 137.30 (C-4′), 123.77 (C-4,′), 129.52 (C-6′), 112.06 (C-1″), 125.30 (C-2″), 130.30 (C-4″), 114.06 (C-5″), 120.71 (C-6″), 122.02 (C-7″), 117.44 (C-8″), 125.56 (C-9″); ESI-MS: 316.30 [M + H]+; 19F NMR (376 MHz, CDCl3): δ: 63.27 (3F, s).
A4: Synthesis of (E)-3-(2″-nitrophenyl)-1-[4′-(trifluoromethyl)phenyl]prop-2-en-1-one: Yield: 60%; m.p. 70 °C; Rf = 0.7 (30% Ethyl acetate in Hexane); FT-IR (KBr, cm−1): 1646 (C=O), 1602 (C=C Ar), 1514 (CH=CH), 1249 (-CF3), 3010 (Ar C-H stretching), 1461 (NO2); 1H NMR (400 MHz, CDCl3, ppm): δ: 7.77 (1H, d, J = 17.1 Hz, -CO-CH=), 8.11 (1H, d, J = 16 Hz, Ar-CH=), 8.12–8.51 (4H, m, C-2′, 3′, 5′, 6′, Ar-H), 7.70–8.01 (4H, m, C-3″, 4″, 5″, 6″, Ar-H); ESI-MS: 322.11 [M + H]+.
A5: Synthesis of (E)-3-(3″-nitrophenyl)-1-[4′-(trifluoromethyl)phenyl]prop-2-en-1-one: Yield: 60%; m.p. 85 °C; Rf = 0.5 (30% Ethyl acetate in Hexane); FT-IR (KBr, cm−1): 1659 (C=O), 1623 (C=C Ar), 1536 (CH=CH), 1250 (-CF3), 3010 (Ar C-H stretching), 1446 (NO2); 1H NMR (400 MHz, CDCl3, ppm): 7.92 (1H, d, J = 15.7 Hz, -CO-CH=), 8.15 (1H, d, J = 16 Hz, Ar-CH=), 7.82–8.65 (4H, m, C-2′, 3′, 5′, 6′, Ar-H), 7.68–7.89 (4H, m, C-2″, 3″, 5″, 6″, Ar-H); ESI-MS: 322.25 [M + H]+.
A6: Synthesis of (E)-3-(thiophen-2″-yl)-1-[4′-(trifluoromethyl)phenyl]prop-2-en-1-one: Yield: 80%; m.p. 86 °C; Rf = 0.76 (30% Ethyl acetate in Hexane); FT-IR (KBr, cm−1): 1658 (C=O), 1504 (CH=CH), 1614 (C=C Ar), 3121 (Ar C-H stretching), 1250 (-CF3), 621 (C-S); 1H NMR (400 MHz, CDCl3, ppm): δ: 7.79 (1H, d, J = 16 Hz, -CO-CH=), 8.14 (1H, d, J = 16.2, 4.9 Ar-CH=), 7.80–8.12 (4H, m, C-2′, 3′, 5′, 6′, Ar-H), 7.17–7.77 (4H, m, C-3″, 4″, 5″, Ar-H); ESI-MS: 283.36 [M + H]+.
A7: Synthesis of (E)-3-(furan-2″-yl)-1-[4′-(trifluoromethyl)phenyl]prop-2-en-1-one: Yield: 80%; m.p. 72 °C; Rf = 0.71 (30% Ethyl acetate in Hexane); FT-IR (KBr, cm−1): 1658 (C=O), 1514 (CH=CH), 1631 (C=C Ar), 3111 (Ar C-H stretching), 1254 (-CF3), 1700 (C-O); 1H NMR (400 MHz, CDCl3, ppm), δ: 7.75 (1H, d, J = 16.1 Hz, -CO-CH=), 8.14 (1H, d, J = 16.1 Hz, Ar-CH=), 7.59–8.12 (4H, m, C-2′, 3′, 5′, 6′, Ar-H), 6.52–7.53 (3H, m, C-3″, 4″, 5″, Ar-H); ESI-MS: 227.68 [M + H]+.
A8: Synthesis of (E)-3-(4″-chlorophenyl)-1-[4′-(trifluoromethyl)phenyl]prop-2-en-1-one: Yield: 90%; m.p. 68 °C; Rf = 0.72 (30% Ethyl acetate in Hexane); FT-IR (KBr, cm−1): 1656 (C=O), 1609 (C=C Ar), 1505 (CH=CH), 1247 (-CF3), 3001 (Ar C-H stretching), 841 (C-Cl); 1H NMR (400 MHz, CDCl3, ppm): δ: 7.78 (1H, d, J = 16.3 Hz, -CO-CH=), 8.14 (1H, d, J = 16.2 Hz, Ar-CH=), 7.77–8.13 (4H, m, C-2′, 3′, 5′, 6′, Ar-H), 7.43–7.61 (4H, m, C-2″, 4″, 5″, 6″, Ar-H); ESI-MS: 311.62 [M + H]+.
A9: Synthesis of (E)-3-(4″-nitrophenyl)-1-[4′-(trifluoromethyl)phenyl]prop-2-en-1-one: Yield: 61%; m.p. 82 °C; Rf = 0.7 (30% Ethyl acetate in Hexane); FT-IR (KBr, cm−1): 1654 (C=O), 1621 (C=C Ar), 1512 (CH=CH), 1252 (-CF3), 3010 (Ar C-H stretching), 1430 (NO2); 1H NMR (400 MHz, CDCl3, ppm): δ: 7.85 (1H, d, J = 17 Hz, -CO-CH=), 8.11 (1H, d, J = 16 Hz, Ar-CH=), 7.68–7.82 (4H, m, C-2′, 3′, 5′, 6′, Ar-H), 8.12–8.32 (4H, m, C-2″, 3″, 5″, 6″, Ar-H); ESI-MS: 322.11 [M + H]+.
A10: Synthesis of (E)-3-(1″H-pyrrol-2-yl)-1-[4′-(trifluoromethyl)phenyl]prop-2-en-1-one: Yield: 80%; m.p. 75 °C; Rf = 0.68 (30% Ethyl acetate in Hexane); FT-IR (KBr, cm−1): 1650 (C=O), 1501 (CH=CH), 1618 (C=C Ar), 1242 (-CF3), 1370 (C-N), 3115 (Ar C-H stretching); 1H NMR (400 MHz, CDCl3, ppm), δ: 7.77 (1H, d, J = 16 Hz, -CO-CH=), 8.11 (1H, d, J = 16 Hz, Ar-CH=), 7.74–8.23 (4H, m, C-2′, 3′, 5′, 6′, Ar-H), 6.08–6.96 (3H, m, C-3″, 4″, 5″, Ar-H), 9.93 (1H, s, -NH); ESI-MS: 266.23 [M + H]+.
B1: Synthesis of (E)-3-(2″,3″-dichlorophenyl)-1-[4′-(trifluoromethoxy)phenyl]prop-2-en-1-one: Yield: 86%; m.p. 70 °C; Rf = 0.8 (30% Ethyl acetate in Hexane); FT-IR (KBr, cm−1): 1664 (C=O), 1624 (Ar C=C), 1520 (CH=CH), 1242 (-CF3), 3023 (Ar C-H stretching), 1166 (-C-O-) 838 (C-Cl); 1H NMR (400 MHz, CDCl3, ppm), δ: 7.58 (1H, d, J = 16.3 Hz, CO-CH=), 8.03 (1H, d, J = 16.3 Hz, Ar-CH=), 7.64–8.22 (4H, m, C-2′, 3′, 5′, 6′, Ar-H), 6.97–7.62 (3H, m, C- 4″, 5″, 6″, Ar-H); ESI-MS: 362.12 [M + H]+.
B2: Synthesis of (E)-3-(3″-chlorophenyl)-1-[4′-(trifluoromethoxy)phenyl]prop-2-en-1-one: Yield: 84%; m.p. 65 °C; Rf = 0.81 (30% Ethyl acetate in Hexane); FT-IR (KBr, cm−1): 1648 (C=O), 1607 (Ar C=C), 1512 (CH=CH), 1232 (-CF3), 3015 (Ar C-H stretching), 1156 (-C-O-), 840 (C-Cl); 1H NMR (400 MHz, CDCl3, ppm), δ: 7.37 (1H, d, J = 16.3 Hz, -CO-CH=), 8.02 (1H, d, J = 16.2 Hz, Ar-CH=), 7.70–8.22 (4H, m, C-2′, 3′, 5′, 6′, Ar-H), 7.05–7.68 (4H, m, C-3″, 4″, 5″, 6″, Ar-H); ESI-MS: 343.58 [M + H]+.
B3: Synthesis of (E)-3-(1″H-indol-3″-yl)-1-[4′-(trifluoromethoxy)phenyl]prop-2-en-1-one: Yield: 45%; m.p. 67 °C; Rf = 0.74 (30% Ethyl acetate in Hexane); FT-IR (KBr, cm−1): 1651 (C=O), 1602 (Ar C=C), 1595 (CH=CH), 1521 (C-N), 3681 (-NH), 1206 (-OCF3), 3362 (Ar C-H stretching), 1248 (-C-O-); 1H NMR (400 MHz, CDCl3, ppm): δ 7.53 (1H, d, J = 16.3 Hz, -CO-CH=), 8.05 (1H d, J = 15.9, Ar-CH=), 8.78 (1H, s, -NH), 7.38–8.02 (4H, m, C-2′, 3′, 5′, 6′, Ar-H), 7.05–7.66 (5H, m, C-2″, 4″, 5″, 6″, 7″, Ar-H);
13C NMR (125 MHz, CDCl3, ppm): 189.97 (C-1), 125.33 (C-2), 137.37 (C-3), 130.23 (C-1′), 130.71 (C-2′ and 6′), 121.88 (C-3′ and 5′), 139.61 (C-4′), 121.88 (C-4,′), 112.08 (C-1″), 123.63 (C-2″), 137.35 (C-4″),114.41 (C-5″), 120.47 (C-6″), 122.69 (C-7″), 117.81 (C-8″), 123.63 (C-9″); ESI-MS: 332.20 [M + H]+; 19F NMR (376 MHz, CDCl3): δ, 58.64 (3F, s).
B4: Synthesis of (E)-3-(2″-nitrophenyl)-1-[4′-(trifluoromethoxy)phenyl]prop-2-en-1-one: Yield: 56%; m.p. 69 °C; Rf = 0.87 (30% Ethyl acetate in Hexane); FT-IR (KBr, cm−1): 1640 (C=O), 1632 (Ar C=C), 1504 (CH=CH),1232 (-CF3), 3012 (Ar C-H stretching), 1126 (-C-O-), 1462 (NO2); 1H NMR (400 MHz, CDCl3, ppm): δ: 7.85 (1H, d, J = 17 Hz, -CO-CH=), 8.28 (1H, d, J = 16 Hz, Ar-CH=), 8.27–8.51 (4H, m, C-2′, 3′, 5′, 6′, Ar-H), 7.05–8.25 (4H, m, C-3″, 4″, 5″, 6″, Ar-H); ESI-MS: 338.08 [M + H]+.
B5: Synthesis of (E)-3-(3″-nitrophenyl)-1-[4′-(trifluoromethoxy)phenyl]prop-2-en-1-one: Yield: 55%; m.p. 71 °C; Rf = 0.72 (30% Ethyl acetate in Hexane); FT-IR (KBr, cm−1): 1659 (C=O), 1626 (Ar C=C), 1532 (CH=CH), 1248 (-CF3), 3019 (Ar C-H stretching), 1127 (-C-O-), 1448 (NO2); 1H NMR (400 MHz, CDCl3, ppm): δ: 7.06 (1H, d, J = 16.3 Hz, CO-CH=), 8.05 (1H, d, J = 16.2 Hz, Ar-CH=), 7.76–8.03 (4H, m, C-2′, 3′, 5′, 6′, Ar-H), 7.08–7.79 (4H, m, C-2″, 4″, 5″, 6″, Ar-H); ESI-MS: 338.35 [M + H]+.
B6: Synthesis of (E)-3-(thiophen-2″-yl)-1-[4′-(trifluoromethoxy)phenyl]prop-2-en-1-one: Yield: 76%; m.p. 82 °C; Rf = 0.68 (30% Ethyl acetate in Hexane); FT-IR (KBr, cm−1): 1656 (C=O), 1512 (CH=CH), 1610 (Ar C=C), 3126 (Ar C-H stretching), 1262 (-CF3), 1156 (-C-O-), 620 (C-S); 1H NMR (400 MHz, CDCl3, ppm): δ: ), 7.05 (1H, d, J = 16, -CO-CH=), 8.05 (1H, d, J = 6.2, 4.9 Ar-CH=), 7.20–8.02 (4H, m, C-2′, 3′, 5′, 6′, Ar-H), 7.17–7.79 (3H, m, C-3″, 4″, 5″, Ar-H); ESI-MS: 299.16 [M + H]+.
B7: Synthesis of (E)-3-(furan-2″-yl)-1-[4′-(trifluoromethoxy)phenyl]prop-2-en-1-one: Yield: 78%; m.p. 68 °C; Rf = 0.66 (30% Ethyl acetate in Hexane); FT-IR (KBr, cm−1): 1651 (C=O), 1524 (CH=CH), 1635 (Ar C=C), 3111 (Ar C-H stretching), 1250 (-CF3), 1159 (-C-O-); 1H NMR (400 MHz, CDCl3, ppm), δ: 7.07 (1H, d, J = 16.1 Hz, -CO-CH=), 8.05 (1H, d, J = 16.1 Hz, Ar-CH=), 7.47–8.05 (4H, m, C-2′, 3′, 5′, 6′, Ar-H), 6.52–7.59 (3H, m, C-3″, 4″, 5″, Ar-H); ESI-MS: 283.47 [M + H]+.
B8: Synthesis of (E)-3-(4″-chlorophenyl)-1-[4′-(trifluoromethoxy)phenyl]prop-2-en-1-one: Yield: 84%; m.p. 75 °C; Rf = 0.64 (30% Ethyl acetate in Hexane); FT-IR (KBr, cm−1): 1645 (C=O), 1629 (Ar C=C), 1512 (CH=CH), 1237 (-CF3), 3011 (Ar C-H stretching), 1155 (-C-O-), 837 (C-Cl); 1H NMR (400 MHz, CDCl3, ppm): δ: 8.33 (1H, d, J = 16 Hz, Ar-CH=), 7.05 (1H d, J = 15.7 Hz, -CO-CH=), 7.92–8.65 (4H, m, C-2′, 3′, 5′, 6′, Ar-H), 7.06–7.89 (4H, m, C-2″, 3″, 5″, 6″, Ar-H); ESI-MS: 343.19 [M + H]+.
B9: Synthesis of (E)-3-(4″-nitrophenyl)-1-[4′-(trifluoromethoxy)phenyl]prop-2-en-1-one: Yield: 57%; m.p. 68 °C; Rf = 0.68 (30% Ethyl acetate in Hexane); FT-IR (KBr, cm−1): 1652 (C=O), 1614 (Ar C=C), 1510 (CH=CH), 1242 (-CF3), 3016 (Ar C-H stretching), 1122 (-C-O-), 1436 (NO2); 1H NMR (400 MHz, CDCl3, ppm): δ: 7.06 (1H, d, J = 16 Hz, -CO-CH=), 8.03 (1H, d, J = 16 Hz, Ar-CH=), 7.05–8.04 (4H, m, C-2′, 3′, 5′, 6′, Ar-H), 7.82–8.32 (4H, m, C-2″, 3″, 5″, 6″, Ar-H); ESI-MS [M + H]+: 338.72 and 339.72.
B10: Synthesis of (E)-3-(1″H-pyrrol-2-yl)-1-[4′-(trifluoromethoxy)phenyl]prop-2-en-1-one: Yield: 67%; m.p. 59 °C; Rf = 0.70 (30% Ethyl acetate in Hexane); FT-IR (KBr, cm−1): 1646 (C=O), 1516 (CH=CH), 1621 (Ar-C=C-), 1232 (-CF3), 1336 (C-N), 3121 (Ar C-H stretching), 1166 (-C-O-); 1H NMR (400 MHz, CDCl3, ppm), δ: 7.07 (1H, d, J = 16.6 Hz, -CO-CH=), 8.03 (1H, d, J= 16.6 Hz, Ar-CH=), 7.08–8.23 (4H, m, C-2′, 3′, 5′, 6′, Ar-H), 6.09–7.06 (3H, m, C-3″, 4″, 5″, Ar-H), 9.93 (1H, s, -NH); ESI-MS: 282.02 [M + H]+.
3.3. Biological Activity Studies
3.3.1. Antimicrobial Screening
The antimicrobial activity was performed against six different antimicrobial strains. The organisms selected are listed below:
| Gram-positive bacteria | Bacillus subtilis (NCIM-2079), Staphylococcus aureus (NCIM-2079) |
| Gram-negative bacteria | Escherichia coli (NCIM-2065), Proteus vulgaris (NCIM-2027) |
| Fungi | Candida albicans (MDCC-227), Aspergillus niger (MTCC 5889) |
Glassware was cleaned and kept in a hot air oven at 160 °C for 2 h. The media were sterilized and the solutions of standard drugs (Benzyl penicillin and fluconazole) and A and B series of compounds were kept ready. In the meantime, nutrient agar medium was prepared (composition: peptone 0.5%, meat extract 0.3%, sodium chloride 0.5%, agar 2%, distilled water to make up to 100 mL, and pH adjusted to 7.2). The weighed quantities of peptone, meat extract, and sodium chloride were dissolved in 1000 mL of distilled water and the pH of the medium was adjusted to 7.2. After the dissolution of agar, the medium was distributed into conical flask each containing 25 mL. The media and sterile water were sterilized by autoclaving at 121 °C temperature and 15 lbs/sq. inch pressure for 20 min. Petri plates, test tubes, pipettes, and borer required for experiment were sterilized by dry heat sterilization using hot air oven. Cultures of respective organisms (18 h old) were taken and suspension of these microorganisms was made using sterile water. Later, 0.5 mL of this suspension was used as inoculum and pour plate technique was used for estimation of bacterial load in each sample. The inoculated agar medium was poured into sterile 10 cm-diameter petri dishes and the medium in the plates was allowed to solidify. The solutions of the test compounds in concentrations of 0.1 µg/mL were prepared in DMSO. The cups of 5 mm diameter were prepared using a borer in the corresponding medium. In each plate, 5 wells were prepared. Three wells were for test compounds, one for standard compound and another one was used as control. In each well, samples were poured and then plates were left for 45 min in a refrigerator for diffusion. After incubation for 18 h at 37 °C, the plates were examined for inhibition zones. The experiments were done in triplicate on the same day with the same conditions in order to minimize the experimental errors. The zone of inhibition values was calculated using vernier caliper and represented as a mean of three values and standard deviation was applied [10].
3.3.2. Determination of Minimum Inhibitory Concentration (MIC)
MIC has become the current standard test for antibiotic sensitivity testing because it produces more pertinent information on minimal dosages. Hence, we determined the MIC of selected compounds, i.e., A3 and B3 employing the protocol prescribed in our previously published papers [37].
3.3.3. Cytotoxicity Studies
The most potent compounds A3 and B3 out of the 20 compounds were tested in vitro for their cytotoxic activity on L02 (human normal liver cell line) by employing MTT assay according to Mosmann’s method as described in our previous paper [38]. The MTT assay is based on the reduction of the soluble MTT (0.5 mg mL−1, 100 µL) into a blue–purple formazan product, mainly by mitochondrial reductase activity inside living cells (Mosmann T et al., 1983). The cells used in cytotoxicity assay were cultured in RPMI 1640 medium supplemented with 10% fetal calf serum, penicillin, and streptomycin at 37 °C and humidified at 5% CO2. Briefly, cells were placed on 96-well plates at 100 µL total volume with a density of 1–2.5 × 104 cells per mL and were allowed to adhere for 24 h before treatment with tested drugs in DMSO solution (10−5, 10−6, 10−7 mol L−1 final concentration). Triplicate wells were treated with media and agents. Cell viability was assayed after 96 h of continuous drug exposure with a tetrazolium compound. The supernatant medium was removed, and 150 µL of DMSO solution was added to each well. The plates were gently agitated using mechanical plate mixer until the color reaction was uniform and OD570 was determined using micro plate reader. The 50% inhibitory concentration (IC50) was defined as the concentration that reduced the absorbance of the untreated wells by 50% of the vehicle in the MTT assay. Assays were performed in triplicate on three independent experiments. The results showed good reproducibility between replicate wells with standard errors below 10%.
4. Conclusions
In this paper, we described the design, synthesis, characterization, and antimicrobial screening of 20 new fluorinated chalcones. Most of the compounds displayed promising antibacterial and antifungal activities and two compounds bearing indolyl scaffold, i.e., A3 and B3, showed potential activities and were also non-toxic on the normal human liver cell lines (L02). Additionally, compounds bearing electron-withdrawing nitro or the chloro substituents at the ortho or the meta position showed valuable antimicrobial activity. Hence, these compounds are novel lead compounds identified through our study for the development of novel agents against bacterial and fungal infections. Although the present study gave us some lead molecules, future investigation needs to be done by synthesizing analogues of A3 and B3 by replacing the indole scaffold of A3 and B3 with benzofuran and benzothiophene moieties as well as by substituting more lipophilic -SCF3 for -OCF3 in B3. Further, a plausible mode of action for the proposed activities needs to be investigated.
Supplementary Materials
The supplementary materials are available online at https://www.mdpi.com/1424-8247/13/11/375/s1.
Author Contributions
Conceptualization, R.P.Y. and A.B.S.; methodology, S.B.L., R.P.Y., R.R.B. and A.B.S.; software, S.B.L. and A.B.S.; validation, S.B.L., R.P.Y. and A.B.S.; formal analysis, R.P.Y., R.R.B. and A.B.S.; investigation, S.B.L., R.P.Y. and A.B.S.; resources, S.B.L., R.P.Y. and A.B.S.; data curation, S.B.L., R.P.Y. and A.B.S.; writing—original draft preparation, S.B.L., R.P.Y., R.R.B. and A.B.S.; writing—review and editing, S.B.L., R.P.Y., R.R.B. and A.B.S.; visualization, S.B.L., R.P.Y. and A.B.S.; supervision, R.P.Y. and A.B.S.; project administration, S.B.L., R.P.Y. and A.B.S.; funding acquisition, S.B.L., R.P.Y., R.R.B. and A.B.S. All authors have read and agreed to the published version of the manuscript.
Funding
This research received no external funding.
Acknowledgments
L.S.B. and Y.R.P. would like to acknowledge Department of Pharmaceutical Sciences, Pharmaceutical Chemistry Division, A.U. College of Pharmaceutical Sciences Andhra Pradesh, India for providing the lab facilities and chemicals for this work. R.R.B. and A.B.S. would like to thank the Dean’s office of College of Pharmacy and Health Sciences, Ajman University, UAE and Vignan Pharmacy College, Vadlamudi, Andhra Pradesh, India for their support.
Conflicts of Interest
The authors declare no conflict of interest.
References
- Richard, J.F.; Yitzhak, T. Antibiotics and bacterial resistance in the 21st century. Perspect. Med. Chem. 2014, 6, S14459. [Google Scholar] [CrossRef]
- Halling-Sørensen, B. Inhibition of aerobic growth and nitrification of bacteria in sewage sludge by antibacterial agents. Arch. Environ. Contam. Toxicol. 2001, 40, 451–460. [Google Scholar] [CrossRef]
- Harish, C.; Parul, B.; Archana, Y.; Babita, P.; Abhay, P.M.; Anant, R.N. Antimicrobial resistance and the alternative resources with special emphasis on plant-based antimicrobials-a review. Plants 2017, 6, 16. [Google Scholar] [CrossRef]
- Francesca, P.; Patrizio, P.; Annalisa, P. Antimicrobial resistance: A global multifaceted phenomenon. Pathog. Glob. Health 2015, 109, 309–318. [Google Scholar] [CrossRef]
- Bingyun, L.; Thomas, J.W. Bacteria antibiotic resistance: New challenges and opportunities for implant-associated orthopedic infections. J Orthop. Res. 2018, 36, 22–32. [Google Scholar] [CrossRef]
- Novel Drug Approvals for 2017. Available online: https://www.fda.gov/drugs/new-drugs-fda-cders-new-molecular-entities-and-new-therapeutic-biological-products/novel-drug-approvals-2017 (accessed on 2 November 2020).
- Novel Drug Approvals for 2018. Available online: https://www.fda.gov/drugs/new-drugs-fda-cders-new-molecular-entities-and-new-therapeutic-biological-products/novel-drug-approvals-2018 (accessed on 2 November 2020).
- Wang, W.; Sun, Q. Novel targeted drugs approved by the NMPA and FDA in 2019. Sig. Transduct. Target Ther. 2020, 65, 1–4. [Google Scholar] [CrossRef]
- Nurken, B.; Mohamad, A. An overview of drug discovery and development. Future Med. Chem. 2020, 12, 939–947. [Google Scholar]
- Lagu, S.B.; Rajendra, P.Y.; Srinath, N.; Afzal, B.S. Synthesis. antibacterial, antifungal antitubercular activities and molecular docking studies of nitrophenyl derivatives. Int. J. Life Sci. Pharma Res. 2019, 9, 54–64. [Google Scholar] [CrossRef]
- Zhuang, C.; Zhang, W.; Sheng, C.; Zhang, W.; Xing, C.; Miao, Z. Chalcone: A Privileged Structure in Medicinal Chemistry. Chem. Rev. 2017, 117, 7762–7810. [Google Scholar] [CrossRef] [PubMed]
- Maya, Z.G.; Minh, A.N.; Sarah, K.Z. Design, synthesis and evaluation of (2-(Pyridinyl)methylene)-1-tetralone chalcones for Anticancer and Antimicrobial Activity. Med. Chem. 2018, 14, 333–343. [Google Scholar] [CrossRef]
- Mei, L.; Prapon, W.; Mei-Lin, G. Antimalarial alkoxylated and hydroxylated chalones: Structure-activity relationship analysis. J. Med. Chem. 2001, 44, 4443–4452. [Google Scholar]
- Serdar, B.; Oztekin, A.; Derya, A.A.; Arzu, G.; Gulay, G.D.; Ronak, H.E.; Nizami, D. Synthesis and anti-proliferative activity of fluoro-substituted chalcones. Bioorg. Med. Chem. Lett. 2016, 26, 3172–3176. [Google Scholar] [CrossRef]
- Ramesh, C.K.; Rita, A.; Geeta, S.; Dinesh, K.; Chetan, S.; Radhika, J.; Aneja, K.R. Ecofriendly synthesis and antimicrobial activity of chalcones. Der. Pharma. Chem. 2010, 2, 157–170. [Google Scholar]
- Zhang, X.; Zhao, D.-H.; Quan, Y.-C.; Sun, L.; Yin, X.-M.; Guan, L.-P. Synthesis and evaluation of antiinflammatory activity of substituted chalcone derivatives. Med. Chem. Res. 2010, 19, 403–412. [Google Scholar] [CrossRef]
- Khaled, R.A.A.; Heba, A.H.E.; Samir, A.S.; Hany, A.O. Synthesis, characterization and biological evaluation of novel 4-fluoro-2-hydroxychalcone derivatives as antioxidant, anti-inflammatory, analgesic agents. J Enzyme Inhib Med Chem. 2015, 30, 484–491. [Google Scholar] [CrossRef][Green Version]
- Shen-Jew, W.; Cheng-Tsung, L.; Lo-Ti, T.; Jing-Ru, W.; Horng-Huey, K.; Jih-Pyang, W.; Chun-Nan, L. Synthetic chalcones as potential anti-inflammatory and cancer chemo preventive agents. Eur. J. Med. Chem. 2005, 40, 103–112. [Google Scholar] [CrossRef]
- Nazifi, S.I.; Farediah, A. Antimicrobial activities of some synthetic flavonoids. J. App. Chem. 2014, 7, 1–6. [Google Scholar]
- Pinki, Y.; Kashmiri; Lokesh, K.; Ashwani, K.; Anil, K.; Avijit, K.P.; Rajnish, K. Synthesis, crystal structure and antimicrobial potential of some fluorinated chalcones-1,2,3-triazole conjugates. Eur. J. Med. Chem. 2018, 155, 263–274. [Google Scholar] [CrossRef]
- Francesca, B.; Giovanna, A.G.; Francesca, B.; Silvia, G.; Angela, R.; Alessandra, B.; Federica, B. Functionalization of the Chalcone Scaffold for the Discovery of Novel Lead Compounds Targeting Fungal Infections. Molecules 2019, 24, 372. [Google Scholar] [CrossRef]
- Man, X.; Piye, W.; Fan, S.; Jiayou, J.; Rakesh, K.P. Chalcone derivatives and their antibacterial activities: Current development. Bioorg. Chem. 2019, 91, 103133. [Google Scholar] [CrossRef]
- Afzal, B.S.; Yejella, R.P.; Shaik, S. Synthesis, Antimicrobial, and Computational Evaluation of Novel Isobutylchalcones as Antimicrobial Agents. Int. J. Med. Chem. 2017, 2017, 1–14. [Google Scholar] [CrossRef]
- Afzal, B.S.; Lohitha, S.V.K.; Puttagunta, S.B.; Shaik, A.; Supraja, K.; Sai, H.K. Synthesis and screening of novel lipophilic diarylpropeones as prospective antitubercular, antibacterial and antifungal agents. Biointerface Res. Appl. Chem. 2019, 9, 3912–3918. [Google Scholar]
- Serdar, B.; Oztekin, A.; Arzu, G.; Derya, A.A.; Mahmut, U.; Busra, G.E.; Engin, K.; Aylin, D.; Gönül, A. Design of potent fluoro-substituted chalcones as antimicrobial agents. J. Enzyme Inhib. Med. Chem. 2017, 32, 490–495. [Google Scholar] [CrossRef]
- Kayode, L.A.; Issac, A.B.; Adebayo, O.O. Synthesis, Characterization and Antibacterial Activities of New Fluorinated Chalcones. Chem. Afr. 2019, 2, 47–55. [Google Scholar]
- Prasad, Y.R.; Rao, A.L.; Rambabu, R. Synthesis and antimicrobial activity of some chalcone derivatives. J. Chem. 2008, 5, 461–466. [Google Scholar] [CrossRef]
- Afzal, S.; Richie, R.B.; Palleapati, K.; Srinath, N.; Venkata, K.; Shaik, S. Antimicrobial, antioxidant, and anticancer activities of some novel isoxazole ring containing chalcone and dihydropyrazole derivatives. Molecules 2020, 25, 1047. [Google Scholar] [CrossRef]
- Marcelo, N.G.; Eugene, N.M.; Maristela, P.; Josana, C.P.; Lucimar, P.R.; Pedro, V.L.C.; Carolina, H.A.; Bruno, J.N. Chalcone derivatives: Promising starting points for drug design. Molecules 2017, 22, 1210. [Google Scholar] [CrossRef]
- Selvakumar, N.; Sunil, K.G.; Malar, A.A.; Govinda, R.G.; Shikha, S.; Sitaram, K.M.; Jagattaran, D.; Javed, I.; Sanjay, T. Synthesis, SAR and antibacterial studies on novel chalcone oxazolidinone hybrids. Eur. J. Med. Chem. 2007, 42, 538–543. [Google Scholar] [CrossRef] [PubMed]
- Hans, J.B.; David, B.; Stefanie, B.; Manfred, K.; Bernd, K.; Klaus, M.; Ulrike, O.; Martin, S. Fluorine in Medicinal Chemistry. Chem. Bio. Chem. 2004, 5, 637–643. [Google Scholar] [CrossRef]
- Poonam, S.; Andrew, D.W. The role of fluorine in medicinal chemistry. J. Enzyme Inhib. Med. Chem. 2007, 22, 527–540. [Google Scholar] [CrossRef]
- Sophie, P.; Peter, R.M.; Steve, S.; Veronique, G. Fluorine in Medicinal Chemistry. Chem. Soc. Rev. 2008, 37, 320–330. [Google Scholar] [CrossRef]
- William, K.H. The Many Roles for Fluorine in Medicinal Chemistry. J. Med. Chem. 2008, 51, 4359–4369. [Google Scholar] [CrossRef]
- Eric, P.G.; Kyle, J.E.; Matthew, D.H.; David, J.D.; Nicholas, A.M.E.; Matthew, D.H.; David, J.D.; Nicholas, A.M. Applications of Fluorine in Medicinal Chemistry. J. Med. Chem. 2015, 58, 8315–8359. [Google Scholar] [CrossRef]
- Claisen, L.; Claparede, B.A. Condensationen von Ketonen mit Aldehyden. Berichte Deutschen Chemischen Gesellschaft. 1881, 14, 2463. [Google Scholar] [CrossRef]
- Shaik, A.B.; Bhandare, R.R.; Nissankararao, S.; Edis, Z.; Tangirala, N.R.; Shahanaaz, S.; Rahman, M.M. Design, facile synthesis and characterization of dichloro substituted chalcones and dihydropyrazole derivatives for their antifungal, antitubercular and antiproliferative activities. Molecules 2020, 25, 3188. [Google Scholar] [CrossRef] [PubMed]
- Lokesh, B.V.S.; Prasad, Y.R.; Shaik, A.B. Novel pyrimidine derivatives from 2,5-dichloro-3-acetylthienyl chalcones as antifungal, antitubercular and cytotoxic agents: Design, synthesis, biological activity and docking study. Asian J. Chem. 2019, 19, 310–321. [Google Scholar]
Publisher’s Note: MDPI stays neutral with regard to jurisdictional claims in published maps and institutional affiliations. |
© 2020 by the authors. Licensee MDPI, Basel, Switzerland. This article is an open access article distributed under the terms and conditions of the Creative Commons Attribution (CC BY) license (http://creativecommons.org/licenses/by/4.0/).






